Next Article in Journal
The Detection of Different Cancer Types Using an Optimized MoS2-Based Surface Plasmon Resonance Multilayer System
Previous Article in Journal
The Chalcogen Exchange: The Replacement of Oxygen with Sulfur and Selenium to Boost the Activity of Natural Products
 
 
Font Type:
Arial Georgia Verdana
Font Size:
Aa Aa Aa
Line Spacing:
Column Width:
Background:
Article

Risk of Flame Acceleration Due to Accumulation of Unburnt Volatiles in Zero-Gravity Condition

Institut Pprime, Fluide-Thermique-Combustion, CNRS-UPR 3346, ENSMA, Poitiers University, BP 40109 Téléport 2, 1 av Clément ADER, 86961 Futuroscope Chasseneuil CEDEX, 86000 Poitiers, France
*
Author to whom correspondence should be addressed.
Submission received: 6 January 2025 / Revised: 14 March 2025 / Accepted: 26 May 2025 / Published: 3 June 2025
(This article belongs to the Section Chemistry Science)

Abstract

This paper investigates the influence of ventilation conditions, including oxidizer flow speed and oxygen concentration, on major species composition in favor of estimating a risk of flame acceleration at reduced gravity. A two-step chemical reaction for gas phase and a soot formation model based on laminar smoke point are used. To calculate thermal radiation from flame, a discrete-ordinates method is coupled with a non-grey model by taking into account the radiative properties of CO, CO2, H2O and soot. The predictions provide further insights into the intimate coupling of fuel types, such as heptane and dodecane, with burning rate, flame structure and toxic emissions as a consequence of changes in ventilation conditions such as oxidizer flow velocity and oxygen concentration. From a boundary-layer microgravity flame, the CO2 to CO ratio is less than 3, and the unburnt hydrocarbons CmHn to CO ratio is less than 2, with a concentration of unburnt fuel that exceeds the Lower Flammability Limit. This finding on the production of unburnt species is contrasted to the case of a buoyancy-controlled flame at Earth gravity.

1. Introduction

A highly complex mixture of smoke contained in fire effluents comprises the invisible vapor phase and the visible soot phase. At Earth gravity, the concentrations of unburnt gases, including soot, in a buoyancy-controlled fire seem independent of the pyrolysis size [1,2,3,4,5]. Luminous radiation becomes significant for a buoyancy-controlled fire with a size greater than 40 cm [1]. A buoyancy-induced pool-like fire in under-ventilated conditions shields the fuel surface from a substantial portion of the flame radiation due to a soot-laden relatively cold layer or pyrolysis gas [4]. The heat that transfers to the unburnt fuel is significant from the hot combustion gases such as H2O, CO2 and smoke, with temperatures reaching 1000–1200 °C [6]. Simpler models via emissions factors have been developed to consider the toxic emissions from burnt condensed fuel in a buoyancy-controlled wildfire [3]. The CO concentration of free-burning fires at Earth gravity is essentially independent of HRR, with a peak of about 5% [7]. Compared to a laminar flame, a buoyancy-controlled turbulent fire produces less toxic species due to a shorter residence time under conditions of sufficiently high temperatures [7].
Fire safety, including toxic substances, in an orbiting spacecraft is an important concern. Nominal ambient conditions range from 40% to 21% oxygen, and the air circulation speed is lower than 0.3 m/s due to an HVAC system. In an oxygen-deficient, high-temperature environment such as closed-space fires, a dense smoke containing carbon monoxide, soot and other toxic emissions produces a rapidly lethal atmosphere. This is the main threat to the spacecraft crew’s survivability, because the majority of fire fatalities occur not due to an excessive thermal assault but due to smoke incapacitation. By using a selected gas burner in microgravity, the influence of fuel mixture, oxygen concentration and pressure level on heat flux, flame oscillation and radiative fraction has been widely reported [8,9,10]. With the suppression of buoyancy, in a very mild flow field, the flame strength and growth over a condensed fuel surface are controlled by radiative exchanges excluding soot emission [11,12,13,14,15,16,17]. The solid flame is quenched at a very low external flow speed [11,12,13,14,15] due to a significant radiation loss. Any feedback between ion-driven convection and combustion behavior can be captured thanks to a comprehensive simulation under the influence of an externally applied electric field in zero gravity [18].
When gravitational forces become miniscule, the scenario considered involves laminar boundary-layer flames due to the absence of natural convection, regardless of its geometrical scale [11]. A challenge to the predictive methodology is the enormous complexity of the coupled phenomena of toxic species composition and fire growth, which are fundamentally controlled by transient chemical kinetic processes. Heptane and dodecane are designed to simulate some liquids such as mineral oil, synthetics, etc., which could originate from various pieces of machinery in spacecraft. Various soot models are implemented in an existing numerical framework, known as FDS6.7 [19]. The novelty of this work lays in an investigation of the key phenomena affecting fire yields of major toxic species in favor of evaluating a risk of flame acceleration over a liquid surface under weightless conditions. Due to insurmountable difficulties, only the soot volume fraction and flame shape were determined, thanks to a few pieces of compact measurement apparatus while an airplane flew parabolic trajectories, because a slow velocity flow in microgravity cannot be realized on Earth.
In this work, Section 2, Section 3 and Section 4 describe the numerical models, the model evaluation from an ethylene microgravity flame and the results from the heptane or dodecane diffusion flames, respectively. This is followed by Section 5, with discussions on the risk of flame acceleration due to an accumulation of unburnt fuel inside the boundary layer that exceeds the Lower Flammability Limit. This work is finished with some major findings in Section 6. It is discovered that in zero gravity, flame development over a liquid surface has a much greater tendency to emit CO, unburnt hydrocarbons and soot with an increase in oxidizer flow speed or oxygen fraction. This is contrasted to microgravity flames with a fixed gas fuel supply rate [20,21], where an inverse dependence of toxic gases’ production on the mainstream flow velocity is observed.

2. Numerical Modeling

Non-isothermal, non-homogeneous flame gases are governed by the conservation equations of mass, momentum, chemical species and energy. The physics-based equations are discretized and iteratively solved as described in detail in the FDS6.7 user guide [19].

2.1. Combustion Model

The effects of finite-rate kinetic reactions on the ignition processes of gas-phase combustion attached to the fuel type greatly complicate the numerical modeling. A more robust two-step chemistry has been widely explored for the oxidation of hydrocarbon fuels in flames [1,2,19].
C m H n + m 2 + n 4 O 2 m C O + n 2 H 2 O
C O + 1 2 O 2 C O 2
The reaction rate of the primitive fuel oxidation (Equation (1)) is calculated from a fast-mixing controlled combustion model [19].
ω ˙ F = d ρ Y F d t = ρ τ mix min ( Y F , Y O s )
Such a fast chemistry (Equation (3)) is combined with finite-rate chemistry to create a mixed reaction, including the exothermic reaction of carbon monoxide oxidation and the endothermic reaction of the reversible CO2 reaction (Equation (2)). A finite-rate Arrhenius reverse reaction is expressed by the parameters A, a, b, E, which are given in reference [2].
ω ˙ C O d ρ Y C O d t = A ρ Y C O a Y O b e E / R T
This concept is tested against relevant experimental data from under-ventilated compartment fire scenarios [1]. The two-step chemistry improves the prediction of the temperature field and CO in the post-flame zone, while it provides a worse prediction of CO in the flame zone [2]. In fact, the accurate results depend on the fire scenario related to fuel type/size and ventilation conditions [1,2,19] via the strong coupling between soot radiation and pyrolysis rate.

