Removing High-Velocity Oxyfuel Coatings Through Electrolytic Dissolution
Abstract
1. Introduction
2. Materials and Methods
2.1. Sample Preparation
2.2. Electrolyte Selection
2.3. Experimental Planning
3. Results and Discussion
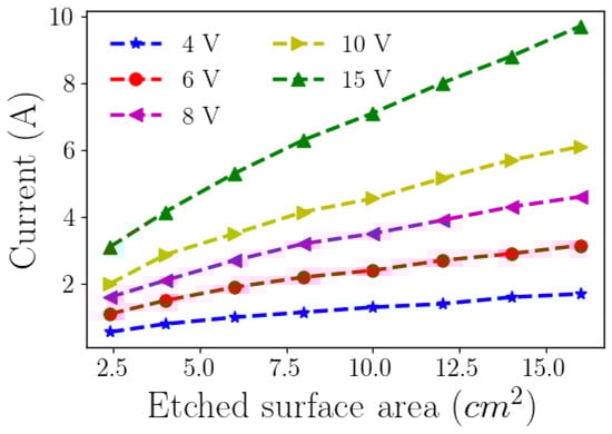
3.1. Effect of Etched Surface Area on Current
| Etched Surface Area S (cm2) | Current I (A) | ||||
|---|---|---|---|---|---|
| U = 4 V | U = 6 V | U = 8 V | U = 10 V | U = 15 V | |
| 2.4 | 0.56 | 1.1 | 1.6 | 2 | 3.1 |
| 4 | 0.8 | 1.5 | 2.1 | 2.87 | 4.15 |
| 6 | 1 | 1.9 | 2.7 | 3.5 | 5.3 |
| 8 | 1.15 | 2.2 | 3.2 | 4.15 | 6.3 |
| 10 | 1.3 | 2.4 | 3.5 | 4.55 | 7.1 |
| 12 | 1.4 | 2.7 | 3.9 | 5.15 | 8 |
| 14 | 1.6 | 2.9 | 4.3 | 5.7 | 8.8 |
| 16 | 1.7 | 3.15 | 4.6 | 6.1 | 9.7 |
| 18 | 1.8 | 3.4 | 4.85 | 6.3 | 10.2 |
3.2. Effect of Electrode Distance on Current Density
| Electrode Distance (mm) | Current Density J (A/dm2) | ||||
|---|---|---|---|---|---|
| U = 4 V | U = 6 V | U = 8 V | U = 10 V | U = 15 V | |
| 5 | 25.4 | 44.8 | 55.2 | - | - |
| 15 | 13.3 | 26.5 | 37.6 | 48.6 | - |
| 25 | 11.6 | 22.1 | 32.0 | 42.0 | - |
| 35 | 9.9 | 19.3 | 28.5 | 37.6 | - |
| 45 | 9.4 | 17.7 | 26.5 | 34.3 | 54.1 |
| 55 | 8.8 | 16.6 | 24.9 | 32.0 | 50.8 |
| 65 | 8.3 | 15.5 | 22.7 | 29.8 | 48.1 |
| 75 | 7.7 | 14.9 | 21.5 | 28.2 | 45.3 |
| 85 | 7.2 | 13.8 | 20.4 | 27.1 | 43.6 |
| 95 | 6.9 | 13.3 | 19.9 | 26.0 | 42.0 |
| 105 | 6.6 | 12.7 | 18.8 | 24.9 | 40.3 |
| 115 | 6.1 | 12.2 | 18.2 | 23.8 | 38.7 |
| 125 | 6.1 | 11.6 | 17.7 | 23.2 | 37.6 |
| 135 | 6.1 | 11.0 | 16.6 | 22.1 | 35.9 |
| 145 | 5.5 | 11.0 | 16.0 | 21.5 | 34.8 |
| 155 | 5.5 | 10.5 | 15.5 | 21.0 | 33.7 |
| 175 | 5.0 | 9.9 | 14.9 | 19.3 | 32.0 |
| 195 | 5.0 | 9.4 | 13.8 | 18.2 | 29.3 |
3.3. Effect of Voltage on Current Density
| U (volt) | I (A) | J (A/dm2) | U (volt) | I (A) | J (A/dm2) |
|---|---|---|---|---|---|
| 1 | 0.1 | 0.6 | 11 | 4.8 | 26.5 |
| 2 | 0.3 | 1.7 | 12 | 5.3 | 29.3 |
| 3 | 0.7 | 3.9 | 13 | 5.8 | 32.0 |
| 4 | 1.2 | 6.6 | 14 | 6.3 | 34.8 |
| 5 | 1.7 | 9.4 | 15 | 6.8 | 37.6 |
| 6 | 2.3 | 12.7 | 16 | 7.4 | 40.9 |
| 7 | 2.8 | 15.5 | 17 | 7.9 | 43.6 |
| 8 | 3.2 | 17.7 | 18 | 8.5 | 47.0 |
| 9 | 3.8 | 21.0 | 19 | 9 | 49.7 |
| 10 | 4.3 | 23.8 | 20 | 9.5 | 52.5 |
3.4. Effect of Electrolyte Temperature on Current Density
| T (°C) | I (A) | J (A/dm2) | T (°C) | I (A) | J (A/dm2) |
|---|---|---|---|---|---|
| 26 | 3.6 | 19.9 | 33 | 4.3 | 23.8 |
| 27 | 3.6 | 19.9 | 34 | 4.4 | 24.3 |
| 28 | 3.7 | 20.4 | 35 | 4.5 | 24.9 |
| 29 | 3.8 | 21.0 | 36 | 4.6 | 25.4 |
| 30 | 3.9 | 21.5 | 37 | 4.6 | 25.4 |
| 31 | 4.2 | 23.2 | 38 | 4.7 | 26.0 |
| 32 | 4.2 | 23.2 |
3.5. HVOF Coating Removal with Different Combinations of Process Parameters
3.5.1. Fine Conditions Test
3.5.2. Test of Productive Conditions
3.5.3. Test on the Effect of Intensive Conditions on the Base Material
