Next Article in Journal
Fractal Properties of Composite-Modified Carbon Paste Electrodes—A Comparison between SEM and CV Fractal Analysis
Next Article in Special Issue
FLRNN-FGA: Fractional-Order Lipschitz Recurrent Neural Network with Frequency-Domain Gated Attention Mechanism for Time Series Forecasting
Previous Article in Journal
Urban Meteorology, Pollutants, Geomorphology, Fractality, and Anomalous Diffusion
Previous Article in Special Issue
Research on Active Repetitive Control for Tracking Lissajous Scan Trajectories with Voice Coil Motors Actuated Fast Steering Mirror
 
 
Font Type:
Arial Georgia Verdana
Font Size:
Aa Aa Aa
Line Spacing:
Column Width:
Background:
Article

Isomorphic Multidimensional Structures of the Cyclic Random Process in Problems of Modeling Cyclic Signals with Regular and Irregular Rhythms

1
Faculty of Electrical Engineering, Automatic Control and Informatics, Opole University of Technology, 45-758 Opole, Poland
2
Institute of Telecommunications and Global Information Space, 02000 Kyiv, Ukraine
*
Author to whom correspondence should be addressed.
Fractal Fract. 2024, 8(4), 203; https://doi.org/10.3390/fractalfract8040203
Submission received: 19 February 2024 / Revised: 25 March 2024 / Accepted: 27 March 2024 / Published: 30 March 2024

Abstract

This paper is devoted to the research of the isomorphic multidimensional cyclic structure and multidimensional phase structure of the cyclic random process (CRP) and to its formation method, which enables a rigorous formalization of intuitive ideas concerning cyclic stochastic motion. The fundamental properties of the cyclic random process and analytical dependencies between the multidimensional cyclic structure, multidimensional phase structure and rhythm structure of the CRP have been established. This work shows that the CRP is able to take into account the cyclicity of multidimensional distribution functions of cyclic signals as well as the variability in the rhythm of the investigated signals. A subclass of the CRP is the periodic random process, which allows for the use of classical processing methods of cyclic signals with a regular rhythm. Based on a series of experiments, significant advantages of the CRP as a mathematical model of electrocardiographic signals (ECG) compared to the periodic random process are shown.

1. Introduction

Humanity has been engaged in the study of cyclical phenomena and processes since ancient times. The current stage of cyclic phenomena and signal research is characterized by the intensive use of highly efficient automated information systems and technologies, in particular, signal processing, data mining and machine learning. Both in ancient times and in the modern period of research on cyclic phenomena with the help of information systems and technologies, the central concept is the mathematical model of a cyclic phenomenon (process or signal), since the mathematical model of cyclic signals significantly determines the accuracy and reliability of the methods of their processing and determines the level of informativity of the diagnostic features in such information systems.
Historically, the first mathematical models that were used to describe cyclic processes were deterministic functions: harmonic, periodic, poly-periodic and almost-periodic functions. Based on these deterministic functions, spectral analysis methods are used, in particular, Fourier series and Fourier transforms [1,2]. Differential (ordinary and partial derivative, linear and nonlinear) and difference equations have been actively used to describe dynamic systems with cyclic patterns of functioning [3,4,5,6]. The deterministic functions mentioned above are the solutions of such equations. The next important stage in the creation of mathematical models of oscillating phenomena and signals is the application of probability theory, the theory of random processes and mathematical statistics. During the formation of the theory of random processes, cyclic phenomena and signals were studied as stationary random processes [7,8,9], applying methods of signal processing in both the time and spectral domains. However, such a stochastic model does not have the means to take into account the cyclical probabilistic characteristics of the signals, which led to the development of non-stationary probabilistic models. The simplest non-stationary probabilistic models of cyclic signals are additive, multiplicative and additive–multiplicative models, which somehow combine a stationary random process and periodic deterministic functions. Much more complex probabilistic models of cyclic signals are non-stationary random processes, such as cyclostationary (periodic) and almost-cyclostationary (almost periodic) random processes [10,11,12,13,14,15,16,17,18,19,20,21], periodic Markov random processes and chains [22,23,24,25,26,27], stochastic difference and differential equations with periodic solutions [28,29,30], and linear periodic random processes [31,32].
Cyclostationary and almost-cyclostationary random processes have received the greatest amount of theoretical development and have had the most applications in solving problems of probabilistic modeling and cyclic signal processing in mechanical, telecommunication, energy, astrophysical and biological systems [33,34,35,36,37,38,39,40,41,42,43,44]. Various generalizations of cyclostationary and almost-cyclostationary random processes are made in the works of [45,46]. Despite the significant progress in the use of these probabilistic mathematical models of cyclic signals, these models are inadequate (or weakly adequate) for cyclic signals whose rhythm is irregular (variable). More precisely, random processes with periodic probabilistic characteristics do not have the formal means to display (consider) the variability in the rhythm of the studied cyclic signals; these models are adequate and effective for describing cyclic signals with a regular rhythm (or when the irregularity of the rhythm can be ignored).
Another group of nonstationary models with non-periodic probabilistic characteristics, namely, the poly-periodic cyclostationary stochastic process, almost-cyclostationary stochastic process, generalized almost-cyclostationary process, spectrally correlated process, oscillatory almost-cyclostationary process and oscillatory spectrally correlated process, are generalizations of random processes with periodic probabilistic characteristics, which are based on the possibility of representing these processes through superpositions (using analogues of the Fourier series or Fourier integrals) of complex exponents (complex harmonic functions) with constant or time-varying amplitudes and phases; however, such generalization strategies for periodic random processes (the class-forming properties of these non-periodic random processes) are not oriented and do not ensure the preservation of the cyclic structure that is typical for random processes with periodic probabilistic characteristics. Thus, the probabilistic characteristics of these non-periodic random processes are, in general, not cyclic (only the spectral components of the corresponding analogues of the Fourier series or Fourier integrals have a cyclic structure), which indicates a certain inadequacy (excessive generality) for modeling cyclic stochastic signals, for which the cyclicity of the structure of probabilistic characteristics is an attributive property.
In the dissertation of [47], a new approach to mathematical modeling, computer simulation and the processing of cyclic signals was created. This approach has been widely used for modeling cyclic signals of various natures [48,49,50,51,52]. As part of this approach, a conditional cyclic random process was developed, which enabled a consistent mathematical description of cyclic signals with double stochasticity, namely, with simultaneous stochasticity of their cyclic and rhythmic structures [53]. The developed models, methods and software tools for processing cyclic signals are organized in the form of a computer ontology, which is built on the basis of an axiomatic deductive strategy for the systematization of knowledge in modern intellectualized information systems [54,55]. Somewhat similar approaches to modeling cyclic signals with irregular cyclicity are carried out in the works of [56,57,58,59,60].
The CRP has a cyclic structure of probabilistic characteristics and adequately describes cyclic signals with both regular and irregular rhythms, which gives it a significant advantage over other known probabilistic models of cyclic stochastic signals. However, there are no research studies devoted to the method of formation such processes and procedures for constructing multidimensional cyclic and phase structures. In contrast to the cyclic random process in the strict sense, the construction procedure and fundamental properties of a cyclically correlated random process in a broad sense were presented in the work of [61]. The purpose of this work is to construct isomorphic time-invariant structures of a CRP in an explicit, meaningful, interpretable and mathematical form, to describe its multidimensional cyclic and phase structures and to form the basis for a procedure for the construction and definition of CRPs. Also, an important task of this work is to establish fundamental properties and analytical dependencies between the multidimensional cyclic structure, multidimensional phase structure and rhythmic structure of the CRP, which will be the basis of the theory of mathematical modeling and rhythm-adaptive processing methods (statistical estimation, sampling, spectral analysis and computer modeling) of cyclic signals with both regular and irregular rhythms. Also, this work aims to identify the advantages of the CRP in comparison with a classical periodic random process in the tasks of the modeling and statistical processing of biomedical signals, in which the rhythm is variable.
The paper is organized as follows: The Section 2 is devoted to the procedure of the CRP construction. The Section 3 and Section 4 are devoted to the multidimensional cyclic and phase structures of the CRP. The Section 5 deals with representations of the CRP and its distribution functions through their cyclic structures. The Section 6 is devoted to representations of the CRP and its distribution functions through their phase structures. In the Section 7, analytical dependencies are considered between cyclic and phase multidimensional structures of the CRP. The Section 8 is devoted to the main subclasses of the CRP, in particular, to fractal cyclic random processes. The Section 9 is devoted to statistical analyses of the ECG results, which are based on the mathematical models of the ECG in the form of the CRP and a periodic random process.

