An Adsorption Model Considering Fictitious Stress
Abstract
1. Introduction
2. Model Formulation
- (1)
- The adsorption of gas in coal seams is a single-layer adsorption, with the same molecular adsorption heat at different adsorption sites;
- (2)
- The fictitious stress exerted by adsorbed gas molecules on the coal seam is uniform, and the strain induced in the sample is solely attributed to gas adsorption;
- (3)
- There is no interaction among adsorbed gas molecules;
- (4)
- The adsorption of gas on the external surface of the sample is neglected;
- (5)
- During the gas adsorption process, only the capillary pore size is changed, without affecting the coal seam volume.
3. Results and Validation
4. Analysis and Discussion
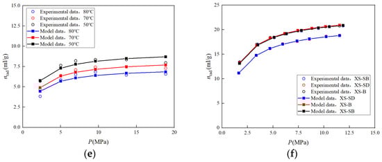
4.1. Basic Parameter Settings for the Model
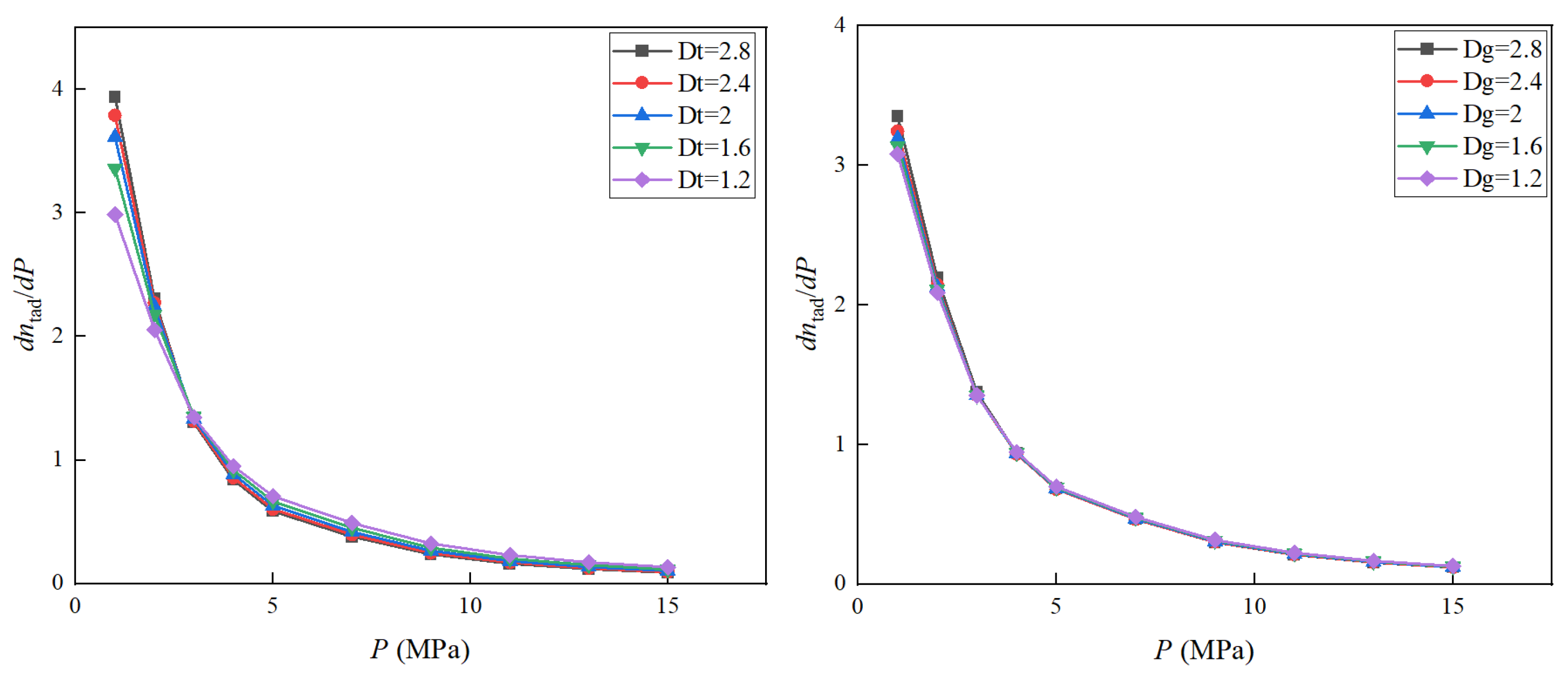
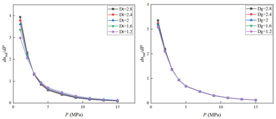
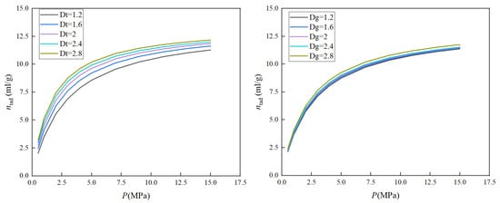
4.2. The Influence of Fractal Dimension on Gas Adsorption Capacity
4.3. The Relationship Between Fictitious Stress and Gas Adsorption Capacity
4.4. Changes in Porosity and Permeability During the Gas Adsorption Process
5. Conclusions
- (1)
- The fractal dimensions of curvature (Dt) and capillary (Dg) are positively correlated with the gas adsorption capacity of coal seams. This indicates that the complexity of the coal seam pore structure directly affects the coal seam’s ability to adsorb gases. The results of single-factor analysis comparison show that the dominant factor for the difference in adsorption capacity of different coal seam samples under the same conditions is the specific surface area.
