The Relationship Between the Burpee Movement Program and Strength and Endurance Performance Measures in Active Young Adults: A Cross-Sectional Analysis
Abstract
1. Introduction
2. Materials and Methods
2.1. Experimental Approach to the Problem
2.2. Participants
2.3. Procedures
The Burpee Movement Program (BMP)
2.4. Power Performance
2.5. Endurance Performance
2.6. Data Processing
2.7. Data Analysis
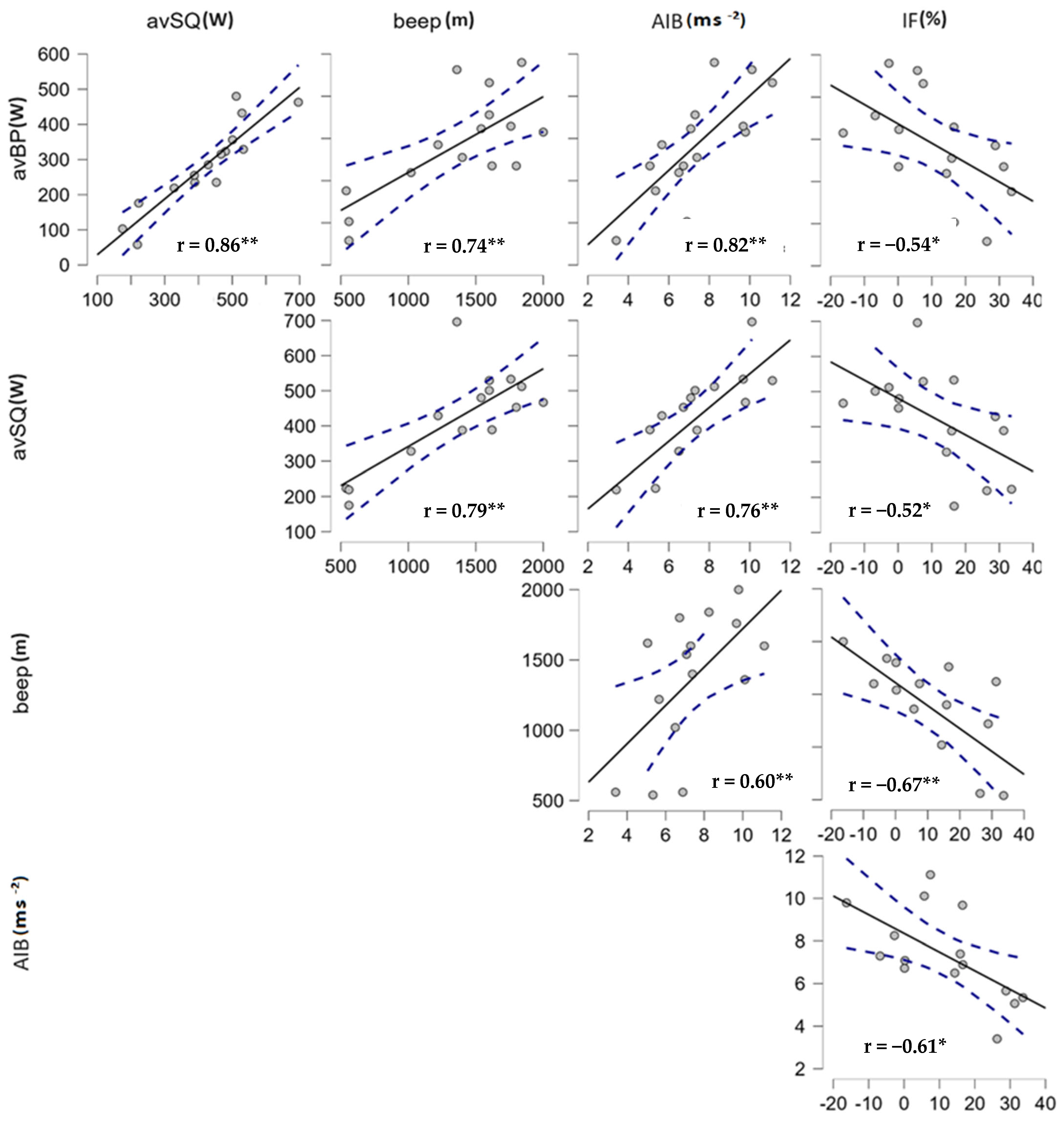
3. Results
4. Discussion
5. Conclusions
Author Contributions
Funding
Institutional Review Board Statement
Informed Consent Statement
Data Availability Statement
Acknowledgments
Conflicts of Interest
References
- Androulakis-Korakakis, P.; Langdown, L.; Lewis, A.; Fisher, J.P.; Gentil, P.; Paoli, A.; Steele, J. Effects of exercise modality during additional “high-intensity interval training” on aerobic fitness and strength in powerlifting and strongman athletes. J. Strength Cond. Res. 2018, 32, 450–457. [Google Scholar] [CrossRef] [PubMed]
- Buchheit, M.; Laursen, P.B. High-intensity interval training, solutions to the programming puzzle: Part I: Cardiopulmonary emphasis. Sports Med. 2013, 43, 313–338. [Google Scholar] [CrossRef] [PubMed]
- Gibala, M.J.; McGee, S.L. Metabolic adaptations to short-term high-intensity interval training: A little pain for a lot of gain? Exerc. Sport Sci. Rev. 2008, 36, 58–63. [Google Scholar] [CrossRef]
- Hubinák, A.; Šiška, Ľ.; Krška, P. High intensity interval training for boxing: Case study. J. Sports Sci. Nutr. 2024, 5, 20–24. [Google Scholar] [CrossRef]
- Liu, Y.; Bin Abdullah, B.; Bin Abu Saad, H. Effects of high-intensity interval training on strength, speed, and endurance performance among racket sports players: A systematic review. PLoS ONE 2024, 19, e0295362. [Google Scholar] [CrossRef]
- Megahed, M.; Al-Torbany, M.; Al-Ghool, M.; Tarek, Z. Effects of high-intensity interval training using “Tabata protocol” on respiratory parameters, special endurance, and 800-m runners’ performance. J. Hum. Sport Exerc. 2023, 18, 842–857. [Google Scholar] [CrossRef]