2. The Multidimensional Structures in the Procedure of CRP Construction

In order to build a mathematical construction based on a strict definition of the CRP, we formalize intuitive (informal) fundamental concepts such as the multidimensional cycle and phase structures of a cyclic process within the framework of the theory of random processes. The first stage of the procedure for the CRP’s construction coincides with the first stage of constructing a cyclically correlated random process, which is described in detail in the work of [61]. Therefore, in order to ensure the integrity of the content of the article, here we present only the main elements of this stage of construction. As shown in the work of [61], in general, a cyclic signal is random process ξ ω , t , ω Ω , t R ( ξ : R L 2 Ω , P ) which is given as a set of pairs (argument t , value ξ ω , t ) ξ = t , ξ ω , t :   t R with the same probability space Ω , F , P . A necessary prerequisite for building a one-dimensional and multidimensional cyclic structure of a CRP is the ordered (ordered by m) countable partition D R c = W c m , m Z of domain R , then, for the elements of D R c , the following can be determined [61]:
m Z W c m = R , W c m Ø , W c m 1 W c m 2 = Ø , m 1 m 2 , m , m 1 , m 2 Z ,
where W c m = t ~ m , t ~ m + 1 ,   m Z   0 < t ~ m + 1 t ~ m < . Set D c = t ~ m , m Z is a subset of R whose elements correspond to the moments at the beginning of the cycles of a cyclic signal. In the work of [61], the elements W c m of partition D R c are interpreted as carriers of relational systems W c m , with the linear order and are ordered by the m countable family R S R c = W c m , , m Z of the subrelational systems of a relational system R , , between which there is an isomorphism with respect to the linear order (see Figure 1).
In work [61] it is shown that by bijection R ξ from partition D R c = W c m , m Z of domain R can be built countable family R S ξ c = ξ c m , 2 ,   m Z of the isomorphic with respect to binary relation of linear order 2 subrelational systems ξ c m , 2 of relational system ξ , 2 . Linear order 2 here is generated in ξ = t , ξ ω , t :   t R by linear order in R ( R , ξ , 2 ).
The countable family R S ξ c = ξ c m , 2 ,   m Z represents the one-dimensional isomorphic structures of a random process ξ . To display the multidimensional ( k -dimensional) isomorphic structures of a random process ξ , let us consider the Cartesian degree ξ k = t 1 , ξ ω , t 1 , , t k , ξ ω , t k :   t 1 , , t k R of the k -th order ( k 2 ) of the random process ξ and the bijection R k ξ k , which can always be constructed because any k -dimensional vector ( t 1 , , t k ) R k corresponds to one and only one k -dimensional vector t 1 , ξ ω , t 1 , , t k , ξ ω , t k ξ k and vice versa. Furthermore, for the two different k -dimensional vectors ( t 1 , , t k ) R k and t 1 , , t k R k , the corresponding two k -dimensional vectors t 1 , ξ ω , t 1 , , t k , ξ ω , t k ξ k and t 1 , ξ ω , t 1 , , t n , ξ ω , t k ξ k are also different, and vice versa. The Cartesian degree ξ k can be considered as a carrier of the relational system ξ k , 2 k with a binary relation of the linear order 2 k . The ordinal type of ξ k coincides with the ordinal type of the set R k . Namely, for any two k -dimensional vectors t 1 , ξ ω , t 1 , , t n , ξ ω , t k ξ k and t 1 , ξ ω , t 1 , , t k , ξ ω , t k ξ k , the following relationships can be seen: t 1 , ξ ω , t 1 , , t k , ξ ω , t k 2 k t 1 , ξ ω , t 1 , , t n , ξ ω , t k if t 1 t 1 or t 1 , ξ ω , t 1 , , t k , ξ ω , t k 2 k t 1 , ξ ω , t 1 , , t k , ξ ω , t k if t 1 t 1 . In the case when t 1 = t 1 , we will have the following order: t 1 , ξ ω , t 1 , , t n , ξ ω , t k 2 k t 1 , ξ ω , t 1 , , t k , ξ ω , t k if t 2 t 2 or t 1 , ξ ω , t 1 , , t k , ξ ω , t k 2 k t 1 , ξ ω , t 1 , , t k , ξ ω , t k if t 2 t 2 . In general, in the case when t i = t i ( i = 2 , k 1 ¯ ), we will have the following order: t 1 , ξ ω , t 1 , , t k , ξ ω , t k 2 k t 1 , ξ ω , t 1 , , t k , ξ ω , t k if t i + 1 t i + 1 or t 1 , ξ ω , t 1 , , t k , ξ ω , t k 2 k t 1 , ξ ω , t 1 , , t k , ξ ω , t k if t i + 1 t i + 1 .
Let us form the countable partition D R k c = W c m × R k 1 , m Z of R k based on the countable partition D R c = W c m , m Z of R . Due to 2 k 1 in R k , the elements W c m × R k 1 of D R k c are linearly ordered sets. Let us consider the elements W c m × R k 1 of D R k c as carriers of relational systems W c m × R k 1 , 2 k 1 with a binary relation of the linear order 2 k 1 . The partition D R k c generates the isomorphic (with respect to the linear order 2 k 1 ) family R S R k c = W c m × R k 1 , 2 k 1 , m Z of the subrelational systems of a relational system R k , 2 k 1 (see Figure 2).
Due to the bijective mapping of R k ξ k , the partition D R k c = W c m × R k 1 , m Z of R k generates an ordered countable partition D ξ k c = ξ c m × ξ k 1 ξ k ,   m Z with a Cartesian degree ξ k of the k -th order, in which every ξ c m × ξ k 1 is the truncation of the ξ k to the set W c m × R k 1 . That is, every ξ c m × ξ k 1 is the set of those ordered k -dimensional vectors t 1 , ξ ω , t 1 , , t k , ξ ω , t k :   ( t 1 , , t k ) W c m × R k 1 of the ξ k . The argument t 1 belongs to W c m , and the arguments t 2 belong to t k R .
Since the Cartesian product ξ k is the carrier of the relational system ξ k , 2 k , then with its partition D ξ k c , it is always possible to connect the countable family R S ξ k c = ξ c m × ξ k 1 , 2 k ,   m Z of the subrelational systems of a system ξ k , 2 k . From the isomorphism between W c m × R k 1 , 2 k 1 , m Z with respect to the binary relation of the linear order 2 k 1 due to the isomorphism R k , 2 k 1 ξ k , 2 k , we can determine the isomorphism between ξ c m × ξ k 1 , 2 k ,   m Z with respect to the binary relation of the linear order 2 k .
So, the following can be noted: (1) the isomorphism with respect to 2 k 1 and 2 k between R n , 2 k 1 and ξ n , 2 k ; (2) the isomorphism with respect to 2 k 1 between the subrelational systems R S R k c = W c m × R k 1 , 2 k 1 , m Z of the relational system R k , 2 k 1 ; (3) the isomorphism with respect to 2 k between the elements of family R S ξ k c = ξ c m × ξ k 1 , 2 k ,   m Z of the subrelational systems of the relational system ξ k , 2 k ; (4) the isomorphism with respect to 2 k 1 and 2 k between arbitrary pair W c m 2 × R k 1 and ξ c m 1 × ξ k 1 , m 1 , m 2 Z , taken from D R k c = W c m × R k 1 , m Z of set R k and from the partition D ξ k c = ξ c m × ξ k 1 ξ k ,   m Z of the Cartesian product ξ k .
Since for the construction of a random process ξ , in the strict sense, a countable family of its distribution functions is required, then in the mathematical model of the cyclic signals, it is necessary to take into account the sequence of its multidimensional cyclic structures. For this, we will introduce a variable k N , the value of which will be interpreted as the dimension of the cyclic structure of the random process ξ . Let us consider a sequence of relational systems ξ k , 2 k , k N , the carriers of which are the elements ξ k of the sequence ξ k , k N of the Cartesian products ξ k of the random process ξ , and the relations of these relational systems are elements 2 k of a sequence 2 k , k N of the relations of a linear order on these carriers. The first relational system at k = 1 is the relational system discussed above ξ , 2 , and all subsequent relational systems at k > 1 are relational systems, which will be used to model a sequence of multidimensional cyclic structures of a random process ξ . Let us integrate the sequence of relational systems ξ k , 2 k , k N into one relational system ξ k , k N , 2 k ,   k N = ξ , ξ 2 , , ξ k , , 2 , 4 , , 2 n , .
In the next step for the construction of an adequate mathematical model of the cyclic signals as random processes, it is necessary to take into account the similarities of multidimensional cyclic structures of a cyclic signal not only regarding their type of phase ordering, but also regarding the families of their distribution functions:
F k ξ ( x 1 , . . . , x k , t 1 , . . . , t k ) , x 1 , . . . , x k , t 1 , . . . , t k R , k N .
For this purpose, let us supplement the relational system ξ , ξ 2 , , ξ k , , 2 , 4 , , 2 k , with a new sequence of carriers A k , k N and new sequence of functional relations p k : ξ k A k , k N . The result is a new relational system as follows:
ξ , ξ 2 , , ξ k , , A 1 , A 2 , , A k , , 2 , 4 , , 2 k , , p 1 : ξ A 1 , p 2 : ξ 2 A 2 , , p k : ξ k A k , ,
where A k , k N is a sequence of distribution function spaces A k , namely, A k —the functional space of distribution functions F k ξ ( x 1 , . . . , x k ) , x 1 , . . . , x k R of a k -dimensional random vector (vector of k random variables) and p k : ξ k A k , k N —the sequence of functional relations, which represent the distribution functions F k ξ x 1 , . . . , x k , t 1 , . . . , t k of random process ξ as follows:
p k t 1 , ξ ω , t 1 , , t k , ξ ω , t k = p k ξ ω , t 1 , , ξ ω , t k = = F k ξ x 1 , . . . , x k , t 1 , . . . , t k A k , x 1 , . . . , x k , t 1 , . . . , t k R , ω Ω , k N
In order to exclude non-cyclic processes, in the future, we will consider only functional relations p k t 1 , ξ ω , t 1 , , t k , ξ ω , t k from p k : ξ k A k , k N , for which there exists number T R , so that the following inequalities can be achieved:
p k t 1 , ξ ω , t 1 , , t k , ξ ω , t k p k t 1 + T , ξ ω , t 1 + T , , t k + T , ξ ω , t k + T t 1 , . . . , t k R ,   k N .
Let us introduce a relational system (3) in a more compact form, as shown below:
ξ k , k N , A k , k N , 2 k ,   k N , p k : ξ k A k , k N ,
where ξ k , k N and A k , k N are sequences of carriers and 2 k ,   k N , p k : ξ k A k , k N are sequences of the relations of a relational system (6).
The partition D ξ k c = ξ c m × ξ k 1 ξ k ,   m Z of the Cartesian product ξ k of the random process ξ generates the family of subrelational systems as follows:
R S ξ , , ξ k , c = ξ c m × ξ k 1 , k N , A k , k N , 2 k ,   k N , p k : ξ k A k , k N ,   m Z
for relational system (6), where ξ c m × ξ k 1 , k N , A k , k N are carriers of the subrelational system ξ c m × ξ k 1 , k N , A k , k N , 2 k ,   k N , p k : ξ k A k , k N . In the case when k = 1 , as shown in Formula (5), we can assume that ξ c m × ξ 0 = ξ c m .
Let us amplify the isomorphism between the relational systems of the family R S ξ , , ξ k , c by adding requirements for the equality of values of distribution functions F k ξ x 1 , . . . , x k , t 1 , . . . , t k of the random process ξ for bijectively connected vectors t 1 , ξ ω , t 1 , , t k , ξ ω , t k ξ c m 1 × ξ k 1 and t 1 , ξ ω , t 1 , , t k , ξ ω , t k ξ c m 2 × ξ k 1 from two different arbitrary Cartesian products ξ c m 1 × ξ k 1 and ξ c m 2 × ξ k 1 . Namely, the isomorphism with respect to relations 2 k ,   k N for two arbitrary relational systems ξ c m 1 × ξ k 1 , k N , A k , k N , 2 k ,   k N , p k : ξ k A k , k N and ξ c m 2 × ξ k 1 , k N , A k , k N , 2 k ,   k N , p k : ξ k A k , k N must be supplemented by an isomorphism with respect to their functional relations p k : ξ k A k , k N .
Let us give a definition a certain type of isomorphism between the relational systems ξ c m 1 × ξ k 1 , k N , A k , k N , 2 k ,   k N , p k : ξ k A k , k N and ξ c m 2 × ξ k 1 , k N , A k , k N , 2 k ,   k N , p k : ξ k A k , k N for any m 1 , m 2 Z .
Definition 1.
The sequences of bijective mappings ξ c m 1 × ξ k 1 ξ c m 2 × ξ k 1 , k N between appropriate Cartesian products ξ c m 1 × ξ k 1 , k N and ξ c m 2 × ξ k 1 , k N , which are carriers of relational systems ξ c m 1 × ξ k 1 , k N , A k , k N , 2 k ,   k N , p k : ξ k A k , k N and ξ c m 2 × ξ k 1 , k N , A k , k N , 2 k ,   k N , p k : ξ k A k , k N , will be called the isomorphism with respect to the relations 2 k ,   k N and with respect to the distribution functions F k ξ x 1 , , x k , t 1 , , t k , k N from family (1), which are the values of the functional relations p k : ξ k A k , k N in the arguments t 1 , , t k , between the relational systems ξ c m 1 × ξ k 1 , k N , A k , k N , 2 k ,   k N , p k : ξ k A k , k N and ξ c m 2 × ξ k 1 , k N , A k , k N , 2 k ,   k N , p k : ξ k A k , k N , if:
  • There are isomorphisms between relational systems ξ c m 1 × ξ k 1 , A k , 2 k , p k : ξ k A k and ξ c m 2 × ξ k 1 , A k , 2 k , p k : ξ k A k with respect to the linear order 2 k , namely, the types of ordering of the Cartesian products ξ c m 1 × ξ k 1 and ξ c m 2 × ξ k 1 , which are identical for any k N .
  • There are isomorphisms between ξ c m 1 × ξ k 1 , A k , 2 k , p k : ξ k A k and ξ c m 2 × ξ k 1 , A k , 2 k , p k : ξ k A k with respect to the distribution function F k ξ x 1 , , x k , t 1 , , t k of a random process ξ . Namely, for all the bijectively connected vectors t 1 , ξ ω , t 1 , , t k , ξ ω , t k ξ c m 1 × ξ k 1 and t 1 , ξ ω , t 1 , , t k , ξ ω , t k ξ c m 2 × ξ k 1 for any k N , there are equal values of distribution functions F k ξ x 1 , , x k , t 1 , , t k from family (2), as shown below:
p k t 1 , ξ ω , t 1 , , t k , ξ ω , t k = p k t 1 , ξ ω , t 1 , , t k , ξ ω , t k = = F k ξ x 1 , , x k , t 1 , , t k = F k ξ x 1 , . . . , x k , t 1 , . . . , t k ,   x 1 , , x k R , t 1 W c m 1 , t 1 W c m 2 , t 2 , , t k , t 2 , , t k R , t 1 t 1 , , t k t k , m 1 , m 2 Z , k N .
Definition 2.
The Cartesian products ξ c m 1 × ξ k 1 and ξ c m 2 × ξ k 1 , which are carriers of the relational systems ξ c m 1 × ξ k 1 , k N , A k , k N , 2 k ,   k N , p k : ξ k A k , k N and ξ c m 2 × ξ k 1 , k N , A k , k N , 2 k ,   k N , p k : ξ k A k , k N , will be called the isomorphic Cartesian products with respect to the linear order 2 k and with respect to the distribution functions F k ξ x 1 , , x k , t 1 , , t k , k N from family (2), which are the values of the functional relations p k : ξ k A k , k N in the arguments t 1 , , t k , or more simply—the isomorphic Cartesian products.
Note that Definition 2 generalizes and significantly supplements the definition the isomorphic random processes with respect to 2 and the mathematical expectation ( k = 1 ) as well as the definition the isomorphic Cartesian products with respect to 4 and the correlation function ( k = 2 ), which are introduced in the work of [61].
The family R S ξ , , ξ k , c of the isomorphic subrelational systems, the carriers of which are the elements of the ordered countable partitions D ξ k c from the sequences D ξ k c = ξ c m × ξ k 1 ξ k ,   m Z , k N constructed above, makes it possible to obtain the definition of the CRP.
Definition 3.
A random process ξ ω , t , ω Ω , t R ( ξ : R L 2 Ω , P ) given in the probability space Ω , F , P and on a set R of real numbers will be called a cyclic random process (or cyclically distributed random process) if the ordered countable partition D ξ k c exists for each of the sequences D ξ k c = ξ c m × ξ k 1 ξ k ,   m Z , k N , whose elements are carriers of systems R S ξ , , ξ k , c = ξ c m × ξ k 1 , k N , A k , k N , 2 k ,   k N , p k : ξ k A k , k N ,   m Z with respect to the relations of the linear order 2 k ,   k N and with respect to the distribution functions F k ξ x 1 , , x k , t 1 , , t k , k N from family (1), which are values of functional relations p k : ξ k A k , k N in the arguments t 1 , , t k   .

3. The Multidimensional Cycle Structures of CRP

The next step is the formalization of the cycle and the set of cycles of the cyclic signal. For this purpose, let’s consider the concept of minimal ordered countable partition into isomorphic random processes of CRP ξ = t , ξ ω , t :   t R . Under minimal ordered countable partition into isomorphic random processes with respect to the relation of linear order 2 and to the functional relation p 1 : ξ A 1 , which is distribution function F 1 ξ x , t from family (2) of CRP ξ = t , ξ ω , t :   t R , we will understand such partition D ξ c = ξ c m ξ ,   m Z , when the arbitrary partitioning of its elements ξ c m will form a new one smaller partition ξ m ξ c m , n Z , between all the elements ξ n of which simultaneously there are no isomorphisms with respect to 2 and with respect to the distribution function F 1 ξ x , t from family (2), which is value of functional relation p 1 : ξ A 1 , in the argument t .
Definition 4.
The minimal ordered countable partition D ξ c = ξ c m ξ ,   m Z of the CRP ξ = t , ξ ω , t :   t R into isomorphic random processes with respect to the relation of the linear order 2 and with respect to the distribution function F 1 ξ x , t from family (1), which is value of functional relation p 1 : ξ A 1 in the argument t will be called the partition into cycles of the CRP ξ , and the random process ξ c m is the m-th cycle of the CRP ξ .
The following definition can then be obtained.
Definition 5.
The set W c m will be called the definition domain of m-th cycle ξ c m of the CRP ξ .
Given the fact that the CRP ξ , in addition to its one-dimensional probability structure determined by its distribution functions F 1 ξ x , t , has a k -dimensional (multidimensional) probability structure given by its distribution functions F k ξ x 1 , , x k , t 1 , , t k from family (2), then, in addition to the partition D ξ c = ξ c m ξ ,   m Z into one-dimensional cycles ξ c m , it is possible to obtain a definition of the partition D ξ k c = ξ c m × ξ k 1 ξ k ,   m Z of the Cartesian product of the k -th order ( k 2 ) into k -dimensional cycles ξ c m × ξ k 1 of the CRP ξ .
Under the minimal ordered countable partition of the Cartesian product ξ k of the CRP ξ = t , ξ ω , t :   t R into isomorphic Cartesian products ξ c m × ξ k 1 with respect to 2 k and with respect to the distribution function F k ξ x 1 , , x k , t 1 , , t k from family (2), which is value of the functional relation p k : ξ k A k in t 1 , , t k , we obtain the partition as D ξ k c = ξ c m × ξ k 1 ξ k ,   m Z , when the arbitrary partitioning of its elements ξ c m × ξ k 1 forms a new, smaller partition ξ n × ξ k 1 ξ k , n Z between all the elements ξ n × ξ k 1 of which simultaneously there are no isomorphisms with respect to 2 k and with respect to the distribution function F k ξ x 1 , , x k , t 1 , , t k from family (2), which is the value of the functional relation p k : ξ k A k in t 1 , , t k .
Definition 6.
The minimal ordered countable partition D ξ k c = ξ c m × ξ k 1 ξ k ,   m Z of the Cartesian product ξ k of the CRP ξ = t , ξ ω , t :   t R into isomorphic Cartesian products ξ c m × ξ k 1 with respect to 2 k and with respect to the distribution function F k ξ x 1 , , x k , t 1 , , t k from family (2), which is value of the functional relation p k : ξ k A k in t 1 , , t k , will be called the partition into k -dimensional cycles of the CRP ξ , and Cartesian product ξ c m × ξ k 1 will be called the m-th k -dimensional cycle of the CRP ξ .
The following definition can then be obtained.
Definition 7.
The set W c m × R k 1 will be called the definition domain of k -dimensional m-th cycle ξ c m × ξ k 1 of the CRP ξ .
Thus, the cyclic structure of CRP ξ is given by the sequence D ξ k c = ξ c m × ξ k 1 ξ k ,   m Z , k N , whose elements are partitions D ξ k c into the k -dimensional cycles ξ c m × ξ k 1 of the CRP ξ .
Let us consider another ordered countable partition D ξ k c 1 = ξ m 1 , , m k ξ k , m 1 , . m k Z of the Cartesian product ξ k of the CRP ξ = t , ξ ω , t :   t R , as shown below:
ξ m 1 , , m k = ξ c m 1 × × ξ c m k , m 1 , , m k Z .
Note that there are not isomorphisms between all the elements of partition D ξ k c 1 with respect to the relations of the linear order 2 k and with respect to the distribution function F k ξ x 1 , , x k , t 1 , , t k from family (2), which is the value of the functional relation p k : ξ k A k in t 1 , , t k . This type of isomorphism exists between elements of only certain subsets of the partition D ξ k c 1 , namely, between all the elements of only these subsets as follows:
ξ m 1 + l , , m k + l , l Z , m 1 , , m k Z ,
where ξ m 1 + l , , m k + l = ξ c m 1 + l × × ξ c m k + l is a Cartesian product of the one-dimensional cycles of the CRP ξ that form diagonal stripes l Z ξ m 1 + l , , m k + l in ξ k . If m 1 , , m k n 1 , , n k , then between the arbitrary elements ξ m 1 + l , , m k + l and ξ n 1 + l , , n k + l of the subsets ξ m 1 + l , , m k + l , l Z and ξ n 1 + l , , n k + l , l Z , ( n 1 , , n k Z ) does not have isomorphisms with respect to 2 k and to the functional relation p k : ξ k A k , which is the distribution function F k ξ x 1 , , x k , t 1 , , t k from family (1). That is, between the elements ξ m 1 + l , , m k + l and ξ n 1 + l , , n k + l from different diagonal stripes l Z ξ m 1 + l , , m k + l and l Z ξ n 1 + l , , n k + l in ξ k , there are not any isomorphisms. In general, this type of isomorphism between the elements of a set ξ m 1 + l 1 , , m k + l k , l 1 , , l k Z takes place only if l 1 = l 2 = = l k (see Figure 3).
Any m 1 -th k -dimensional cycle ξ c m 1 × ξ k 1 of a CRP ξ can be represented by the elements of the ordered countable partition D ξ k c 1 :
ξ c m 1 × ξ k 1 = m 2 , , m k Z ξ m 1 , , m k = m 2 , , m k Z ξ c m 1 × ξ c m 2 × × ξ c m k .
The Cartesian product ξ k of the CRP ξ can be represented by the elements of the ordered countable partition D ξ k c 1 :
ξ k = m 1 Z ξ c m 1 × ξ k 1 = m 1 , , m k Z ξ m 1 , , m k = m 1 , , m k Z ξ c m × ξ c m 2 × × ξ c m k .
The Cartesian product ξ k of the CRP ξ can be represented by a set of all diagonal stripes l Z ξ m 1 + l , , m k + l :
ξ k = m 2 , , m k Z l Z ξ l , m 2 + l , , m k + l = m 2 , , m k Z l Z ξ c l × ξ c m 2 + l × × ξ c m k + l .