2.2. Soot Model

Advanced soot modeling [22,23] is constrained by the need for some degree of empirical calibration for a selected gas fuel, e.g., ethylene, and a lack of knowledge of relevant empirical parameters for any liquid or solid fuel. In the current work, the more robust fuel-based soot models, such as Moss [24] and LSP (Laminar Smoke Point) [25] are coupled with the two-step combustion model. Of course, this global approach cannot take into account a detailed soot formation mechanism [22,23], including species such as acetylene, benzene and phenyl [22,23]. Soot precursory, surface growth and oxidation processes are expressed via the respective source terms:
ω s ˙ = ω s , N ˙ + ω s , G ˙ + ω s , O ˙
In the Moss approach [24], soot precursory is attached to the temperature and the mole fraction of fuel gas.
ω ˙ s , N = C α N ρ 2 T 1 / 2 X F e T α / T
In the Laminar Smoke Point (LSP) approach [25], the soot precursory rate is a function of temperature and the mixture fraction.
ω ˙ s , N = A f ρ 2 T 2.25 f f s t 1 f s t exp ( 2000 / T )
The pre-exponential factor, Af, which has been initially calibrated to be 4.1 × 10−5 for the ethylene flame, is reversely proportional to its smoke height [26].
A f , F u e l A f , C 2 H 4 = L C 2 H 4 L F u e l
The surface growth rate [24] is derived from the temperature, soot number density and mole fraction of the fuel.
ω ˙ s , G = C γ ρ T 1 / 2 X F exp ( T γ / T ) N 1 / 3 ( ρ Y s ) 2 / 3
Some degree of empirical calibration of the parameters, C γ   and   T γ , was made from a non-premixed flame [24]. The soot oxidation rate to CO2 depends on temperature and soot/oxygen concentrations [19,27].
ω ˙ s , O = 4.7 × 10 10 Y S [ Y O ] exp ( 211000 / RT )

2.3. Heat and Mass Balances at Interface

The heat balance is established on the front surface to calculate the liquid surface temperature through the convective and radiative heat fluxes. The evaporation rate of liquid fuel is calculated from the Stefan equation [19], as follows:
m ˙ F = ρ D L N u L n 1 Y F , 1 Y F , i
The Clausius–Clapeyron relation is employed in an equilibrium state to find the mass fraction of fuel vapor, YF,i, at the interface as a function of the liquid surface temperature, Ts [19], and the thermo-physical properties [28].
Y F , i = W F W m exp L v W F R 1 T s 1 T b
The radiative heat flux is provided by solving a Radiation Transfer Equation (RTE) with a ray-based method [19] in angular discretization and a finite volume method in spatial discretization. The absorption coefficient in the RTE includes gas-phase radiation of the most important combustion product controlling the thermal radiation, such as H2O, CO, CO2 or soot with a spectral dependence [19]. A ray-based method is deemed accurate through a verification of radiation heat flux from an analytical solution [19]. The Fourier law is used to calculate the convective heat flux at the liquid surface [19].

3. Model Evaluation from an Ethylene Flame

The experimental set-up [20,21], as schematized in Figure 1, was used to study flame behavior in microgravity during 10 s with the help of an airplane flying parabolic trajectories. A soot volume fraction higher than 3.8 ppm was measured in a restricting zone of 0.5 cm in thickness and 12 cm in length with the help of an LII (Laser-Induced Incandescence) technique [20,21]. The accuracy of the measurement methodology on soot emission for a microgravity ethylene flame is discussed in previous work [20,21]. The experimental flame images were recorded with a Canon digital camera through a glazed window.
The coordinate system in the numerical simulation is indicated in Figure 1, and the choice of a computational domain of 4 Lp in width and 8 Lp in length is based on previous studies [29,30]. A highly compressed grid system with an excessive domain extension could produce a numerical error over the course of a calculation [19]. Free slip conditions are assumed for the velocity at the two sides and the top. Zero gradient conditions at the outlet of the domain are applied. An oxygen concentration of Yo = 0.35 and a uniform velocity of Uo = 0.2 m/s are prescribed at the inlet of x/Lp = −1. A square porous burner with a size of Lp = 5 cm and a gas fuel supply rate of 5 g/m2s is embedded at the bottom (z = 0) with an entrance length of Lp. An initial temperature of 300 K is assumed for both the fuel and the air streams. The mesh system has been described in our previous publication [29,30]. For a physical time of 10 s, 150 CPU hours are required, with a mesh size of 2 mm, by using 20 parallel processors of a Linux cluster. A deviation of about 5% is observed [30] for the temperature peak by reducing the grid size from 2 to 1 mm; however, the computational time increases to 150 × 24 CPU hours.
In the absence of natural convection at microgravity, a boundary-layer diffusion flame is established over the fuel surface. As illustrated in Figure 2, the predicted flame length, Lf, corresponds to the furthest forward (x) location of the isotherm 600 °C and the flame standoff distance, df, to the distance of the flame tip from the fuel surface. As shown in the experimental flame image (cf. Figure 2b), soot glowing is represented by the yellow color as opposed to blue, which is exposed directly to the leading edge with a weak soot emission. The interaction between soot and radiative heat loss becomes the primary factor affecting the transition between a blue region with an elevated temperature and a yellow sooty area with a low temperature. As compared to the experiment (cf. Figure 2b), a discrepancy with the Moss model [24] (cf. Figure 2c) is observed through the entire flame, and an over-estimation of soot emission near the leading edge region greatly enhances radiative heat loss from the flame with a lower temperature of 1100 °C. A low soot trend from the LSP model [25] at the leading edge tends to increase the peak temperature to 1600 °C. The visible flame significantly exceeds the chemical reaction sheet (cf. Figure 3) in length and thickness due to the diffusion of heat and mass. The oxygen leakage through a low-strain diffusion flame is typically 2% (cf. Figure 4), and the detached flame drifts away further downstream.
Iso-contours of the HRR per unit volume calculated from Equations (3) and (4) and oxygen concentration on the symmetrical plane (x, z) are illustrated in Figure 3 and Figure 4. The flame sheet corresponds to the location of the HRR with an elevated temperature level. As shown in Figure 4, due to a lack of oxygen in the reactive boundary layer, excessive fuel is burned close to an area of freestream. The flame sheet is significantly lifted above the fuel surface downstream of the leading edge, and the angle of the dividing line between the oxidizer and the fuel-rich zones is roughly 30°. The reaction rate appears to be approximately proportional to the fuel depletion, with a decreasing trend downstream.
Iso-contours of the computed soot volume fraction at Yo = 0.35 on the symmetrical plane (x, z) are qualitatively compared to the measured one in Figure 5a,c with different scales. This allows one to discuss in more detail the soot model’s accuracy and any potential shortcomings in terms of the thickness and length of the soot layer. Quantitative comparisons between experimental measurements and the predicted soot formation from the LSP model are presented in previous work [30].
It seems that the LSP model [25] (cf. Figure 5b) reproduces correctly the experimental trend of soot emission, with a peak of 11.5 ppm. However, in the post-combustion region outside the flame sheet, the computation from the LSP model over-predicts the soot’s thickness in the boundary layer by a factor of one time. The Moss model [24] (cf. Figure 5c) over-predicts by a factor of four times the measured value near the leading edge (x < 20 mm). The predicted zone from the Moss model [24], where the soot volume fraction is higher than 3.8 ppm, significantly exceeds the measured one in length by a factor of about one time. The predicted soot emission thickness from the Moss model is more than the measurement by a factor of five times in the boundary layer. This may be attributed to the potential changes in experimental conditions, e.g., the cleanliness of the window for the laser beam [20,21]. The potential sources of these discrepancies might originate from the dominant mechanism for soot burnout by OH and O radicals [20,21] in the post-flame region. Since a two-step chemistry model does not allow one to take into account elementary reactions, including OH and O radicals, a simple calibration of the soot empirical parameter to match the measured results is insufficient. A relatively good prediction of both the soot’s formation and the flame shape is obtained from the LSP model [25], allowing a proper calculation of the radiation heat contribution over a surface of condensed fuels. Thus, the LSP model [25] is chosen in this work for calculating the mass pyrolysis rates of the liquid fuels in Section 4.