- (2)
- The fictitious stress generated during gas adsorption alters the pore structure of the coal seam, causing the coal seam’s maximum gas adsorption capacity to vary rather than remain fixed. This phenomenon leads to discrepancies between the predictions of existing gas adsorption models and actual observations.
- (3)
- Gas adsorption primarily affects the diffusion of gas within the matrix, with minimal impact on the gas storage mechanisms. During coalbed methane development, the matrix is typically under high-pressure conditions, and in this scenario, gas adsorption does not cause significant changes in the reservoir’s porosity or permeability.
Author Contributions
Funding
Data Availability Statement
Conflicts of Interest
References
- Moore, T.A. Coalbed methane: A review. Int. J. Coal Geol. 2012, 101, 36–81. [Google Scholar] [CrossRef]
- Curtis, J.B. Fractured shale-gas systems. AAPG Bull. 2002, 86, 1921–1938. [Google Scholar]
- Mengal, S.A.; Wattenbarger, R.A. Accounting for adsorbed gas in shale gas reservoirs. In Proceedings of the SPE Middle East Oil and Gas Show and Conference, Manama, Bahrain, 25–28 September 2011. [Google Scholar]
- Saad, A.; Abeeb, A.; Guenther, G.; Stephen, A.; Ibrahim, A.; Ahmed, G. Langmuir adsorption isotherm in unconventional resources: Applicability and limitations. J. Pet. Sci. Eng. 2021, 207, 109172. [Google Scholar] [CrossRef]
- Myong, R.S. Gaseous slip models based on the Langmuir adsorption isotherm. Phys. Fluids 2004, 16, 104–117. [Google Scholar] [CrossRef]
- Pan, J.; Jiao, F.; Wang, K.; Li, Y.; Song, D.; Hou, Q. Molecular simulations of the effects of CO2 and N2 injection on CH4 adsorption, coal porosity and permeability. Adv. Geo-Energy Res. 2024, 12, 205–222. [Google Scholar] [CrossRef]
- Li, Y.; Dong, P.; Zhang, H.; Cao, N.; Wang, Y. Analysis on apparent permeability of shalematrix based on fractal theory. Pet. Geol. Recovery Effic. 2017, 24, 92–99+105. [Google Scholar]
- Gasparik, M.; Bertier, P.; Gensterblum, Y.; Ghanizadeh, A.; Krooss, B.M.; Littke, R. Geological controls on the methane storage capacity in organic-rich shales. Int. J. Coal Geol. 2014, 123, 34–51. [Google Scholar] [CrossRef]
- Xiangrong, N.; Junbin, C.; Yi, C.; Diguang, G.; Hao, D. Analysis of Coal Swelling Deformation Caused by Carbon Dioxide Adsorption Based on X-Ray Computed Tomography. Geofluids 2018, 2018, 6939827. [Google Scholar] [CrossRef]
- Sander, R.; Pan, Z.; Connell, L.D. Laboratory measurement of low permeability unconventional gas reservoir rocks: A review of experimental methods. J. Nat. Gas Sci. Eng. 2017, 37, 248–279. [Google Scholar] [CrossRef]
- Xiangjie, Q.; Jianchao, C.; Gang, W. Pore-scale modeling of pore structure properties and wettability effect on permeability of low-rank coal. Int. J. Min. Sci. Technol. 2023, 33, 573–584. [Google Scholar] [CrossRef]
- Sampath, K.H.S.M.; Perera, M.S.A.; Li, D.-y.; Ranjith, P.G.; Matthai, S.K. Evaluation of the mechanical behaviour of brine+CO2 saturated brown coal under mono-cyclic uni-axial compression. Eng. Geol. 2019, 263, 105312. [Google Scholar] [CrossRef]
- ShengZhi, Q.; XiaoHua, T.; Ping, L.X.; Zhan, M.; YouJie, X. Numerical simulation and experimental verification studies on a unified strength theory-based elastoplastic damage constitutive model of shale. Nat. Gas Ind. B 2021, 8, 267–277. [Google Scholar]