4. The Multidimensional Phase Structure of CRPs

The one-dimensional phase structure of a cyclically correlated random process was investigated in the work of [61]. In this section, we will introduce and establish the main properties of the multidimensional phase structure of a CRP, which summarizes and extends the results of the article of [61]. Similarly to the definition of the k -dimensional cycles of a CRP, it is possible to define the concept of its k -dimensional phase. Let us have the definition domain W c 0 × R k 1 of the k -dimensional 0 -th cycle ξ c 0 × ξ k 1 of the CRP ξ . Due to isomorphism between relational systems W c 0 × R k 1 , 2 k 1 and W c m × R k 1 , 2 k 1 ( m Z ), for any t 0 ψ 1 , , t 0 ψ k W c 0 × R k 1 in the definition domain W c m × R k 1 of arbitrary k -dimensional m -th cycle ξ c m × ξ k 1 , there is only one element t m ψ 1 , , t m ψ k W c m × R k 1 , which is bijectively connected with t 0 ψ 1 , , t 0 ψ k ( t m ψ 1 , , t m ψ k t 0 ψ 1 , , t 0 ψ k ) . Since for a CRP ξ , we have a countable set D ξ k c of k -dimensional cycles, then for every k -dimensional vector t 0 ψ 1 , , t 0 ψ k W c 0 × R k 1 , we will have a countable set W ψ 1 , , ψ k of k -dimensional vectors t m ψ 1 , , t m ψ k , which are bijectively connected to it. Set W ψ 1 , , ψ k of all bijectively connected vectors with a vector t 0 ψ 1 , , t 0 ψ k is defined as follows:
W ψ 1 , , ψ k =   t m ψ 1 , , t m ψ k : t m ψ 1 , , t m ψ k W c m × R k 1 , t m ψ 1 , , t m ψ k t 0 ψ 1 , , t 0 ψ k ,   m Z ,   t 0 ψ 1 , , t 0 ψ k , ψ 1 , , ψ k W c 0 × R k 1 .
For each fixed t 0 ψ 1 , , t 0 ψ k W c 0 × R k 1 we will have specific set W ψ 1 , , ψ k . If t 0 ψ 1 , , t 0 ψ k runs the all ordered set W c 0 × R k 1 then we get the ordered in the indexes ψ 1 , , ψ k uncountable partition D R k p h = { W ψ 1 , , ψ k , ψ 1 , , ψ k W c 0 × R k 1 } of the definition domain R k of Cartesian product ξ k of CRP ξ .
Let’s create an ordered in the indexes ψ 1 , , ψ k uncountable partition D ξ k p h = { ξ ψ 1 , , ψ k ,   ψ 1 , , ψ k W c 0 × R k 1 } of Cartesian product ξ k of CRP ξ by bijective mapping of elements W ψ 1 , , ψ k from partition D R k p h into subsets ξ ψ 1 , , ψ k of Cartesian product ξ k ( W ψ 1 , , ψ k ξ ψ 1 , , ψ k ), that is, everyone W ψ 1 , , ψ k is matched by the subset ξ ψ 1 , , ψ k = { t m ψ 1 , ξ ω , t m ψ 1 , , t m ψ k , ξ ω , t m ψ k : t m ψ 1 , , t m ψ k W ψ 1 , , ψ k } ξ k of those k -dimensional vectors t m ψ 1 , ξ ω , t m ψ 1 , , t m ψ k , ξ ω , t m ψ k of Cartesian product ξ k , the first elements t m ψ 1 , , t m ψ k of which belong to W ψ 1 , , ψ k   ( t m ψ 1 , , t m ψ k t m ψ 1 , ξ ω , t m ψ 1 , , t m ψ k , ξ ω , t m ψ k , t m ψ 1 , , t m ψ k W ψ 1 , , ψ k ) . Since W ψ 1 , , ψ k is a countable set, then and ξ ψ 1 , , ψ k is also a countable set, defined as:
ξ ψ 1 , , ψ k = t m ψ 1 , ξ ω , t m ψ 1 , , t m ψ k , ξ ω , t m ψ k : t m ψ 1 , , t m ψ k W c m × R k 1 , t m ψ 1 , , t m ψ k t 0 ψ 1 , , t 0 ψ k ,   m Z , t 0 ψ 1 , , t 0 ψ k , ψ 1 , , ψ k W c 0 × R k 1 .
According to (15), ξ ψ 1 , , ψ k = t m ψ 1 , ξ ω , t m ψ 1 , , t m ψ k , ξ ω , t m ψ k , m Z is a countable set, ordered by m .
Since the set W c 0 × R k 1 is isomorphic with respect to 2 k 1 for any set W c m × R k 1 , then between the partition D ξ k p h = { ξ ψ 1 , , ψ k ,   ψ 1 , , ψ k W c 0 × R k 1 } and the arbitrary sets W c m × R k 1 , there is an isomorphism with respect to the linear order. Let us note that ξ ψ 1 , , ψ k is a countable set of the k -dimensional vectors of the Cartesian product ξ k , among which there are no two vectors belonging to the same k -dimensional cycle; that is, among the elements of ξ ψ 1 , , ψ k there are no two vectors t m 1 ψ 1 , ξ ω , t m 1 ψ 1 , , t m 1 ψ k , ξ ω , t m 1 ψ k where t m 1 ψ 1 , , t m 1 ψ k W c m 1 × R k 1 and t m 2 ψ 1 , ξ ω , t m 2 ψ 1 , , t m 2 ψ k , ξ ω , t m 2 ψ k where t m 2 ψ 1 , , t m 2 ψ k W c m 2 × R k 1 for which W c m 1 = W c m 2 .
For different elements t m ψ 1 , ξ ω , t m ψ 1 , , t m ψ k , ξ ω , t m ψ k and t g ψ 1 , ξ ω , t g ψ 1 , , t g ψ k , ξ ω , t g ψ k from ξ ψ 1 , , ψ k , according to Equation (11), there is equality between distribution functions, as shown below:
p k t m ψ 1 , ξ ω , t m ψ 1 , , t m ψ k , ξ ω , t m ψ k = = p k t g ψ 1 , ξ ω , t g ψ 1 , , t g ψ k , ξ ω , t g ψ k = = F k ξ x 1 , , x k , t m ψ 1 , , t m ψ k = F k ξ x 1 , , x k , t g ψ 1 , , t g ψ k , t m ψ 1 , , t m ψ k W c m × R k 1 , t g ψ 1 , , t g ψ k W c g × R k 1 , t m ψ 1 t g ψ 1 , , t m ψ k t g ψ k , m , g Z , ψ 1 , , ψ k W c 0 × R k 1 .
Let us obtain the mathematical definition of the k -dimensional phase of the CRP ξ .
Definition 8.
Ordered by the indexes ψ 1 , , ψ k the uncountable partition D ξ k p h = { ξ ψ 1 , , ψ k ,   ψ 1 , , ψ k W c 0 × R k 1 } of the Cartesian product ξ k of the CRP ξ , whose elements are countable sets formed according to (15) and for which the equalities in Equation (16) exist, is called the partition into k -dimensional phases, and the set ξ ψ 1 , , ψ k is called the k -dimensional phase ( k -dimensional ψ 1 , , ψ k phase) of the CRP ξ .
Definition 9.
The m-th element t m ψ 1 , ξ ω , t m ψ 1 , , t m ψ k , ξ ω , t m ψ k of the set ξ ψ 1 , , ψ k = t m ψ 1 , ξ ω , t m ψ 1 , , t m ψ k , ξ ω , t m ψ k , m Z is called the actualization of the k -dimensional phase ξ ψ 1 , , ψ k ( k -dimensional ψ 1 , , ψ k phase) in the k -dimensional m-th cycle ξ c m × ξ k 1 of the CRP ξ .
Definition 10.
The set W ψ 1 , , ψ k which is determined according to Expression (14) is called the definition domain of the k -dimensional phase ξ ψ 1 , , ψ k ( k -dimensional ψ 1 , , ψ k phase) of the CRP ξ .
Definition 11.
The set A ψ 1 , , ψ k is determined according to following expression:
A ψ 1 , , ψ k = ξ ω , t m ψ 1 , , ξ ω , t m ψ k : t m ψ 1 , , t m ψ k W c m × R k 1 , t m ψ 1 , , t m ψ k t 0 ψ 1 , , t 0 ψ k ,   m Z , t 0 ψ 1 , , t 0 ψ k , ψ 1 , , ψ k W c 0 × R k 1
and is called the ψ 1 , , ψ k set ( ψ 1 , , ψ k series) of single-phase values of the k -dimensional ψ 1 , , ψ k phase of the CRP ξ .
The set A ψ 1 , , ψ k , ψ 1 , , ψ k W c 0 × R k 1 of all the sets of k -dimensional single-phase values is ordered by the vector of the parameters ψ 1 , , ψ k . Each A ψ 1 , , ψ k is a k -dimensional vector of stationary and stationary connected random sequences with respect to its k -dimensional distribution function F k A ψ 1 , , ψ k x 1 , , x k , t m ψ 1 , , t m ψ k ,   t m ψ 1 , , t m ψ k W c m × R k 1 , t m ψ 1 , , t m ψ k t 0 ψ 1 , , t 0 ψ k ,   m Z .
Definition 12.
The m-th element ξ ω , t m ψ 1 , , ξ ω , t m ψ k of the set A ψ 1 , , ψ k = ξ ω , t m ψ 1 , , ξ ω , t m ψ k , m Z is called the actualization of the ψ 1 , , ψ k set ( ψ 1 , , ψ k series) single-phase values of the k -dimensional ψ 1 , , ψ k phase in the k -dimensional m-th cycle ξ c m × ξ k 1 of the CRP ξ .
The k -dimensional ψ 1 , , ψ k phase unites a countable set of bijectively connected vectors with one from each of k -dimensional m-th cycles ξ c m × ξ k 1 of ξ taken; that is, the concept of the k -dimensional ψ 1 , , ψ k phase is based on the concept of the minimal ordered countable partition D ξ k c = ξ c m × ξ k 1 ξ k ,   m Z of the Cartesian product ξ k of process ξ = t , ξ ω , t :   t R into isomorphic Cartesian products ξ c m × ξ k 1 .
Let us consider the k -dimensional phase structure, based on the ordered countable partition D ξ k c 1 = ξ m 1 , , m k = ξ c m 1 × × ξ c m k , m 1 , . m k Z of the Cartesian product ξ k of the CRP ξ . Since there are not isomorphisms between all elements of partition D ξ k c 1 with respect to 2 k and to the functional relation p k : ξ k A k , which is a distribution function F k ξ x 1 , , x k , t 1 , , t k from family (2), and isomorphisms exist only between all the elements of sets ξ m 1 + l , , m k + l , l Z   ( m 1 , , m k Z ), which form diagonal stripes l Z ξ m 1 + l , , m k + l in ξ k , then the k -dimensional phases cover only the vectors that belong to these diagonal stripes. Let us define the domain W m 1 , , m k = W c m 1 × × W c m k of the k -dimensional isomorphic elements ξ m 1 , , m k of subset ξ m 1 + l , , m k + l , l Z , which form diagonal stripes l Z ξ m 1 + l , , m k + l in ξ k . Let us accept that W c m 1 = W c 0 ( m 1 = 0 ). Due to isomorphisms between relational systems W 0 , m 2 , , m k , 2 k 1 and W l , m 2 + l , , m k + l , 2 k 1 ( l Z ), for any t 0 φ 1 , t m 2 φ 2 , , t m k φ k W 0 , m 2 , , m k in the definition domain W l , m 2 + l , , m k + l of the k -dimensional element ξ l , m 2 + l , , m k + l of subset ξ l , m 2 + l , , m k + l , l Z , there is only one element t l φ 1 , t m 2 + l φ 2 , , t m k + l φ k W l , m 2 + l , , m k + l that is bijectively connected with t 0 φ 1 , t m 2 φ 2 , , t m k φ k ( t 0 φ 1 , t m 2 φ 2 , , t m k φ k t l φ 1 , t m 2 + l φ 2 , , t m k + l φ k ) . Since the set W l , m 2 + l , , m k + l , l Z is a countable set, for every k -dimensional vector t 0 φ 1 , t m 2 φ 2 , , t m k φ k W 0 , m 2 , , m k , we will have a countable set W φ 1 , , φ k m 2 , , m k of k -dimensional vectors t l φ 1 , t m 2 + l φ 2 , , t m k + l φ k , which are bijectively connected to it. Set W φ 1 , , φ k m 1 , , m k of all bijectively connected vectors with t 0 φ 1 , t m 2 φ 2 , , t m k φ k is defined as follows:
W φ 1 , , φ k m 2 , , m k =   t l φ 1 , t m 2 + l φ 2 , , t m k + l φ k : t l φ 1 , t m 2 + l φ 2 , , t m k + l φ k W l , m 2 + l , , m k + l , t l φ 1 , t m 2 + l φ 2 , , t m k + l φ k t 0 φ 1 , t m 2 φ 2 , , t m k φ k ,   l Z , m 2 , , m k Z , φ 1 , , φ k W c 0   .
For each fixed t 0 φ 1 , t m 2 φ 2 , , t m k φ k W 0 , m 2 , , m k we will have specific set W φ 1 , , φ k m 2 , , m k . If t 0 φ 1 , t m 2 φ 2 , , t m k φ k runs the all ordered sets W 0 , m 2 , , m k then we get the ordered in the indexes φ 1 , , φ k uncountable partition D l Z W l , m 2 + l , , m k + l p h = { W φ 1 , , φ k m 2 , , m k , φ 1 , , φ k W c 0 } of the definition domain l Z W l , m 2 + l , , m k + l of diagonal stripe l Z ξ l , m 2 + l , , m k + l in ξ k .
Let us create ordered indexes φ 1 , , φ k for the uncountable partition D l Z ξ l , m 2 + l , , m k + l p h = { ξ φ 1 , , φ k m 2 , , m k , φ 1 , , φ k W c 0 } of the diagonal stripe l Z ξ l , m 2 + l , , m k + l in ξ k by the bijective mapping of elements W φ 1 , , φ k m 2 , , m k from partition D l Z W l , m 2 + l , , m k + l p h into subsets ξ φ 1 , , φ k m 2 , , m k of l Z ξ l , m 2 + l , , m k + l ( W φ 1 , , φ k m 2 , , m k ξ φ 1 , , φ k m 2 , , m k ); that is, all elements W φ 1 , , φ k m 2 , , m k are matched by the subset ξ φ 1 , , φ k m 2 , , m k = t l φ 1 , ξ ω , t l φ 1 , t m 2 + l φ 2 , ξ ω , t m 2 + l φ 2 , , t m k + l φ k , ξ ω , t m k + l φ k : t l φ 1 , t m 2 + l φ 2 , , t m k + l φ k W φ 1 , , φ k m 2 , , m k of the k -dimensional vectors t l φ 1 , ξ ω , t l φ 1 , t m 2 + l φ 2 , ξ ω , t m 2 + l φ 2 , , t m k + l φ k , ξ ω , t m k + l φ k of l Z ξ l , m 2 + l , , m k + l , the first elements t l φ 1 , t m 2 + l φ 2 , , t m k + l φ k of which belong to W φ 1 , , φ k m 2 , , m k   ( t l φ 1 , t m 2 + l φ 2 , , t m k + l φ k t l φ 1 , ξ ω , t l φ 1 , t m 2 + l φ 2 , ξ ω , t m 2 + l φ 2 , , t m k + l φ k , ξ ω , t m k + l φ k , t l φ 1 , t m 2 + l φ 2 , , t m k + l φ k W φ 1 , , φ k m 2 , , m k . Since W φ 1 , , φ k m 2 , , m k is a countable set, then ξ φ 1 , , φ k m 2 , , m k is also a countable set, defined as follows:
ξ φ 1 , , φ k m 2 , , m k = t l φ 1 , ξ ω , t l φ 1 , t m 2 + l φ 2 , ξ ω , t m 2 + l φ 2 , , t m k + l φ k , ξ ω , t m k + l φ k : t l φ 1 , t m 2 + l φ 2 , , t m k + l φ k W l , m 2 + l , , m k + l , t l φ 1 , t m 2 + l φ 2 , , t m k + l φ k t 0 φ 1 , t m 2 φ 2 , , t m k φ k ,   l Z ,   m 2 , , m k Z , φ 1 , , φ k W c 0   .
According to (19), any set ξ φ 1 , , φ k m 2 , , m k = t l φ 1 , ξ ω , t l φ 1 , t m 2 + l φ 2 , ξ ω , t m 2 + l φ 2 , , t m k + l φ k , ξ ω , t m k + l φ k , l Z can be ordered by the l countable set.
Since set W 0 , m 2 , , m k is isomorphic with respect to 2 k 1 for any set W l , m 2 + l , , m k + l , then between the partition D l Z ξ l , m 2 + l , , m k + l p h = ξ φ 1 , , φ k m 2 , , m k , φ 1 , , φ k W c 0 and the arbitrary sets W l , m 2 + l , , m k + l , there is an isomorphism with respect to the linear order, or rather, there is an isomorphism between the relational system D l Z ξ l , m 2 + l , , m k + l p h , 2 k 1 p h and arbitrary relational system W l , m 2 + l , , m k + l , 2 k 1 with respect to the binary relations of the linear order 2 k 1 p h and 2 k 1 ( D l Z ξ l , m 2 + l , , m k + l p h , 2 k 1 p h W l , m 2 + l , , m k + l , 2 k 1 ). And the ordering type of partition D l Z ξ l , m 2 + l , , m k + l p h is determined by the type of ordering of any set W l , m 2 + l , , m k + l and in particular, by the type of ordering of set W 0 , m 2 , , m k .
For different elements of ξ φ 1 , , φ k m 2 , , m k , according to Equation (6), there are equalities between distribution functions, namely:
p k t l φ 1 , ξ ω , t l φ 1 , t m 2 + l φ 2 , ξ ω , t m 2 + l φ 2 , t m k + l φ k , ξ ω , t m k + l φ k = = p k t g φ 1 , ξ ω , t g φ 1 , t m 2 + g φ 2 , ξ ω , t m 2 + g φ 2 , t m k + g φ k , ξ ω , t m k + g φ k = = F k ξ x 1 , , x k , t l φ 1 , t m 2 + l φ 2 , , t m k + l φ k = F k ξ x 1 , , x k , t g φ 1 , t m 2 + g φ 2 , , t m k + g φ k , t l φ 1 , t m 2 + l φ 2 , , t m k + l φ k W l , m 2 + l , , m k + l , t g φ 1 , t m 2 + g φ 2 , , t m k + g φ k W g , m 2 + g , , m k + g , t l φ 1 t g φ 1 , t m 2 + l φ 2 t m 2 + g φ 2 , , t m k + l φ k t m k + g φ k , m 2 , , m k , l , g Z , φ 1 , , φ k W c 0 .
Since the Cartesian product ξ k of a CRP ξ can be represented through the set of all diagonal stripes l Z ξ m 1 + l , , m k + l according to Formula (13), and each diagonal stripe l Z ξ m 1 + l , , m k + l in ξ k can be represented through the elements of D l Z ξ l , m 2 + l , , m k + l p h , then the Cartesian product ξ k can be represented through the set D l Z ξ l , m 2 + l , , m k + l p h , m 2 , , m k Z , namely:
ξ k = m 2 , , m k Z l Z ξ l , m 2 + l , , m k + l = m 2 , , m k Z φ 1 , , φ k W c 0 ξ φ 1 , , φ k m 2 , , m k .
Let us unite all elements of the set { ξ φ 1 , , φ k m 2 , , m k , m 2 , , m k Z } as follows:
ξ φ 1 , , φ k = m 2 , , m k Z ξ φ 1 , , φ k m 2 , , m k .
Then the set ξ φ 1 , , φ k consists of the following elements:
ξ φ 1 , , φ k = t l φ 1 , ξ ω , t l φ 1 , t m 2 + l φ 2 , ξ ω , t m 2 + l φ 2 , , t m k + l φ k , ξ ω , t m k + l φ k : t l φ 1 , t m 2 + l φ 2 , , t m k + l φ k W l , m 2 + l , , m k + l , t l φ 1 , t m 2 + l φ 2 , , t m k + l φ k t 0 φ 1 , t m 2 φ 2 , , t m k φ k ,   l ,   m 2 , , m k Z , φ 1 , , φ k W c 0   .
Note that ξ φ 1 , , φ k can be represented as a Cartesian product of k corresponding the one-dimensional phases ξ φ 1 , …, ξ φ k :
ξ φ 1 , , φ k = ξ φ 1 × ξ φ 2 × ξ φ 3 × . . . × ξ φ k = i = 1 k ξ φ i .
The definition domain W φ 1 , , φ k of ξ φ 1 , , φ k can be represented as a Cartesian product of the k definition domains W φ 1 , …, W φ k of the corresponding one-dimensional phases ξ φ 1 , …, ξ φ k :
W φ 1 , , φ k = W φ 1 × W φ 2 × W φ 3 × . . . × W φ k = i = 1 k W φ i .
Each element ξ m 1 , , m k of partition D ξ k c 1 = ξ m 1 , , m k ξ k , m 1 , . m k Z can be represented as follows:
W φ 1 , , φ k m 2 , , m k = t m 1 φ 1 , ξ ω , t m 1 φ 1 , , t m k φ k , ξ ω , t m k φ k : t m 1 φ 1 , , t m k φ k   W m 1 , , m k , t m 1 φ 1 , , t m k φ k t 0 φ 1 , t m 2 φ 2 , , t m k φ k , φ 1 , , φ k W c 0 , m 1 , , m k Z .
Substituting Formula (26) into Formula (11), the m -th k -dimensional cycle ξ c m × ξ k 1 of the CRP ξ can be presented as follows:
ξ c m 1 × ξ k 1 = m 2 , , m k Z t m 1 φ 1 , ξ ω , t m 1 φ 1 , , t m k φ k , ξ ω , t m k φ k : t m 1 φ 1 , , t m k φ k W m 1 , , m k , t m 1 φ 1 , , t m k φ k t 0 φ 1 , t m 2 φ 2 , , t m k φ k , φ 1 , , φ k W c 0 = = t m 1 φ 1 , ξ ω , t m 1 φ 1 , , t m k φ k , ξ ω , t m k φ k : t m 1 φ 1 , , t m k φ k W m 1 , , m k ,   t m 1 φ 1 , , t m k φ k t m 1 φ 1 , , t m k φ k t 0 φ 1 , t m 2 φ 2 , , t m k φ k , m 2 , , m k Z , φ 1 , , φ k W c 0 , m 1 Z .
The partition D ξ k p h = ξ ψ 1 , , ψ k ,   ψ 1 , , ψ k W c 0 × R k 1 into k -dimensional phases of Cartesian product ξ k of CRP ξ can be presented as a union of partitions D l Z ξ l , m 2 + l , , m k + l p h into k -dimensional phases of all diagonal stripes l Z ξ m 1 + l , , m k + l in ξ k , namely:
D ξ k p h = ξ ψ 1 , , ψ k ,   ψ 1 , , ψ k W c 0 × R k 1 = m 2 , , m k Z D l Z ξ l , m 2 + l , , m k + l p h = m 2 , , m k Z ξ φ 1 , , φ k m 2 , , m k , φ 1 , , φ k W c 0 = ξ φ 1 , , φ k m 2 , , m k , φ 1 , , φ k W c 0 , m 2 , , m k Z .
As can be seen from Formula (28), each countable set ξ φ 1 , , φ k m 2 , , m k is a k -dimensional phase of the CRP ξ , which is equal to the appropriate k -dimensional phase ξ ψ 1 , , ψ k as follows:
ξ φ 1 , , φ k m 2 , , m k = ξ ψ 1 , , ψ k ,   ψ 1 = φ 1 = t 0 φ 1 W c 0 , ψ 2 = t 0 ψ 2 = t m 2 φ 2 W c m 2 R , ,   ψ k = t 0 ψ k = t m k φ k W c m k R , t m 2 φ 2 t 0 φ 2 , ,   t m k φ k t 0 φ k ,   φ 1 , , φ k W c 0 , m 2 , , m k Z .