4. Results on Heptane and Dodecane Flames

Figure 6a illustrates the visible diffusion flame over a flat heptane surface at Yo = 0.25. There exists a short blue flame zone with a length of about 2 cm near the leading edge and a long trailing bright-yellow flame due to soot radiation, typical of hydrocarbon diffusion flame. The flame base is attached to the leading edge and moves away from the burning surface with a long tail inside a smooth boundary layer. A stable type of flame from a pool of liquid fuel behind an obstruction in an airflow can be also encountered in the inhabited quarters of orbiting spacecraft. The length of a non-premixed heptane flame is significantly reduced behind a backward-facing step in a crossflow, as shown in Figure 6b. The oxygen is prevented from penetrating the pyrolysis zone, and thus the zone behind a backward-facing step is filled mostly with the fuel and products. It is inferred that the flame luminance becomes less intense, with a flame temperature below 900 °C. Compared to the heptane flame with a boiling point of 98 °C, dodecane flame (cf. Figure 6c) with a high boiling point of 216 °C contributes to a reduction of 73% in flame length. In general, over a flat burning surface, an increase in crossflow velocity induces a lengthening of the flame. However, the flame length behind a backward-facing step is practically insensitive to the oxidizer flow velocity, with a constant standoff distance.
Figure 7 shows iso-contours of the computed temperature above 100 °C for the heptane and dodecane flames in the cross-stream section at the axial position of x/Lp = 2. The higher temperature region of heptane flame exceeds the pyrolysis zone (0.5 < y/Lp < 0.5) due to diffusion of both heat and mass. It is found that a wider and more luminous flame takes place in the fuel-rich zone, and the size of the high-temperature region of dodecane flame in the cross-stream plane is significantly reduced in comparison with that of heptane flame. In absence of natural convection, an increase in oxidizer flow velocity and oxygen concentration allows the sustaining of a large intensive combustion zone with a high temperature. It is noted that radiative heat feedback to the pyrolysis surface is associated with the extension of the flame zone in the cross-stream section. The pyrolysis rate of heptane flame (cf. Figure 8a) increases rapidly thanks to the wider extent of the high-temperature region in the cross-stream plane, which enhances radiation heat exchanges and, as a consequence, the emitted unburnt volatiles.
Over a flat liquid surface, the pyrolysis rate at a steady mode, as presented in Figure 8a,b, exhibits a peak near the leading edge, to which a luminous flame is attached (cf. Figure 6a,c). The pyrolysis rate (cf. Figure 8a,b) decreases sharply downstream of the trailing edge due to a reduction in both the flame’s thickness and the temperature level. The peak of the burning rate augments to about 40% with a rise in oxygen concentration from 0.25 to 0.35. An increase in cross-flow velocity tends to enhance the heat exchanges and, consequently, the pyrolysis rate. The mass loss rate is sensitively affected by the fuel type via its boiling point, and the peak of the pyrolysis rate of heptane increases about 40% in comparison with that of dodecane. Moreover, a dodecane flame allows the propagation of the pyrolysis front to be sustained only over a reduced liquid area with x/Lp < 0.8. The zone behind the obstruction provides rather under-ventilated conditions, to reduce the flame length (cf. Figure 6b), and, consequently, the pyrolysis rate due to weak radiation heat flux over the liquid surface. The effects of the blockage ratio, H/Lp, on the pyrolysis rate from the step-stabilized heptane flame are shown in Figure 8c,d at various oxidizer flow velocities. As the step height increases, the pyrolysis rate decreases by a factor ranging from 5 to 20 times, because the flame base in the shear layer moves away from the condensed fuel surface (cf. Figure 6b). The effect of oxidizer flow velocity for a given step height of H/Lp = 1 on the pyrolysis rate is weak, because the burning rate near the leading edge is controlled by convection heat flux, which tends to zero behind an obstruction. It can be seen that fire over a flat heptane burning surface is a greatly feared hazard with a large release of unburnt gases, which are described in the following section.
Fields of the computed soot volume fraction higher than 7 ppm in addition to the streamlines on the symmetrical plane (x, z) are plotted in Figure 9, Figure 10, Figure 11 and Figure 12. Although soot formation processes take place in the high-temperature region near the flame sheet, an accumulation of a soot-laden, relatively cold layer occurs near the wall via thermophoretic effects due to temperature gradient in the boundary layer. The streamlines near the leading edge are somewhat deflected upwards due to the strong pyrolysis rate of the liquid fuel. The zone with a high soot volume fraction shifts towards the trailing edge with a rise in oxidizer flow speed. The extent of the high soot volume fraction in length and thickness at Yo = 0.35 is roughly 1.5 times that at Yo = 0.25 with a low pyrolysis rate (cf. Figure 8a,b). The extent of the soot volume fraction above 7 ppm of the heptane flame is approximately four times that of the dodecane flame due to its reduced pyrolysis zone (x/Lp < 0.8).
