Damage Sensitive Signals for the Assessment of the Conditions of Wind Turbine Rotor Blades Using Electromagnetic Waves
Abstract
:1. Introduction
2. Materials and Methods
2.1. Preliminaries and Notations Related to Maxwell’s Equations
2.2. Electromagnetic Waves
2.3. Methods
3. Results
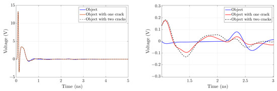
3.1. Using the EM Waves to Observe and See the Effects of Cracks in the Rectangular Cuboid Design
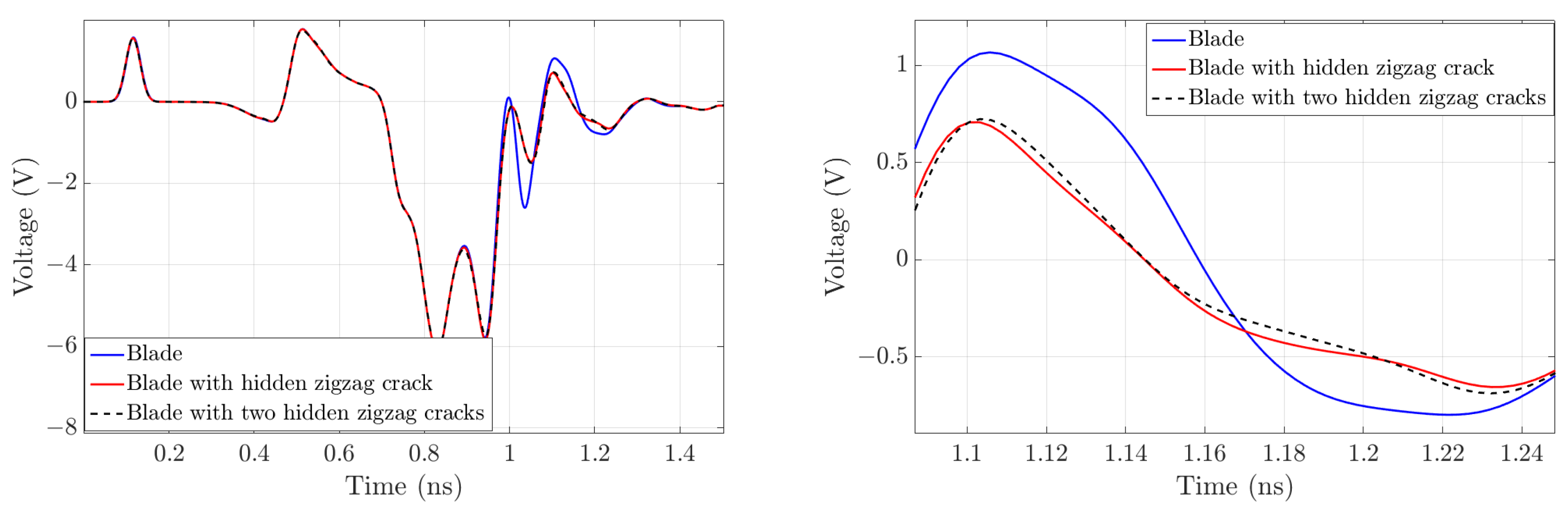
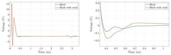
3.2. Using the EM Waves to Observe and See the Cracks in the Simple Blade Design
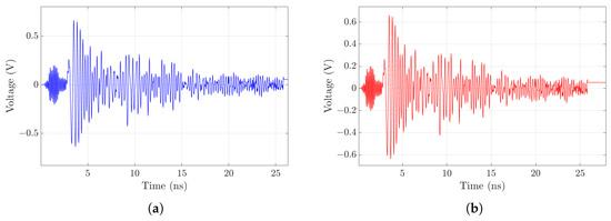
3.3. The Fast Fourier Transform (FFT)
3.4. Source in Different Locations with Hidden Cracks (Internal Cracks)
3.5. Using the EM Waves to Observe and See the Cracks in the Intricate Rotor Blade Design
4. Discussion
5. Conclusions
Author Contributions
Funding
Institutional Review Board Statement
Informed Consent Statement
Data Availability Statement
Acknowledgments
Conflicts of Interest
Abbreviations
| NDT | Non-Destructive Testing |
| EMW | Electromagnetic wave |
| GEW | Guided electromagnetic waves |
| EM | Electromagnetic |
| E | Electric field |
| H | Magnetic field |
| FDTD | Finite Difference Time Domain |
| FFT | Fast Fourier Transform |
| UAV | Unmanned Aerial Vehicle |
References
- Hevia-Koch, P.; Jacobsen, H.K. Comparing offshore and onshore wind development considering acceptance costs. Prepr. Energy Policy 2019, 125, 9–19. [Google Scholar] [CrossRef]
- López-Querol, S.; Cui, L.; Bhattacharya, S. Numerical methods for SSI analysis of Offshore Wind Turbine Foundations. In Wind Energy: A Hand Book for Onshore and Offshore Turbines; Elsevier: Amsterdam, The Netherlands, 2017; Chapter 14; ISBN 978-0-12-809451-8. [Google Scholar]
