Scaled Conjugate Gradient for the Numerical Simulations of the Mathematical Model-Based Monkeypox Transmission
Abstract
1. Introduction
2. Mathematical System
- The design of a fractional monkeypox infection model is provided to achieve more accurate performances.
 - Stochastic processing is employed to simulate the monkeypox infection model using the fractional derivative between 0 and 1.
 - The precision of the proposed method is verified using the comparison of the reference Adams results and the achieved results.
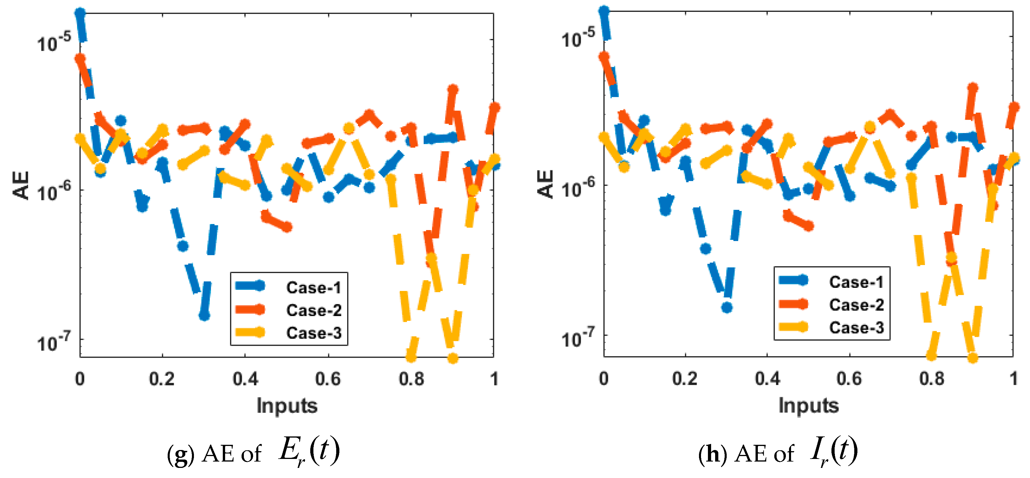
 - The negligible absolute error (AE) presents the accuracy and capability of the proposed method.
 - The error histograms (EHs), correlation, state transitions (STs) and regression indicate the reliability of the proposed approach to solve the model.
 
3. Designed Methodology
4. Results of Fractional Monkeypox Infection Model
5. Conclusions
- The numerical solutions of the mathematical monkeypox virus model are presented by using the stochastic computing scheme.
 - Three different fractional order cases have been used to present the numerical solutions of the mathematical monkeypox virus model.
 - The stochastic computing performances through the artificial intelligence-based scaled conjugate gradient neural networks have been chosen as 83%, 10% and 7% for training, testing and validation, respectively.
 - The exactness of the stochastic procedure was confirmed through the overlapping of the obtained and reference results.
 - The negligible AE performances were presented to verify the accuracy of the proposed method.
 - The rationality and constancy were ensured through the stochastic solutions together with simulations based on the state transition measures, regression, error histograms performances, mean square error and correlation.
 
Author Contributions
Funding
Data Availability Statement
Conflicts of Interest
References
- Weiner, L.M.; Webb, A.K.; Limbago, B.; Dudeck, M.A.; Patel, J.; Kallen, A.J.; Edwards, J.R.; Sievert, D.M. Antimicrobial-Resistant Pathogens Associated With Healthcare-Associated Infections: Summary of Data Reported to the National Healthcare Safety Network at the Centers for Disease Control and Prevention, 2011–2014. Infect. Control Hospital Epidemiol. 2016, 37, 1288–1301. [Google Scholar] [CrossRef] [PubMed]
 - Bunge, E.M.; Hoet, B.; Chen, L.; Lienert, F.; Weidenthaler, H.; Baer, L.R.; Steffen, R. The changing epidemiology of human monkeypox—A potential threat? A systematic review. PLoS Negl. Trop. Dis. 2022, 16, e0010141. [Google Scholar] [CrossRef] [PubMed]
 - Durski, K.N.; McCollum, A.M.; Nakazawa, Y.; Petersen, B.W.; Reynolds, M.G.; Briand, S.; Djingarey, M.H.; Olson, V.; Damon, I.K.; Khalakdina, A. Emergence of monkeypox—West and central Africa, 1970–2017. Morb. Mortal. Wkly. Rep. 2018, 67, 306. [Google Scholar] [CrossRef] [PubMed]
 - Jezek, Z.; Szczeniowski, M.; Paluku, K.M.; Mutombo, M.; Grab, B. Human monkeypox: Confusion with chickenpox. Acta Trop. 1988, 45, 297–307. [Google Scholar] [PubMed]
 - Alakunle, E.; Moens, U.; Nchinda, G.; Okeke, M.I. Monkeypox virus in Nigeria: Infection biology, epidemiology, and evolution. Viruses 2020, 12, 1257. [Google Scholar] [CrossRef] [PubMed]
 - Botmart, T.; Sabir, Z.; Raja MA, Z.; Sadat, R.; Ali, M.R. Stochastic procedures to solve the nonlinear mass and heat transfer model of Williamson nanofluid past over a stretching sheet. Ann. Nucl. Energy 2023, 181, 109564. [Google Scholar] [CrossRef]