- Bai, J.; Di, C.; Xiao, L.; Evenson, K.R.; LaCroix, A.Z.; Crainiceanu, C.M.; Buchner, D.M. An activity index for raw accelerometry data and its comparison with other activity metrics. PLoS ONE 2016, 11, e0160644. [Google Scholar] [CrossRef]
- Pavel, S.I.; Antohi, N. Contributions regarding the development of speed through specific football action means for the fifth grade physical education lesson. Gymn. Sci. J. Educ. Sports Health 2013, XIV, 182. [Google Scholar]
- Yu, H.; Kulinna, P.H.; Lorenz, K.A. An integration of mobile applications into physical education programs. Strategies 2018, 31, 13–19. [Google Scholar] [CrossRef]
- Gordon, B.A.; Bruce, L.; Benson, A.C. Physical activity intensity can be accurately monitored by smartphone global positioning system ‘app’. Eur. J. Sport Sci. 2016, 16, 624–631. [Google Scholar] [CrossRef]
- Ariff, M.I.M.; Roslan, N.F.; Salleh, K.A.; Mohamad, M. Mobile fitness application for beginners. Indones. J. Electr. Eng. Comput. Sci. 2021, 24, 500–506. [Google Scholar] [CrossRef]
- Biagetti, G.; Crippa, P.; Falaschetti, L.; Turchetti, C. Classifier level fusion of accelerometer and sEMG signals for automatic fitness activity diarization. Sensors 2018, 18, 2850. [Google Scholar] [CrossRef] [PubMed]
- Morris, D.; Saponas, T.S.; Guillory, A.; Kelner, I. RecoFit: Using a wearable sensor to find, recognize, and count repetitive exercises. In Proceedings of the SIGCHI Conference on Human Factors in Computing Systems, Toronto, ON, Canada, 26 April–1 May 2014; pp. 3225–3234. [Google Scholar]
- Pernek, I.; Kurillo, G.; Stiglic, G.; Bajcsy, R. Recognizing the intensity of strength training exercises with wearable sensors. J. Biomed. Inform. 2015, 58, 145–155. [Google Scholar] [CrossRef]
- Ouergui, I.; Houcine, N.; Marzouki, H.; Davis, P.; Zaouali, M.; Franchini, E.; Gmada, N.; Bouhlel, E. Development of a noncontact kickboxing circuit training protocol that simulates elite male kickboxing competition. J. Strength Cond. Res. 2015, 29, 3405–3411. [Google Scholar] [CrossRef]
- Hatfield, F. General Points of Conditioning for Boxers. 2003. Available online: http://www.bodybuilding.com/fun/luis14.htm (accessed on 30 April 2019).