- Bernuzzi, C.; Crespi, P.; Montuori, R.; Nastri, E.; Simoncelli, M.; Stochino, F.; Zucca, M. Resonance of steel wind turbines: Problems and solutions. Structures 2021, 32, 65–75. [Google Scholar] [CrossRef]
- Mishnaevsky, L.; Branner, K.; Petersen, H.N.; Beauson, J.; McGugan, M.; Sørensen, B.F. Materials for Wind Turbine Blades: An Overview. Materials 2017, 10, 1285. [Google Scholar] [CrossRef] [PubMed]
- Chikhradze, N.; Marquis, F.; Abashidze, G. Hybrid fiber and nanopowder reinforced composites for wind turbine blades. J. Mater. Res. Technol. 2015, 4, 60–67. [Google Scholar] [CrossRef]
- Thomsen, O.T. Sandwich Materials for Wind Turbine Blades—Present and Future. J. Sandw. Struct. Mater. 2009, 11, 7–26. [Google Scholar] [CrossRef]
- Schubel, P.J.; Crossley, R.J. Wind Turbine Blade Design. Energies 2012, 5, 3425–3449. [Google Scholar] [CrossRef]
- Mühle, F.; Adaramola, S.M.; Sætran, L. The effect of the number of blades on wind turbine wake—A comparison between 2-and 3-bladed rotors. J. Phys. Conf. Ser. 2016, 753, 032017. [Google Scholar] [CrossRef]
- Adeyeye, K.; Ijumba, N.; Colton, J. The Effect of the Number of Blades on the Efficiency of A Wind Turbine. IOP Conf. Ser. Earth Environ. Sci. 2021, 801, 012020. [Google Scholar] [CrossRef]
- Bai, H.; Aoues, Y.; Cherfils, J.; Lemosse, D. Design of an Active Damping System for Vibration Control of Wind Turbine Towers. Infrastructures 2021, 6, 162. [Google Scholar] [CrossRef]
- Rothwell, E.J.; Cloud, M.J. Electromagnetics; CRC Press: Boca Raton, FL, USA, 2001. [Google Scholar] [CrossRef]
- Troost, P. Practical Applications New NDT techniques on Composite Material in the Aerospace Industry. Senior NDT Engineer, TTat Europe bu. 2013. Available online: http://ndt.aero/images/Presentation_26_Nov_2014 (accessed on 26 November 2013).