5. Representations of CRP and Its Distribution Functions through Their Cyclic Structures

Given that the sequence D ξ k c = ξ c m × ξ k 1 ξ k ,   m Z , k N always exists and its elements are the partitions D ξ k c of the CRP ξ into k -dimensional cycles ξ c m × ξ k 1 , a random process ξ and its Cartesian product ξ k can be represented as follows:
ξ = m Z ξ c m ,
ξ k = m Z ξ c m × ξ k 1 , k N .
If we consider a vector { ξ ~ m ω , t ,   ω Ω , t R , m   Z } of random processes, which in the areas W c m coincide with the random processes ξ c m , but in the areas R \ W c m , the random processes ξ ~ m ω , t are all equal to zero ( ξ ~ m ω , t = 0 ,   t   R \ W c m ) , it is possible to represent the CRP ξ : R L 2 Ω , P in another way as follows:
ξ ω , t = m Z ξ ~ m ω , t ,   ω Ω , t R .
Similarly to the representations of the random process ξ and its Cartesian product ξ k according to Formulas (30) and (31), we can obtain representations of k -dimensional distribution functions F k ξ x 1 , , x k , t 1 , , t k (in another designation F k ξ = t 1 , , t k , F k ξ x 1 , , x k , t 1 , , t k :   t 1 , , t k R k ) of the CRP ξ as follows:
F k ξ = m Z F k ξ c m ,   F k ξ c m Ø , F k ξ c m 1 F k ξ c m 2 = Ø , m 1 m 2 ,   m ,   m 1 , m 2 Z , k N ,
where F k ξ c m = t 1 , , t k , F k ξ x 1 , , x k , t 1 , , t k :   t 1 , , t k W c m × R k 1 is a k -dimensional distribution function F k ξ x 1 , , x k , t 1 , , t k of m-th k -dimensional cycle ξ c m × ξ k 1 of the CRP ξ .
It is possible to represent the k -dimensional distribution functions F k ξ x 1 , , x k , t 1 , , t k of the CRP ξ in another way if we consider a countable dimensional vector { F ~ k ξ c m x 1 , , x k , t 1 , , t k ,   t 1 , , t k R k , m   Z } , whose components F ~ k ξ c m x 1 , , x k , t 1 , , t k in the areas W c m × R k 1 coincide with the F k ξ c m , but whose components in the areas R k \ W c m × R k 1 are all equal to zero ( F ~ k ξ c m x 1 , , x k , t 1 , , t k = 0 ,   t 1 , , t k R k \ W c m × R k 1 ) :
F k ξ x 1 , , x k , t 1 , , t k = m Z F ~ k ξ c m x 1 , , x k , t 1 , , t k x 1 , , x k , t 1 , , t k R ,   k N .
Note that the components F ~ k ξ c m x 1 , , x k , t 1 , , t k of a countable dimensional vector { F ~ k ξ c m x 1 , , x k , t 1 , , t k ,   t 1 , , t k R k , m   Z } are not distribution functions in the areas R k \ W c m × R k 1 , m Z .
In practice, the CRP should be considered for the subset V R :
V = m = 0 M W c m     o r     V = m = 0 W c m ,
where M is the integer number. In this case, the k -dimensional distribution functions F k ξ x 1 , , x k , t 1 , , t k will also be considered in the set V k R k .
Apart from the sequence D ξ k c = ξ c m × ξ k 1 ξ k ,   m Z , k N , there is the sequence D ξ k c 1 = ξ m 1 , , m k ξ k , m 1 , . m k Z , k N , whose elements are partitions D ξ k c 1 of the Cartesian product ξ k of the CRP ξ , and this Cartesian product ξ k can be represented according to (9) through the elements of partitions D ξ k c 1 . Thus, the following representations of the k -dimensional distribution functions F k ξ of the CRP ξ can be obtained:
F k ξ = m 1 , , m k Z F k ξ m 1 , , m k ,   F k ξ m 1 , , m k Ø , F k ξ m 1 , , m k F k ξ g 1 , , g k = Ø , m 1 , , m k g 1 , , g k ,   m 1 , , m k , g 1 , , g k Z , k N ,
where F k ξ m 1 , , m k = t 1 , , t k , F k ξ x 1 , , x k , t 1 , , t k :   t 1 , , t k W c m 1 × × W c m k is a k -dimensional distribution function, which shows that t 1 , , t k belong to the areas W c m 1 , , W c m k in the definition of one-dimensional cycles ξ c m 1 , , ξ c m k .
If we consider the set { F ~ k ξ m 1 , , m k x 1 , , x k , t 1 , , t k ,   t 1 , , t k R k , m 1 , . m k Z } , whose elements F ~ k ξ m 1 , , m k x 1 , , x k , t 1 , , t k in the areas W c m 1 × × W c m k coincide with F k ξ m 1 , , m k , but whose elements in the areas R k \ W c m 1 × × W c m k are all equal to zero ( F ~ k ξ m 1 , , m k x 1 , , x k , t 1 , , t k = 0 ,   t 1 , , t k R k \ W c m 1 × × W c m k ) , then the k -dimensional distribution functions of the CRP ξ can be given as the sum of the elements of the set { F ~ k ξ m 1 , , m k x 1 , , x k , t 1 , , t k ,   t 1 , , t k R k , m 1 , . m k Z } :
F k ξ x 1 , , x k , t 1 , , t k = m 1 , , m k Z F ~ k ξ m 1 , , m k x 1 , , x k , t 1 , , t k , x 1 , , x k R ,   t 1 , , t k R k , k N .
Note that the elements F ~ k ξ m 1 , , m k x 1 , , x k , t 1 , , t k of the set { F ~ k ξ m 1 , , m k x 1 , , x k , t 1 , , t k ,   t 1 , , t k R k , m 1 , . m k Z } are not distribution functions in the areas R k \ W c m 1 × × W c m k , m 1 , . m k Z .
Formulas (30)–(37) are the foundation for CRP models, computer simulations and hardware generation (formation) [53,54].

