Abstract
In this article, we focused on the fractional order modeling, simulations and neural networking to observe the correlation between severity of infection in HIV-AIDS patients and the role of treatments and control. The model is structured with eight classes and a modified Atangana–Baleanu derivative in Caputo’s sense. The model has several interlinking parameters which show the rates of transmission between classes. We assumed natural death and death on the disease severity in patients. The model was analyzed mathematically as well as computationally. In the mathematical aspects, was plotted for different cases which play a vital role in the infection spread in the population. The model was passed through qualitative analysis for the existence of solutions and stability results. A computational scheme is developed for the model and is applied for the numerical results to analyze the intricate dynamics of the infection. It has been observed that there is a good resemblance in the results for the correlation between the hospitalization, vaccination and recovery rate of the patients. These are reaffirmed with the neural networking tools for the regression, probability, clustering, mean square error and fitting data.
MSC:
33C10; 11K70; 33B20; 52A41; 05B20; 26D07
1. Introduction
HIV (human immunodeficiency virus) continues to pose a worldwide threat to health, affecting about 38.4 million individuals as of 2023. HIV is primarily transmitted through unprotected sexual intercourse, utilizing used needles and vertical transmission from mother to offspring. If not treated, HIV can advance to AIDS (acquired immunodeficiency syndrome), resulting in substantial damage to the immune system. Antiretroviral therapy (ART) has produced significantly better results, with roughly 28.7 million people obtaining treatment worldwide, contributing to a drop in AIDS-related deaths from 1.4 million in 2004 to an expected 630,000 in 2023. Although cases of infection persist, with 1.3 million individuals newly affected in 2023, preventive strategies, including pre-exposure prophylaxis (PrEP), condom utilization and regular testing, are crucial for diminishing the number of infections and furthering initiatives to manage and eventually eliminate the HIV epidemic [1,2,3].
HIV (human immunodeficiency virus) is a retrovirus that broadly infects CD4+ T cells, which are a vital constituent of the immune system, followed by gradual immunity deterioration.The virus reproduces and destroys cells, compromising the body’s capacity to generate efficient immune responses, ultimately leading to immunodeficiency and increasing susceptibility to opportunistic infections and cancers. The transition from HIV to AIDS (acquired immunodeficiency syndrome) signifies a pivotal phase, characterized by significant immune system damage, exposing patients to many life-threatening problems, including tuberculosis, pneumonia and certain malignancies, such as Kaposi’s sarcoma [4]. Although HIV may be asymptomatic for years, its clinical manifestations usually present as chronic fatigue, unexplained weight loss and lymphadenopathy. Conventional therapeutic strategies primarily utilize antiretroviral therapy (ART), which involves a combination of pharmaceuticals designed to suppress the transmission of viruses, thereby reducing the amount of viral infection, increasing immune function and promoting patient survival. While ART does not eliminate the virus, treatment results in a significantly improved prognosis, making HIV a tolerable chronic illness when it is consistently treated [5,6]. Current research efforts aim to enhance therapy options, incorporating potential remedies through gene therapies, immunomodulation and vaccine creation; however, these initiatives are still in preliminary phases. Timely diagnosis and continuous treatment are essential for reducing the long-term health consequences of HIV and improving individual quality of life [7,8].
Liver transplantation in HIV/AIDS patients offers a novel and intricate therapeutic opportunity for individuals who progress to end-stage liver disease (ESLD) due to chronic hepatitis, cirrhosis or liver cancer, illnesses frequently exacerbated by infection with HIV. HIV directly affects the immune system, resulting in immunodeficiency, and coinfection with hepatitis B or C virus occurs frequently among HIV-positive patients, significantly increasing their risk of liver illness. Liver transplantation may be considered in these patients when standard therapies for liver failure prove futile, if the patient is otherwise suitable for surgery [9,10]. The principal problem in liver transplantation for HIV/AIDS patients is the necessity of immunosuppressive medication following the procedure to prevent organ rejection. HIV-positive individuals are inherently compromised; therefore, the administration of immunosuppressive agents post-transplant requires meticulous management to equilibrate the risk of organ failure with the potential for opportunistic infections and unrestrained transmission of HIV. To mitigate these concerns, HIV care in liver transplantation involves rigorous antiretroviral therapy (ART) to sustain the suppression of viral replication and a specialized immunosuppressive treatment that prevents excessive immune system compromise [11]. Research indicates that liver transplantation can be effective in HIV-positive patients, especially when HIV is effectively managed with antiretroviral therapy and when the patient’s CD4 level is sufficient (generally over 200 cells/µL). Furthermore, liver transplantation in this group has exhibited favorable long-term survival rates, akin to those of HIV-negative persons, contingent upon diligent monitoring and coordinated treatment [12]. Liver transplantation is a high-risk treatment for HIV/AIDS patients, requiring a multidisciplinary strategy that includes hepatologists, infectious disease specialists, transplant surgeons and other healthcare professionals to optimize outcomes [13,14].
