Fractal Properties of Composite-Modified Carbon Paste Electrodes—A Comparison between SEM and CV Fractal Analysis
Abstract
1. Introduction
- The analyzed carbon paste electrodes are fractals with broad self-similarity domains; the modifications of carbon paste electrodes influence their fractal properties toward higher fractal dimensions and large self-similarity domains.
- An electrode with a higher fractal dimension leads to a better electrochemical response and, therefore, is suitable to be used as a Tz-sensor [1].
- A larger self-similarity domain will lead to a higher active area and a higher electrochemical response.
- Although the fractal dimensions obtained from cyclic voltammetry differ from those obtained from SEM images, there are correlations between them; SEM analysis offers information about the self-similarity domain.
- Conclusions on how the electrochemical response can be improved are also depicted.
2. Theoretical Methods and Experimental
2.1. Materials and Characterization
2.1.1. Preparation
2.1.2. Characterization
2.2. Fractal Theory and Methods
2.2.1. Fractal Dimension Computation by SEM Method
2.2.2. Fractal Dimension Computation Using the Cyclic Voltammetry (CV) Method
3. Results and Discussion
3.1. SEM Fractal Dimensions
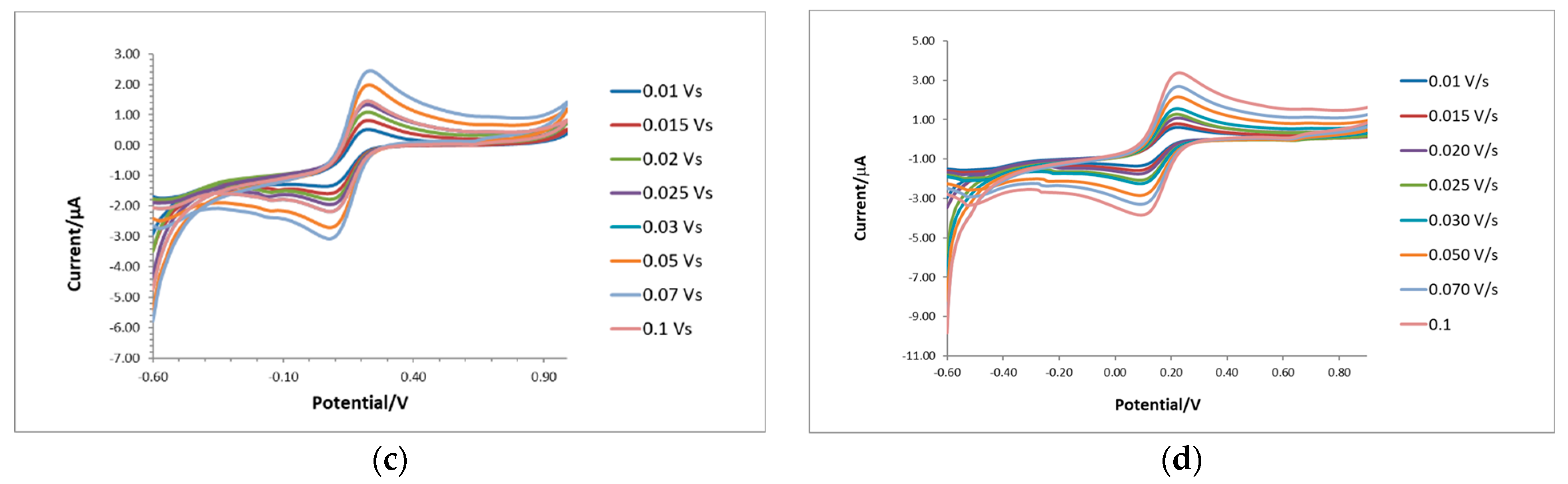
3.2. Fractal Dimensions Obtained from Cyclic Voltammetry (CV-Fractal Dimensions)
4. Conclusions
Supplementary Materials
Author Contributions
Funding
Data Availability Statement
Conflicts of Interest
References
- Georgescu State, R.; van Staden, J.K.; State, R.N.; Papa, F. Rapid and sensitive electrochemical determination of tartrazine in commercial food samples using IL/AuTiO2/GO composite modified carbon paste electrode. Food Chem. 2022, 385, 132616–132625. [Google Scholar] [CrossRef]
- Zhao, L.; Zeng, B.; Zhao, F. Electrochemical determination of tartrazine using a molecularly imprinted polymer—Multiwalled carbon nanotubes—Ionic liquid supported Pt nanoparticles composite film coated electrode. Electrochim. Acta 2014, 146, 611–617. [Google Scholar] [CrossRef]
- Zhao, X.; Liu, Y.; Zuo, J.; Zhang, J.; Zhu, L.; Zhang, J. Rapid and sensitive determination of tartrazine using a molecularly imprinted copolymer modified carbon electrode (MIP-PmDB/PoPD-GCE). J. Electroanal. Chem. 2017, 785, 90–95. [Google Scholar] [CrossRef]
- Chikere, C.O.; Hobben, E.; Faisal, N.H.; Kong-Thoo-Lin, P.; Fernandez, C. Electroanalytical determination of gallic acid in red and white wine samples using cobalt oxide nanoparticles-modified carbon-paste electrodes. Microchem. J. 2021, 160, 105668–105672. [Google Scholar] [CrossRef]
- Hernandez-Vargas, S.G.; Alberto Cevallos-Morillo, C.; Aguilar-Cordero, J.C. Effect of ionic liquid structure on the electrochemical response of dopamine at room temperature ionic liquid-modified carbon paste electrodes (IL–CPE). Electroanalysis 2020, 32, 1938–1948. [Google Scholar] [CrossRef]
- Mandelbrot, B.B. The Fractal Geometry of Nature; W. H. Freeman and Company: San Francisco, CA, USA, 1982. [Google Scholar]