6. Representations of CRP and Its Distribution Functions through Their Phase Structures

Let us represent the CRP ξ and its Cartesian product ξ k through the elements of their phase structures, namely, through the elements of the partitions D ξ p h = { ξ φ ,   φ W c 0 } and D ξ k p h = ξ ψ 1 , , ψ k ,   ψ 1 , , ψ k W c 0 × R k 1 :
ξ = φ W c 0 ξ φ ,
ξ k = ψ 1 , , ψ k W c 0 × R k 1 ξ ψ 1 , , ψ k , k N .
Similarly to the representations of the Cartesian product ξ k according to Formula (39), we can obtain representations of the k -dimensional distribution functions F k ξ x 1 , , x k , t 1 , , t k (in another designation F k ξ = t 1 , , t k , F k ξ x 1 , , x k , t 1 , , t k :   t 1 , , t k R k ) of the CRP ξ :
F k ξ = ψ 1 , , ψ k W c 0 × R k 1 F k ξ ψ 1 , , ψ k , k N .
where F k ξ ψ 1 , , ψ k = { t m ψ 1 , , t m ψ k , F k ξ x 1 , , x k , t m ψ 1 , , t m ψ k :   t m ψ 1 , , t m ψ k W c m × R k 1 , t m ψ 1 , , t m ψ k t 0 ψ 1 , , t 0 ψ k ,   m Z } is a k -dimensional distribution function F k ξ ψ 1 , , ψ k x 1 , , x k , t m ψ 1 , , t m ψ k of the k -dimensional phase ξ ψ 1 , , ψ k of the CRP ξ , for which the following equality is given:
F k ξ ψ 1 , , ψ k x 1 , , x k , t m ψ 1 , , t m ψ k = F k ξ ψ 1 , , ψ k x 1 , , x k , t m + l ψ 1 , , t m + l ψ k , t m ψ 1 , , t m ψ k W c m × R k 1 , t m ψ 1 , , t m ψ k t 0 ψ 1 , , t 0 ψ k , m , l Z , ψ 1 , , ψ k W c 0 × R k 1 , k N .
Note that F k ξ ψ 1 , , ψ k x 1 , , x k , t m ψ 1 , , t m ψ k = F k A ψ 1 , , ψ k x 1 , , x k , t m ψ 1 , , t m ψ k .
Formulas (38)–(41) reflect the basic dependences of the phase structure of the CRP and are the basis for applications of statistical estimation methods of the probabilistic characteristics of the CRP.

7. Analytical Dependencies between Cyclic, Phase and Rhythm Structures of Cyclic Random Process

The arbitrary m-th cycle of the CRP ξ can be presented as follows:
ξ c m = φ W c 0 t m φ , ξ ω , t m φ ,   m Z .
The k -dimensional m-th cycle ξ c m × ξ k 1 of the CRP ξ can be presented as follows:
ξ c m × ξ k 1 = ψ 1 , , ψ k W c 0 × R k 1 t m ψ 1 , ξ ω , t m ψ 1 , , t m ψ k , ξ ω , t m ψ k ,   m Z ,
or it can be presented as follows:
ξ c m × ξ k 1 = t m ψ 1 , ξ ω , t m ψ 1 , , t m ψ k , ξ ω , t m ψ k : ψ 1 , , ψ k W c 0 × R k 1 , m Z
Given Formula (30), which represents the CRP ξ by the set of all its cycles ξ c m , and based on Formula (42), let us represent this random process through the set t m φ , ξ ω , t m φ : m Z , φ k W c 0 of the actualizations of all of its phases { ξ φ ,   φ W c 0 } in the all the cycles of the CRP ξ :
ξ = m Z ξ c m = m Z φ W c 0 t m φ , ξ ω , t m φ .
Given Formula (31), which represents a Cartesian product ξ k of the CRP ξ by the set of all of its k -dimensional cycles ξ c m × ξ k 1 , and based on Formula (43), let us represent the Cartesian degree ξ k through the set t m ψ 1 , ξ ω , t m ψ 1 , , t m ψ k , ξ ω , t m ψ k : m Z , ψ 1 , , ψ k W c 0 × R k 1 of actualizations of all of its k -dimensional phases ξ ψ 1 , , ψ k ,   ψ 1 , , ψ k W c 0 × R k 1 in the all of the k -dimensional cycles of the CRP ξ :
ξ k = m Z ξ c m × ξ k 1 = = m Z ψ 1 , , ψ k W c 0 × R k 1 t m ψ 1 , ξ ω , t m ψ 1 , , t m ψ k , ξ ω , t m ψ k   .
Let us represent an arbitrary phase ξ φ of the CRP ξ through the set t m φ , ξ ω , t m φ : m Z of its actualizations in all of the cycles of the CRP ξ :
ξ φ = m Z t m φ , ξ ω , t m φ ,     φ W c 0 .
Let us represent an arbitrary k -dimensional phase ξ ψ 1 , , ψ k of the CRP ξ through the set t m ψ 1 , ξ ω , t m ψ 1 , , t m ψ k , ξ ω , t m ψ k : m Z of its actualizations in all of the k -dimensional cycles of the CRP ξ as follows:
ξ ψ 1 , , ψ k = m Z t m ψ 1 , ξ ω , t m ψ 1 , , t m ψ k , ξ ω , t m ψ k , ψ 1 , , ψ k W c 0 × R k 1 .
Let us represent an arbitrary φ set A φ of the single-phase values of the CRP ξ through the set ξ ω , t m φ : m Z of its actualizations in all of the cycles of the CRP ξ as follows:
A φ = m Z ξ ω , t m φ ,     φ W c 0 .
Let us represent an arbitrary ψ 1 , , ψ k set A ψ 1 , , ψ k of k -dimensional single-phase values of the cyclic random process ξ through the set ξ ω , t m φ 1 , , ξ ω , t m φ k : m Z of its actualizations in all of the k -dimensional cycles of the CRP ξ as follows:
A ψ 1 , , ψ k = m Z ξ ω , t m ψ 1 , , ξ ω , t m ψ k , ψ 1 , , ψ k W c 0 × R k 1 .
Formulas (42)–(50) establish a strong relationship between the cyclic and phase multidimensional structures of CRPs.
To obtain a cyclically correlated random process [61] for the CRP, let us formulate the following theorem.
Theorem 1.
For a CRP ξ = t , ξ ω , t :   t R , there exists a numerical function T t , n ,   t R ,   n Z , for which the following properties occur:
T t , n > 0   T t , 1 < , t R , i f   n > 0 ,             T t , n = 0 , t R , i f   n = 0 ,                                                                   T t , n < 0 , t R , i f   n < 0 ;                                                                
for any t 1 R and t 2 R , for which t 1 < t 2 , and for function T t , n , a strict inequality holds as shown below:
T t 1 , n + t 1 < T t 2 , n + t 2 , n Z ;
and for each k -dimensional distribution function F k ξ x 1 , , x k , t 1 , , t k from families of consistent distribution functions (1) of the CRP ξ , there are the following equalities:
F k ξ x 1 , , x k , t 1 , , t k = F k ξ x 1 , , x k , t 1 + T t 1 , n , , t k + T t k , n , x 1 , , x k , t 1 , , t k R , n Z , k N
In contrast, if for a random process ξ , there exists a numerical function T t , n ,   t R ,   n Z with all the above-mentioned properties ((51) and (52)) and if the equalities in (53) are true for any k N , then it is a CRP.
Similar to the results of the work of [61], we can provide the following definition.
Definition 13.
The function T ( t , n ) which is the smallest in modulus ( T t , n T γ t , n ) among all such functions { T γ t , n , γ N } which satisfy (51)–(53) is called a rhythm function of a CRP ξ .
Using the rhythm function T t , n of a CRP, let us represent an arbitrary k -dimensional phase ξ ψ 1 , , ψ k of the CRP ξ by the set t m ψ 1 , ξ ω , t m ψ 1 , , t m ψ k , ξ ω , t m ψ k : m Z of its actualizations in all k -dimensional cycles of the CRP ξ as follows:
ξ ψ 1 , , ψ k = n Z t 0 ψ 1 + T t 0 ψ 1 , n , ξ ω , t 0 ψ 1 + T t 0 ψ 1 , n , , t 0 ψ k + T t 0 ψ k , n , ξ ω , t 0 ψ k + T t 0 ψ k , n   , t 0 ψ 1 , , t 0 ψ k , ψ 1 , , ψ k W c 0 × R k 1 .
Let us represent an arbitrary φ 1 , , φ k set A φ 1 , , φ k of k -dimensional single-phase values of the CRP ξ by the set ξ ω , t m φ 1 , , ξ ω , t m φ k : m Z of its actualizations in all k -dimensional cycles of the CRP ξ as follows:
A ψ 1 , , ψ k = m Z ξ ω , t 0 ψ 1 + T t 0 ψ 1 , n , , ξ ω , t 0 ψ k + T t 0 ψ k , n , t 0 ψ 1 , , t 0 ψ k , ψ 1 , , ψ k W c 0 × R k 1 .
Using the rhythm function T t , n of the CRP ξ , similar to expressions (45) and (46), let us represent the CRP ξ and its Cartesian product ξ k as follows:
ξ = n Z φ W c 0 t 0 φ + T t 0 φ , n , ξ ω , t 0 φ + T t 0 φ , n ,
ξ k = n Z ψ 1 , , ψ k W c 0 × R k 1 t 0 ψ 1 + T t 0 ψ 1 , n , ξ ω , t 0 ψ 1 + + T t 0 ψ 1 , n , , t 0 ψ k + T t 0 ψ k , n , ξ ω , t 0 ψ k + T t 0 ψ k , n .
Similarly to the representations of the Cartesian product ξ k according to Formula (57), we can provide the following representations of the k -dimensional distribution functions F k ξ x 1 , , x k , t 1 , , t k of the CRP ξ :
F k ξ = ψ 1 , , ψ k W c 0 × R k 1 n Z t 0 ψ 1 + T t 0 ψ 1 , n , , t 0 ψ k + T t 0 ψ k , n , F k ξ ψ 1 , , ψ k x 1 , , x k , t 0 ψ 1 + T t 0 ψ 1 , n , , t 0 ψ k + T t 0 ψ k , n , k N .
For the k -dimensional distribution functions F k ξ x 1 , , x k , t 1 , , t k of the CRP ξ from family (2), the following equality is obtained:
p k t 0 ψ 1 , ξ ω , t 0 ψ 1 , , t 0 ψ k , ξ ω , t 0 ψ k = = p k t 0 ψ 1 + T t 0 ψ 1 , n , ξ ω , t 0 ψ 1 + T t 0 ψ 1 , n , , t 0 ψ k + T t 0 ψ k , n , ξ ω , t 0 ψ k + T t 0 ψ k , n = = F k ξ x 1 , , x k , t 0 ψ 1 , , t 0 ψ k = F k ξ x 1 , , x k , t 0 ψ 1 + T t 0 ψ 1 , n , , t 0 ψ k + T t 0 ψ k , n , x 1 , , x k R , t 0 ψ 1 , , t 0 ψ k , ψ 1 , , ψ k W c 0 × R k 1 , n Z , k N .
The analytical dependencies presented above show that although cyclic, phase and rhythm structures are separate structures that reflect different aspects of the temporal (spatial) structure of cyclic signals, they are conceptually, formally and methodologically interrelated, as they are different aspects of the same mathematical model of cyclic signals. As an illustration of the close relationship between the cyclic, phase, and rhythm structures of a cyclic signal, Figure 4 presents a graphical representation of a segment of a cyclic deterministic function ξ t , along with its cycles, phases and rhythm function. The cyclic deterministic function ξ t can be interpreted as a degenerate case of a CRP, namely, as a CRP with zero dispersion.
Definition 3 for cyclic random processes does not contain the requirement of separability; however, this definition can always be supplemented with this requirement, which enables a full probabilistic description of a CRP using the countable family (2) of its consistent distribution functions. As follows from Theorem 1, it is possible to provide another definition of a CRP.
Definition 14.
A separable random process ξ ω , t , ω Ω , t R is called a cyclic random process of continuous argument if the function T ( t , n ) ,   t R ,   n Z exists and satisfies conditions (51) and (52) and if for any t 1 , , t k from the set of separability of the process ξ ω , t , ω Ω , t R , the k -dimensional random vectors ξ ω , t 1 , , ξ ( ω , t k ) and ξ ω , t 1 + T t 1 , n , , ξ ( ω , t k + T t k , n ) are stochastically equivalent in a broad sense for all n Z and for all k N .
At the theoretical level, such dependences of cyclic, phase and rhythm structures will be manifested in the fact that if there are given phase and rhythm structures, then it is possible to reproduce the cyclic structure of a cyclic signal, and vice versa: if the cyclic structure is given, then it is possible to reproduce the phase and rhythm structures. At the applied level, the connection of cyclic, phase and rhythm structures is manifested in the need to evaluate the characteristics of some structures in order to be able to evaluate the characteristics of other structures, for example, in the need to pre-determine the rhythm function of a cyclic signal in order to evaluate the characteristics of its cyclic and phase structures. On the other hand, in order to evaluate the characteristics of the rhythmic structure (rhythm function), it is necessary first to have information about the cyclic and phase structures, for example, information about the time points of the beginning of the cycles of a cyclic signal.

8. The Main Subclasses of CRP

CRPs include many different subclasses of random processes with cyclic probabilistic characteristics [47]. In particular, if the type of function of the rhythm of the process is a feature of the division of the class, then it is possible to distinguish a class of CRPs with a regular (stable) rhythm, known in the literature as periodic (cyclostationary) random processes, and CRPs with an irregular (variable) rhythm. Namely, the periodic random process is a CRP with a regular (stable) rhythm, or rather with a rhythm function T t , n = n · T , T = c o n s t > 0 . The irregular rhythm signal (variable rhythm signal) is a signal whose model is a CRP with a rhythm function T t , n n · T ( T ( t , 1 ) c o n s t ). Depending on the type of distribution function of a CRP, it is possible to distinguish a class of normally distributed CRPs, a class of CRPs with a Poisson distribution, a class of CRPs with a uniform distribution, etc. It is also possible to distinguish a class of cyclic Markov random processes and a class of CRPs with independent values (a class of cyclic white noise). Provided that the mathematical expectation and correlation function of CRPs exist, then a CRP is a cyclically correlated random process.
Among CRPs, it is important in theoretical and applied dimensions to distinguish the class of fractal cyclic random (stochastic) processes. Namely, CRPs in which all or some probabilistic characteristics (distribution functions and moment functions) have a fractal dimension should be called fractal cyclic random processes (fractal cyclic stochastic processes). These random processes combine both the properties of cyclicity and fractality. Studies of the fractal properties of CRPs such as the Hurst parameter and the Hausdorff measure are promising. Such research is interesting to conduct both from the standpoint of the phase multidimensional structure of a cyclic random process and from the standpoint of its multidimensional cyclic probabilistic structure. It will be necessary to devote a separate scientific article to the construction of such random processes and the study of their properties.