As an illustration, soot deposition (g/m2) onto a wall surface from the gas phase via the thermophoretic effect at Yo = 0.25 is given in Figure 13a,b. The significant soot stratification of heptane flame (cf. Figure 9 and Figure 10) with a high crossflow speed of 0.3 m/s leads to a remarkable soot deposition. The peak of soot deposition is beyond the burning region for heptane but, however, within the pyrolysis zone for dodecane. Downstream of the leading edge, soot deposition decays quickly. In comparison with the dodecane flame, the soot deposition of heptane flame increases by a factor of 20% with an increase of U0. A similar trend is found at Yo = 0.35 as a function of U0 for soot deposition.
Fields of the computed carbon monoxide on the symmetrical plane (x-z) for the heptane and dodecane flames are illustrated in Figure 14, Figure 15, Figure 16 and Figure 17. The crossflow assumes transport of the important CO production in the pyrolysis zone downstream far away from the tailing edge. A stronger burning rate of heptane flame (cf. Figure 11) induces a larger extent of CO production, higher than 4 ppm, compared to that of dodecane flame, regardless of oxygen concentration. In the absence of gravity, the CO production inside the boundary layer diffusion flame reaches a peak of roughly 8–10% near the pyrolysis zone, compared to 3% at Earth gravity [5,7].
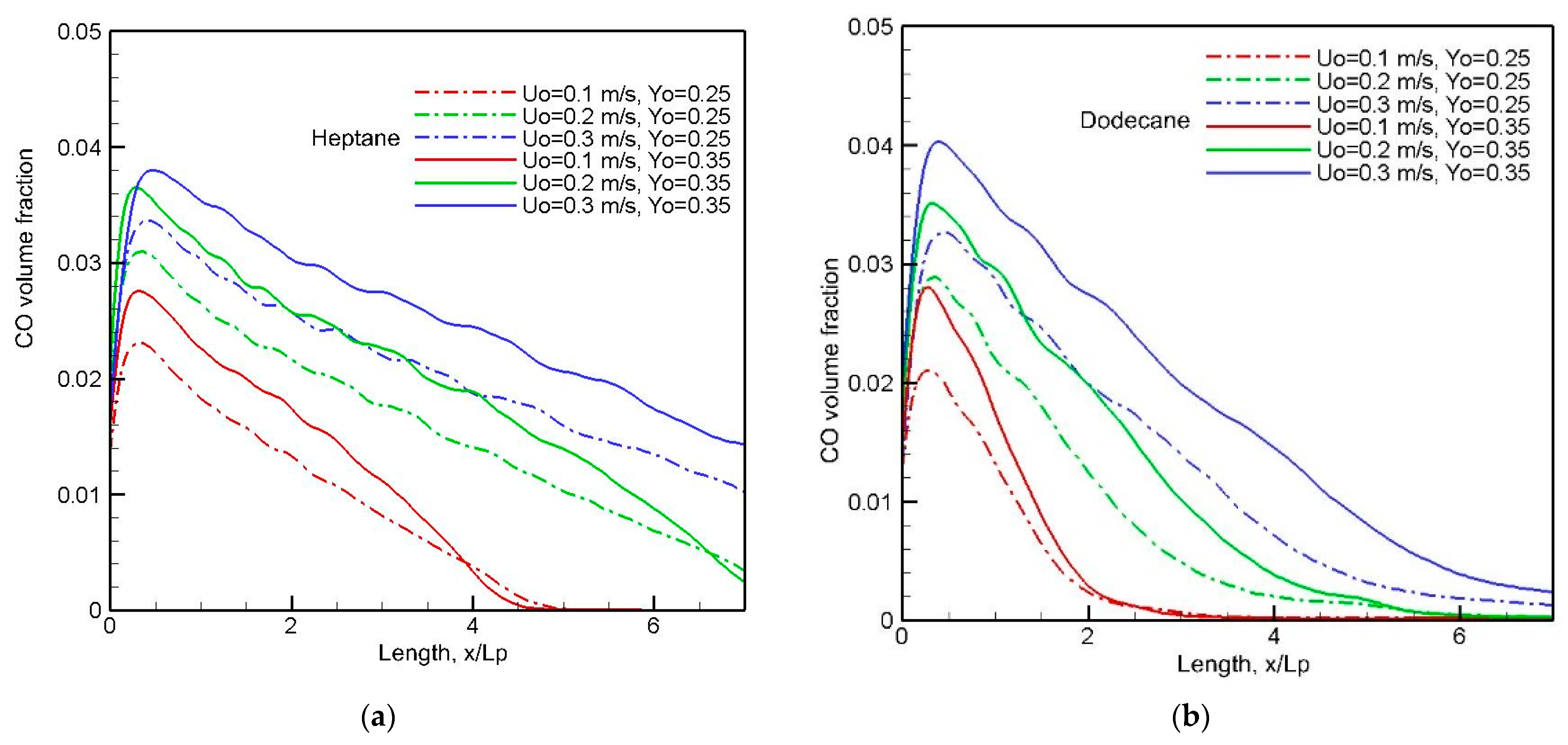
A mean value of CO along the windward direction (cf. Figure 14, Figure 15, Figure 16 and Figure 17) is estimated by averaging the integrated CO over the thickness of the boundary layer. The influence of crossflow speed on the curve of mean CO production at two oxygen concentrations is clearly highlighted in Figure 18a,b. It seems that enhancement of the burning rate (cf. Figure 8a,b) at a high U0 prevents fresh air entraining into the pyrolysis region, resulting in an increase of about 40% in the CO peak. A peak of 4% in CO production is found in the pyrolysis zone regardless of the fuel type. A quick decay of CO below 1% downstream is obvious for the dodecane flame, and a CO molar fraction above 3% lasts till x/Lp = 3 for the heptane flame. With respect to CO intoxication, interaction between oxidizer flow speed/oxygen concentration and CO emission is likely to be most important, with a significant scatter in the peak.
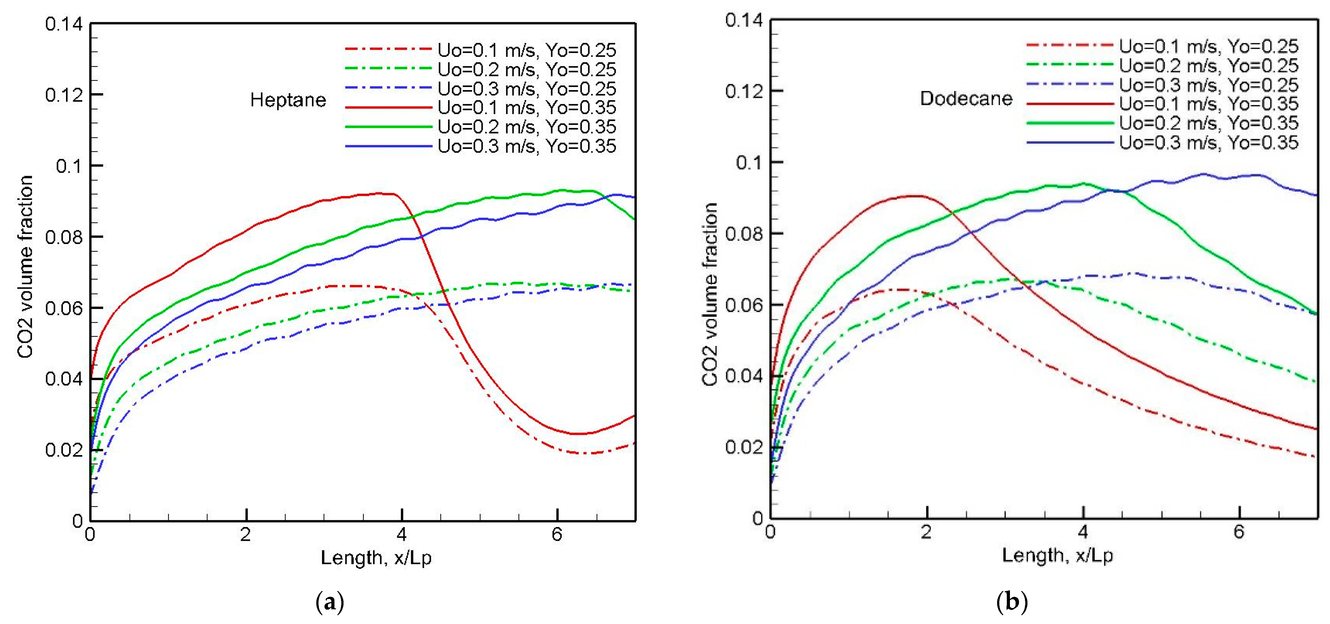
Analysis of CO2 production is useful, because the quantity of air breathed depends upon concentration of inhaled CO2, which becomes an important factor in fires [5]. By comparing Figure 19a,b, the mean CO2 concentration in the forward direction is essentially independent of the pyrolysis rate and fuel type (cf. Figure 8a,b). With an elevated oxygen concentration of 0.35, a peak of 10% in CO2 concentration takes place beyond the chemical reactivity zone at x/Lp = 4. The reduced convective transport at U0 = 0.1 m/s is conducive to a rapid decrease of CO2 far away from x/Lp = 4. An elevated oxygen concentration induces a smooth decreasing trend in the CO2 curve, because an oxygen molar fraction above 15% allows the chemical reaction to be sustained.
Figure 20, Figure 21, Figure 22 and Figure 23 depict the unburnt hydrocarbons (CmHn) field in terms of equivalent primary fuel, e.g., heptane or dodecane, on the symmetrical plane (x, z). A strong pyrolysis rate (cf. Figure 8a,b) near the leading edge leads to the establishment of an oxygen-starved area, which tends to retard the oxidation of unburnt species. The high pyrolysis rate (cf. Figure 8a) of heptane flame is conducive to abundant unburnt fuels, and a reduced pyrolysis zone below x/Lp = 0.8 of dodecane flame (cf. Figure 8b) results in a significant reduction in unburnt hydrocarbons. The unburnt fuel exceeds CO and CO2 concentrations in the oxygen-starved boundary layer, which prevents the forced convection-driven dispersion of unburnt species.
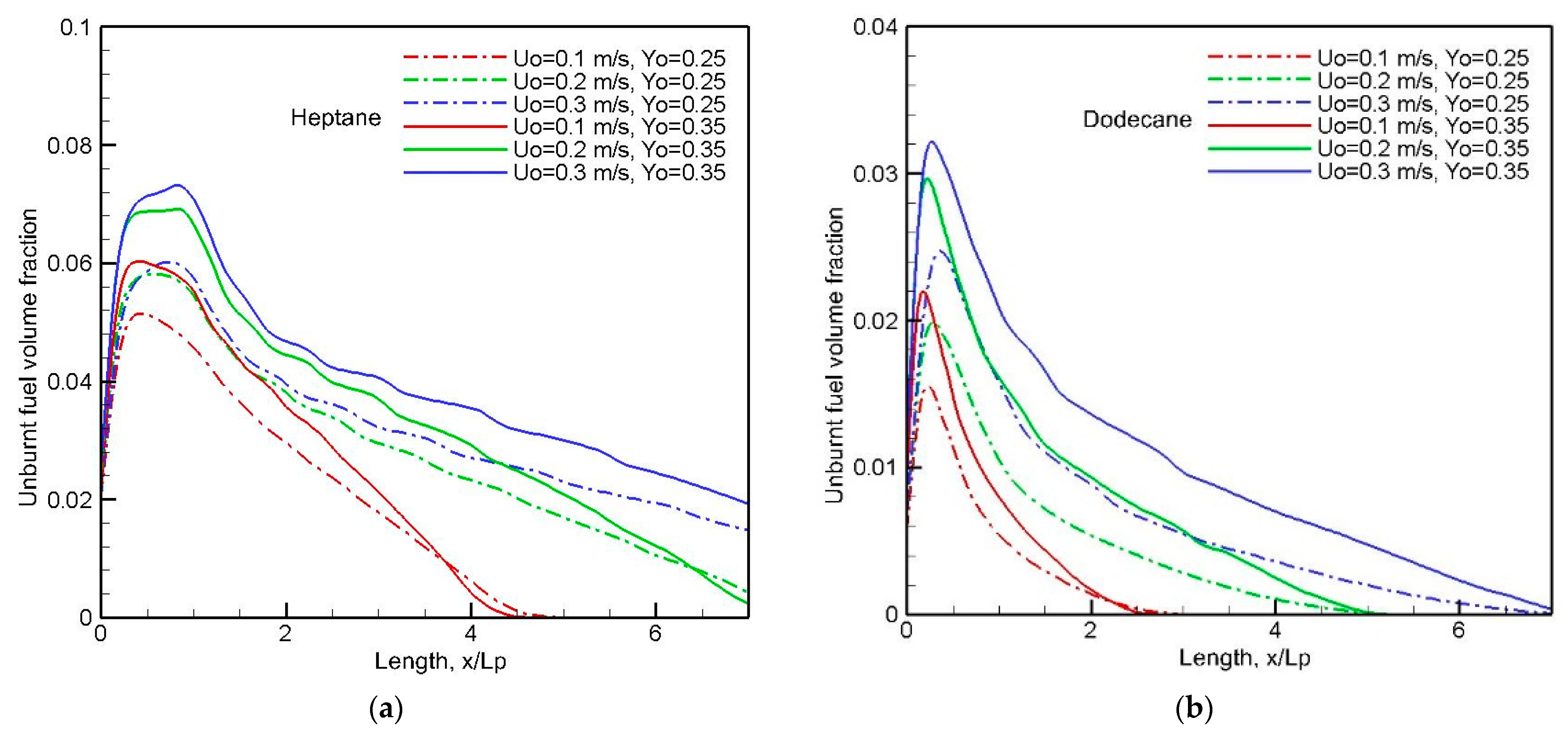
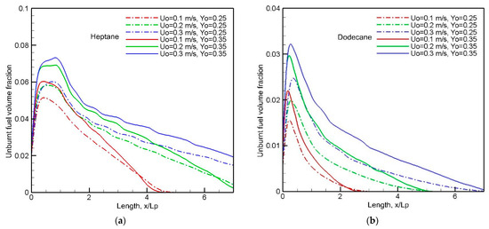
The evolution of the mean unburnt fuel as a function of fuel type, oxygen mass fraction and crossflow speed is illustrated in Figure 24a,b. A peak of heptane flame takes place around the tailing edge at x/Lp = 1, and a peak of dodecane flame occurs near the leading edge. The unburnt fuel increases with a rise in both crossflow velocity and oxygen concentration; however, the response of the unburnt fuel concentration is less sensitive to a further increase of crossflow speed from 0.2 to 0.3 m/s. The unburnt fuel of the dodecane flame disappears downstream far away from x/Lp = 5 due to convective dilution over a reduced burning zone (x/Lp < 0.8). However, an abundance of unburnt fuel above 2% from the heptane flame is carried by the convective motion at a high crossflow speed. The decreasing slope downstream, as well as the peak in unburnt fuel concentration, depends significantly on the liquid fuel type associated with a boiling point.