3.5.4. Selection of a Key Parameter for the Corrosion Protection of Steel
3.6. Application of Technology to Shaped Parts
3.6.1. HVOF Coating Removal from a Shaped Part Using a Single Electrode
3.6.2. HVOF Coating Removal from a Shaped Part Using Four Electrodes
4. Conclusions
- HVOF coating removal is possible by using a non-contact process, electrolytic dissolution, without damaging the integrity of the base materials.
- The following process parameters are recommended for removing the coating completely without etching the base material with duration of 10 h: a voltage of 4.5 V; an electrolyte temperature of 26–28 °C; and an electrode distance of 55 mm.
- The experiments measured the current dependency across different etched surface areas while keeping the temperature and electrode distance constant. It was found that the current increased with the surface area, but the current density decreased.
- The current density decreased with electrode distance, establishing an inverse relationship between them.
- A direct relationship was found between the voltage and current density at a fixed temperature, electrode distance, and etched area. The results indicated a linear increase in current density with voltage.
- Higher temperatures resulted in increased current density, though a maximum threshold (32 °C) was suggested to prevent significant gas evolution and electrolyte degradation.
- From the experiments for different test conditions, it was found that in the fine and productive conditions with low and moderate values of voltage, the HVOF coating was removed successfully without etching the base material, as compared to the intensive condition with a higher value of voltage.
- The experiments with a single cathode and four cathodes showed that multiple cathodes enhanced the uniformity and reduced the coating removal time.
- The real-world application of the electrolytic dissolution process was tested on actual components, TOOLOX-11 tab and hexagonal mandrel, proving effective at achieving the desired coating removal.
- The presented method was used to remove the HVOF coating with a certain range and combination of process parameters and taking more time for successful removal without affecting the base material. It is applicable only for the overhaul of the components, for those that do not require frequent recoating, because it is time-consuming process. Other than the above limitation, the electrolytic dissolution is applicable only for conductive materials.
- The present study can be extended to other electrolytes to find if lower values of the input parameter voltage, electrode distance, and electrolyte temperature can give the same effective removal of coating in terms of utilizing less energy input.