9. Advantages of a Cyclic Random Process Compared to a Periodic Random Process

As shown above, a subclass of the CRP is the cyclostationary (periodic) random process. This enables the use of a set of powerful methods of processing cyclic signals with a stable rhythm, which developed over 60 years of active research. However, the main advantage of a CRP in comparison to a periodic random process is revealed precisely in the tasks of mathematical modeling, computer simulations and the processing of cyclic signals with a variable rhythm, since for such cyclic signals, a periodic random process is an inadequate mathematical model. The main reason for the CRP’s advantage is the presence of the formal means of adaptation to changes in the rhythm of the investigated cyclic signals, which is lacking in the periodic random process. This property of the model enables the development of effective rhythm-adaptive methods for the statistical processing of cyclic signals with a variable (irregular) rhythm in both the time and spectral domains [62]. This ensures high levels of accuracy and reliability in solving many applied problems in medical diagnostics, biometric authentication, the construction of brain–computer interfaces, diagnosing the surface state of materials, and analyzing and forecasting cyclic economic processes and cyclic processes in energy.
Statistical methods for CRP processing are based on its cyclic and phase multidimensional structures (studied above) and make it possible to estimate one-dimensional and multidimensional probabilistic characteristics of cyclic stochastic signals regardless of the type of their rhythm, i.e., they are suitable for analyzing signals with regular and with irregular rhythms. Let us demonstrate the process of the statistical estimation of some one-dimensional and two-dimensional moment functions of cyclic stochastic signals for the task of biometric authentication by ECG signals. We will conduct this study within the framework of two mathematical models of the ECG, namely, in the form of the periodic [32,40,63,64,65] and CRP, which will enable us to demonstrate the advantages of the CRP as a more general random process over the periodic random process. We use ECG signals (see Figure 5 and Figure 6) that were registered in the first and second lead from a conditionally healthy patient at rest over a long observation period. These data were obtained from the open CEBS database (PhysioNet resource) [66], taken from the file entitled m013.dat.
For the statistical processing of the ECG, we used software that was developed in the Python language and is described in the article of [52]. The estimation T ^ t , 1 of the rhythm function T t , 1 for these ECG signals is presented in Figure 7. The estimation of the rhythm function was carried out using the method of the piecewise linear interpolation of a discrete rhythm function [49]. The Python library NeuroKit2 was used for ECG segmentation and the ECG rhythm function evaluation.
The first cycles of the statistical estimations of some initial and central moment functions of the ECG signals are presented in Figure 8, Figure 9, Figure 10, Figure 11 and Figure 12. The statistical estimation m ^ k ξ t of the initial moment function of the k -th order m k ξ t of the ECG signals is calculated based on the following formula:
m ^ k ξ t = 1 M n = 0 M 1 ξ ω k t + T ^ t , n , t W c 1 .
Under the condition that k = 1 , Formula (60) is a calculation formula for the statistical estimation m ^ ξ t = m ^ 1 ξ t of the mathematical expectation m ξ t of the ECG (see Figure 8 and Figure 9).
Under the condition that k = 2 , Formula (60) is a calculation formula for the statistical estimation m ^ 2 ξ t of the initial moment function of the second-order m 2 ξ t of the ECG (see Figure 10 and Figure 11).
The statistical estimation d ^ k ξ t of the central moment function of the k -th order d k ξ t of the ECG is calculated based on the following formula:
d ^ k ξ t = 1 M 1 n = 0 M 1 ξ ω t + T ^ t , n m ^ ξ t + T ^ t , n k , t W c 1 .
Under the condition that k = 2 , Formula (61) is a calculation formula for the statistical estimation d ^ 2 ξ t of the central moment function of the 2nd order (dispersion) d 2 ξ t of the ECG (see Figure 12 and Figure 13).
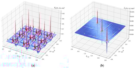
The statistical estimation R ^ 2 ξ t 1 , t 2 of the autocorrelation function R 2 ξ t 1 , t 2 of the ECG is calculated based on the following formula:
R ^ 2 ξ t 1 , t 2 = 1 M M 1 + 1 n = 0 M M 1 ξ ω t 1 + T ^ t 1 , n ξ ω t 2 + T ^ t 2 , n , t 1 W c 1 , t 2 m = 1 M 1 W c m ,
where M 1 ( M 1 < < M ) - the number of cycles in which argument t 2 gain value [47].
The statistical estimation C ^ 2 ξ t 1 , t 2 of the autocovariation function C 2 ξ t 1 , t 2 of the ECG is calculated based on the following formula:
C ^ 2 ξ t 1 , t 2 = 1 M M 1 n = 0 M M 1 ξ ω t 1 + T ^ t 1 , n m ^ ξ t 1 + T ^ t 1 , n ξ ω t 2 + T ^ t 2 , n m ^ ξ t 2 + T ^ t 2 , n , t 1 W c 1 , t 2 m = 1 M 1 W c m .
Graphs of the statistical estimations of the autocorrelation and autocovariation functions of the ECG are presented in Figure 14 and Figure 15.
A similar statistical evaluation of the probabilistic characteristics of the studied cardiac signal was carried out within the framework of its model in the form of a periodic (cyclostationary) random process, which is described in works of [32,40,63,64,65]. The average value of the duration of its cardiocycles is taken as a statistical estimate of the period of the cardiac signal, as shown below:
T ^ a v = n = 1 M T ^ t ~ 1,1 , n = n = 0 M 1 T ^ t ~ n , 1 , 1 .
The first cycles of the statistical estimations of some initial and central moment functions of the ECG ξ ω t for processing on the basis of the periodic random process are presented in Figure 16, Figure 17, Figure 18, Figure 19, Figure 20 and Figure 21.
The statistical estimation m ^ k ξ T ^ a v t of the initial moment function of the k -th order m k ξ T ^ a v t of the ECG ξ ω t for processing on the basis of the periodic random process is calculated based on the following formula:
m ^ k ξ T ^ a v t = 1 M n = 0 M 1 ξ ω k t + n T ^ a v , t W c 1 .
Under the condition that k = 1 , Formula (65) is a calculation formula for the statistical estimation m ^ ξ T ^ a v t = m ^ 1 ξ T ^ a v t of the mathematical expectation m ξ T ^ a v t = m 1 ξ T ^ a v t of the ECG for processing on the basis of the periodic random process (see Figure 16 and Figure 17).
Under the condition that k = 2 , Formula (61) is a calculation formula for the statistical estimation m ^ 2 ξ T ^ a v t of the initial moment function of the second-order m 2 ξ T ^ a v t of the ECG for processing on the basis of the periodic random process (see Figure 18 and Figure 19).
The statistical estimation of the central moment function of the k -th order of the ECG for processing on the basis of the periodic random process is calculated based on the following formula:
d ^ k ξ T ^ a v t = 1 M 1 n = 0 M 1 ξ ω t + n T ^ a v m ^ ξ t + n T ^ a v k , t W c 1 .
Under the condition that k = 2 , Formula (62) is a calculation formula for the statistical estimation d ^ 2 ξ T ^ a v t of the central moment function of the second-order (dispersion) d 2 ξ T ^ a v t of the ECG for processing on the basis of the periodic random process (see Figure 20 and Figure 21).
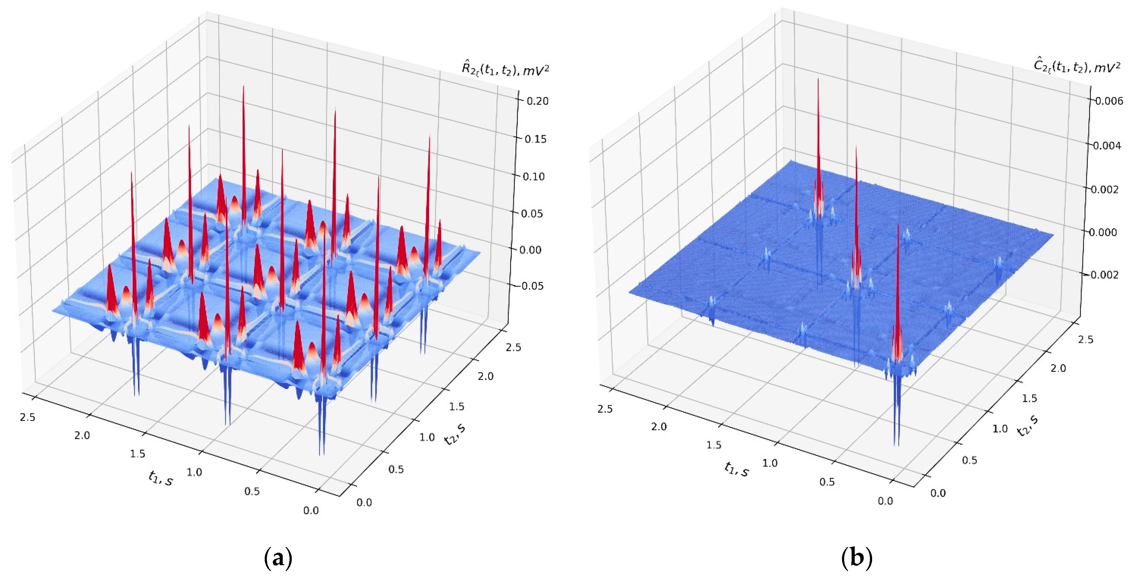
The statistical estimation R ^ 2 ξ T ^ a v t 1 , t 2 of the autocorrelation function R 2 ξ T ^ a v t 1 , t 2 of the ECG for processing on the basis of the periodic random process is calculated based on the following formula:
R ^ 2 ξ T ^ a v t 1 , t 2 = 1 M M 1 + 1 n = 0 M M 1 ξ ω t 1 + n T ^ a v ξ ω t 2 + n T ^ a v , t 1 W c 1 , t 2 m = 1 M 1 W c m .
where M 1 ( M 1 < < M ) - the number of cycles in which argument t 2 gain value [47].
The statistical estimation C ^ 2 ξ T ^ a v t 1 , t 2 of the autocovariation function C 2 ξ T ^ a v t 1 , t 2 of the ECG for processing on the basis of the periodic random process is calculated based on the following formula:
C ^ 2 ξ T ^ a v t 1 , t 2 = 1 M M 1 n = 0 M M 1 ξ ω t 1 + n T ^ a v m ^ ξ t 1 + n T ^ a v t 1 , n ξ ω t 2 + n T ^ a v m ^ ξ t 2 + n T ^ a v , t 1 W c 1 , t 2 m = 1 M 1 W c m
Graphs of the statistical estimates of the autocorrelation and autocovariation functions of the ECG for processing on the basis of the periodic random process are presented in Figure 22 and Figure 23.
As can be seen from Figure 8, Figure 9, Figure 10, Figure 11, Figure 12, Figure 13, Figure 14 and Figure 15, the estimated probabilistic characteristics of the ECG based on its mathematical model in the form of the CRP, thanks to the adaptation of our statistical estimation methods to changes in its rhythm, have a clear, non-blurred time structure (the effect of blurring is practically absent). The opposite situation occurs when applying methods for the statistical estimation of probabilistic characteristics of the ECG based on its mathematical model in the form of a periodic (cyclostationary) random process. Namely, as can be seen from Figure 16, Figure 17, Figure 18, Figure 19, Figure 20, Figure 21, Figure 22 and Figure 23, there is a significant effect from blurring statistical ECG estimates, since these statistical methods do not take into account changes in the rhythm of the signal.
Additional indicators that illustrate the significant advantages of CRP over a periodic random process are dependences of the average on the interval (0,1) of the sample standard deviation of the ECG from the number of averaged cycles, which are shown in Figure 24 and Figure 25.
As can be seen from these figures, the average of the interval (0,1) of the sample standard deviation of the ECG within the framework of the CRP is more than 10 times smaller than the same values for a periodic random process, which additionally indicates the rhythm-adaptive methods for processing cyclic biomedical signals based on their model in the form of CRPs have a significant higher accuracy.
Let us demonstrate the practically oriented advantages of the CRP in ECG biometric authentication problems, which is an important way to dynamically biometrically authenticate humans, the methods of which, in particular, are described in [67,68,69]. The main averaged characteristics of the effectiveness and time computational complexity of the authentication of humans using eight different types of binary classifiers (statistical interval classifier (sic), K-nearest neighbors, linear SVM, decision tree, random forest, multilayer perceptron, adaptive boosting and naive Bayes) based on the estimation of the mathematical expectation of the ECG are presented in Table 1, Table 2, Table 3 and Table 4. Note that the characteristics given in Table 1, Table 2, Table 3 and Table 4 are the averaged characteristics of 18 out of 20 people selected from the CEBS database [66].
As can be seen from Table 1, Table 2, Table 3 and Table 4, the use of rhythm-adaptive ECG processing on the basis of a CRP, compared to non-rhythm-adaptive ECG processing on the basis of a periodic random process, is characterized by a significantly higher level of effectiveness in biometrically authenticating people. According to the characteristics of the time computational complexity of authentication algorithms, there are no significant differences between rhythm-adaptive and non-rhythm-adaptive ECG-processing methods.

10. Discussion

The approach to the construction of CRPs developed in the work is based on the ideas of category theory, that is not typical for the theory of random processes, in particular, is based on the idea of a certain type of isomorphism between relational systems, the carriers of which are certain segments of the random process. This made it possible to build a mathematical model of cyclic stochastic signals that simultaneously integrates the properties of the investigated signals with both regular (stable) and irregular (variable) rhythms. Also, the approach proposed in this work made it possible to carry out a formalization of cyclic, phase and rhythm structures of cyclic stochastic signals.
Mathematical objects that represent cyclic, phase and rhythm structures provide a wide range of mathematical tools that can be used as diagnostic and prognostic features in the tasks of cyclic signal processing. In particular, all the features can be divided into two large classes: the features of the morphological structure and the features of the rhythm structure of cyclic signals. Morphological features are determined by the cyclic and phase structures of a cyclic random process, and rhythmic features are determined by the rhythm structure of a CRP. Morphological features complement rhythmic ones, and rhythmic features complement morphological ones. The rhythmic structure, on the other hand, is a carrier of another type of information about the oscillatory process, namely, information on the unfolding of the cyclic phase structure in time, in reference to the time axis. Such information in itself is a valuable feature in the tasks of analyzing the rhythm of many oscillating dynamic systems (biological, physical, economic, energetic and astronomical). For example, this takes place in the tasks of analyzing heart rhythms, the economic system’s own time, and in the tasks of analyzing and predicting the time of occurrence of recurring astronomical phenomena (spots on the Sun, the pulse activity of stars, pulsars and quasars). Without a clear mathematical description of such structures, it is impossible to solve similar problems both at the theoretical and applied levels.
The cyclic structure of a CRP, in addition to its independent role as a fundamental mathematical object in the tasks of modeling and processing cyclic signals, also plays a purely methodological role as a class-forming property that is used as a structural reference point in the task of establishing necessary and sufficient conditions of structural function (rhythm function), which are given in Theorem 1.