 - Latif, S.; Sabir, Z.; Raja, M.A.Z.; Altamirano, G.C.; Núñez, R.A.S.; Gago, D.O.; Sadat, R.; Ali, M.R. IoT technology enabled stochastic computing paradigm for numerical simulation of heterogeneous mosquito model. Multimed. Tools Appl. 2022, 1–16. [Google Scholar] [CrossRef]
 - Sabir, Z.; Sadat, R.; Ali, M.R.; Said, S.B.; Azhar, M. A numerical performance of the novel fractional water pollution model through the Levenberg-Marquardt backpropagation method. Arab. J. Chem. 2022, 16, 104493. [Google Scholar] [CrossRef]
 - Peter, O.J.; Kumar, S.; Kumari, N.; Oguntolu, F.A.; Oshinubi, K.; Musa, R. Transmission dynamics of Monkeypox virus: A mathematical modelling approach. Model. Earth Syst. Environ. 2022, 8, 3423–3434. [Google Scholar] [CrossRef]
 - Bhunu, C.P.; Mushayabasa, S. Modelling the Transmission Dynamics of Pox-Like Infections. 2011. Available online: https://www.iaeng.org/IJAM/issues_v41/issue_2/IJAM_41_2_09.pdf (accessed on 1 January 2020).
 - Peter, O.J.; Qureshi, S.; Yusuf, A.; Al-Shomrani, M.; Idowu, A.A. A new mathematical model of COVID-19 using real data from Pakistan. Results Phys. 2021, 24, 104098. [Google Scholar] [CrossRef]
 - Bankuru, S.V.; Kossol, S.; Hou, W.; Mahmoudi, P.; Rychtář, J.; Taylor, D. A game-theoretic model of Monkeypox to assess vaccination strategies. PeerJ 2020, 8, e9272. [Google Scholar] [CrossRef] [PubMed]
 - Usman, S.; Adamu, I.I. Modeling the transmission dynamics of the monkeypox virus infection with treatment and vaccination interventions. J. Appl. Math. Phys. 2017, 5, 2335. [Google Scholar] [CrossRef]
 - Qureshi, S.; Jan, R. Modeling of measles epidemic with optimized fractional order under Caputo differential operator. Chaos Solitons Fractals 2021, 145, 110766. [Google Scholar] [CrossRef]
 - Du, M.; Wang, Z.; Hu, H. Measuring memory with the order of fractional derivative. Sci. Rep. 2013, 3, 3431. [Google Scholar] [CrossRef]
 - Rahman, G.; Nisar, K.S.; Khan, S.U.; Baleanu, D.; Vijayakumar, V. On the weighted fractional integral inequalities for Chebyshev functionals. Adv. Differ. Equ. 2021, 2021, 18. [Google Scholar] [CrossRef]
 - Baba, I.A.; Nasidi, B.A. Fractional order epidemic model for the dynamics of novel COVID-19. Alex. Eng. J. 2021, 60, 537–548. [Google Scholar] [CrossRef]
 - Yao, S.W.; Farman, M.; Amin, M.; Inc, M.; Akgül, A.; Ahmad, A. Fractional order COVID 19 model with transmission rout infected through environment. AIMS Math. 2022, 7, 5156–5174. [Google Scholar] [CrossRef]
 - Chinnathambi, R.; Rihan, F.A.; Alsakaji, H.J. A fractional-order model with time delay for tuberculosis with endogenous reactivation and exogenous reinfections. Math. Methods Appl. Sci. 2021, 44, 8011–8025. [Google Scholar] [CrossRef]
 - Aslam, M.; Murtaza, R.; Abdeljawad, T.; Khan, A.; Khan, H.; Gulzar, H. A fractional order HIV/AIDS epidemic model with Mittag-Leffler kernel. Adv. Differ. Equ. 2021, 2021, 107. [Google Scholar] [CrossRef]
 - Qu, H.; ur Rahman, M.; Ahmad, S.; Riaz, M.B.; Ibrahim, M.; Saeed, T. Investigation of fractional order bacteria dependent disease with the effects of different contact rates. Chaos Solitons Fractals 2022, 159, 112169. [Google Scholar] [CrossRef]
 - Liu, X.; Rahman, M.u.; Arfan, M.; Tchier, F.; Ahmad, S.; Inc, M.; Akinyemi, L. Fractional Mathematical Modeling to the Spread of Polio with the Role of Vaccination under Non-singular Kernel. Fractals 2022, 30, 2240144. [Google Scholar] [CrossRef]
 - Rosa, S.; Torres, D.F. Fractional Modelling and Optimal Control of COVID-19 Transmission in Portugal. Axioms 2022, 11, 170. [Google Scholar] [CrossRef]
 - Sabir, Z. Stochastic numerical investigations for nonlinear three-species food chain system. Int. J. Biomath. 2022, 15, 2250005. [Google Scholar] [CrossRef]