5. Discussion

A sensitive augmentation of the pyrolysis rate of heptane (cf. Figure 8a) by increasing the oxidizer flow speed and oxygen concentration leads to excessive unburnt fuel in the reactive boundary layer. Typically, the theoretical HRR derived from pyrolysis rate of liquid fuel is proportional to oxygen concentration and oxidizer flow speed. The previous work [30] shows a monotone decrease in combustion efficiency and, as a result, in the effective HRR with an increase in oxidizer flow velocity or oxygen concentration. Therefore, a reduction in the effective HRR with a rise of U0 and Yo results in an accumulation of unburnt species (cf. Figure 20, Figure 21, Figure 22 and Figure 23) in the boundary layer due to a lack of oxygen (cf. Figure 4). As a function of fuel type, roughly 65–90% of the pyrolysates contributes to the chemical reaction, and about 10–35% of the released fuel is transported by a forward forced convection. Therefore, a microgravity flame would represent a higher hazard due to excessive unburnt fuel compared to that on Earth [5,7].
Taking all the results together, the CO2 (cf. Figure 19) to CO (cf. Figure 18) ratio is less than 3, instead of 10 from a buoyancy-controlled flame at Earth gravity [5], and the unburnt CmHn (cf. Figure 24) to CO (cf. Figure 18) ratio is less than 2. This implies that unburnt volatiles such as CO and CmHn from microgravity flames exceed the corresponding concentration from turbulent buoyancy-induced flame [7]. This is mainly attributed to a significant reduction in oxygen concentration to 2% in the boundary layer (cf. Figure 4). According to reference [31], from theoretical ignition criteria, an inflammation risk occurs if the unburnt fuel concentration is higher than the LFL (Low Flammability Limit) and the gas temperature is above the AIT (Auto-Ignition Temperature), as summarized in Table 1 [31].
In all the cases, the mean CO concentration (cf. Figure 18) is below 4%, which is significantly lower than its LFL (cf. Table 1) without an inflammation risk. At a more developed stage of diffusion flame, a mean concentration of unburnt hydrocarbons CmHn is above 4% for heptane flame (cf. Figure 24a) and above 1% for dodecane flame (cf. Figure 24b), which exceeds its corresponding LFL (cf. Table 1). Moreover, the gas temperature of 900 °C (cf. Figure 6a,c) in the pyrolysis zone exceeds the AIT during a sufficiently long time. However, the oxygen available, with a concentration below 2% in the boundary layer (cf. Figure 4), is not enough to induce the inflammation of an excess in unburnt fuel that is higher than the LFL. At Earth gravity, the scientific accuracy and practical applicability of the proposed models were verified in confined nuclear facilities [31]. Auto-ignition of the extracted smoke close to a stoichiometric fuel–air mixture was visually identified [31] due to a sudden supply of fresh air with an oxygen concentration of 15%. Based on the theoretical ignition criteria, there is a significant risk of flame acceleration with a sudden supply in oxygen in a hot boundary layer where the major unburnt species are accumulated in a sufficient concentration. A rapid regression rate of liquid fuel over a flat burning surface at a high ventilation rate contributes to the most devastating fire scenario for fire safety in spacecraft environments. On board spacecraft in zero-gravity environments, one fire suppression strategy is to restrict ventilation or create an obstruction just upstream of a fire source. This allows one to significantly reduce the pyrolysis rate of liquid fuels and as a consequence, the concentration of unburnt gases below the LFL to avoid a critical risk of flame acceleration. In manned spacecraft, the air circulation rate significantly affects the concentration of toxic products. Variations in the air circulation system can be approximately taken into account by using a weighting factor for all the results (flame length, toxic species) between the oxidizer flow velocities.