Mathematical modeling is a vital tool in the examination of infectious diseases, offering an analytical structure for examining dissemination developments, predicting epidemic patterns and assessing measures of intervention [15,16,17]. By utilizing systems of differential equations, these models determine the temporal progression of essential epidemiological variables, namely susceptible, infected and recovered populations, facilitating the identification of crucial parameters, such as the basic reproduction number , which dictates the potential for ongoing transmission [18,19,20]. The notion of bifurcations in these models pertains to qualitative alterations in the way the system functions as parameters vary where a minor modification in variables such as infection rate or recovery duration can trigger a significant transition from a disease-free equilibrium to an endemic or epidemic condition. These bifurcations are crucial for comprehending the thresholds at which interventions, such as vaccination or quarantine, substantially modify the trajectory of an outbreak [21]. Moreover, mathematical models can facilitate the optimization of control methods by simulating the effects of diverse public health interventions on disease transmission, thus illuminating policy decisions and improving readiness for future epidemics. These models provide insights into epidemiological mechanisms and aid in the development of specific approaches to reduce the societal and health consequences of infectious illnesses [22,23]. Liver transplantation in HIV/AIDS patients offers a novel and intricate therapeutic opportunity for individuals who progress to end-stage liver disease (ESLD) due to chronic hepatitis, cirrhosis or liver cancer, illnesses frequently exacerbated by infection with HIV. HIV directly affects the immune system, resulting in immunodeficiency, and coinfection with hepatitis B or C virus occurs frequently among HIV-positive patients, significantly increasing their risk of liver illness [24,25,26]. Liver transplantation may be considered in these patients when standard therapies for liver failure prove futile, if the patient is otherwise suitable for surgery. The principal problem in liver transplantation for HIV/AIDS patients is the necessity of immunosuppressive medication following the procedure to prevent organ rejection. HIV-positive individuals are inherently compromised; therefore, the administration of immunosuppressive agents post-transplant requires meticulous management to equilibrate the risk of organ failure with the potential for opportunistic infections and unrestrained transmission of HIV. To mitigate these concerns, HIV care in liver transplantation involves rigorous antiretroviral therapy (ART) to sustain the suppression of viral replication and a specialized immunosuppressive treatment that prevents excessive immune system compromise [27,28,29,30].
The HIV-AIDS with its transmission in a society with its successful treatment can be considered in the chain of transformation given in the Figure 1 below.
Figure 1.
HIV-AIDS transmission and treatment with liver transplant and positive recovery.
1.1. Significance
- This study discusses the importance of AI in understanding the complex dynamics of HIV-AIDS transmission in human population with their control by liver transplantation.
- By utilizing the FDEs and NN simulations, the model effectively describes the non-linear and intricate interactions among various classes of the population, including; susceptible, exposed, infected, cirrhosis individuals, treated, hospitalized and recovered classes.
- The AI-driven sensitivity analysis and model fitting with the help of NN tools for regression and clustering give a deeper comprehension of the parameters that influence HIV-AIDS progression and the role of treatments.
- The use of AI in combination with mathematical modeling gives a powerful tool to illustrate and optimize important healthcare strategies, such as vaccination and liver transplantation, to enhance patients’ health and public health interventions.
- The integration of AI-based simulations with epidemiological models can guide more sophisticated control measures, offering invaluable insights for officials and healthcare providers in managing infectious diseases like HIV-AIDS.
1.2. Novelty
- The combination of FDEs with AI techniques, such as neural networks, is a novel technique to modeling the transmission dynamics of HIV-AIDS, giving more significant results than traditional methods.
- The consideration of liver transplantation as a treatment procedure in the context of HIV-AIDS dynamical structures to combat the spread of the disease is an advanced technique offering better results in managing chronic infections.
- The sensitivity analysis using AI for parameter variation (e.g., vaccination rate, treatment rate) provides a deeper understanding of how these parameters affect the dynamics of HIV-AIDS, which is one of the critical steps towards improving disease control techniques.
- This study’s focus on integrating vaccination and liver transplantation within a unified model gives a scientific structure of potential interventions, highlighting a better approach to disease management.
1.3. Aims and Objective
- To produce a fractional order model and analyze its results with the AI tools to find the complex dynamics of HIV-AIDS transmission, treatment and control techniques.
- To find the impact of important interventions, such as vaccination and liver transplantation, on the spread and recovery of HIV-AIDS using both mathematical and computational procedures.
- To use sensitivity analysis and neural network-based validation methods to optimize model parameters and improve the accuracy of disease predictions.
- To provide insights into how AI-driven simulations can inform public health strategies for the effective management of HIV-AIDS and similar infectious diseases.
- To contribute to the development of advanced mathematical models that can be applied to other diseases with more complex transmission procedures, highlighting the role of AI in epidemiology.
- To construct a fractional order mathematical model for HIV-AIDS with the help of the mABC fractional order operator integrating important disease classes and control parameters such as vaccination rate and liver transplantation.
- To compute and analyze and its sensitivity to various parameters using AI techniques.
- To compute the disease dynamics under different control sources (e.g., vaccination, liver transplantation) using MATLAB and AI tools for real-time model fitting with optimization.
- To check the accuracy of the model through NN techniques and perform error analysis to ensure the accuracy and reliability of the numerical results.
- To study the effectiveness of vaccination and liver transplantation on disease outcomes in improving patients’ recovery and reducing the socioeconomic burden of HIV-AIDS in a population.