- Zhenzhi, W.; Xuehai, F.; Ming, H.; Guofu, L.; Jienan, P.; Qinghe, N.; He, Z. Experimental insights into the adsorption-desorption of CH4/N2 and induced strain for medium-rank coals. J. Pet. Sci. Eng. 2021, 204, 108705. [Google Scholar] [CrossRef]
- Chuanzhong, J.; Jishan, L.; Yee-Kwong, L.; Derek, E. Evolution of coal permeability during gas/energy storage. Int. J. Hydrogen Energy 2024, 53, 1373–1386. [Google Scholar] [CrossRef]
- Shi, R.; Liu, J.; Wang, X.; Elsworth, D.; Wang, Z.; Wei, M.; Cui, G. Experimental Observations of Gas-sorption-Induced Strain Gradients and their Implications on Permeability Evolution of Shale. Rock Mech. Rock Eng. 2021, 54, 3927–3943. [Google Scholar] [CrossRef]
- Lin, S.; Chang, X.; Wang, K.; Yang, C.; Guo, Y. Swelling damage characteristics induced by CO2 adsorption in shale: Experimental and modeling approaches. J. Rock Mech. Geotech. Eng. 2024. in press. [Google Scholar] [CrossRef]
- Martin, J.W.; Botero, M.; Slavchov, R.I.; Bowal, K.; Akroyd, J.; Mosbach, S.; Kraft, M. Flexoelectricity and the Formation of Carbon Nanoparticles in Flames. J. Phys. Chem. C 2018, 122, 22210–22215. [Google Scholar] [CrossRef]
- Commodo, M.; Kaiser, K.; Falco, G.D.; Minutolo, P.; Schulz, F.; D’Anna, A.; Gross, L. On the early stages of soot formation: Molecular structure elucidation by high-resolution atomic force microscopy. Combust. Flame 2019, 205, 154–164. [Google Scholar] [CrossRef]
- Alcañiz-Monge, J.; Lozano-Castelló, D.; Cazorla-Amorós, D.; Linares-Solano, A. Fundamentals of methane adsorption in microporous carbons. Microporous Mesoporous Mater. 2009, 124, 110–116. [Google Scholar] [CrossRef]
- Li, Y.; Yu, D.; Niu, B. Prediction of spontaneous imbibition in fractal porous media based on modified porosity correlation. Capillarity 2021, 4, 13–22. [Google Scholar] [CrossRef]
- Jin, T.; Cai, X.; Chen, Y.; Jiang, S.; Wei, W. A fractal-based model for soil water characteristic curve over entire range of water content. Capillarity 2019, 2, 66–75. [Google Scholar] [CrossRef]
- Liu, F.; Chu, W.; Sun, W.; Xue, Y.; Jiang, Q. A DFT study of methane activation on graphite surfaces with vacancy defects. J. Nat. Gas Chem. 2012, 21, 708–712. [Google Scholar] [CrossRef]
- Xiao, B.; Wang, W.; Zhang, X.; Long, G.; Fan, J.; Chen, H.; Deng, L. A novel fractal solution for permeability and Kozeny-Carman constant of fibrous porous media made up of solid particles and porous fibers. Powder Technol. 2019, 349, 92–98. [Google Scholar] [CrossRef]
- Tan, X.; Zhou, X.; Li, H.; Peng, X.; Li, L.; Li, Q.; Li, Q.; Wu, T. A seepage model for solid-phase particle instability in porous media-based fractal theory. Fractals 2023, 31, 2340182. [Google Scholar] [CrossRef]
- Han, X.; Tan, X.; Li, X.; Pang, Y.; Zhang, L. Research on water invasion performance of complex fracture-vuggy gas reservoirs based on classification modeling. Adv. Geo-Energy Res. 2021, 5, 222–232. [Google Scholar] [CrossRef]
- Shi, Y.; Guo, Y.; Dehghanpour, H.; Song, H. A fractal effective permeability model for dual-wet porous Media. Adv. Geo.-Energy Res. 2023, 8, 100–111. [Google Scholar] [CrossRef]
- Yao, Y.; Liu, D.; Tang, D.; Tang, S.; Huang, W. Fractal characterization of adsorption-pores of coals from North China: An investigation on CH 4 adsorption capacity of coals. Int. J. Coal Geol. 2007, 73, 27–42. [Google Scholar] [CrossRef]