6. Conclusions

The various fire scenarios in a weightless condition are taken into account as a function of ventilation rate, oxygen concentration and fuel type. The capabilities of the two soot models (LSP and Moss) are first evaluated through an ethylene microgravity flame, and the discrepancies between the prediction and the experiment are mainly in the post-combustion region due to neglecting soot oxidation via O and OH radicals. Nevertheless, a relatively good estimation of both the soot emission and the flame shape is obtained from the LSP model, and thus, this soot model is chosen for calculating the mass pyrolysis rate of the liquid fuels on which the flame behavior depends.
In the weightless condition, the impact of oxidizer flow speed, oxygen concentration and fuel type on soot emission, carbon monoxide and unburnt hydrocarbons seems worthy of remark. For the heptane flame, the volume fraction of the unburnt pyrolyzates exceeds 2% along a distance of x/Lp = 7 in the forward layer at a high oxidizer flow speed. For the dodecane flame, the volume fraction of the unburnt pyrolyzates decays quickly to 1% along a short distance of x/Lp = 5 thanks to a reduced pyrolysis zone. The extent in length of the unburnt volatiles such as soot, carbon monoxide and unburnt fuels at Yo = 0.35 is roughly 1.5 times that at Yo = 0.25. For the heptane flame, a rise in the oxygen mass fraction from 0.25 to 0.35 is conducive to an increase in soot concentration of about 25%. The unburnt hydrocarbons from the heptane flame increase by a factor of 2.3 times compared to those from the dodecane flame. The concentration of unburnt volatiles from heptane or dodecane microgravity flame exceeds the corresponding LFL, and the gas temperature in the pyrolysis zone is above the AIT. As a consequence, an accelerating flame may occasionally occur following auto-ignition of the unburnt pyrolyzates when a sudden supply of oxygen takes place.
In fact, a random phenomenon in space and time such as the auto-ignition of stratified unburnt pyrolyzates is not completely understood. The ignition processes of gas-phase combustion attached to a liquid fuel type are fundamentally controlled by transient chemical kinetic processes depending on temperature, thus greatly complicating the numerical modeling. Although, the global approach is not capable of reproducing ignition processes, it is useful for assessing a risk of flame acceleration when major unburnt pyrolyzates have accumulated in a sufficient concentration. The future investigation aims to use a detailed complex kinetics depending on gas temperature and consisting of a hundred species/reactions to fully resolve the ignition processes of unburnt fuel gases in an extremely small computation domain due to a prohibitive CPU time.

Author Contributions

Investigation, H.W. and N.D.; writing, supervision, H.W.; software, N.D.; formal analysis, H.W. and N.D. All authors have read and agreed to the published version of the manuscript.

Funding

This research was funded by Projet ANR-18-EURE-0010.

Institutional Review Board Statement

Not applicable.

Informed Consent Statement

Not applicable.

Data Availability Statement

The datasets generated during and/or analyzed during the current study are available from the corresponding author on reasonable request.

Acknowledgments

This research is sponsored by Agence Nationale de la Recherche.

Conflicts of Interest

The authors declare no conflict of interests.

Nomenclature

a, b Arrhenius parameter
A, Afpre-exponential factor
C α , C r empirical parameter in Moss model
Ddiffusivity (m2·s−1)
Eactivation energy
fmixture fraction
fststoichiometric mixture fraction
fvsoot volume fraction
Hbackward-facing step height
Lconvective length scale (m)
Lvpyrolysis heat (kJ·kg−1)
Lplength of the pyrolysis area
LFuelLSP smoke height (m)
m ˙ F mass loss rate of liquid fuel per unit surface (kg·m−2s−1)
Nsoot number density per unit mass of mixture
Nu Nusselt number
Rgas universal constant
sstoichiometric coefficient
Tgas temperature (°C)
Tbboiling temperature of liquid (K)
Tssurface temperature of liquid (K)
T α , T r empirical parameter in Moss model
ttime (s)
YCOcarbon monoxide mass fraction
XFfuel molar fraction
YFfuel mass fraction
Yooxygen mass fraction
Yssoot mass fraction
YF,ifuel mass fraction at liquid surface
YF,∞mass fraction of ambient fuel gas
x, y, zcoordinates system
WFmolar weight of liquid fuel (kg·kmol−1)
Wmmolar weight of mixture (kg·kmol−1)
Greek
ρ volume density (kg·m−3)
τ mix key mixing timescale (s)
ω ˙ s , G soot surface growth rate (kg·m−3·s−1)
ω ˙ s , N soot inception rate (kg·m−3·s−1)
ω ˙ s , O soot oxidation rate (kg·m−3·s−1)
Acronym
AITAuto-Ignition Temperature (°C)
HRRHeat Release Rate (kW)
LSPLaminar Smoke Point
LFLLow Flammability Limit
HAVCHeating, Ventilation and Air conditioning

