Casting Homogeneity of Scaled-Up Multiprincipal Component Alloys
Abstract
1. Introduction
1.1. Traditional Brass Alloys
1.2. Multicomponent Brass Alloys
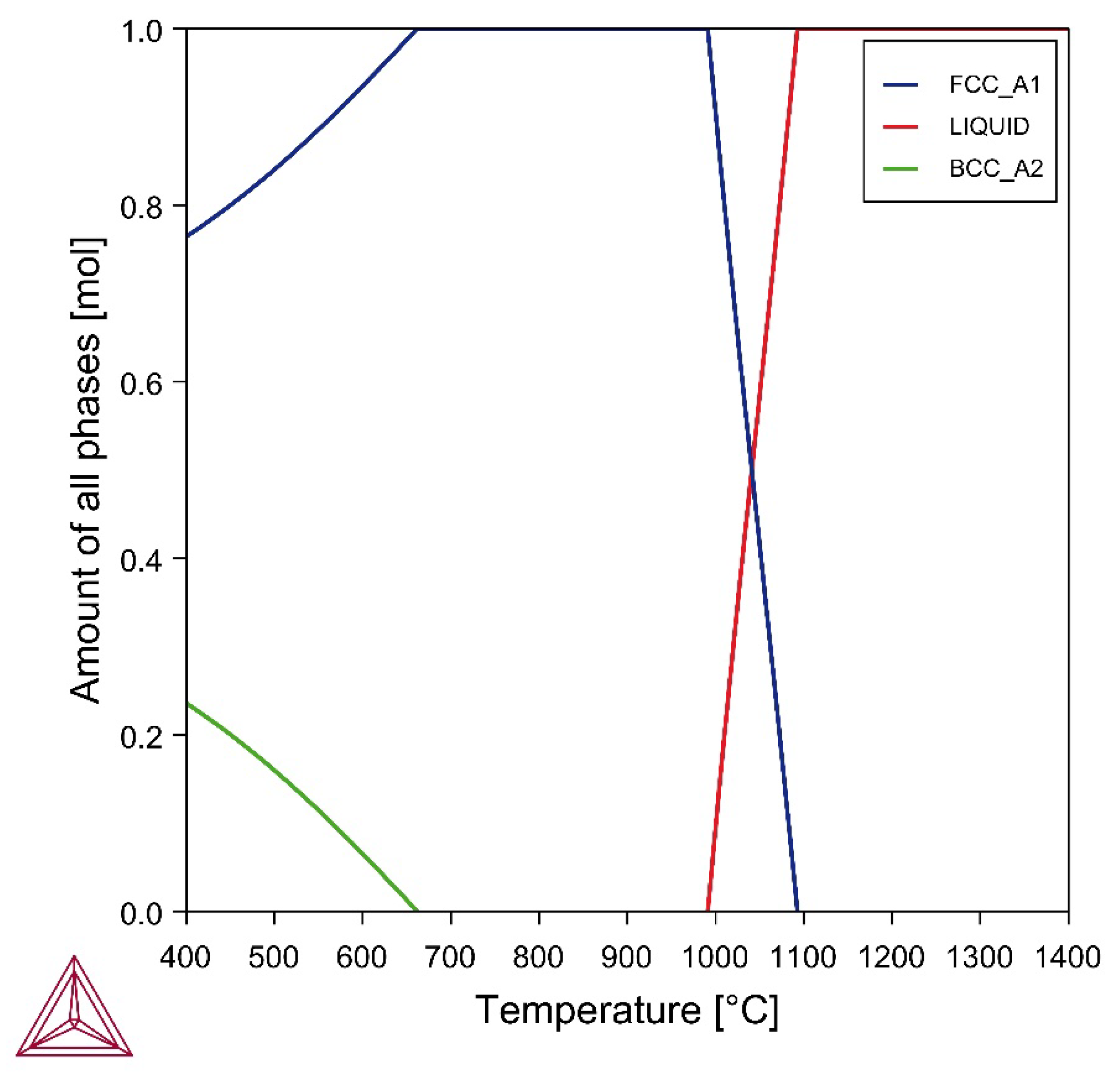
2. Prediction of Alloy Phase Structure
3. Materials and Methods
3.1. Ingot Processing
3.2. Ingot Characterisation
3.2.1. Hardness
3.2.2. Scanning Electron Microscopy (SEM), X-Ray Diffraction XRD and X-Ray Fluorescence (XRF) Processing
4. Results and Discussion
4.1. Results
4.1.1. Hardness Evaluation
4.1.2. Microstructure
4.1.3. X-Ray Diffraction of the Layers
4.1.4. Composition
4.2. Discussion
- Vaporisation losses of volatile elements despite the addition of an excess of these; if these losses differed from the expected amount, the overall composition of the alloy, and thus the properties, would be affected. For example, zinc was added in excess due to its high evaporation rate and is present in some regions above and in some below the required amount. In some alloy systems, increased zinc content can increase tensile strength and hardness but decrease ductility [26]. However, the XRF results confirm that this was not the case in the present alloy.
- The segregation of the elements on solidification, with the rejection of some elements in advance of the solidifying interface, leading to them being concentrated in the liquid. While no macrosegregation is detected in the XRF results, the differences in the compositions of the different phases in different places suggests that some microsegregation may be occurring and that the degree of this may differ from the edges to the centre. This may also contribute to the differences in hardness observed.
5. Conclusions
Author Contributions
Funding
Data Availability Statement
Conflicts of Interest
References
- Khanna, O.P. A Textbook of Foundry Technology, Revised Edition; Dhaupat Rai Ltd.: New Delhi, India, 1997. [Google Scholar]
- William, D.C. Material Science and Engineering: An Introduction, 4th ed.; John Willey and Sons, Inc.: New York, NY, USA, 1997. [Google Scholar]
- Rajan, T.V.; Sharma, C.P.; Sharma, A. Heat Treatment Principles And Techniques; Prentice Hall of India Private Limited: New Delhi, India, 1988. [Google Scholar]
- Kroes, M.J.; Rardon, J.R. Aircraft Basic Science, 7th ed.; Glencoe/McGraw-Hill: New York, NY, USA, 1993. [Google Scholar]