- Siska, L.; Brodani, J. Use of burpees in combat sports conditioning training—A Pilot Study. Int. J. Sports Phys. Educ. 2017, 3, 1–6. [Google Scholar] [CrossRef]
- Šiška, Ľ.; Hubinák, A.; Krška, P.; Broďáni, J. Development of specific training load in boxing. J. Phys. Educ. Sport 2020, 20, 2580–2585. [Google Scholar] [CrossRef]
- Šiška, Ľ.; Broďáni, J. Decrease in performance during repeated short sprint Runs. Int. J. Physiol. Nutr. Phys. Educ. 2017, 2, 239–242. [Google Scholar]
- Šiška, Ľ.; Hubinák, A.; Krška, P.; Balint, G. Assessment of exercise intensity using the Phyphox mobile app. J. Phys. Educ. Sport 2024, 24, 1840–1848. [Google Scholar] [CrossRef]
- Moura, F.C.D.; Machado, A.A.N.; Vieira, L.L.; Abreu, E.S.D.; Soares, P.M.; Brito, G.A.D.C.; Costa, E.E. Jiu-jitsu athletes’ cardiovascular responses in an adapted burpee test. Asian J. Sci. Technol. 2016, 7, 2208–2212. [Google Scholar]
- Podstawski, R.; Markowski, P.; Clark, C.C.T.; Choszcz, D.; Ihász, F.; Stojiljković, S.; Gronek, P. International Standards for the 3-Minute Burpee Test: High-Intensity Motor Performance. J. Hum. Kinet. 2019, 69, 137–147. [Google Scholar] [CrossRef]
- Kojić, F.; Mandić, D.; Pelemiš, V.; Đurić, S. Relationship between the 30-second burpee test variation and anthropometric and motor dimensions in female university students. Kinesiol. Slov. 2021, 27, 21–34. [Google Scholar] [CrossRef]
- Polevoy, G. The influence of Burpee on the stability of attention of schoolchildren. Mot. Rev. Educ. Física 2022, 28, e10220004422. [Google Scholar] [CrossRef]
- Tai, J.Q.J.; Wong, S.F.; Chow, S.K.M.; Choo, D.H.W.; Choo, H.C.; Sahrom, S.; Aziz, A.R. Assessing physical fitness of athletes in a confined environment during prolonged self-isolation: Potential usefulness of the test of maximal number of burpees performed in 3 minutes. Int. J. Environ. Res. Public Health 2022, 19, 5928. [Google Scholar] [CrossRef] [PubMed]
- Pérez-Ifrán, P.; Magallanes, C.A.; Castro, F.A.d.S.; Astorino, T.A.; Benítez-Flores, S. Extremely Low-Volume Burpee Interval Training Equivalent to 8 Minutes Per Session Improves Vertical Jump Compared with Sprint Interval Training in Real-World Circumstances. J. Strength Cond. Res. 2024, 38, 10–20. [Google Scholar] [CrossRef] [PubMed]
- iška, Ľ.; Židek, D.; Tkačik, Š.; Balint, G. Acceleration analysis and detection algorithm for burpees. J. Phys. Educ. Sport 2024, 24, 1066–1073. [Google Scholar] [CrossRef]
- Lee, Y.S.; Cho, S.B. Activity recognition using hierarchical hidden markov models on a smartphone with 3D accelerometer. In Hybrid Artificial Intelligent Systems: 6th International Conference, HAIS 2011, Proceedings, Part I 6, Wroclaw, Poland, 23–25 May 2011; Springer: Berlin/Heidelberg, Germany, 2011; pp. 460–467. [Google Scholar]