References

  1. Paul, S.C.; Welch, S. Prediction of CO formation in fires. In Proceedings of the Six International Seminar, Leeds, UK, 11–16 April 2010. [Google Scholar]
  2. Andersen, J.; Rasmussen, C.L.; Giselsson, T.; Glarborg, P. Global combustion mechanisms for use in CFD modeling under oxy-fuel conditions. Energy Fuels 2009, 23, 1379–1389. [Google Scholar] [CrossRef]
  3. Andreae, M.O. Emission of trace gases and aerosols from biomass burning—An updated assessment. Atmos. Chem. Phys. 2019, 19, 8523–8546. [Google Scholar] [CrossRef]
  4. Acherar, L.; Wang, H.Y.; Garo, J.P.; Coudour, B. Impact of air intake position on fire dynamics in mechanically ventilated compartment. J. Fire Saf. 2020, 118, 103210. [Google Scholar] [CrossRef]
  5. Hurley, M.J.; Gottuk, D.T.; Hall, J.R., Jr.; Harada, K.; Kuligowski, E.D.; Puchovsky, M.; Torero, L.; Watts, J.M., Jr.; Wieczorek, C.J. SPFE Handbook of Fire Protection Engineering; Society of Fire Protection Engineers: Greenbelt, MD, USA, 2016; Chapter 63; pp. 2308–2414. [Google Scholar]
  6. Grumstrup, T.P.; McAllister, S.S.; Finney, M.A. Qualitative flow visualization of flame attachment on slopes. In Proceedings of the 10th U.S. National Combustion Meeting, College Park, MD, USA, 23–26 April 2017; The Combustion Institute: Pittsburgh, PA, USA, 2017. [Google Scholar]
  7. Orloff, L.; Ris, J.; Delicatsios, M.A. Chemical Effects on Molecular Species Concentrations in Turbulent Fires. Combust. Flame 1987, 69, 273–289. [Google Scholar] [CrossRef]
  8. Torero, J.L.; Bonneau; Most, J.M.; Joulain, P. The effect of gravity on a laminar diffusion flame established over a horizontal plate. In Proceedings of the 25th Symposium (International) on Combustion, University of California Irvine, Irvine, CA, USA, 31 July–5 August 1994; The Combustion Institute: Pittsburgh, PA, USA, 1994; pp. 1701–1709. [Google Scholar]
  9. Creenberg, P.S.; Ku, J.C. Soot volume fraction maps for normal and reduced gravity laminar acetylene jet diffusion flame. Combust. Flame 1997, 108, 227–230. [Google Scholar] [CrossRef]
  10. Dehghani, P.; Sunderland, P.B.; Quintiere, J.G.; de Ris, J.L. Burning in microgravity: Experimental results and analysis. Combust. Flame 2021, 228, 315–330. [Google Scholar] [CrossRef]
  11. Urban, D.L.; Ferkul, P.; Olson, S.; Ruff, G.A.; Easton, J.; T’ien, J.S.; Liao, Y.-T.T.; Li, C.; Fernandez-Pello, C.; Torero, J.L.; et al. Flame spread: Effects of microgravity and scale. Combust. Flame 2019, 199, 168–182. [Google Scholar] [CrossRef]
  12. Fujita, O. Solid combustion research in microgravity as a basis of fire safety in space. Proc. Combust. Inst. 2015, 35, 2487–2502. [Google Scholar] [CrossRef]
  13. Citern, J.M.; Dutilleul, H.; Kizawa, K.; Nagachi, M.; Fujita, O.; Kikuchi, M.; Jomaas, G.; Rouvreau, S.; Torero, J.L.; Legros, G. Fire safety in space—Investigating flame spread interaction over wires. Acta Astronaut. 2016, 126, 500–509. [Google Scholar] [CrossRef]
  14. Li, C.; Liao, Y.-T.T.; T’ien, J.S.; Urban, D.L.; Ferkul, P.; Olson, S.; Ruff, G.A.; Easton, J. Transient flame growth and spread processes over a large solid fabric in concurrent low-speed flows in microgravity—Model versus experiment. Proc. Combust Inst. 2019, 37, 4163–4171. [Google Scholar] [CrossRef]
  15. Longhua, H.; Yong, L.; Yoshoka, K.; Yangshu, Z.; Fermandez-Pello, C.; Ho, C.S.; Fujita, O. Limiting oxygen concentration for extinction of upward spreading flames over inclined thin polyethylene-insulated NiCr electrical wires with opposed-flow under normal- and micro-gravity. Proc. Combust. Inst. 2017, 36, 3045–3053. [Google Scholar]
  16. Bhattacharjee, S.; Mtenkirch, R.A.; Sacksteder, K.J. The effect of ambient pressure on flame spread over thin cellulosic fuel in a quiescent microgravity environment. Heat Transf. 1996, 118, 181–190. [Google Scholar] [CrossRef]
  17. Carmignani, L.; Dong, K.; Bhattacharjee, S. Radiation from Flames in a Microgravity Environment: Experimental and Numerical Investigations. Fire Technol. 2020, 56, 33–47. [Google Scholar] [CrossRef]
  18. Donzeau, M.; Esclapez, L.; Day, M.; Chien, Y.-C. Recent Progress on Numerical Modeling for Microgravity Electric Field Flames. In Proceedings of the 13th U.S. National Combustion Meeting, College Station, TX, USA, 19–22 March 2023. [Google Scholar]
  19. Mcgrattan, K.; Mcdermott, R.; Hostikka, S.; Floyd, J. Fire Dynamics Simulator; Version 6; User’s Guide; NIST Special Publication: Gaithersburg, MD, USA, 2018. [Google Scholar]
  20. Fuentes, A.; Legros, G.; Claverie, A.; Joulain, P.; Vantelon, J.P.; Torero, J.L. Influence of the oxidizer velocities on the sooting behaviour of non-buoyant laminar diffusion flame. Proc. Combust. Inst. 2007, 31, 2685–2692. [Google Scholar] [CrossRef]
  21. Legros, G.; Joulain, P.; Vantelon, J.P.; Fuentes, A.; Torero, J.L. Soot volume fraction measurements in a three dimensional laminar diffusion flame established in microgravity. Combust. Sci. Technol. 2006, 178, 178–180. [Google Scholar] [CrossRef]
  22. Leung, K.M.; Lindstedt, R.P.; Jones, W.P. A simplified reaction mechanism for soot formation in nonpremixed flames. Combust. Flame 1991, 87, 289–305. [Google Scholar] [CrossRef]
  23. Guibaud, A.; Consalvi, J.L.; Orlac, J.M.; Citerne, O.J.M.; Legros, G. Soot production and radiative heat transfer in opposed flame spread over a polyethylene insulated wire in microgravity. Fire Technol. 2019, 56, 287–314. [Google Scholar] [CrossRef]
  24. Moss, J.B.; Stewart, C.D.; Young, K.J. Modelling soot formation and burnout in a high temperature laminar diffusion flame burning under oxygen-enriched conditions. Combust. Flame 1995, 101, 491–500. [Google Scholar] [CrossRef]
  25. Beji, T.; Zhang, J.; Delichatsios, M.A. Determination of soot formation rate from laminar smoke point measurements. Combust. Sci. Technol. 2008, 180, 927940. [Google Scholar] [CrossRef]
  26. Hunt, R.A. Relation of smoke point to molecular structure. Ind. Eng. Chem. 1953, 45, 602606. [Google Scholar] [CrossRef]
  27. Lee, K.B.; Thring, M.W.; Beer, J.M. On the rate of combustion of soot in a laminar soot flame. Combust. Flame 1962, 6, 137–145. [Google Scholar] [CrossRef]
  28. Kanury, A.M. Introduction to Combustion Phenomena; Gordon: New York, NY, USA, 1984; ISBN 0-677-02690-0. [Google Scholar]
  29. Wang, H.Y.; Merino, J.L.F.; Dagaut, P. Effects of soot formation on shape of a nonpremixed laminar flame established in a shear boundary layer in microgravity. J. Phys. Conf. Ser. 2011, 327, 012038. [Google Scholar] [CrossRef]
  30. Wang, H.Y.; Decamps, N. Effects of oxygen concentration of oxidizer flow on laminar diffusion flame established over liquid fuel beds at microgravity. Metascience Aerosp. 2024, 1, 159–184. [Google Scholar] [CrossRef]
  31. Manescau, B.; Wang, H.Y.; Garo, J.P.; Coudour, B.; Acherar, L. Impact of fuel type on fire dynamics in mechanically ventilated compartment as a consequence of closing inlet vent. J. Fire Technol. 2021, 58, 1509–1544. [Google Scholar] [CrossRef]
Figure 1. Schematization of experimental set-up and coordinate system in numerical simulation.
Figure 1. Schematization of experimental set-up and coordinate system in numerical simulation.
Sci 07 00075 g001
Figure 2. Experimental and numerical flame shapes on the symmetrical plane (x, z). (a) LSP model. (b) Video image. (c) Moss model.
Figure 2. Experimental and numerical flame shapes on the symmetrical plane (x, z). (a) LSP model. (b) Video image. (c) Moss model.
Sci 07 00075 g002
Figure 3. Iso-contours of the computed HRR per unit volume on the symmetrical plane (x, z).
Figure 3. Iso-contours of the computed HRR per unit volume on the symmetrical plane (x, z).
Sci 07 00075 g003
Figure 4. Iso-contours of the predicted oxygen concentration on the symmetrical plane (x, z).
Figure 4. Iso-contours of the predicted oxygen concentration on the symmetrical plane (x, z).
Sci 07 00075 g004