2. mABC Fractional Order HIV-AIDS Model
This section provides a detailed illustration of the mABC-HIV-AIDS model (1). The whole population is classified into eight sections: susceptible , exposed , infected , cirrhosis individuals , hospitalized , liver transplanted , vaccinated , and recovered class. The infected population transmits the disease, while their rate of infection differs across different sections. The birth rate brings new individuals into the susceptible category, while represents the vaccination rate of the susceptible class, wherein vaccinated persons return to the susceptible class with a rate of . The parameter indicates the transmission rate at which the susceptible population is exposed to the infection, is the infection rate of exposed people, while represents the rate at which HBV-infected persons develop cirrhosis. is the rate at which infected entities are hospitalized, and is the rate of recovery, represents the rate at which cirrhosis patients receive medications, while and represent the rates at which cirrhosis and hospitalized individuals receive liver transplants, respectively. Moreover, and are the rates of hospitalized and liver-transplanted individuals, respectively. The natural death rate for all compartments is the same as , while, due to cirrhosis, it is represented by and representing the HBV- relevant death rate. The flowchart in Figure 2 highlights the dynamics of the model, while the parameters and state variables are explained in Table 1. With the help of , for (0, 1], the following model is generated:
Figure 2.
Flowchart for liver transplantation in HIV-AIDS infected individuals of (1).
Table 1.
Parameters and their details.
For the details on the operator, we refer the readers to the work in [31,32,33,34].
Here, we analyze the non-negativity of the solution and the feasible region for the order .
Lemma 1.
Proof.
Here, we shall examine non-negativity of the population with initial conditions, , , , , , , and . As
By integrating it, we have
Similarly, we have, for the other classes , , , , , and for . □
Next, we will find the boundedness of the system variables.
Lemma 2.
The feasible region for model (1) can be characterized by
Proof.
The proof of feasible region and stability analysis for various kinds of dynamical systems can be studied in [35]. □
We determine that the disease-free equilibrium (DFE) point for the liver transplantation in the HIV-AIDS model (1) is obtained by making the right-hand side equal to zero:
The for the model is
The disease-free equilibrium (DFE) point for the liver transplantation in HIV-AIDS-infected persons (1) is given by
In accordance with Lasalle’s invariance principle [35], the disease-free equilibrium can easily be shown as globally asymptotically stable in for the .
Next, we study the local and global stability of the endemic equilibrium, .
The parametric values are explained in the following Table 2.
Table 2.
Parameter values.
3. Qualitative Analysis of the HIV-AIDS Model
For the main results of this paper, a Banach space of , with a norm , is introduced.
Assuming kernels for the simplicity of the calculations, as under and , , some examples, as under
: For the mathematical analysis of the mABC-HIV-AIDS model (1), we presume that , , , , , , , , , , , , , , , , and , , , , , , , , where are positive constants.
Theorem 1.
The Lipchitz criteria is satisfied by the kernels , for , subjected to the condition that holds true and satisfies for .
Proof.
For the proof of LC criteria for the kernel , we have
where . Hence, satisfies LC and . Similarly, we can reach to the situation wherein obeys the LC with constant , where . For , so that . For , we have , with , satisfies the LC requirement. Similarly,
implies that , for , satisfy the LC requirements. This completes the proof. □
Theorem 2.
With the assumptions and for , the mABC-HIV-AIDS model (1) for the liver transplantation in HIV-AIDS-infected people has a solution.
Theorem 3.
With the assumptions and for , the mABC-HIV-AIDS model (1) for the liver transplantation in HIV-AIDS-infected people satisfies the requirements of uniqueness for the solutions.
Theorem 4.
With the assumptions and for , the mABC-HIV-AIDS model (1) for the liver transplantation in HIV-AIDS-infected people is Hyers–Ulam-stable.
Theorem 5.
With the assumptions and for , the mABC-HIV-AIDS model (1) for the liver transplantation in HIV-AIDS-infected people is generalized Hyers–Ulam-stable.
The proof of the Theorems 2–5 can be derived with the guide lines from the works in [15,16,17,18,19,20,21].
4. Computational Scheme and Simulations
With the help of [31,32,33], we have the following numerical scheme for the proposed model for the modified ABC derivative:
The plays an important role in the dynamics of the HIV-AIDS transformation as well as its control. In the present work, we considered the liver transformation as one of the techniques that can be useful in the control of the HIV-AIDS propagation and to improve the recovery rate. Some simulations were carried out for as a graphical illustration with the use of Matlab 2020a. The dependency of on different parameters is graphically explained in Figure 3. This figure is composed of six subfigures. The first subfigure (Figure 3a) illustrates the graphical structure of for the variant and in the interval . The second subfigure (Figure 3b) shows the dependency over the and . In the third subfigure (Figure 3c), we have stable simulation results for for most of the interval but in some places there are variations which show the dependency of over and . The fourth subfigure (Figure 3d) highlights the roles of and which are sensitive parameters to the dynamics of . Both the pairs and are sensitive and their impact on is shown in Figure 3e and Figure 3f, respectively.
Figure 3.
Different graphs of for variant parametric values. (a) Graphical representation of for the variant and ; (b) Graphical representation of for the variant and ; (c) Graphical representation of for the variant and ; (d) Graphical representation of for the variant and ; (e) Graphical representation of versus and ; (f) Graphical representation of versus and .