- Quiroz, J.C.; Banerjee, A.; Dascalu, S.M.; Lau, S.L. Feature selection for activity recognition from smartphone accelerometer data. Intell. Autom. Soft Comput. 2017, 24, 1–9. [Google Scholar] [CrossRef]
- Straczkiewicz, M.; James, P.; Onnela, J.-P. A systematic review of smartphone-based human activity recognition methods for health research. npj Digit. Med. 2021, 4, 148. [Google Scholar] [CrossRef]
- Soriano, M.A.; Jiménez-Reyes, P.; Rhea, M.R.; Marín, P.J. The Optimal Load for Maximal Power Production During Lower-Body Resistance Exercises: A Meta-Analysis. Sports Med. 2015, 45, 1191–1205. [Google Scholar] [CrossRef] [PubMed]
- Soriano, M.A.; Suchomel, T.J.; Marín, P.J. The Optimal Load for Maximal Power Production During Upper-Body Resistance Exercises: A Meta-Analysis. Sports Med. 2017, 47, 757–768. [Google Scholar] [CrossRef] [PubMed]
- Zemková, E.; Jeleň, M.; Kováčiková, Z.; Ollé, G.; Vilman, T.; Hamar, D. Power outputs in the concentric phase of resistance exercises performed in the interval mode on stable and unstable surfaces. J. Strength Cond. Res. 2012, 26, 3230–3236. [Google Scholar] [CrossRef] [PubMed]
- Zemková, E.; Jeleň, M.; Ollé, G.; Vilman, T.; Hamar, D. Power production during bench press with different ranges of motion on stable and unstable surfaces. Hum. Mov. 2013, 14, 328–333. [Google Scholar] [CrossRef]
- Ramsbottom, R.; Brewer, J.; Williams, C. A progressive shuttle run test to estimate maximal oxygen uptake. Br. J. Sports Med. 1988, 22, 141–144. [Google Scholar] [CrossRef] [PubMed]
- Magee, M.K.; White, J.B.; Merrigan, J.J.; Jones, M.T. Does the Multistage 20-m Shuttle Run Test Accurately Predict VO2max in NCAA Division I Women Collegiate Field Hockey Athletes? Sports 2021, 9, 75. [Google Scholar] [CrossRef] [PubMed] [PubMed Central]
- Garnacho-Castaño, M.V.; López-Lastra, S.; Maté-Muñoz, J.L. Reliability and validity assessment of a linear position transducer. J. Sports Sci. Med. 2015, 14, 128–136. [Google Scholar] [PubMed] [PubMed Central]
- Suchomel, T.J.; Techmanski, B.S.; Kissick, C.R.; Comfort, P. Reliability, Validity, and Comparison of Barbell Velocity Measurement Devices during the Jump Shrug and Hang High Pull. J. Funct. Morphol. Kinesiol. 2023, 8, 35. [Google Scholar] [CrossRef] [PubMed] [PubMed Central]
- International Powerlifting Federation. International Powerlifting Federation Technical Rules 2019. Available online: http://www.powerlifting-ipf.com/rules/technical-rules.html (accessed on 31 December 2018).