- Avnir, D.; Farin, D.; Pfeifer, P. Surface geometric irregularity of particulate materials: The fractal approach. J. Colloid. Interface Sci. 1985, 103, 112–123. [Google Scholar] [CrossRef]
- Rothschild, W.G. Fractals in heterogeneous catalysis. Catal. Rev. Sci. Eng. 1991, 33, 71–107. [Google Scholar] [CrossRef]
- Dobrescu, G.; Papa, F.; State, R.; Raciulete, M.; Berger, D.; Balint, I.; Ionescu, N.I. Modified Catalysts and Their Fractal Properties. Catalysts 2021, 11, 1518–1533. [Google Scholar] [CrossRef]
- Pfeifer, P.; Johnston, G.P.; Deshpande, R.; Smith, D.M.; Hurd, A.J. Structure analysis of porous solids from preadsorbed films. Langmuir 1991, 7, 2833–2843. [Google Scholar] [CrossRef]
- Gutfraind, R.; Sheintuch, M.; Avnir, D. Fractal and multifractal analysis of the sensitivity of catalytic reactions to catalyst structure. J. Chem. Phys. 1991, 95, 6100–6111. [Google Scholar] [CrossRef]
- Petcu, G.; Dobrescu, G.; Blin, J.-L.; Atkinson, I.; Ciobanu, M.; Parvulescu, V. Evolution of morphology, fractal dimensions and structure of (titanium) aluminosilicate gel during synthesis of zeolites Y and Ti-Y. Fractal Fract. 2022, 6, 663–674. [Google Scholar] [CrossRef]
- Park, B.Y.; Zaouk, R.; Wang, C.; Madou, M.J. A Case for Fractal Electrodes in Electrochemical Applications. J. Electrochem. Soc. 2007, 154, P1–P5. [Google Scholar] [CrossRef]
- Pajkossy, T.; Nyikos, L. Diffusion to fractal surfaces—II. Verification of theory. Electrochem. Acta 1989, 34, 171–179. [Google Scholar] [CrossRef]
- Pajkossy, T.; Nyikos, L. Diffusion to fractal surfaces—III. Linear sweep and cyclic voltammograms. Electrochim. Acta 1989, 34, 181–186. [Google Scholar] [CrossRef]
- Mahjani, M.G.; Moshrefi, R.; Sharifi-Viand, A.; Taherzad, A.; Jafarian, M.; Hasanlou, F.; Hosseini, M. Surface investigation by electrochemical methods and application of chaos theory and fractal geometry. Chaos Solitons Fract. 2016, 91, 598–603. [Google Scholar] [CrossRef]
- Eftekhari, A. Fractal dimension of electrochemical reactions. J. Electrochem. Soc. 2004, 151, E291–E297. [Google Scholar] [CrossRef]
- Molaei, F.; Eftekhari, A. Fractal Analysis by Means of Electrochemical Methods: The Usefulness of Gold-Masking Approach. In ECS Meeting Abstracts; IOP Publishing: Bristol, UK, 2006; p. 1865. [Google Scholar]
- Stromme, M.; Niklasson, G.A.; Granqvist, C.G. Voltammetry on fractals. Solid. State Commun. 1995, 96, 151–154. [Google Scholar] [CrossRef]
- Dobrescu, G.; Papa, F.; State, R.; Balint, I. Characterization of bimetallic nanoparticles by fractal analysis. Powder Technol. 2018, 338, 905–914. [Google Scholar] [CrossRef]
- State, R.; Papa, F.; Dobrescu, G.; Munteanu, C.; Atkinson, I.; Balint, I. Green synthesis and characterization of gold nanoparticles obtained by a direct reduction method and their fractal dimension. Environ. Eng. Manag. J. 2015, 14, 587–593. [Google Scholar] [CrossRef]
- Eftekhari, A. Electrochemical technique for the determination of fractal dimension of dental surfaces. Colloids Surf. B Biointerfaces 2003, 32, 375–381. [Google Scholar] [CrossRef]
- Parveen, R.K. Theory for staircase voltammetry and linear voltammetry on fractal electrodes: Emergence of anomalous Randles-Sevcik behavior. Electrochim. Acta 2013, 111, 223–233. [Google Scholar] [CrossRef]