- Gholizadeh, S. A review of the non-destructive testing methods of composite materials. In Proceedings of the XV Portugese Conference on Fracture, PCF 2016, Paco de Arcos, Portugal, 10–12 February 2016; Procedia Structural Integrity. pp. 50–57. [Google Scholar] [CrossRef]
- Ni, Q.Q.; Hong, J.; Xu, P.; Xu, Z.; Khvostunkov, K.; Xia, H. Damage detection of CFRP composites by electromagnetic wave nondestructive testing (EMW-NDT). Compos. Sci. Technol. 2021, 210, 108839. [Google Scholar] [CrossRef]
- Moll, J. Guided electromagnetic waves for damage detection and localization in metallic plates: Numerical and experimental results. Int. J. Microw. Wirel. Technol. 2020, 12, 455–460. [Google Scholar] [CrossRef]
- Moll, J.; Nguyen, D.H.; Krozer, V. Guided Electromagnetic Waves for Damage Localization in a Structural Health Monitoring Framework. In European Workshop on Structural Health Monitoring; Springer International Publishing: Berlin/Heidelberg, Germany, 2021; pp. 185–192. [Google Scholar] [CrossRef]
- Tang, Q.; Du, C.; Hu, J.; Wang, X.; Yu, T. Surface Rust Detection Using Ultrasonic Waves in a Cylindrical Geometry by Finite Element Simulation. Infrastructures 2018, 3, 29. [Google Scholar] [CrossRef]
- Erdogmus, E.; Garcia, E.; Amiri, A.S.; Schuller, M. A Novel Structural Health Monitoring Method for Reinforced Concrete Bridge Decks Using Ultrasonic Guided Waves. Infrastructures 2020, 5, 49. [Google Scholar] [CrossRef]
- Sengsri, P.; Ngamkhanong, C.; de Melo, A.L.O.; Papaelias, M.; Kaewunruen, S. Damage Detection in Fiber-Reinforced Foamed Urethane Composite Railway Bearers Using Acoustic Emissions. Infrastructures 2020, 5, 50. [Google Scholar] [CrossRef]
- Alalade, M.; Nguyen-Tuan, L.; Wuttke, F.; Lahmer, T. Damage identification in gravity dams using dynamic coupled hydro-mechanical XFEM. Int. J. Mech. Mater. Des. 2017, 14, 157–175. [Google Scholar] [CrossRef]
- Alalade, M. An Enhanced Full Waveform Inversion Method for the Structural Analysis of Dams. Ph.D. Thesis, Bauhaus-Universität Weimar, Weimar, Germany, 2019. [Google Scholar]
- Lahmer, T.; Schickert, M.; Reichert, I. Possibilities to Enhance Tomography Imaging of Concrete Structures by the Full Waveform Inversion. In Proceedings of the SMAR 2019—Fifth International Conference on Smart Monitoring, Assessment and Rehabilitation of Civil Structures, Potsdam, Germany, 27–29 August 2019. [Google Scholar]
- Kalluri, D.K. Electromagnetic Waves, Materials, and Computation with MATLAB, 1st ed.; CRC Press: Boca Raton, FL, USA; New York, NY, USA, 2011; ISBN 978-1-4398-3867-9. [Google Scholar]
- Novotny, L. Lecture Notes on Electromagnetic Fields and Waves; ETH Zürich, Photonics Laboratory: Zürich, Switzerland, 2013. [Google Scholar]
- Maxwell, J.C. A Treatise on Electricity and Magnetism; Oxford University Press: Oxford, UK, 1873. [Google Scholar]

































Publisher’s Note: MDPI stays neutral with regard to jurisdictional claims in published maps and institutional affiliations. |
© 2022 by the authors. Licensee MDPI, Basel, Switzerland. This article is an open access article distributed under the terms and conditions of the Creative Commons Attribution (CC BY) license (https://creativecommons.org/licenses/by/4.0/).
Share and Cite
Al-Yasiri, Z.R.S.; Mutashar, H.M.; Gürlebeck, K.; Lahmer, T. Damage Sensitive Signals for the Assessment of the Conditions of Wind Turbine Rotor Blades Using Electromagnetic Waves. Infrastructures 2022, 7, 104. https://doi.org/10.3390/infrastructures7080104
Al-Yasiri ZRS, Mutashar HM, Gürlebeck K, Lahmer T. Damage Sensitive Signals for the Assessment of the Conditions of Wind Turbine Rotor Blades Using Electromagnetic Waves. Infrastructures. 2022; 7(8):104. https://doi.org/10.3390/infrastructures7080104
Chicago/Turabian StyleAl-Yasiri, Zainab Riyadh Shaker, Hayder Majid Mutashar, Klaus Gürlebeck, and Tom Lahmer. 2022. "Damage Sensitive Signals for the Assessment of the Conditions of Wind Turbine Rotor Blades Using Electromagnetic Waves" Infrastructures 7, no. 8: 104. https://doi.org/10.3390/infrastructures7080104
APA StyleAl-Yasiri, Z. R. S., Mutashar, H. M., Gürlebeck, K., & Lahmer, T. (2022). Damage Sensitive Signals for the Assessment of the Conditions of Wind Turbine Rotor Blades Using Electromagnetic Waves. Infrastructures, 7(8), 104. https://doi.org/10.3390/infrastructures7080104