- Macarilla, C.T.; Sautter, N.M.; Robinson, Z.P.; Juber, M.C.; Hickmott, L.M.; Cerminaro, R.M.; Benitez, B.; Carzoli, J.P.; Bazyler, C.D.; Zoeller, R.F.; et al. Accuracy of Predicting One-Repetition Maximum from Submaximal Velocity in the Barbell Back Squat and Bench Press. J. Hum. Kinet. 2022, 82, 201–212. [Google Scholar] [CrossRef] [PubMed] [PubMed Central]
- Pecho, J.; Kováčiková, Z.; Šiška, Ľ.; Mikulič, M.; Čurgali, M.; Štefan, L.; Zemková, E. The Three-Level Model of Factors Contributing to High-Intensity Intermittent Performance in Male Soccer Players. Int. J. Environ. Res. Public Health 2022, 19, 16402. [Google Scholar] [CrossRef] [PubMed] [PubMed Central]
- Spiteri, T.; Nimphius, S.; Hart, N.H.; Specos, C.; Sheppard, J.M.; Newton, R.U. Contribution of strength characteristics to change of direction and agility performance in female basketball athletes. J. Strength Cond. Res. 2014, 28, 2415–2423. [Google Scholar] [CrossRef] [PubMed]
- López-Laval, I.; Sitko, S.; Muñiz-Pardos, B.; Cirer-Sastre, R.; Calleja-González, J. Relationship between bench press strength and punch performance in male professional boxers. J. Strength Cond. Res. 2020, 34, 308–312. [Google Scholar] [CrossRef]
- Maud, P.J.; Shultz, B.B. Norms for the Wingate anaerobic test with comparison to another similar test. Res. Q. Exerc. Sport 1989, 60, 144–151. [Google Scholar] [CrossRef]
- Aziz, A.R.; Mukherjee, S.; Chia, M.; Teh, K.C. Relationship between measured maximal oxygen uptake and aerobic endurance performance with running repeated sprint ability in young elite soccer players. J. Sports Med. Phys. Fit. 2007, 47, 401. [Google Scholar]
- Sepriadi, S.; Syafruddin, S.; Khairuddin, K.; Rifki, M.S.; Alnedral, A.; Bafirman, B.; Ihsan, N.; Eldawaty, E.; Hassanah, P.; Yaslindo, Y.; et al. Fatigue Index, Haemoglobin Level and Physical Fitness: A Correlation Analysis Study. Retos Nuevas Perspect. Educ. Física Deporte Recreación 2024, 56, 864–869. [Google Scholar] [CrossRef]
- Weltman, A.; Snead, D.; Seip, R.; Schurrer, R.; Weltman, J.; Rutt, R.; Rogol, A. Percentages of maximal heart rate, heart rate reserve and VO2 max for determining endurance training intensity in male runners. Int. J. Sports Med. 1990, 11, 218–222. [Google Scholar] [CrossRef] [PubMed]




| M | SD | Min | Max | |
|---|---|---|---|---|
| Age | 22.53 | 5.50 | 19 | 31 |
| BH | 179.93 | 10.29 | 162 | 202 |
| BW | 74.60 | 13.39 | 50 | 95 |
| BMI | 22.88 | 2.58 | 19.05 | 28.08 |
| P-Shapiro–Wilk | Mean | SD | Min | Max | t Test | |
|---|---|---|---|---|---|---|
| AIB (ms−2) | 0.85 | 7.35 | 2.12 | 3.40 | 11.12 | |
| AIB1 | 0.66 | 7.56 | 1.94 | 3.66 | 11.04 | 1–2 N.S. |
| AIB2 | 0.78 | 7.38 | 2.27 | 3.43 | 11.65 | 1–3 * |
| AIB3 | 0.88 | 7.10 | 2.22 | 3.12 | 10.66 | 2–3 * |
| IF (%) | 0.76 | 11.42 | 14.87 | −16.28 | 33.63 | |