 - Guirao, J.L.G.; Sabir, Z.; Saeed, T. Design and numerical solutions of a novel third-order nonlinear Emden–Fowler delay differential model. Math. Probl. Eng. 2020, 2020, 7359242. [Google Scholar] [CrossRef]
 - Sabir, Z.; Guirao, J.L.G.; Saeed, T. Solving a novel designed second order nonlinear Lane–Emden delay differential model using the heuristic techniques. Appl. Soft Comput. 2021, 102, 107105. [Google Scholar] [CrossRef]
 - Yokuş, A.; Gülbahar, S. Numerical solutions with linearization techniques of the fractional Harry Dym equation. Appl. Math. Nonlinear Sci. 2019, 4, 35–42. [Google Scholar] [CrossRef]
 - İlhan, E.; Kıymaz, İ.O. A generalization of truncated M-fractional derivative and applications to fractional differential equations. Appl. Math. Nonlinear Sci. 2020, 5, 171–188. [Google Scholar] [CrossRef]
 - Momani, S.; Ibrahim, R.W. On a fractional integral equation of periodic functions involving Weyl–Riesz operator in Banach algebras. J. Math. Anal. Appl. 2008, 339, 1210–1219. [Google Scholar] [CrossRef]
 - Ibrahim, R.W.; Momani, S. On the existence and uniqueness of solutions of a class of fractional differential equations. J. Math. Anal. Appl. 2007, 334, 1–10. [Google Scholar]
 - Yu, F. Integrable coupling system of fractional soliton equation hierarchy. Phys. Lett. A 2009, 373, 3730–3733. [Google Scholar] [CrossRef]
 - Bonilla, B.; Rivero, M.; Trujillo, J.J. On systems of linear fractional differential equations with constant coefficients. Appl. Math. Comput. 2007, 187, 68–78. [Google Scholar] [CrossRef]
 - Diethelm, K.; Ford, N.J. Analysis of fractional differential equations. J. Math. Anal. Appl. 2002, 265, 229–248. [Google Scholar] [CrossRef]
 - Peter, O.J.; Oguntolu, F.A.; Ojo, M.M.; Oyeniyi, A.O.; Jan, R.; Khan, I. Fractional order mathematical model of monkeypox transmission dynamics. Phys. Scr. 2022, 97, 084005. [Google Scholar] [CrossRef]
 - Shah, K.; Alqudah, M.A.; Jarad, F.; Abdeljawad, T. Semi-analytical study of Pine Wilt Disease model with convex rate under Caputo–Febrizio fractional order derivative. Chaos Solitons Fractals 2020, 135, 109754. [Google Scholar] [CrossRef]
 - Yang, X.J.; Ragulskis, M.; Tana, T. A new general fractional-order derivataive with Rabotnov fractional-exponential kernel applied to model the anomalous heat transfer. Therm. Sci. 2019, 23, 1677–1681. [Google Scholar] [CrossRef]
 - Owolabi, K.M.; Hammouch, Z. Spatiotemporal patterns in the Belousov–Zhabotinskii reaction systems with Atangana–Baleanu fractional order derivative. Phys. A Stat. Mech. Its Appl. 2019, 523, 1072–1090. [Google Scholar] [CrossRef]
 - Ghanbari, B.; Djilali, S. Mathematical and numerical analysis of a three-species predator-prey model with herd behavior and time fractional-order derivative. Math. Methods Appl. Sci. 2020, 43, 1736–1752. [Google Scholar] [CrossRef]
 - Hong, Y.; Liu, Y.; Chen, Y.; Liu, Y.; Yu, L.; Liu, Y.; Cheng, H. Application of fractional-order derivative in the quantitative estimation of soil organic matter content through visible and near-infrared spectroscopy. Geoderma 2019, 337, 758–769. [Google Scholar] [CrossRef]
 - Haidong, Q.; Arfan, M.; Salimi, M.; Salahshour, S.; Ahmadian, A. Fractal–fractional dynamical system of Typhoid disease including protection from infection. Eng. Comput. 2021, 34, 1–10. [Google Scholar] [CrossRef]
 - Din, A.; Li, Y.; Khan, F.M.; Khan, Z.U.; Liu, P. On Analysis of fractional order mathematical model of Hepatitis B using Atangana–Baleanu Caputo (ABC) derivative. Fractals 2022, 30, 2240017. [Google Scholar] [CrossRef]