The simulations are based on the following numerical values: , , , , , , , , , and . , , , , , . The time interval for this computational analysis is considered , and its step size is .
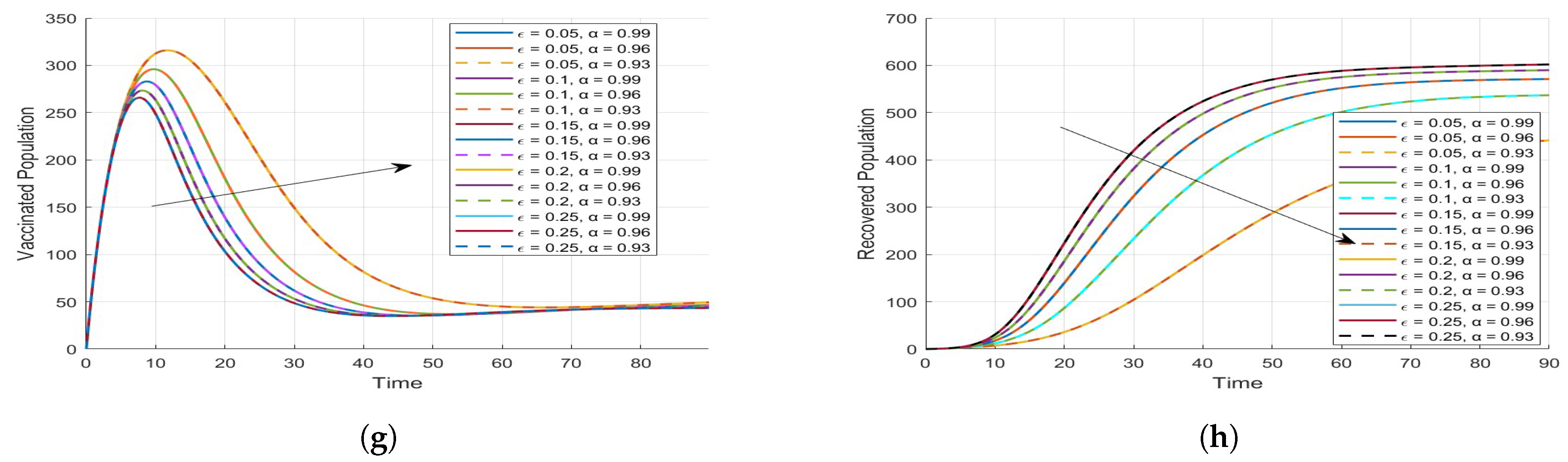
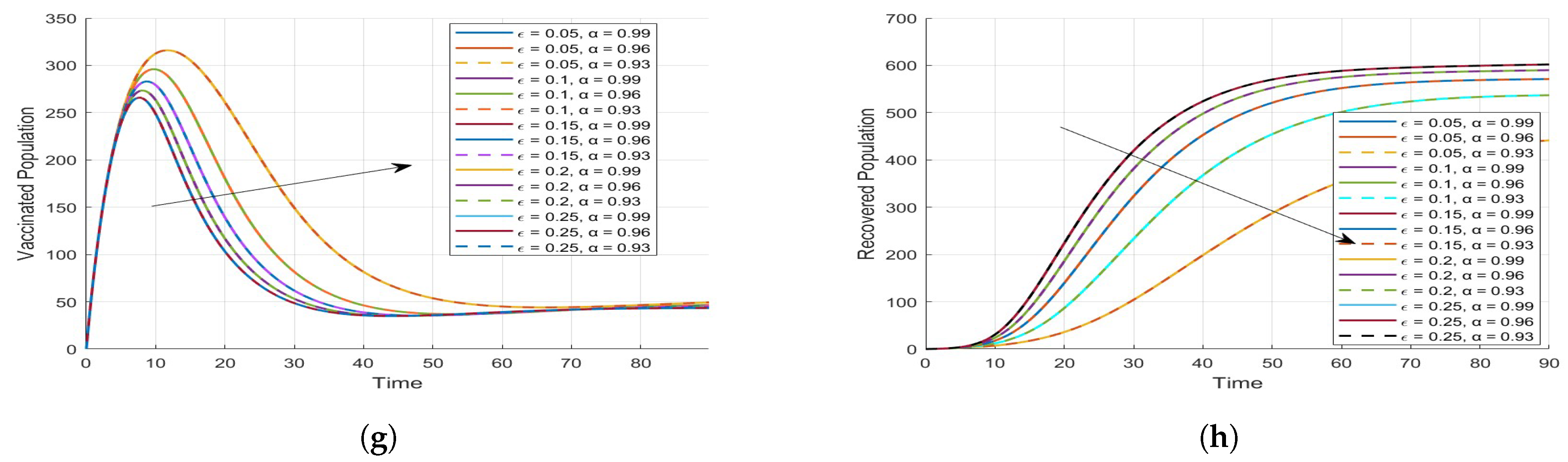
The computational scheme (6) is applied to the mABC-HIV-AIDS model (1) for the different fractional orders. The projections of the model are enlisted in Figure 4. This figure has eight subfigures. The first subfigure Figure 4a illustrates the dynamic structure among the susceptible population with respect to time. It is observed that this population decreases quickly in the first two weeks and then goes to a stable point. This class is analyzed for . The decrease in the susceptible population has greatly triggered the increase in the exposed population of the model shown in the subfigure Figure 4b. The decrease in susceptible population and increase in the exposed class of the populations have ultimately greatly impacted the infected population in the early 20 units of time, which is shown in the subfigure Figure 4c. The major portion of these HIV-AIDS-infected populations is transferred to the hospitalized people class, which has seen a significant increase in the early 20 units of time illustrated in the subfigure Figure 4d. The subfigure Figure 4e describes the cirrhosis population for the varying situation of and . In the hospitalized population, some of them are referred to the liver transplantation given in Figure 4f. This population depends on the number of infected and hospitalized people. The maximum population of transplanted patients is observed at the interval , which slightly decreases and then reaches stability. The vaccinated population is presented in the subfigure Figure 4g for the variant and . These efforts can greatly improve the recovered population number, which has been affirmed in the subgroup of Figure 4h.