11. Conclusions

In this work, for the first time in the literature, we proposed a procedure for constructing a CRP based on the idea of isomorphism between relational systems, whose carriers are certain segments (cycles) of the CRP. The CRP takes into account the cyclicity and stochasticity of cyclic signals and has the effective means of taking into account both the regularity and irregularity of the rhythm of cyclic signals. Mathematical objects that are modeling the cyclic, phase and rhythm structures, in particular, the multidimensional cyclic and phase structures of CRPs, are presented. The fundamental properties of and analytical dependencies between the multidimensional cyclic, phase and rhythm structures of a cyclic random process have been established, which are important for solving theoretical and applied problems for mathematically modeling and statistically processing cyclic stochastic signals with both regular and irregular rhythms.
Based on a series of experiments, the significant advantages of the CRP as a mathematical model of the ECG compared to the periodic random process are shown. In particular, a significantly higher accuracy of the rhythm-adaptive methods of ECG processing based on their model in the form of a cyclic random process was demonstrated. It is also established that the use of rhythm-adaptive ECG processing on the basis of a CRP, compared to non-rhythm-adaptive ECG processing on the basis of a periodic random process, is characterized by a significantly higher level of effectiveness in biometrically authenticating people.
The results obtained in this article significantly improve the theory of the modeling of cyclic stochastic signals within the family of their consistent distribution functions, and, thanks to the detailed formal representation of the multidimensional cyclic structure, multidimensional phase structure and rhythmic structure of CRPs, open up new opportunities to increase the informativeness of analyses of cyclic signals of various natures (biological, physical, economic, energetic and astronomical) in modern systems for automated analyses, forecasting and computer simulations.

Author Contributions

Conceptualization, S.L.; methodology, S.L.; software, R.B.; validation, S.L. and R.B.; investigation, S.L.; data curation, S.L.; writing—original draft preparation, S.L.; writing—review and editing, S.L. and R.B.; visualization, S.L. and R.B.; supervision, S.L. and R.B.; project administration, S.L.; funding acquisition, S.L. All authors have read and agreed to the published version of the manuscript.

Funding

This research received no external funding.

Data Availability Statement

Data are contained within the article.

Conflicts of Interest

The authors declare no conflicts of interest. The funders had no role in the design of the study; in the collection, analyses, or interpretation of data; in the writing of the manuscript; or in the decision to publish the results.