- Wang, Y.; Du, B.; Dou, X.; Liu, J.; Shi, B.; Wang, D.; Tang, H. Study on the pore surface fractal dimension and surface acid–base properties of natural particles around Guanting reservoir. Colloids Surf. A Physicochem. Eng. Asp. 2007, 307, 16–27. [Google Scholar] [CrossRef]
- Xu, S.; Zhou, Z.; Yu, G.; Wang, F. Effects of Pyrolysis on the Pore Structure of Four Chinese Coals. Energy Fuels 2010, 24, 1114–1123. [Google Scholar] [CrossRef]
- Smith, M.A.; Lobo, R.F. A fractal description of pore structure in block-copolymer templated mesoporous silicates. Microporous Mesoporous Mater. 2009, 131, 204–209. [Google Scholar] [CrossRef]
- Armatas, G.S.; Salmas, C.E.; Louloudi, M.; Androutsopoulos, G.P.; Pomonis, P.J. Relationships among pore size, connectivity, dimensionality of capillary condensation, and pore structure tortuosity of functionalized mesoporous silica. Langmuir ACS J. Surf. Colloids 2003, 19, 3128–3136. [Google Scholar] [CrossRef]
- Sun, W.; Feng, Y.; Jiang, C.; Chu, W. Fractal characterization and methane adsorption features of coal particles taken from shallow and deep coalmine layers. Fuel 2015, 155, 7–13. [Google Scholar] [CrossRef]
- Sakurovs, R.; Day, S.; Weir, S.; Duffy, G. Application of a Modified Dubinin−Radushkevich Equation to Adsorption of Gases by Coals under Supercritical Conditions. Energy Fuels 2007, 21, 992–997. [Google Scholar] [CrossRef]
- Tang, X.; Ripepi, N.; Stadie, N.P.; Yu, L.; Hall, M.R. A dual-site Langmuir equation for accurate estimation of high pressure deep shale gas resources. Fuel 2016, 185, 10–17. [Google Scholar] [CrossRef]
- Pini, R.; Ottiger, S.; Burlini, L.; Storti, G.; Mazzotti, M. Sorption of carbon dioxide, methane and nitrogen in dry coals at high pressure and moderate temperature. Int. J. Greenh. Gas Control 2009, 4, 90–101. [Google Scholar] [CrossRef]
- Zou, J.; Rezaee, R. A Prediction Model for Methane Adsorption Capacity in Shale Gas Reservoirs. Energies 2019, 12, 280. [Google Scholar] [CrossRef]
- Jin, Y.; Li, Y.; Song, H. A preliminary study of coalbed methane adsorption at fractal interfaces. Coal Geol. Explor. 2024, 52, 2. [Google Scholar] [CrossRef]
- Liu, H.-H.; Rutqvist, J. A New Coal-Permeability Model: Internal Swelling Stress and Fracture–Matrix Interaction. Transp. Porous Med. 2010, 82, 157–171. [Google Scholar] [CrossRef]
- Cui, X.; Bustin, R.M.; Chikatamarla, L. Adsorption-induced coal swelling and stress: Implications for methane production and acid gas sequestration into coal seams. J. Geophys. Res. Solid Earth 2007, 112, B10202. [Google Scholar] [CrossRef]
- Yu, B.; Cheng, P. A fractal permeability model for bi-dispersed porous media. Int. J. Heat Mass Transf. 2002, 45, 2983–2993. [Google Scholar] [CrossRef]
- Boqi, X.; Huaizhi, Z.; Fengye, C.; Gongbo, L.; Yi, L. A fractal analytical model for Kozeny-Carman constant and permeability of roughened porous media composed of particles and converging-diverging capillaries. Powder Technol. 2023, 420, 118256. [Google Scholar] [CrossRef]
- Pan, J.; Hou, Q.; Ju, Y.; Bai, H.; Zhao, Y. Coalbed methane sorption related to coal deformation structures at different temperatures and pressures. Fuel 2012, 102, 760–765. [Google Scholar] [CrossRef]