- Andrieux, C.P.; Audebert, P. Electron Transfer through a Modified Electrode with a Fractal Structure: Cyclic Voltammetry and Chronoamperometry Responses. J. Phys. Chem. B 2001, 105, 444–448. [Google Scholar] [CrossRef]
- Tence, M.; Chevalier, J.P.; Jullien, R. On the measurement of the fractal dimension of aggregated particles by electron microscopy: Experimental method, corrections and comparison with numerical models. J. Phys. 1986, 47, 1989–1998. [Google Scholar] [CrossRef]
- Teixeira, J. Small-Angle Scattering by Fractal Systems. J. Appl. Cryst. 1988, 21, 781–785. [Google Scholar] [CrossRef]
- Bale, H.D.; Schmidt, P.W. Small-Angle X-Ray-Scattering Investigation of Submicroscopic Porosity with Fractal Properties. Phys. Rev. Lett. 1984, 53, 596–599. [Google Scholar] [CrossRef]
- Keefer, K.D.; Schaefer, D.W. Growth of Fractally Rough Colloids. Phys. Rev. Lett. 1986, 56, 2376–2379. [Google Scholar] [CrossRef] [PubMed]
- Schmidt, P.W. Small-angle scattering studies of disordered, porous and fractal systems. J. Appl. Cryst. 1991, 24, 414–435. [Google Scholar] [CrossRef]
- Avnir, D.; Jaroniec, M. An isotherm equation for adsorption on fractal surfaces of heterogeneous porous materials. Langmuir 1989, 5, 1431–1433. [Google Scholar] [CrossRef]
- Fripiat, I.J.; Gatineau, L.; van Damme, H. Multilayer physical adsorption on fractal surfaces. Langmuir 1986, 2, 562–567. [Google Scholar] [CrossRef]
- Pfeifer, P.; Wu, Y.J.; Cole, M.W.; Krim, J. Multilayer adsorption on a fractally rough surface. Phys. Rev. Lett. 1989, 62, 1997–2000. [Google Scholar] [CrossRef]
- Kaneko, K.; Sato, M.; Suzuki, T.; Fujiwara, Y.; Nishikawa, K.; Jaroniec, M. Surface fractal dimension of microporous carbon fibres by nitrogen adsorption. J. Chem. Soc. Faraday Trans. 1991, 87, 179–184. [Google Scholar] [CrossRef]
- Papa, F.; Negrila, C.; Miyazaki, A.; Balint, I. Morphology and chemical state of PVP-protected Pt, Pt–Cu, and Pt–Ag nanoparticles prepared by alkaline polyol method. J. Nanoparticle Res. 2011, 13, 5057–5064. [Google Scholar] [CrossRef]
- Schepers, H.E.; van Beek, J.H.G.M.; Bassingthwaighte, J.B. Four methods to estimate the fractal dimension from self-affine signals (medical application). IEEE Eng. Med. Biol. 1992, 11, 57–64. [Google Scholar] [CrossRef] [PubMed]
- Botet, R.; Jullien, R. A theory of aggregating systems of particles: The clustering of clusters process. Ann. Phys. Fr. 1988, 13, 153–221. [Google Scholar] [CrossRef]
- Family, F.; Vicsek, T. Scaling of the active zone in the Eden process on percolation networks and the ballistic deposition model. J. Phys. A Math. Gen. 1985, 18, L75–L81. [Google Scholar] [CrossRef]
- Chauvy, P.F.; Madore, C.; Landolt, D. Variable length scale analysis of surface topography: Characterization of titanium surfaces for biomedical applications. Surf. Coat. Technol. 1998, 110, 48–56. [Google Scholar] [CrossRef]
- Eftekhari, A. Calculation of the Active Surface Area of Electrodes by Means of Fractal Dimension. Available online: http://preprint.chemweb.com/physchem/0011005 (accessed on 16 November 2000).