- Nagase, T.; Shibata, A.; Matsumuro, M.; Takemura, M.; Semboshi, S. Alloy design and fabrication of ingots in Cu-Zn-Mn-Ni-Sn high-entropy and Cu-Zn-Mn-Ni medium-entropy brasses. Mater. Des. 2019, 181, 107900. [Google Scholar] [CrossRef]
- Cui, P.; Ma, Y.; Zhang, L.; Zhang, M.; Fan, J.; Dong, W.; Yu, P.; Li, G.; Liu, R. Effect of Ti on microstructures and mechanical properties of high entropy alloys based on CoFeMnNi system. Mater. Sci. Eng. A 2018, 737, 198–204. [Google Scholar] [CrossRef]
- Cantor, B.; Chang, I.T.H.; Knight, P.; Vincent, A.J.B. Microstructural development in equiatomic multicomponent alloys. Mater. Sci. Eng. A 2004, 375, 213–218. [Google Scholar] [CrossRef]
- Yeh, J.W.; Chen, S.K.; Lin, S.J.; Gan, J.Y.; Chin, T.S.; Shun, T.T.; Tsau, C.H.; Chang, S.Y. Nanostructured high-entropy alloys with multiple principal elements: Novel alloy design concepts and outcomes. Adv. Eng. Mater. 2004, 6, 299–303. [Google Scholar] [CrossRef]
- Miracle, D.B.; Senkov, O.N. A critical review of high entropy alloys and related concepts. Acta Mater. 2017, 122, 448–511. [Google Scholar] [CrossRef]
- Daoud, H.M.; Manzoni, A.M.; Wanderka, N.; Glatzel, U. High-temperature tensile strength of Al10Co25Cr8Fe15Ni36Ti6 compositionally complex alloy (high-entropy alloy). JOM 2015, 67, 2271–2277. [Google Scholar] [CrossRef]
- Pavithra, C.L.; Dey, S.R. Advances on multi-dimensional high-entropy alloy nanoarchitectures: Unconventional strategies and prospects. Nano Sel. 2023, 4, 48–78. [Google Scholar] [CrossRef]
- Gwalani, B.; Gangireddy, S.; Shukla, S.; Yannetta, C.J.; Valentin, S.G.; Mishra, R.S.; Banerjee, R. Compositionally graded high entropy alloy with a strong front and ductile back. Mater. Today Commun. 2019, 20, 100602. [Google Scholar] [CrossRef]
- Dąbrowa, J.; Danielewski, M. State-of-the-art diffusion studies in the high entropy alloys. Metals 2020, 10, 347. [Google Scholar] [CrossRef]
- Sonar, T.; Ivanov, M.; Trofimov, E.; Tingaev, A.; Suleymanova, I. An overview of microstructure, mechanical properties and processing of high entropy alloys and its future perspectives in aeroengine applications. Mater. Sci. Energy Technol. 2024, 7, 35–60. [Google Scholar] [CrossRef]