Figure 4.
HIV-AIDS model (1) for fractional order 0.98. (a) The time-varying number of susceptible entities under the influence of and ; (b) The time-varying quantity of exposed population under the influence of and ; (c) The time-varying number of infected individuals under the influence of and ; (d) The time-varying number of hospitalized entities under the influence of and ; (e) The time-varying number of vaccinated people under the influence of and ; (f) The time-varying number of treated entities under the influence of and ; (g) The time-varying number of susceptible entities under the influence of and ; (h) The time-varying number of susceptible entities under the influence of and .
Figure 5 is an illustration of the dynamics of the model in surface graphical presentation. It is composed of eight subfigures. The subfigure in Figure 5a is the susceptible population under the influence of while the subfigure in Figure 5b is the susceptible population under . In both cases, we have almost the same decrease but, in the case of , we observe the decrease over slightly longer time as for . The exposed population is greatly informed by the variation in and , as shown in the subfigures in Figure 5c,d. In the case of , the growth of the population decreased slowly while, in the case of variation in , there is a sudden decrease. HIV infection rate under the influence of is given in the subfigure in Figure 5e, where the varies from 0.01 to 0.05. The cirrhosis class is illustrated in the subfigure in Figure 5f for the variant . The dynamics of the hospitalized patients with respect to is explained in the subfigure in Figure 5g, while the subfigure in Figure 5h is the recovered class of population for the variant . All these computational results illustrate a good resemblance in the good recovery of the patients which affirms the validation of the liver transplant in the HIV-AIDS patients. To further make it clear that the results obtained are correct and there is no significant error in the computational procedure, we apply artificial intelligence on the data of liver transplantation in the HIV-AIDS model (1).

Figure 5.
Impacts of the parameters over different classes of Model (1) for fractional order 0.98. (a) Susceptible population under the influence of ; (b) The impact of over the with respect to t; (c) Illustration of the impact of over the exposed population with respect to t; (d) Impact of the over the population; (e) HIV infected population under the influence of ; (f) The timely variation in under the influence of and ; (g) Hospitalized population under the influence of and ; (h) Recovered population under the influence of .
Figure 6, shows four subfigures. Figure 6a illustrates the training of data for 500 input values and 500 target values of the liver transplantation dynamics in the HIV-AIDS patients. A random data division was assumed with the application of the Levenberg–Marquardt technique for the mean square error analysis. This technique divided the 500 inputs into three categories. Training data assumed 350 inputs, validation took 75 and testing data were considered to be 75 inputs. Neural networking for the liver transplantation in the HIV-AIDS patients can be seen in Figure 6. There are four sub-graphical presentations which are explained here. Figure 6a illustrates the data training of the model (1). The analysis is made for 1000 epochs with gradient 0.010995, with validation checks at 0. Once the data are trained for the analysis, the mean square error analysis is calculated among the train, validation and test sets and the best validation performance is obtained as at epoch 1000, which is shown in Figure 6b. The clustering of hospitalized population and cirrhosis is illustrated in Figure 6c with three types of clusters and a centroid. The error distribution among the cirrhosis patients is explained in Figure 6d, which is acceptable and is bounded with positive contact followed by .
Figure 6.
Neural networking for the liver transplantation in the HIV-AIDS dynamical system for the modified ABC sense of derivative (1). (a) Training of data for the model (1); (b) Mean square error analysis with best validation performance ; (c) Clustering of cirrhosis and hospitalized patients; (d) Error analysis of the data.