- Nečas, D.; Klapetek, P. Gwyddion: An open-source software for SPM data analysis. Cent. Eur. J. Phys. 2012, 10, 181–188. [Google Scholar] [CrossRef]
- Zhao, L.; Guanhua, N.; Lulu, S.; Qian, S.; Shang, L.; Kai, D.; Jingna, X.; Gang, W. Effect of ionic liquid treatment on pore structure and fractal characteristics of low rank coal. Fuel 2020, 262, 116513. [Google Scholar] [CrossRef]
- Pehlivan, E.; Niklasson, G.A. Fractal dimensions of niobium oxide films probed by protons and lithium ions. J. Appl. Phys. 2006, 100, 053506–053509. [Google Scholar] [CrossRef]
- Shin, H.-C.; Pyun, S.-I. Application of Fractal Geometry to Interfacial Electrochemistry—I. Diffusion Kinetics at Fractal Electrodes. J. Korean Electrochem. Soc. 2001, 4, 21–25. [Google Scholar]





| Magnitude | Method | Fractal Dimension | Standard Errors | Determination Coefficient | Self-Similarity Domain (nm) | Mean Roughness |
|---|---|---|---|---|---|---|
| 300 µm | Correlation Function Method | 2.730 | 0.001 | 0.995 | 263–6595 | 0.1534 |
| Variable Length Scale Method | 2.714 | 0.004 | 0.998 | 2636–34,270 | ||
| 10 µm | Correlation Function Method | 2.767 | 0.001 | 0.996 | 100–1186 | 0.1492 |
| Variable Length Scale Method | 2.735 | 0.006 | 0.972 | 132–5828 | ||
| 500 nm | Correlation Function Method | 2.622 | 0.002 | 0.950 | 9–36 | 0.1214 |
| Variable Length Scale Method | 2.717 2.551 | 0.019 0.005 | 0.982 0.998 | 13–46 46–132 |
| Magnitude | Method | Fractal Dimension | Standard Errors | Determination Coefficient | Self-Similarity Domain (nm) | Mean Roughness |
|---|---|---|---|---|---|---|
| 300 μm | Correlation Function Method | 2.652 2.732 | 0.007 0.002 | 0.996 0.997 | 264–1321 1321–3756 | 0.1284 |
| Variable Length Scale Method | 2.661 2.829 | 0.007 0.004 | 0.998 0.993 | 2643–18,502 18,502–44,934 | ||
| 10 μm | Correlation Function Method | 2.779 | 0.001 | 0.997 | 13–2747 | 0.1347 |
| Variable Length Scale Method | 2.762 | 0.006 | 0.980 | 132–4105 | ||
| 500 nm | Correlation Function Method | 2.799 | 0.011 | 0.984 | 2–4 (narrow self-similarity domain) | 0.1136 |
| Variable Length Scale Method | 2.788 | 0.018 | 0.956 | 11–88 |
| Magnitude | Method | Fractal Dimension | Standard Errors | Determination Coefficient | Self-Similarity Domain (nm) | Mean Roughness |
|---|---|---|---|---|---|---|
| 300 µm | Correlation Function Method | 2.711 2.541 | 0.013 0.001 | 0.994 0.999 | 264–747 747–2759 | 0.1516 |
| Variable Length Scale Method | 2.520 2.781 | 0.010 0.015 | 0.998 0.973 | 2643–13,215 13,215–31,718 | ||
| 10 µm | Correlation Function Method | 2.700 | 0.001 | 0.999 | 13–723 | 0.1689 |
| Variable Length Scale Method | 2.714 2.583 | 0.011 0.009 | 0.994 0.992 | 132–794 794–3178 | ||
| 1 µm | Correlation Function Method | 2.594 | 0.002 | 0.995 | 4–27 | 0.1696 |
| Variable Length Scale Method | 2.576 | 0.004 | 0.995 | 39–529 |
| Magnitude | Method | Fractal Dimension | Standard Errors | Determination Coefficient | Self-Similarity Domain (nm) | Mean Roughness |
|---|---|---|---|---|---|---|
| 300 µm | Correlation Function Method | 2.767 2.600 | 0.011 0.002 | 0.982 0.989 | 264–953 953–2847 | 0.1778 |