Figure 5. Comparison between computed and measured soot volume fractions on symmetrical plane (x, z). (a) Measured soot volume fraction, fv. (b) Predicted soot volume fraction from LSP. (c) Predicted soot volume fraction from Moss model.
Figure 5. Comparison between computed and measured soot volume fractions on symmetrical plane (x, z). (a) Measured soot volume fraction, fv. (b) Predicted soot volume fraction from LSP. (c) Predicted soot volume fraction from Moss model.
Sci 07 00075 g005
Figure 6. Predicted flame structure on the symmetrical plane (x, z) at U0 = 0.2 m/s and Yo = 0.25. (a) Flame over a flat heptane surface. (b) Heptane flame behind a backward-facing step. (c) Flame over a flat dodecane surface.
Figure 6. Predicted flame structure on the symmetrical plane (x, z) at U0 = 0.2 m/s and Yo = 0.25. (a) Flame over a flat heptane surface. (b) Heptane flame behind a backward-facing step. (c) Flame over a flat dodecane surface.
Sci 07 00075 g006
Figure 7. Temperature fields of heptane and dodecane flames on the cross stream plane at U0 = 0.2 m/s and Yo = 0.25.
Figure 7. Temperature fields of heptane and dodecane flames on the cross stream plane at U0 = 0.2 m/s and Yo = 0.25.
Sci 07 00075 g007
Figure 8. Computed burning rate of heptane and dodecane for various oxygen concentrations and oxidizer flow velocities in different configuration. (a) Heptane over a flat surface. (b) Dodecane over a flat surface. (c) Heptane behind a step with various H/Lp. (d) Heptane behind a step with various U0.
Figure 8. Computed burning rate of heptane and dodecane for various oxygen concentrations and oxidizer flow velocities in different configuration. (a) Heptane over a flat surface. (b) Dodecane over a flat surface. (c) Heptane behind a step with various H/Lp. (d) Heptane behind a step with various U0.
Sci 07 00075 g008
Figure 9. Fields of soot volume fraction of heptane flame for various oxidizer flow velocities at Yo = 0.25.
Figure 9. Fields of soot volume fraction of heptane flame for various oxidizer flow velocities at Yo = 0.25.
Sci 07 00075 g009
Figure 10. Fields of soot volume fraction of heptane flame for various oxidizer flow velocities at Yo = 0.35.
Figure 10. Fields of soot volume fraction of heptane flame for various oxidizer flow velocities at Yo = 0.35.
Sci 07 00075 g010aSci 07 00075 g010b
Figure 11. Fields of soot volume fraction of dodecane flame for various oxidizer flow velocities at Yo = 0.25.
Figure 11. Fields of soot volume fraction of dodecane flame for various oxidizer flow velocities at Yo = 0.25.
Sci 07 00075 g011
Figure 12. Fields of soot volume fraction of dodecane flame for various oxidizer flow velocities at Yo = 0.35.
Figure 12. Fields of soot volume fraction of dodecane flame for various oxidizer flow velocities at Yo = 0.35.
Sci 07 00075 g012aSci 07 00075 g012b
Figure 13. Soot deposition along wall surface for various oxidizer flow velocities at Yo = 0.25. (a) Heptane flame. (b) Dodecane flame.
Figure 13. Soot deposition along wall surface for various oxidizer flow velocities at Yo = 0.25. (a) Heptane flame. (b) Dodecane flame.
Sci 07 00075 g013
Figure 14. Fields of CO production from heptane flame at Yo = 0.25 on the symmetrical plane (x, z) for various oxidizer flow velocities.
Figure 14. Fields of CO production from heptane flame at Yo = 0.25 on the symmetrical plane (x, z) for various oxidizer flow velocities.
Sci 07 00075 g014
Figure 15. Fields of CO production from heptane flame at Yo = 0.35 on the symmetrical plane (x, z) for various oxidizer flow velocities.
Figure 15. Fields of CO production from heptane flame at Yo = 0.35 on the symmetrical plane (x, z) for various oxidizer flow velocities.
Sci 07 00075 g015
Figure 16. Fields of CO production from dodecane flame at Yo = 0.25 on the symmetrical plane (x, z) for various oxidizer flow velocities.
Figure 16. Fields of CO production from dodecane flame at Yo = 0.25 on the symmetrical plane (x, z) for various oxidizer flow velocities.
Sci 07 00075 g016
Figure 17. Fields of CO production from dodecane flame at Yo = 0.35 on the symmetrical plane (x, z) for various oxidizer flow velocities.
Figure 17. Fields of CO production from dodecane flame at Yo = 0.35 on the symmetrical plane (x, z) for various oxidizer flow velocities.
Sci 07 00075 g017
Figure 18. Evolution of the mean CO production in the forward direction at various oxidizer flow speeds and oxygen concentrations. (a) Heptane flame. (b) Dodecane flame.
Figure 18. Evolution of the mean CO production in the forward direction at various oxidizer flow speeds and oxygen concentrations. (a) Heptane flame. (b) Dodecane flame.
Sci 07 00075 g018
Figure 19. Impact of crossflow velocity on CO2 production at two oxygen concentrations. (a) Heptane flame. (b) Dodecane flame.
Figure 19. Impact of crossflow velocity on CO2 production at two oxygen concentrations. (a) Heptane flame. (b) Dodecane flame.
Sci 07 00075 g019
Figure 20. Fields of unburnt hydrocarbons volume fraction from heptane flame at Yo = 0.25 on the symmetrical plane (x, z) for various oxidizer flow velocities.
Figure 20. Fields of unburnt hydrocarbons volume fraction from heptane flame at Yo = 0.25 on the symmetrical plane (x, z) for various oxidizer flow velocities.
Sci 07 00075 g020
Figure 21. Fields of unburnt hydrocarbons volume fraction from heptane flame at Yo = 0.35 on the symmetrical plane (x, z) for various oxidizer flow velocities.
Figure 21. Fields of unburnt hydrocarbons volume fraction from heptane flame at Yo = 0.35 on the symmetrical plane (x, z) for various oxidizer flow velocities.
Sci 07 00075 g021
Figure 22. Fields of unburnt hydrocarbons volume fraction from dodecane flame at Yo = 0.25 on the symmetrical plane (x, z) for various oxidizer flow velocities.
Figure 22. Fields of unburnt hydrocarbons volume fraction from dodecane flame at Yo = 0.25 on the symmetrical plane (x, z) for various oxidizer flow velocities.
Sci 07 00075 g022
Figure 23. Fields of unburnt hydrocarbons concentration from dodecane flame at Yo = 0.35 on the symmetrical plane (x, z) for various oxidizer flow velocities.
Figure 23. Fields of unburnt hydrocarbons concentration from dodecane flame at Yo = 0.35 on the symmetrical plane (x, z) for various oxidizer flow velocities.
Sci 07 00075 g023
Figure 24. Influences of crossflow speed and oxygen concentration on formation of unburnt fuel. (a) Heptane flame. (b) Dodecane flame.
Figure 24. Influences of crossflow speed and oxygen concentration on formation of unburnt fuel. (a) Heptane flame. (b) Dodecane flame.
Sci 07 00075 g024
Table 1. AIT and LFL/UFL at ambient temperature of 25 °C.
Table 1. AIT and LFL/UFL at ambient temperature of 25 °C.
ParameterCOHeptaneDodecane
LFL12.5%4%0.6%
UFL74%75%4.7%
AIT (°C)588520204
Disclaimer/Publisher’s Note: The statements, opinions and data contained in all publications are solely those of the individual author(s) and contributor(s) and not of MDPI and/or the editor(s). MDPI and/or the editor(s) disclaim responsibility for any injury to people or property resulting from any ideas, methods, instructions or products referred to in the content.

Share and Cite

MDPI and ACS Style

Wang, H.; Decamps, N. Risk of Flame Acceleration Due to Accumulation of Unburnt Volatiles in Zero-Gravity Condition. Sci 2025, 7, 75. https://doi.org/10.3390/sci7020075

AMA Style

Wang H, Decamps N. Risk of Flame Acceleration Due to Accumulation of Unburnt Volatiles in Zero-Gravity Condition. Sci. 2025; 7(2):75. https://doi.org/10.3390/sci7020075

Chicago/Turabian Style

Wang, Huiying, and Némo Decamps. 2025. "Risk of Flame Acceleration Due to Accumulation of Unburnt Volatiles in Zero-Gravity Condition" Sci 7, no. 2: 75. https://doi.org/10.3390/sci7020075

APA Style

Wang, H., & Decamps, N. (2025). Risk of Flame Acceleration Due to Accumulation of Unburnt Volatiles in Zero-Gravity Condition. Sci, 7(2), 75. https://doi.org/10.3390/sci7020075

Article Metrics

Back to TopTop