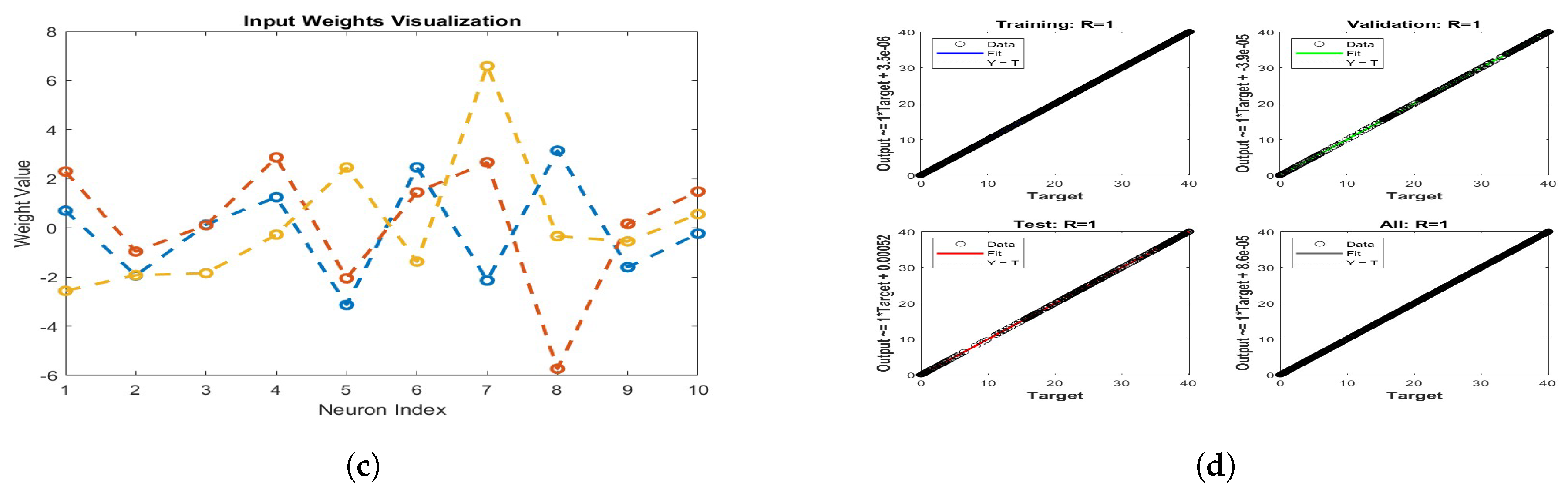
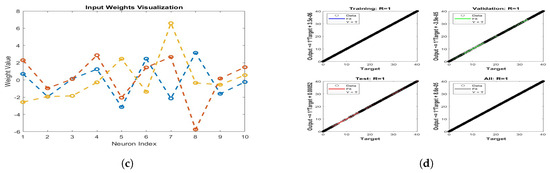
Figure 7 highlights the neural networking analysis for the liver transplantation in the HIV-AIDS dynamical system (1). It is composed of four subfigures. Figure 7a shows the error histogram for 20 bins which are surrounded by the zero error for the highest number of points up to 1100. This histogram data analysis shows the normal distribution of the data with error bounded by by maximum data points. This subfigure has four types of graphs for the zero error, training data, testing data and validation. All these are surrounded by the zero error and have the normal distribution of the data. The correlation between the cirrhosis and hospitalized data is expressed in Figure 7b. Figure 7c shows the neuron index for the input weights visualization of three types of clustering data. The regression analysis is carried out in Figure 7d among the training, validation and testing data with . Thus, the model’s (1) is reaffirmed with its results by the neural network approach.

Figure 7.
Neural networking for the liver transplantation in the HIV-AIDS patients of model (1). (a) Error analysis in the hospitalized population by histograms for 20 bins; (b) Correlation between the cirrhosis and hospitalized patients by means of histogram; (c) Neutron index for the input weights visualization; (d) Regression of the HIV-AIDS data for the model (1).
5. Conclusions
This article is a collection of new scientific results and analysis of HIV-AIDS patients with their treatment and liver transplantation strategies with the help of the mABC operator. How the population is affected by the HIV-AIDS-infected persons and to which extent liver transplantation plays role in the mitigation of the disease are analyzed. The channel of disease transmission is shown in the cyclic chart in Figure 1. This study is divided into two major sections, namely qualitative analysis and computational work. Initially, a mathematical model is framed with eight groups of people and the transformation from one group to another is illustrated in Figure 2. This structure gives the mathematical formulation of the model (1) where the fractional order mABC operator is in the Caputo’s version of the modified AB derivative. The of the model is numerically evaluated and analyzed for the impacts of the parameters in Figure 3. The model is then analyzed for the qualitative results including the existence of solution, uniqueness criteria and stability analysis. The necessary conditions for these results are based on the assumptions in .
For the numerical simulations, we developed a computational scheme (6). The scheme is then applied to Model (1) for solutions and the results are plotted in Figure 4 and Figure 5, as 2D and 3D graphs which show the impacts of the parameters over the dynamics of the model. These computational results affirm the positive impact of the medication and liver transplantation in the HIV-AIDS patients. And these results are then reaffirmed by artificial intelligence in Figure 6 and Figure 7. The optimization of transplantation protocols and the exploration of long-term health outcomes from vaccination and transplantation strategies with the use of more advanced mathematical techniques are detailed in [15,16,17,18,19,20,21], and this study can be continued for more useful results.
Author Contributions
Methodology, H.K.; formal analysis, W.K.A.; writing—original draft, H.K. and D.K.A.; supervision, J.A. The authors contributed equally and significantly in writing this paper. All authors have read and agreed to the published version of the manuscript.
Funding
This research received no external funding.
Data Availability Statement
The original contributions presented in this study are included in the article. Further inquiries can be directed to the corresponding author.
Acknowledgments
H.K. and J.A. would like to thank Prince Sultan University for their financial support through TAS research lab. D.K.A. extends appreciation to the Deanship of Postgraduate Studies and Scientific Research at Majmaah University for her support.
Conflicts of Interest
The authors declare that they have no known competing financial interests or personal relationships that could have appeared to influence the work reported in this paper.