- Shivkumar, S.; Wang, L.; Apelian, D. Molten metal processing of advanced cast aluminum alloys. JOM 1991, 43, 26–32. [Google Scholar] [CrossRef]
- He, Q.F.; Ding, Z.Y.; Ye, Y.F.; Yang, Y.C. Design of high-entropy alloy: A perspective from nonideal mixing. JOM 2017, 69, 2092–2098. [Google Scholar] [CrossRef]
- Tsai, M.-H.; Yeh, J.-W. High-entropy alloys: A critical review. Mater. Res. Lett. 2014, 2, 107–123. [Google Scholar] [CrossRef]
- Zhang, Y.; Zuo, T.T.; Tang, Z.; Gao, M.C.; Dahmen, K.A.; Liaw, P.K.; Lu, Z.P. Microstructures and properties of high-entropy alloys. Prog. Mater. Sci. 2014, 61, 1–93. [Google Scholar] [CrossRef]
- Otto, F.; Yang, Y.; Bei, H.; George, E.P. Relative effects of enthalpy and entropy on the phase stability of equiatomic high-entropy alloys. Acta Mater. 2013, 61, 2628–2638. [Google Scholar] [CrossRef]
- Balaji, V.; Xavior, A. Development of high entropy alloys (HEAs): Current trends. Heliyon 2024, 10, e26464. [Google Scholar]
- Pandey, V.; Seetharam, R.; Chelladurai, H. A comprehensive review: Discussed the effect of high-entropy alloys as reinforcement on metal matrix composite properties, fabrication techniques, and applications. J. Alloys Compd. 2024, 1002, 175095. [Google Scholar] [CrossRef]
- Lai, D.; Kang, Q.; Gao, F.; Lu, Q. High-entropy effect of a metal phosphide on enhanced overall water splitting performance. J. Mater. Chem. A 2021, 9, 17913–17922. [Google Scholar] [CrossRef]
- Puglielli, F.; Mussi, V.; Cugini, F.; Sarzi Amadè, N.; Solzi, M.; Bennati, C.; Fabbrici, S.; Albertini, F. Scale-Up of Magnetocaloric NiCoMnIn Heuslers by Powder Metallurgy for Room Temperature Magnetic Refrigeration. Front. Energy Res. 2020, 7, 150. [Google Scholar] [CrossRef]
- Kumar, J.; Nayan, N.; Gupta, R.K.; Munisamy, M.R.; Biswas, K. High Entropy Alloys: Laboratory to Industrial Attempt. Int. J. Met. 2023, 17, 860–873. [Google Scholar] [CrossRef]
- Shaikh, A.; Kumar, S.; Dawari, A.; Kirwai, S.; Patil, A.; Singh, R. Effect of temperature and cooling rates on the α + β morphology of Ti-6Al-4V alloy. Procedia Struct. Integr. 2019, 14, 782–789. [Google Scholar] [CrossRef]
- Li, G.; Yang, H.; Zheng, Y.; Chen, X.H.; Yang, J.A.; Zhu, D.; Ruan, L.; Takashima, K. Challenges in the use of zinc and its alloys as biodegradable metals: Perspective from biomechanical compatibility. Acta Biomater. 2019, 97, 23–45. [Google Scholar] [CrossRef]