References

  1. Besicovitch, A.S. Almost Periodic Functions; Cambridge University Press: London, UK, 1932; 180p. [Google Scholar]
  2. Benedetto, J.J. Harmonic Analysis and Applications; CRC Press: New York, NY, USA, 1996; 368p. [Google Scholar]
  3. Mandelstam, L.I. Lectures on Vibrations: Complete Collection of Works; Mandelstam, L.I., Ed.; Publishing House of the Academy of Sciences of the USSR: Moscow, Russia, 1955; 512p. [Google Scholar]
  4. Agarwal, R.P.; Grace, S.R.; O’Regan, D. Oscillation Theory for Difference and Functional Differential Equations; Kluwer Academic Publishers: Dordrecht, The Netherlands, 2000; 337p. [Google Scholar]
  5. Bohner, M.; Peterson, A. Dynamic Equations on Time Scales: An Introduction with Applications; Birkhäuser: Boston, MA, USA, 2001; 358p. [Google Scholar]
  6. Bohner, M.; Peterson, A. Advances in Dynamic Equations on Time Scales; Birkhäuser: Boston, MA, USA, 2003; 359p. [Google Scholar]
  7. Brillinger, D.R. Fourier analysis of stationary processes. Proc. IEEE 1974, 62, 1628–1643. [Google Scholar] [CrossRef]
  8. Cramer, H. On the theory of stationary random processes. Ann. Math. 1940, 41, 215–230. [Google Scholar] [CrossRef]
  9. Grenander, U.; Rosenblatt, M. Statistical Analysis of Stationary Time Series; Wiley: New York, NY, USA, 1957. [Google Scholar]
  10. Gladyshev, E.G. Periodically correlated random sequences. Soviet Math. Dokl. 1961, 2, 385–388. (In Russian) [Google Scholar]
  11. Hurd, H.L. Periodically correlated processes with discontinuous correlation function. Theory Probab. Appl. 1974, 19, 804–808. [Google Scholar] [CrossRef]
  12. Hurd, H.L. Nonparametric time series analysis for periodically correlated processes. IEEE Trans. Inf. Theory 1989, 35, 350–359. [Google Scholar] [CrossRef]
  13. Gardner, W.A. Representation and Estimation of Cyclostationary Processes. Ph.D. Thesis, University of Massachusetts, Amherst, MA, USA, 1972. [Google Scholar]
  14. Gardner, W.A. The spectral correlation theory of cyclostationary time series. Signal Process. 1986, 11, 13–36, Erratum in Signal Process. 1986, 11, 405. [Google Scholar] [CrossRef]
  15. Gardner, W.A.; Napolitano, A.; Paura, L. Cyclostationarity: Half a century of research. Signal Process. 2006, 86, 639–697. [Google Scholar] [CrossRef]
  16. Dragan, Y.P. The spectral properties of periodically correlated stochastic processes. Otbor i Peredacha Inf. 1971, 30, 16–24. (In Russian) [Google Scholar]
  17. Dragan, Y.P.; Yavorskii, I.N. Statistical analysis of periodic random processes. Otbor i Peredacha Inf. 1985, 71, 20–29. (In Russian) [Google Scholar]
  18. Izzo, L.; Napolitano, A. Higher-order cyclostationarity properties of sampled time-series. Signal Process. 1996, 54, 303–307. [Google Scholar] [CrossRef]
  19. Izzo, L.; Napolitano, A. Multirate processing of time series exhibiting higher order cyclostationarity. IEEE Trans. Signal Process. 1998, 46, 429–439. [Google Scholar] [CrossRef]
  20. Javorskyj, I.; Juzefovych, R.; Kravets, I.; Matsko, I. Properties of characteristic estimators of periodically correlated random processes in preliminary determination of the period of correlation. Radioelectron. Commun. Syst. 2012, 55, 335–348. [Google Scholar] [CrossRef]
  21. Bittanti, S.; Bolzern, P.; De Nicolao, G.; Piroddi, L. Representation, prediction, and identification of cyclostationary processes—A state-space approach. In Cyclostationarity in Communications and Signal Processing; Gardner, W.A., Ed.; IEEE Press: Piscataway, NJ, USA, 1994; pp. 267–294. [Google Scholar]
  22. Bohme, O. Periodic Markov transition function I, II. Math. Nachr. 1982, 108, 231–239. [Google Scholar] [CrossRef]
  23. Ghysels, E. A Time Series Model with Periodic Stochastic Regime Switching; Discussion paper 84; Institute for Empirical Macroeconomics, Federal Reserve Bank of Minneapolis Research Department: Minneapolis, MN, USA, 1993. [Google Scholar]
  24. Ghysels, E.; McCulloch, R.E.; Tsay, R.S. Bayesian Inference for a General Class of Periodic Markov Switching Models. J. Appl. Econom. 1998, 13, 129–143. [Google Scholar] [CrossRef]
  25. Ghysels, E. On the Periodic Structure of the Business Cycle; CFDP Number 1028; Cowles Foundation, Yale University: New Haven, CT, USA, 1992. [Google Scholar]
  26. Kochel, P. Periodically stationary Markovian decision models. Elektron. Informationsverarb. Kybernet. 1980, 16, 553–567. (In German) [Google Scholar]
  27. Nematollahi, A.R.; Soltani, A.R. Discrete time periodically correlated Markov processes. Probab. Math. Stat. 2000, 20, 127–140. [Google Scholar]
  28. Chen, T.; Qiu, L. Linear periodically time-varying discrete-time systems: Aliasing and LTI approximations. Syst. Control Lett. 1997, 30, 225–235. [Google Scholar] [CrossRef]
  29. Dorogovtsev, A.Y. Stationary and periodic solutions of stochastic difference and differential equations in Banach space. In New Trends in Probability and Statistics; VSP: Utrecht, The Netherlands, 1990; Volume 1, pp. 375–390. [Google Scholar]
  30. Dorogovtsev, A.Y. Periodicity in distribution. I. Discrete systems. Int. J. Math. Math. Sci. 2002, 30, 65–127. [Google Scholar] [CrossRef]
  31. Marchenko, B.G. Linear Periodic Processes; Electrical Engineering, Pr. Institute of Electrodynamics, National Academy of Sciences of Ukraine: Kyiv, Ukraine, 1999; pp. 165–182. (In Ukrainian) [Google Scholar]
  32. Lupenko, S.; Shcherbak, L. Constructive mathematical model of cardiac signals based on linear periodic random processes and fields. Sci. J. Ternopil State Tech. Univ. 2000, 5, 101–110. (In Ukrainian) [Google Scholar]
  33. Blachman, N.M. Beneficial effects of spectral correlation on synchronization. In Cyclostationarity in Communications and Signal Processing; Gardner, W.A., Ed.; IEEE Press: Piscataway, NJ, USA, 1994; pp. 362–390. [Google Scholar]
  34. Bloomfield, P.; Hurd, H.L.; Lund, R. Periodic correlation in stratospheric ozone time series. J. Time Ser. Anal. 1994, 15, 127–150. [Google Scholar] [CrossRef]
  35. Bouillaut, L.; Sidahmed, M. Cyclostationary approach and bilinear approach: Comparison, applications to early diagnosis for helicopter gearbox and classification method based on HOCS. Mech. Syst. Signal Process. 2001, 15, 923–943. [Google Scholar] [CrossRef]
  36. Capdessus, C.; Sidahmed, M.; Lacoume, J.L. Cyclostationary processes: Application in gear faults early diagnosis. Mech. Syst. Signal Process. 2000, 14, 371–385. [Google Scholar] [CrossRef]
  37. Cheong, C.; Joseph, P. Cyclostationary spectral analysis for the measurement and prediction of wind turbine swishing noise. J. Sound Vib. 2014, 333, 3153–3176. [Google Scholar] [CrossRef]
  38. Chorna, L.B. Statistical estimators of a periodically correlated random process for a voiced speech signal. J. Acoust. Soc. Am. 2003, 113, 2271. [Google Scholar] [CrossRef]
  39. Demorest, P.B. Cyclic spectral analysis of radio pulsars. Mon. Not. R. Astron. Soc. 2011, 416, 2821–2826. [Google Scholar] [CrossRef]
  40. Fonseca, N.G.; Aleman, M.N. Cardiac arrhythmia classification based on the RMS signal and cyclostationarity. IEEE Latin Amer. Trans. 2021, 19, 584–591. [Google Scholar] [CrossRef]
  41. Haritopoulos, M.; Capdessus, C.; Nandi, A.K. Foetal PQRST extraction from ECG recordings using cyclostationarity-based source separation method. In Proceedings of the Annual International Conference of the IEEE Engineering in Medicine and Biology Society (EMBC), Buenos Aires, Argentina, 30 August–4 September 2010; pp. 1910–1913. [Google Scholar]
  42. Dimc, F.; Baldini, G.; Kandeepan, S. Experimental detection of mobile satellite transmissions with cyclostationary features. Int. J. Satell. Commun. Netw. 2015, 33, 163–183. [Google Scholar] [CrossRef]
  43. Dobre, O.; Oner, M.; Rajan, S.; Inkol, R. Cyclostationarity-based robust algorithms for QAM signal identification. IEEE Commun. Lett. 2012, 16, 12–15. [Google Scholar] [CrossRef]
  44. Flagiello, F.; Izzo, L.; Napolitano, A. A computationally efficient and interference tolerant nonparametric algorithm for LTI system identification based on higher order cyclostationarity. IEEE Trans. Signal Process. 2000, 48, 1040–1052. [Google Scholar] [CrossRef]
  45. Napolitano, A. Generalizations of Cyclostationary Signal Processing: Spectral Analysis and Applications; John Wiley & Sons, Ltd.: Hoboken, NJ, USA; IEEE Press: New York, NY, USA, 2012. [Google Scholar]
  46. Napolitano, A. Cyclostationary Processes and Time Series: Theory, Applications, and Generalizations; Elsevier: Amsterdam, The Netherlands, 2019. [Google Scholar]
  47. Lupenko, S. The Development of the Theory of Modeling and Processing of Cyclic Signals in Information Systems. Ph.D. Thesis, Lviv Polytechnic National University, Lviv, Ukraine, 2010; p. 479. (In Ukrainian). [Google Scholar]
  48. Lupenko, S.; Orobchuk, O.; Stadnik, N.; Zozulya, A. Modeling and signals processing using cyclic random functions. In Proceedings of the 13th IEEE International Scientific and Technical Conference on Computer Sciences and Information Technologies (CSIT), Lviv, Ukraine, 11–14 September 2018; Volume 1, pp. 360–363, ISBN 978-1-5386-6463-6. [Google Scholar]
  49. Vakulenko, D.; Vakulenko, L.; Zaspa, H.; Lupenko, S.; Stetsyuk, P.; Stovba, V. Components of Oranta-AO software expert system for innovative application of blood pressure monitors. J. Reliab. Intell. Environ. 2022, 9, 41–56. [Google Scholar] [CrossRef]
  50. Lytvynenko, I.; Lupenko, S.; Marushchak, P. Analysis of multiple cracking of nanocoating as a cyclic random process. Optoelectron. Instrum. Data Process. 2013, 49, 68–75. [Google Scholar] [CrossRef]
  51. Lytvynenko, I.; Lupenko, S.; Nazarevych, O.; Shymchuk, G.; Hotovych, V. Mathematical model of gas consumption process in the form of cyclic random process. In Proceedings of the 16th IEEE International Scientific and Technical Conference on Computer Sciences and Information Technologies (CSIT), Lviv, Ukraine, 22–25 September 2021; pp. 232–235. [Google Scholar]
  52. Lupenko, S.; Butsiy, R.; Shakhovska, N. Advanced modeling and signal processing methods in brain–computer interfaces based on a vector of cyclic rhythmically connected random processes. Sensors 2023, 23, 760. [Google Scholar] [CrossRef]
  53. Lupenko, S.; Lytvynenko, I.; Stadnyk, N.; Zozulia, A. Model Of Signals With Double Stochasticity In The Form Of A Conditional Cyclic Random Process. In Proceedings of the 2nd International Workshop Information—Communication Technologies & Embedded Systems, Mykolaiv, Ukraine, 12 November 2020; Volume 2762, pp. 201–208. [Google Scholar]
  54. Lupenko, S.; Stadnyk, N.; Nnamene, C. An approach to constructing a taxonomic tree of models cyclic signals in the tasks of developing an onto-oriented system for decisions supporting of models choice. In Proceedings of the 9th International Conference on Advanced Computer Information Technologies (ACIT), Ceske Budejovice, Czech Republic, 5–7 June 2019; pp. 89–92, ISBN 978-1-7281-0449-2. [Google Scholar]
  55. Nnamene, C.; Lupenko, S.; Volyanyk, O.; Orobchuk, O. Computer Ontology of Mathematical Models of Cyclic Space-Time Structure Signals. In Proceedings of the 3rd International Workshop on Intelligent Information Technologies & Systems of Information Security (IntelITSIS 2022), Khmelnytskyi, Ukraine, 23–25 March 2022; pp. 103–118. [Google Scholar]
  56. Napolitano, A.; Gardner, W.A. Algorithms for analysis of signals with time-warped cyclostationarity. In Proceedings of the 50th Asilomar Conference on Signals, Systems, and Computers, Pacific Grove, CA, USA, 6–9 November 2016; pp. 539–543. [Google Scholar]
  57. Napolitano, A. Time-warped almost-cyclostationary signals: Characterization and statistical function measurements. IEEE Trans. Signal Process. 2017, 65, 5526–5541. [Google Scholar] [CrossRef]
  58. Gardner, W.A. Statistically inferred time warping: Extending the cyclostationarity paradigm from regular to irregular statistical cyclicity in scientific data. EURASIP J. Adv. Signal Process. 2018, 2018, 59. [Google Scholar] [CrossRef]
  59. Napolitano, A. Modeling the electrocardiogram as oscillatory almost-cyclostationary process. IEEE Access 2022, 10, 13193–13209. [Google Scholar] [CrossRef]
  60. Das, S.; Genton, M.G. Cyclostationary processes with evolving periods and amplitudes. IEEE Trans. Signal Process. 2021, 69, 1579–1590. [Google Scholar] [CrossRef]
  61. Lupenko, S. The Mathematical Model of Cyclic Signals in Dynamic Systems as a Cyclically Correlated Random Process. Mathematics 2022, 10, 3406. [Google Scholar] [CrossRef]
  62. Lupenko, S. The rhythm-adaptive Fourier series decompositions of cyclic numerical functions and one-dimensional probabilistic characteristics of cyclic random processes. Digit. Signal Process. 2023, 140, 104104. [Google Scholar] [CrossRef]
  63. Haritopoulos, M.; Roussel, J.; Capdessus, C.; Nandi, A.K. Cyclostationarity-Based Estimation of the Foetus Subspace Dimension from ECG Recordings. In Advances in Intelligent Systems and Computing; Springer: Cham, Switzerland, 2014; pp. 726–729. [Google Scholar]
  64. Mihandoost, S.; Chehel Amirani, M. Cyclic spectral analysis of electrocardiogram signals based on GARCH model. Biomed. Signal Process. Control 2017, 31, 79–88. [Google Scholar] [CrossRef]
  65. Zhang, M.; Haritopoulos, M.; Nandi, A.K. Fetal ECG subspace estimation based on cyclostationarity. In Proceedings of the 24th European Signal Processing Conference (EUSIPCO), Budapest, Hungary, 28 August–2 September 2016; pp. 2060–2064. [Google Scholar]
  66. García-González, M.A.; Argelagós-Palau, A. Data from: Combined measurement of ECG, breathing, and Seismocardiograms. PhysioNet 2013, 101, e215–e220. [Google Scholar] [CrossRef]
  67. Park, G. Analysis of Authentication Technology using Bio-Signals and Construction of Bio-Signal Database; Technical Report; Korea Internet and Security Agency: Naju, Republic of Korea, 2016. [Google Scholar]
  68. Pathoumvanh, S.; Airphaiboon, S.; Hamamoto, K. Robustness study of ECG biometric identification in heart rate variability conditions. IEEE Trans. Electric. Electron. Eng. 2014, 9, 294–301. [Google Scholar] [CrossRef]
  69. Fatimah, B.; Singh, P.; Singhal, A.; Pachori, R.B. Biometric Identification From ECG Signals Using Fourier Decomposition and Machine Learning. IEEE Trans. Instrum. Meas. 2022, 71, 1–9. [Google Scholar] [CrossRef]
Figure 1. Illustration of isomorphism between W c m 1 and W c m 2 with respect to linear order .
Figure 1. Illustration of isomorphism between W c m 1 and W c m 2 with respect to linear order .
Fractalfract 08 00203 g001
Figure 2. Illustration of isomorphism between W c m 1 × R k 1 and W c m 2 × R k 1 with respect to linear order 2 k 1 ( k = 2 ) .
Figure 2. Illustration of isomorphism between W c m 1 × R k 1 and W c m 2 × R k 1 with respect to linear order 2 k 1 ( k = 2 ) .
Fractalfract 08 00203 g002
Figure 3. Illustration of isomorphism between elements of a set. ξ m 1 + l 1 , m 2 + l k , l 1 , l 2 Z takes place only if l 1 = l 2 ( k = 2 ) .
Figure 3. Illustration of isomorphism between elements of a set. ξ m 1 + l 1 , m 2 + l k , l 1 , l 2 Z takes place only if l 1 = l 2 ( k = 2 ) .
Fractalfract 08 00203 g003
Figure 4. Graphical representation of a segment of a cyclic deterministic function, along with its cycles, phases and rhythm function.
Figure 4. Graphical representation of a segment of a cyclic deterministic function, along with its cycles, phases and rhythm function.
Fractalfract 08 00203 g004
Figure 5. Graph of ECG results (lead I).
Figure 5. Graph of ECG results (lead I).
Fractalfract 08 00203 g005
Figure 6. Graph of ECG results (lead II).
Figure 6. Graph of ECG results (lead II).
Fractalfract 08 00203 g006
Figure 7. Graphs of estimations of the rhythm functions of the ECG signals.
Figure 7. Graphs of estimations of the rhythm functions of the ECG signals.
Fractalfract 08 00203 g007
Figure 8. Graph of statistical estimation of mathematical expectation of the ECG for processing on the basis of CRP (lead I).
Figure 8. Graph of statistical estimation of mathematical expectation of the ECG for processing on the basis of CRP (lead I).
Fractalfract 08 00203 g008
Figure 9. Graph of statistical estimation of mathematical expectation of the ECG for processing on the basis of CRP (lead II).
Figure 9. Graph of statistical estimation of mathematical expectation of the ECG for processing on the basis of CRP (lead II).
Fractalfract 08 00203 g009
Figure 10. Graph of statistical estimation of initial moment function of the 2nd order of the ECG for processing on the basis of CRP (lead I).
Figure 10. Graph of statistical estimation of initial moment function of the 2nd order of the ECG for processing on the basis of CRP (lead I).
Fractalfract 08 00203 g010
Figure 11. Graph of statistical estimation of initial moment function of the 2nd order of the ECG for processing on the basis of CRP (lead II).
Figure 11. Graph of statistical estimation of initial moment function of the 2nd order of the ECG for processing on the basis of CRP (lead II).
Fractalfract 08 00203 g011
Figure 12. Graph of statistical estimation of central moment function of the 2nd order (dispersion) of the ECG for processing on the basis of CRP (lead I).
Figure 12. Graph of statistical estimation of central moment function of the 2nd order (dispersion) of the ECG for processing on the basis of CRP (lead I).
Fractalfract 08 00203 g012
Figure 13. Graph of statistical estimation of central moment function of the 2nd order (dispersion) of the ECG for processing on the basis of CRP (lead II).
Figure 13. Graph of statistical estimation of central moment function of the 2nd order (dispersion) of the ECG for processing on the basis of CRP (lead II).
Fractalfract 08 00203 g013
Figure 14. Graphs of statistical estimations of autocorrelation function (a) and autocovariation function (b) of the ECG for processing on the basis of CRP (lead I).
Figure 14. Graphs of statistical estimations of autocorrelation function (a) and autocovariation function (b) of the ECG for processing on the basis of CRP (lead I).
Fractalfract 08 00203 g014
Figure 15. Graphs of statistical estimations of autocorrelation function (a) and autocovariation function (b) of the ECG for processing on the basis of CRP (lead II).
Figure 15. Graphs of statistical estimations of autocorrelation function (a) and autocovariation function (b) of the ECG for processing on the basis of CRP (lead II).
Fractalfract 08 00203 g015
Figure 16. Graph of statistical estimation of mathematical expectation of the ECG for processing on the basis of periodic random process (lead I).
Figure 16. Graph of statistical estimation of mathematical expectation of the ECG for processing on the basis of periodic random process (lead I).
Fractalfract 08 00203 g016
Figure 17. Graph of statistical estimation of mathematical expectation of the ECG for processing on the basis of periodic random process (lead II).
Figure 17. Graph of statistical estimation of mathematical expectation of the ECG for processing on the basis of periodic random process (lead II).
Fractalfract 08 00203 g017
Figure 18. Graph of statistical estimation of initial moment function of the 2nd order of the ECG for processing on the basis of periodic random process (lead I).
Figure 18. Graph of statistical estimation of initial moment function of the 2nd order of the ECG for processing on the basis of periodic random process (lead I).
Fractalfract 08 00203 g018
Figure 19. Graph of statistical estimation of initial moment function of the 2nd order of the ECG for processing on the basis of periodic random process (lead II).
Figure 19. Graph of statistical estimation of initial moment function of the 2nd order of the ECG for processing on the basis of periodic random process (lead II).
Fractalfract 08 00203 g019
Figure 20. Graph of statistical estimation of central moment function of the 2nd order (dispersion) of the ECG for processing on the basis of periodic random process (lead I).
Figure 20. Graph of statistical estimation of central moment function of the 2nd order (dispersion) of the ECG for processing on the basis of periodic random process (lead I).
Fractalfract 08 00203 g020
Figure 21. Graph of statistical estimation of central moment function of the 2nd order (dispersion) of the ECG for processing on the basis of periodic random process (lead II).
Figure 21. Graph of statistical estimation of central moment function of the 2nd order (dispersion) of the ECG for processing on the basis of periodic random process (lead II).
Fractalfract 08 00203 g021
Figure 22. Graphs of statistical estimations of autocorrelation function (a) and autocovariation function (b) of the ECG for processing on the basis of periodic random process (lead I).
Figure 22. Graphs of statistical estimations of autocorrelation function (a) and autocovariation function (b) of the ECG for processing on the basis of periodic random process (lead I).
Fractalfract 08 00203 g022
Figure 23. Graphs of statistical estimations of autocorrelation function (a) and autocovariation function (b) of the ECG for processing on the basis of periodic random process (lead II).
Figure 23. Graphs of statistical estimations of autocorrelation function (a) and autocovariation function (b) of the ECG for processing on the basis of periodic random process (lead II).
Fractalfract 08 00203 g023
Figure 24. Graphs of dependences of the average on the interval (0,1) of the sample standard deviation of the ECG on the number of averaged cycles for ECG processing on the basis of CRP: (a) lead I; (b) lead II.
Figure 24. Graphs of dependences of the average on the interval (0,1) of the sample standard deviation of the ECG on the number of averaged cycles for ECG processing on the basis of CRP: (a) lead I; (b) lead II.
Fractalfract 08 00203 g024
Figure 25. Graphs of dependences of the average on the interval (0,1) of the sample standard deviation of the ECG on the number of averaged cycles for ECG processing on the basis of periodic random process: (a) lead I; (b) lead II.
Figure 25. Graphs of dependences of the average on the interval (0,1) of the sample standard deviation of the ECG on the number of averaged cycles for ECG processing on the basis of periodic random process: (a) lead I; (b) lead II.
Fractalfract 08 00203 g025
Table 1. The main averaged characteristics of biometric authentication of humans in case of application of rhythm adaptive methods of ECG processing (lead I).
Table 1. The main averaged characteristics of biometric authentication of humans in case of application of rhythm adaptive methods of ECG processing (lead I).
Classifier Type
SICk-Nearest NeighborsLinear
SVM
Decision
Tree
Random
Forest
Multilayer
Perceptron
Adaptive
Boosting
Naive
Bayes
Accuracy0.9770.9991.01.00.9920.9931.01.0
Balanced Accuracy0.9780.9991.01.00.9920.9931.01.0
F1 score0.9780.9991.01.00.9920.9941.01.0
Training time (ms.)0.814.9815.098223.584.7734.363790.3673.49
Testing time (ms.)3.9628.812.3463.212.263.313.0511.99
Table 2. The main averaged characteristics of biometric authentication of humans in case of application of non-rhythm adaptive methods of ECG processing (lead I).
Table 2. The main averaged characteristics of biometric authentication of humans in case of application of non-rhythm adaptive methods of ECG processing (lead I).
Classifier Type
SICk-Nearest NeighborsLinear
SVM
Decision
Tree
Random
Forest
Multilayer
Perceptron
Adaptive
Boosting
Naive
Bayes
Accuracy0.6290.7510.5550.7140.7310.7870.8130.769
Balanced Accuracy0.6180.7520.5480.7030.7290.7840.8130.769
F1 score0.3840.7190.5290.6440.7050.7610.8020.761
Training time (ms.)0.716.1161.968888.9160.5537.496328.21118.8
Testing time (ms.)3.7323.5913.4767.441.223.485.4618.01
Table 3. The main averaged characteristics of biometric authentication of humans in case of application of rhythm adaptive methods of ECG processing (lead II).
Table 3. The main averaged characteristics of biometric authentication of humans in case of application of rhythm adaptive methods of ECG processing (lead II).
Classifier Type
SICk-Nearest NeighborsLinear
SVM
Decision
Tree
Random
Forest
Multilayer
Perceptron
Adaptive
Boosting
Naive
Bayes
Accuracy0.9790.9981.01.00.9920.9931.00.994
Balanced Accuracy0.9790.9981.01.00.9920.9931.00.994
F1 score0.9790.9981.01.00.9920.9931.00.994
Training time (ms.)0.624.2313.314833.584.7133.241960.1683.45
Testing time (ms.)3.1522.522.1968.622.082.952.1411.06
Table 4. The main averaged characteristics of biometric authentication of humans in case of application of rhythm adaptive methods of ECG processing (lead II).
Table 4. The main averaged characteristics of biometric authentication of humans in case of application of rhythm adaptive methods of ECG processing (lead II).
Classifier Type
SIC k-Nearest Neighbors Linear
SVM
Decision
Tree
Random
Forest
Multilayer
Perceptron
Adaptive
Boosting
Naive
Bayes
Accuracy0.6630.7380.5520.7050.7170.7920.7970.777
Balanced Accuracy0.6480.7410.5470.6940.7180.7910.7960.777
F1 score0.4190.7130.5380.6670.6970.7780.7830.767
Training time (ms.)0.614.4962.019986.2159.6129.214615.91077.9
Testing time (ms.)2.8220.5115.5160.651.243.385.2816.82
Disclaimer/Publisher’s Note: The statements, opinions and data contained in all publications are solely those of the individual author(s) and contributor(s) and not of MDPI and/or the editor(s). MDPI and/or the editor(s) disclaim responsibility for any injury to people or property resulting from any ideas, methods, instructions or products referred to in the content.

Share and Cite

MDPI and ACS Style

Lupenko, S.; Butsiy, R. Isomorphic Multidimensional Structures of the Cyclic Random Process in Problems of Modeling Cyclic Signals with Regular and Irregular Rhythms. Fractal Fract. 2024, 8, 203. https://doi.org/10.3390/fractalfract8040203

AMA Style

Lupenko S, Butsiy R. Isomorphic Multidimensional Structures of the Cyclic Random Process in Problems of Modeling Cyclic Signals with Regular and Irregular Rhythms. Fractal and Fractional. 2024; 8(4):203. https://doi.org/10.3390/fractalfract8040203

Chicago/Turabian Style

Lupenko, Serhii, and Roman Butsiy. 2024. "Isomorphic Multidimensional Structures of the Cyclic Random Process in Problems of Modeling Cyclic Signals with Regular and Irregular Rhythms" Fractal and Fractional 8, no. 4: 203. https://doi.org/10.3390/fractalfract8040203

APA Style

Lupenko, S., & Butsiy, R. (2024). Isomorphic Multidimensional Structures of the Cyclic Random Process in Problems of Modeling Cyclic Signals with Regular and Irregular Rhythms. Fractal and Fractional, 8(4), 203. https://doi.org/10.3390/fractalfract8040203

Article Metrics

Back to TopTop