 - Agarwal, P.; Singh, R.; ul Rehman, A. Numerical solution of hybrid mathematical model of dengue transmission with relapse and memory via Adam–Bashforth–Moulton predictor-corrector scheme. Chaos Solitons Fractals 2021, 143, 110564. [Google Scholar] [CrossRef]
 - Abro, K.A. Numerical study and chaotic oscillations for aerodynamic model of wind turbine via fractal and fractional differential operators. Numer. Methods Partial. Differ. Equ. 2022, 38, 1180–1194. [Google Scholar] [CrossRef]
 - Jan, R.; Khan, M.A.; Kumam, P.; Thounthong, P. Modeling the transmission of dengue infection through fractional derivatives. Chaos Solitons Fractals 2019, 127, 189–216. [Google Scholar] [CrossRef]
 - Jan, R.; Khan, M.A.; Khan, Y.; Ullah, S. A new model of dengue fever in terms of fractional derivative. Math. Biosci. Eng. 2020, 17, 5267–5288. [Google Scholar]
 - Bhunu, C.P.; Garira, W.; Magombedze, G. Mathematical analysis of a two strain HIV/AIDS model with antiretroviral treatment. Acta Biotheor. 2009, 57, 361–381. [Google Scholar] [CrossRef]
 












| Index | Settings | 
|---|---|
| Fitness goal (MSE) | 0 | 
| Hidden neurons | 15 | 
| Maximum mu values | 109 | 
| Decreeing mu | 0.1 | 
| Increasing mu | 09 | 
| Adaptive mu | 6 × 10−4 | 
| Epochs | 880 | 
| Minimum values of gradient | 10−7 | 
| Training values | 83% | 
| Testing statics | 10% | 
| Validation data | 7% | 
| Samples | Random | 
| Hidden and output layers | Single | 
| Adam solver and stopping criteria | Default | 
| Case | MSE | Iteration | Performance | Gradient | Mu | Complexity | ||
|---|---|---|---|---|---|---|---|---|
| Validation | Train | Test | ||||||
| 1 | 4.57 × 10−11 | 3.28 × 10−10 | 1.03 × 10−10 | 20 | 3.28 × 10−10 | 8.91 × 10−8 | 1 × 10−11 | 2 s | 
| 2 | 1.63 × 10−10 | 1.12 × 10−10 | 2.35 × 10−10 | 29 | 1.13 × 10−10 | 9.24 × 10−8 | 1 × 10−11 | 2 s | 
| 3 | 6.30 × 10−11 | 4.81 × 10−11 | 5.90 × 10−11 | 26 | 4.82 × 10−11 | 8.75 × 10−8 | 1 × 10−11 | 2 s | 
Disclaimer/Publisher’s Note: The statements, opinions and data contained in all publications are solely those of the individual author(s) and contributor(s) and not of MDPI and/or the editor(s). MDPI and/or the editor(s) disclaim responsibility for any injury to people or property resulting from any ideas, methods, instructions or products referred to in the content.  | 
© 2023 by the authors. Licensee MDPI, Basel, Switzerland. This article is an open access article distributed under the terms and conditions of the Creative Commons Attribution (CC BY) license (https://creativecommons.org/licenses/by/4.0/).
Share and Cite
Suantai, S.; Sabir, Z.; Umar, M.; Cholamjiak, W. Scaled Conjugate Gradient for the Numerical Simulations of the Mathematical Model-Based Monkeypox Transmission. Fractal Fract. 2023, 7, 63. https://doi.org/10.3390/fractalfract7010063
Suantai S, Sabir Z, Umar M, Cholamjiak W. Scaled Conjugate Gradient for the Numerical Simulations of the Mathematical Model-Based Monkeypox Transmission. Fractal and Fractional. 2023; 7(1):63. https://doi.org/10.3390/fractalfract7010063
Chicago/Turabian StyleSuantai, Suthep, Zulqurnain Sabir, Muhammad Umar, and Watcharaporn Cholamjiak. 2023. "Scaled Conjugate Gradient for the Numerical Simulations of the Mathematical Model-Based Monkeypox Transmission" Fractal and Fractional 7, no. 1: 63. https://doi.org/10.3390/fractalfract7010063
APA StyleSuantai, S., Sabir, Z., Umar, M., & Cholamjiak, W. (2023). Scaled Conjugate Gradient for the Numerical Simulations of the Mathematical Model-Based Monkeypox Transmission. Fractal and Fractional, 7(1), 63. https://doi.org/10.3390/fractalfract7010063
        