Author Contributions
Funding
Data Availability Statement
Conflicts of Interest
References
- Lee, H.-B.; Lin, T.-J.; Lee, C.-Y. Corrosion of high-velocity-oxygen-fuel (HVOF) sprayed non-crystalline alloy coating in marine environment. Surf. Coat. Technol. 2021, 409, 126896. [Google Scholar] [CrossRef]
- Wu, M.; Pan, L.; Duan, H.; Wan, C.; Yang, T.; Gao, M.; Yu, S. Study on Wear Resistance and Corrosion Resistance of HVOF Surface Coating Refabricate for Hydraulic Support Column. Coatings 2021, 11, 1457. [Google Scholar] [CrossRef]
- Santana, Y.Y.; La Barbera-Sosa, J.G.; Bencomo, A.; Lesage, J.; Chicot, D.; Bemporad, E.; Puchi-Cabrera, E.S.; Staia, M.H. Influence of mechanical properties of tungsten carbide–cobalt thermal coating coatings on their solid particle erosion behaviour. Surf. Eng. 2012, 28, 237–243. [Google Scholar] [CrossRef]
- Vats, A.; Kumar, A.; Patnaik, A.; Meena, M.L. Influence of deposition parameters on Tribological Performance of HVOF Coating: A review. IOP Conf. Ser. Mater. Sci. Eng. 2021, 1017, 012015. [Google Scholar] [CrossRef]
- Javed, M.A.; Ang, A.S.M.; Bhadra, C.M.; Piola, R.; Neil, W.C.; Berndt, C.C.; Leigh, M.; Howse, H.; Wade, S.A. Corrosion and mechanical performance of HVOF WC-based coatings with alloyed nickel binder for use in marine hydraulic applications. Surf. Coat. Technol. 2021, 418, 127239. [Google Scholar] [CrossRef]
- Singh, V.; Kumar, V.; Bansal, A.; Singla, A.K.; Verma, R. Corrosion–Cavitation Erosion Improvement of Marine Steel by High-Velocity Oxy-fuel-Sprayed Vanadium Carbide Coatings and Polytetrafluorethylene Topcoat. J. Mater. Eng. Perform. 2024. [Google Scholar] [CrossRef]
- Ma, X.; Ruggiero, P.; Bhattacharya, R.; Rai, A.K. Optimization of HVOF-Applied Erosion-Resistant Coatings for Large Compressor and Fan Airfoils in STOVL Aircrafts. J. Therm. Coat. Technol. 2024, 33, 367–380. [Google Scholar] [CrossRef]
- Mora, J.; García, P.; Muelas, R.; Agüero, A. Hard Quasicrystalline Coatings Deposited by HVOF Thermal Coating to Reduce Ice Accretion in Aero-Structures Components. Coatings 2020, 10, 290. [Google Scholar] [CrossRef]
- Li, N.; Wang, Q.; Dong, F.; Liu, X.; Han, P.; Han, Y. Research Progress of Coating Preparation on Light Alloys in Aviation Field: A Review. Materials 2022, 15, 8535. [Google Scholar] [CrossRef] [PubMed]
- Farokhian, G.; Salehnasab, B.; Zat Ajam, H.; Nahidi, H. Influence of WC–20Co–1Ni coating by HVOF on lifespan of the downhole drilling motors. Surf. Eng. 2018, 34, 771–782. [Google Scholar] [CrossRef]
- Kılıç, H.; Mısırlı, C. Investigation of tribological behavior of 20NiCrBSi-WC12Co coated brake disc by HVOF method. Mater. Res. Express 2020, 7, 016560. [Google Scholar] [CrossRef]
- Usmani, S.; Sampath, S.; Houck, D.L.; Lee, D. Effect of Carbide Grain Size on the Sliding and Abrasive Wear Behavior of Thermally sprayed WC-Co Coatings. Tribol. Trans. 1997, 40, 470–478. [Google Scholar] [CrossRef]
- Nahvi, S.M.; Jafari, M. Microstructural and mechanical properties of advanced HVOF-sprayed WC-based cermet coatings. Surf. Coat. Technol. 2016, 286, 95–102. [Google Scholar] [CrossRef]
- Sahraoui, T.; Fenineche, N.-E.; Montavon, G.; Coddet, C. Alternative to chromium: Characteristics and wear behavior of HVOF coatings for gas turbine shafts repair (heavy-duty). J. Mater. Process. Technol. 2004, 152, 43–55. [Google Scholar] [CrossRef]