| Element | Atomic % | Atomic Weight | Weight % |
|---|---|---|---|
| Cu | 25 | 63.54 | 26.19 |
| Ni | 25 | 58.69 | 24.19 |
| Mn | 25 | 54.93 | 22.64 |
| Zn | 25 | 65.39 | 26.95 |
| Layers | Element Content (Atomic %) | ||||
|---|---|---|---|---|---|
| Phase | Ni | Cu | Zn | Mn | |
| TOP | 1 | 26.5 | 25.1 | 24.4 | 24.0 |
| 2 | 21.5 | 27.6 | 28.5 | 22.3 | |
| MIDDLE | 1 | 28.7 | 24.8 | 23.8 | 22.7 |
| 2 | 29.1 | 28.7 | 21.7 | 20.4 | |
| BOTTOM | 1 | 26.9 | 24.9 | 24.2 | 24.0 |
| 2 | 20.6 | 29.6 | 28.1 | 20.6 | |
| Layers | Element Content (Atomic %) | |||
|---|---|---|---|---|
| Ni | Cu | Zn | Mn | |
| TOP | 25.12 | 26.36 | 24.12 | 23.44 |
| MIDDLE | 25.10 | 26.37 | 24.22 | 23.42 |
| BOTTOM | 25.19 | 26.34 | 24.13 | 23.42 |
Disclaimer/Publisher’s Note: The statements, opinions and data contained in all publications are solely those of the individual author(s) and contributor(s) and not of MDPI and/or the editor(s). MDPI and/or the editor(s) disclaim responsibility for any injury to people or property resulting from any ideas, methods, instructions or products referred to in the content. |
© 2025 by the authors. Licensee MDPI, Basel, Switzerland. This article is an open access article distributed under the terms and conditions of the Creative Commons Attribution (CC BY) license (https://creativecommons.org/licenses/by/4.0/).
Share and Cite
Adeyemi, G.J.; Utton, C.; Azakli, Y.; Goodall, R. Casting Homogeneity of Scaled-Up Multiprincipal Component Alloys. J. Manuf. Mater. Process. 2025, 9, 41. https://doi.org/10.3390/jmmp9020041
Adeyemi GJ, Utton C, Azakli Y, Goodall R. Casting Homogeneity of Scaled-Up Multiprincipal Component Alloys. Journal of Manufacturing and Materials Processing. 2025; 9(2):41. https://doi.org/10.3390/jmmp9020041
Chicago/Turabian StyleAdeyemi, Gbenga. J., Claire Utton, Yunus Azakli, and Russell Goodall. 2025. "Casting Homogeneity of Scaled-Up Multiprincipal Component Alloys" Journal of Manufacturing and Materials Processing 9, no. 2: 41. https://doi.org/10.3390/jmmp9020041
APA StyleAdeyemi, G. J., Utton, C., Azakli, Y., & Goodall, R. (2025). Casting Homogeneity of Scaled-Up Multiprincipal Component Alloys. Journal of Manufacturing and Materials Processing, 9(2), 41. https://doi.org/10.3390/jmmp9020041