- Wang, Z.; Li, Y.; Wang, Z.; Zhou, L. Factors Influencing the Methane Adsorption Capacity of Coal and Adsorption Heat Variations. Energy Fuels 2023, 37, 13080–13092. [Google Scholar] [CrossRef]
- Zhu, C.-J.; Ren, J.; Wan, J.; Lin, B.-Q.; Yang, K.; Li, Y. Methane adsorption on coals with different coal rank under elevated temperature and pressure. Fuel 2019, 254, 115686. [Google Scholar] [CrossRef]
- Xu, S.; Hu, E.; Li, X.; Xu, Y. Quantitative Analysis of Pore Structure and Its Impact on Methane Adsorption Capacity of Coal. Nat. Resour. Res. 2020, 30, 605–620. [Google Scholar] [CrossRef]
- Liu, Y.; Zhu, Y.; Liu, S.; Li, W.; Tang, X. Temperature effect on gas adsorption capacity in different sized pores of coal: Experiment and numerical modeling. J. Pet. Sci. Eng. 2018, 165, 821–830. [Google Scholar] [CrossRef]
- Meng, Z.; Liu, S.; Li, G. Adsorption capacity, adsorption potential and surface free energy of different structure high rank coals. J. Pet. Sci. Eng. 2016, 146, 856–865. [Google Scholar] [CrossRef]
- Zhao, J.; Xu, H.; Tang, D.; Mathews, J.P.; Li, S.; Tao, S. A comparative evaluation of coal specific surface area by CO2 and N2 adsorption and its influence on CH4 adsorption capacity at different pore sizes. Fuel 2016, 183, 420–431. [Google Scholar] [CrossRef]
- Zhou, W.; Gao, K.; Xue, S.; Han, Y.; Shu, C.-M.; Huang, P. Experimental study of the effects of gas adsorption on the mechanical properties of coal. Fuel 2020, 281, 118745. [Google Scholar] [CrossRef]










| Basic Parameters | Fit Data |
|---|---|
| M, mol/kg | 0.0016 |
| E (MPa) | 1713 |
| v | 0.35 |
| rmax, m | 0.001 |
| rmin, m | 3.8 × 10−10 |
| cf, MPa−1 | 0.058 |
| Data | R2 | ||
|---|---|---|---|
| 1 | 0.997 (30 °C) | 0.990 (50 °C) | 0.988 (70 °C) |
| 2 | 0.735 (SM) | 0.940 (XJ) | 0.991 (HN) |
| 3 | 0.926 (25 °C) | 0.999 (80 °C) | 0.987 (200 °C) |
| 4 | 0.630 (25 °C) | 0.838 (80 °C) | 0.988 (200 °C) |
| 5 | 0.762 (50 °C) | 0.922 (70 °C) | 0.840 (80 °C) |
| 6 | 0.999 (XS-SB) | 0.997 (XS-SD) | 0.998 (XS-B) |
Disclaimer/Publisher’s Note: The statements, opinions and data contained in all publications are solely those of the individual author(s) and contributor(s) and not of MDPI and/or the editor(s). MDPI and/or the editor(s) disclaim responsibility for any injury to people or property resulting from any ideas, methods, instructions or products referred to in the content. |
© 2024 by the authors. Licensee MDPI, Basel, Switzerland. This article is an open access article distributed under the terms and conditions of the Creative Commons Attribution (CC BY) license (https://creativecommons.org/licenses/by/4.0/).
Share and Cite
Tan, X.; Ma, X.; Li, X.; Li, Y. An Adsorption Model Considering Fictitious Stress. Fractal Fract. 2025, 9, 17. https://doi.org/10.3390/fractalfract9010017
Tan X, Ma X, Li X, Li Y. An Adsorption Model Considering Fictitious Stress. Fractal and Fractional. 2025; 9(1):17. https://doi.org/10.3390/fractalfract9010017
Chicago/Turabian StyleTan, Xiaohua, Xinjian Ma, Xiaoping Li, and Yilong Li. 2025. "An Adsorption Model Considering Fictitious Stress" Fractal and Fractional 9, no. 1: 17. https://doi.org/10.3390/fractalfract9010017
APA StyleTan, X., Ma, X., Li, X., & Li, Y. (2025). An Adsorption Model Considering Fictitious Stress. Fractal and Fractional, 9(1), 17. https://doi.org/10.3390/fractalfract9010017