| Variable Length Scale Method | 2.589 2.737 | 0.006 0.011 | 0.999 0.991 | 5286–18,502 18,502–34,361 | ||
| 10 µm | Correlation Function Method | 2.749 | 0.001 | 0.998 | 13–2070 | 0.1814 |
| Variable Length Scale Method | 2.689 | 0.005 | 0.993 | 261–3660 | ||
| 3 µm | Correlation Function Method | 2.770 2.553 | 0.018 0.001 | 0.980 0.999 | 2–7 7–30 | 0.1706 |
| Variable Length Scale Method | 2.584 | 0.004 | 0.998 | 52–634 |
| Sample | CV Fractal Dimension | Standard Errors | Determination Coefficient | Self-Similarity domain Scan Rates (V/s) |
|---|---|---|---|---|
| CPE | 2.250 | 0.015 | 0.9964 | 0.01–0.1 |
| IL/CPE | 2.301 | 0.026 | 0.9903 | 0.01–0.1 |
| AuTiO2/GO/CPE | 2.386 | 0.040 | 0.9871 | 0.015–0.07 |
| IL/AuTiO2/GO/CPE | 2.519 | 0.024 | 0.9940 | 0.01–0.1 |
| Sample | Low-Scale SEM Fractal Dimension | High-Scale SEM Fractal Dimension | CV Fractal Dimension |
|---|---|---|---|
| CPE | 2.551–2.622 | 2.714–2.767 | 2.250 |
| IL/CPE | 2.779–2.799 | 2.829 | 2.301 |
| AuTiO2/GO/CPE | 2.520–2.594 | 2.781 | 2.386 |
| IL/AuTiO2/GO/CPE | 2.553–2.689 2.767–2.770 | 2.589 2.737 | 2.519 |
| Sample | CV Fractal Dimension | Macroscopic Area (cm2) Amacro | Amacro/Amicro | Active Surface Area (cm2) |
|---|---|---|---|---|
| CPE | 2.250 | 0.0015 | 0.8045 | 0.0019 |
| IL/CPE | 2.301 | 0.0019 | 0.7809 | 0.0024 |
| AuTiO2/GO/CPE | 2.386 | 0.0030 | 0.8442 | 0.0036 |
| IL/AuTiO2/GO/CPE | 2.519 | 0.0036 | 0.7444 | 0.0048 |
Disclaimer/Publisher’s Note: The statements, opinions and data contained in all publications are solely those of the individual author(s) and contributor(s) and not of MDPI and/or the editor(s). MDPI and/or the editor(s) disclaim responsibility for any injury to people or property resulting from any ideas, methods, instructions or products referred to in the content. |
© 2024 by the authors. Licensee MDPI, Basel, Switzerland. This article is an open access article distributed under the terms and conditions of the Creative Commons Attribution (CC BY) license (https://creativecommons.org/licenses/by/4.0/).
Share and Cite
Dobrescu, G.; Georgescu-State, R.; Papa, F.; Staden, J.F.v.; State, R.N. Fractal Properties of Composite-Modified Carbon Paste Electrodes—A Comparison between SEM and CV Fractal Analysis. Fractal Fract. 2024, 8, 205. https://doi.org/10.3390/fractalfract8040205
Dobrescu G, Georgescu-State R, Papa F, Staden JFv, State RN. Fractal Properties of Composite-Modified Carbon Paste Electrodes—A Comparison between SEM and CV Fractal Analysis. Fractal and Fractional. 2024; 8(4):205. https://doi.org/10.3390/fractalfract8040205
Chicago/Turabian StyleDobrescu, Gianina, Ramona Georgescu-State, Florica Papa, Jacobus (Koos) Frederick van Staden, and Razvan Nicolae State. 2024. "Fractal Properties of Composite-Modified Carbon Paste Electrodes—A Comparison between SEM and CV Fractal Analysis" Fractal and Fractional 8, no. 4: 205. https://doi.org/10.3390/fractalfract8040205
APA StyleDobrescu, G., Georgescu-State, R., Papa, F., Staden, J. F. v., & State, R. N. (2024). Fractal Properties of Composite-Modified Carbon Paste Electrodes—A Comparison between SEM and CV Fractal Analysis. Fractal and Fractional, 8(4), 205. https://doi.org/10.3390/fractalfract8040205