- Nascimento, M.P.; Souza, R.C.; Miguel, I.M.; Pigatin, W.L.; Voorwald, H.J.C. Effects of tungsten carbide thermal spray coating by HP/HVOF and hard chromium electroplating on AISI 4340 high strength steel. Surf. Coat. Technol. 2001, 138, 113–124. [Google Scholar] [CrossRef]
- Hazra, S.; Sabiruddin, K.; Bandyopadhyay, P.P. Plasma and HVOF sprayed WC–Co coatings as hard chrome replacement solution. Surf. Eng. 2012, 28, 37–43. [Google Scholar] [CrossRef]
- Ruusuvuori, K.; Lahdenpera, K.; Oksa, M.; Turunen, E.; Kauppila, J.; van Wonderen, M. Controlled HVOF hard coating removal method. In Proceedings of the 2005 WJTA American Waterjet Conference, Paper 5B-2, Houston, TX, USA, 21–23 August 2005. [Google Scholar]
- Bolelli, G.; Lusvarghi, L.; Barletta, M. HVOF-sprayed WC–CoCr coatings on Al alloy: Effect of the coating thickness on the tribological properties. Wear 2009, 267, 944–953. [Google Scholar] [CrossRef]
- Sapate, S.G.; Tangselwar, N.; Paul, S.N.; Rathod, R.C.; Mehar, S.; Gowtam, D.S.; Roy, M. Effect of Coating Thickness on the Slurry Erosion Resistance of HVOF-sprayed WC-10Co-4Cr Coatings. J. Therm. Coat. Technol. 2021, 30, 1365–1379. [Google Scholar] [CrossRef]
- Globisch, S.; Friedrich, M.; Heidemann, N.; Döpper, F. Tool Concept for a Solid Carbide End Mill for Roughing and Finishing of the Tool Steel Toolox 44. J. Manuf. Mater. Process. 2024, 8, 170. [Google Scholar] [CrossRef]















| Exp. Set | Voltage (Volt) | Etched Surface Area (cm2) | Electrode Distance (mm) | Electrolyte Temperature (°C) |
|---|---|---|---|---|
| 1. | 4, 6, 8, 10, and 15 | 2.4, 4, 6, 8, 10, 12, 14, 16, and 18 | 45 | 31 |
| 2. | 18 | 5 to 195 with increment of 10 mm | ||
| 3. | 1 to 21 with increment of 1 volt | 55 | 21 | |
| 4. | 8 | 55 | 26 to 38 with increment of 1 °C |
Disclaimer/Publisher’s Note: The statements, opinions and data contained in all publications are solely those of the individual author(s) and contributor(s) and not of MDPI and/or the editor(s). MDPI and/or the editor(s) disclaim responsibility for any injury to people or property resulting from any ideas, methods, instructions or products referred to in the content. |
© 2025 by the authors. Licensee MDPI, Basel, Switzerland. This article is an open access article distributed under the terms and conditions of the Creative Commons Attribution (CC BY) license (https://creativecommons.org/licenses/by/4.0/).
Share and Cite
Pitrmuc, Z.; Rana, V.; Slaný, M.; Kyncl, J.; Pathak, S.; Beránek, L. Removing High-Velocity Oxyfuel Coatings Through Electrolytic Dissolution. J. Manuf. Mater. Process. 2025, 9, 40. https://doi.org/10.3390/jmmp9020040
Pitrmuc Z, Rana V, Slaný M, Kyncl J, Pathak S, Beránek L. Removing High-Velocity Oxyfuel Coatings Through Electrolytic Dissolution. Journal of Manufacturing and Materials Processing. 2025; 9(2):40. https://doi.org/10.3390/jmmp9020040
Chicago/Turabian StylePitrmuc, Zdeněk, Vivek Rana, Michal Slaný, Jiří Kyncl, Sunil Pathak, and Libor Beránek. 2025. "Removing High-Velocity Oxyfuel Coatings Through Electrolytic Dissolution" Journal of Manufacturing and Materials Processing 9, no. 2: 40. https://doi.org/10.3390/jmmp9020040
APA StylePitrmuc, Z., Rana, V., Slaný, M., Kyncl, J., Pathak, S., & Beránek, L. (2025). Removing High-Velocity Oxyfuel Coatings Through Electrolytic Dissolution. Journal of Manufacturing and Materials Processing, 9(2), 40. https://doi.org/10.3390/jmmp9020040