References
- Alum, E.U.; Uti, D.E.; Ugwu, O.P.; Alum, B.N. Toward a cure—Advancing HIV/AIDs treatment modalities beyond antiretroviral therapy: A Review. Medicine 2024, 103, e38768. [Google Scholar] [CrossRef] [PubMed]
- van Schalkwyk, C.; Mahy, M.; Johnson, L.F.; Imai-Eaton, J.W. Updated data and methods for the 2023 UNAIDS HIV estimates. JAIDS J. Acquir. Immune Defic. Syndr. 2024, 95, e1–e4. [Google Scholar] [CrossRef]
- Mody, A.; Sohn, A.H.; Iwuji, C.; Tan, R.K.; Venter, F.; Geng, E.H. HIV epidemiology; prevention; treatment, and implementation strategies for public health. Lancet 2024, 403, 471–492. [Google Scholar] [CrossRef]
- Piot, P.; Bartos, M.; Ghys, P.D.; Walker, N.; Schwartländer, B. The global impact of HIV/AIDS. Nature 2001, 410, 968–973. [Google Scholar] [CrossRef] [PubMed]
- Ruxrungtham, K.; Brown, T.; Phanuphak, P. HIV/AIDS in asia. Lancet 2004, 364, 69–82. [Google Scholar] [CrossRef]
- Simon, V.; Ho, D.D.; Karim, Q.A. HIV/AIDS epidemiology, pathogenesis, prevention, and treatment. Lancet 2006, 368, 489–504. [Google Scholar] [CrossRef]
- Basavaraj, K.H.; Navya, M.A.; Rashmi, R. Quality of life in HIV/AIDS. Indian J. Sex. Transm. Dis. AIDS 2010, 31, 75–80. [Google Scholar] [CrossRef] [PubMed]
- McInnes, C. HIV/AIDS and security. Int. Aff. 2006, 82, 315–326. [Google Scholar] [CrossRef]
- Samuel, D.; Vallee, J.C.; Teicher, E.; Vittecoq, D. Liver transplantation in patients with HIV infection. J. Hepatol. 2003, 39, 3–6. [Google Scholar] [CrossRef] [PubMed]
- Fung, J.; Eghtesad, B.; Patel-Tom, K.; DeVera, M.; Chapman, H.; Ragni, M. Liver transplantation in patients with HIV infection. Liver Transplant. 2004, 10, S39–S53. [Google Scholar] [CrossRef] [PubMed]
- Miro, J.M.; Grossi, P.A.; Durand, C.M. Challenges in solid organ transplantation in people living with HIV. Intensive Care Med. 2019, 45, 398–400. [Google Scholar] [CrossRef] [PubMed]
- Miro, J.M.; Stock, P.; Teicher, E.; Duclos-Vallée, J.C.; Terrault, N.; Rimola, A. Outcome and management of HCV/HIV coinfection pre-and post-liver transplantation. A 2015 update. J. Hepatol. 2015, 62, 701–711. [Google Scholar] [CrossRef] [PubMed]
- Campos-Varela, I.; Dodge, J.L.; Berenguer, M.; Adam, R.; Samuel, D.; Benedetto, F.D.; Karam, V.; Belli, L.S.; Duvoux, C.; Terrault, N.A. Temporal trends and outcomes in liver transplantation for recipients with HIV infection in Europe and United States. Transplantation 2020, 104, 2078–2086. [Google Scholar] [CrossRef] [PubMed]
- Saeed, H.; Cano, E.J.; Khan, M.Q.; Yetmar, Z.A.; Smith, B.; Rizza, S.A.; Badley, A.D.; Mahmood, M.; Leise, M.D.; Cummins, N.W. Changing landscape of liver transplantation in the post-DAA and contemporary ART era. Life 2022, 12, 1755. [Google Scholar] [CrossRef]
- Khan, H.; Alzabut, J.; Gulzar, H. Existence of solutions for hybrid modified ABC-fractional differential equations with p-Laplacian operator and an application to a waterborne disease model. Alex. Eng. J. 2023, 70, 665–672. [Google Scholar] [CrossRef]
- Hussain, S.; Tunc, O.; Rahman, G.; Khan, H.; Nadia, E. Mathematical analysis of stochastic epidemic model of MERS-corona & application of ergodic theory. Math. Comput. Simul. 2023, 207, 130–150. [Google Scholar]
- Khan, H.; Begum, R.; Abdeljawad, T.; Khashan, M.M. A numerical and analytical study of SE(Is)(Ih) AR epidemic fractional order COVID-19 model. Adv. Differ. Equ. 2021, 2021, 293. [Google Scholar] [CrossRef]
- Devi, A.; Kumar, A.; Abdeljawad, T.; Khan, A. Existence and stability analysis of solutions for fractional langevin equation with nonlocal integral and anti-periodic-type boundary conditions. Fractals 2020, 28, 2040006. [Google Scholar] [CrossRef]
- Thirthar, A.A.; Abboubakar, H.; Khan, A.; Abdeljawad, T. Mathematical modeling of the COVID-19 epidemic with fear impact. AIMS Math. 2023, 8, 6447–6465. [Google Scholar] [CrossRef]
- Khan, Z.A.; Khan, A.; Abdeljawad, T.; Khan, H. Computational analysis of fractional order imperfect testing infection disease model. Fractals 2022, 30, 2240169. [Google Scholar] [CrossRef]
- Khan, A.; Shah, K.; Abdeljawad, T.; Alqudah, M.A. Existence of results and computational analysis of a fractional order two strain epidemic model. Results Phys. 2022, 39, 105649. [Google Scholar] [CrossRef]
- Hill, A.L. Mathematical models of HIV latency. In HIV-1 Latency; Springer: Cham, Switzerland, 2018; pp. 131–156. [Google Scholar]
- Latt, N.L.; Niazi, M.; Pyrsopoulos, N.T. Liver transplant allocation policies and outcomes in United States: A comprehensive review. World J. Methodol. 2022, 12, 32. [Google Scholar] [CrossRef]
- Endashaw, E.E.; Mekonnen, T.T. Modeling the effect of vaccination and treatment on the transmission dynamics of hepatitis B virus and HIV/AIDS coinfection. J. Appl. Math. 2022, 2022, 5246762. [Google Scholar] [CrossRef]
- Zafar, Z.U.A.; Rehan, K.; Mushtaq, M. HIV/AIDS epidemic fractional-order model. J. Differ. Equ. Appl. 2017, 23, 1298–1315. [Google Scholar] [CrossRef]
- Kheiri, H.; Jafari, M. Optimal control of a fractional-order model for the HIV/AIDS epidemic. Int. J. Biomath. 2018, 11, 1850086. [Google Scholar] [CrossRef]
- Farman, M.; Akgul, A.; Tekin, M.T.; Akram, M.M.; Ahmad, A.; Mahmoud, E.E.; Yahia, I.S. Fractal fractional-order derivative for HIV/AIDS model with Mittag-Leffler kernel. Alex. Eng. J. 2022, 61, 10965–10980. [Google Scholar] [CrossRef]
- Babaei, A.; Jafari, H.; Ahmadi, M. A fractional order HIV/AIDS model based on the effect of screening of unaware infectives. Math. Methods Appl. Sci. 2019, 42, 2334–2343. [Google Scholar] [CrossRef]
- Kar, S.; Maiti, D.K.; Maiti, A.P. HIV/AIDS control owing to local and global awareness, diagnosis, treatment tactics and control theory: Fractional order modeling. Nonlinear Dyn. 2024, 112, 22391–22420. [Google Scholar] [CrossRef]
- Kumar, P.; SM, S.; Govindaraj, V. Forecasting of HIV/AIDS in South Africa using 1990 to 2021 data: Novel integer-and fractional-order fittings. Int. J. Dyn. Control 2024, 12, 2247–2263. [Google Scholar] [CrossRef]
- Al-Refai, M.; Baleanu, D. On an Extension of the Operator with Mittag-Leffler Kernel. Fractals 2022, 30, 2240129. [Google Scholar] [CrossRef]
- Al-Refai, M. Proper inverse operators of fractional derivatives with nonsingular kernels. Rend. Circ. Mat. Palermo Ser. 2021, 71, 525–535. [Google Scholar] [CrossRef]
- Khan, H.; Alzabut, J.; Baleanu, D.; Alobaidi, G.; Rehman, M.U. Existence of solutions and a numerical scheme for a generalized hybrid class of n-coupled modified ABC-fractional differential equations with an application. AIMS Math. 2023, 8, 6609–6625. [Google Scholar] [CrossRef]
- Khan, H.; Alzabut, J.; Gómez-Aguilar, J.F.; Agarwal, P. Piecewise mABC fractional derivative with an application. AIMS Math. 2023, 8, 24345–24366. [Google Scholar] [CrossRef]
- LaSalle, J.P. The Stability of Dynamical Systems; SIAM: Philadelphia, PA, USA, 1976. [Google Scholar]
- Lavanchy, D. Hepatitis B virus epidemiology, disease burden, treatment, and current and emerging prevention and control measures. J. Viral Hepat. 2004, 11, 97–107. [Google Scholar] [CrossRef] [PubMed]
- Aldwoah, K.A.; Almalahi, M.A. Theoretical and Numerical Simulations on the HBV Model through a Piecewise Fractional Order. Fractal Fract. 2023, 7, 844. [Google Scholar] [CrossRef]
- Zhao, S.; Xu, Z.; Lu, Y. A mathematical model of hepatitis B virus transmission and its application for vaccination strategy in China. Int. J. Epidemiol. 2000, 29, 744–752. [Google Scholar] [CrossRef] [PubMed]
- Zou, L.; Zhang, W.; Ruan, S. Modeling the transmission dynamics and control of hepatitis B virus in China. J. Theor. Biol. 2010, 262, 330–338. [Google Scholar] [CrossRef] [PubMed]
Disclaimer/Publisher’s Note: The statements, opinions and data contained in all publications are solely those of the individual author(s) and contributor(s) and not of MDPI and/or the editor(s). MDPI and/or the editor(s) disclaim responsibility for any injury to people or property resulting from any ideas, methods, instructions or products referred to in the content. |
© 2024 by the authors. Licensee MDPI, Basel, Switzerland. This article is an open access article distributed under the terms and conditions of the Creative Commons Attribution (CC BY) license (https://creativecommons.org/licenses/by/4.0/).