| IF1 | 0.71 | 6.71 | 11.60 | −9.33 | 30.02 | 1–2 N.S. |
| IF2 | 0.43 | 3.8 | 10.75 | −21.46 | 21.84 | 1–3 N.S. |
| IF3 | 0.05 | 12.48 | 12.99 | −21.95 | 28.96 | 2–3 ** |
| avBP (W) | 0.88 | 284.27 | 121.72 | 60.00 | 480.00 | BP–SQ ** |
| avSQ (W) | 0.47 | 421.47 | 139.51 | 175.00 | 696.00 | |
| Beep (m) | 0.06 | 1361.33 | 485.35 | 540.00 | 2000.00 | |
| Hrmax1 (bpm) | 0.42 | 164.20 | 10.62 | 150.00 | 183.00 | 1–2 ** |
| Hrmax2 | 0.22 | 170.67 | 9.69 | 156.00 | 184.00 | 1–3 ** |
| Hrmax3 | 0.09 | 173.47 | 10.05 | 155.00 | 185.00 | 2–3 ** |
| Hrmaxbeep | 0.16 | 188.13 | 6.86 | 173.00 | 203.00 | Hr bpm—beep ** |
| AIB1 | AIB2 | AIB3 | IF1 | IF2 | IF3 | ||
|---|---|---|---|---|---|---|---|
| AIB2 | 0.98 ** | IF2 | 0.55 * | ||||
| AIB3 | 0.96 ** | 0.98 ** | IF3 | 0.43 | 0.59 * | ||
| AIB | 0.99 ** | 0.99 ** | 0.99 ** | IF | 0.80 ** | 0.55 * | 0.72 ** |
Disclaimer/Publisher’s Note: The statements, opinions and data contained in all publications are solely those of the individual author(s) and contributor(s) and not of MDPI and/or the editor(s). MDPI and/or the editor(s) disclaim responsibility for any injury to people or property resulting from any ideas, methods, instructions or products referred to in the content. |
© 2024 by the authors. Licensee MDPI, Basel, Switzerland. This article is an open access article distributed under the terms and conditions of the Creative Commons Attribution (CC BY) license (https://creativecommons.org/licenses/by/4.0/).
Share and Cite
Šiska, Ľ.; Balint, G.; Židek, D.; Sedlacek, J.; Tkacik, Š.; Balint, N.T. The Relationship Between the Burpee Movement Program and Strength and Endurance Performance Measures in Active Young Adults: A Cross-Sectional Analysis. J. Funct. Morphol. Kinesiol. 2024, 9, 197. https://doi.org/10.3390/jfmk9040197
Šiska Ľ, Balint G, Židek D, Sedlacek J, Tkacik Š, Balint NT. The Relationship Between the Burpee Movement Program and Strength and Endurance Performance Measures in Active Young Adults: A Cross-Sectional Analysis. Journal of Functional Morphology and Kinesiology. 2024; 9(4):197. https://doi.org/10.3390/jfmk9040197
Chicago/Turabian StyleŠiska, Ľuboslav, Gheorghe Balint, Daniel Židek, Jaromir Sedlacek, Štefan Tkacik, and Nela Tatiana Balint. 2024. "The Relationship Between the Burpee Movement Program and Strength and Endurance Performance Measures in Active Young Adults: A Cross-Sectional Analysis" Journal of Functional Morphology and Kinesiology 9, no. 4: 197. https://doi.org/10.3390/jfmk9040197
APA StyleŠiska, Ľ., Balint, G., Židek, D., Sedlacek, J., Tkacik, Š., & Balint, N. T. (2024). The Relationship Between the Burpee Movement Program and Strength and Endurance Performance Measures in Active Young Adults: A Cross-Sectional Analysis. Journal of Functional Morphology and Kinesiology, 9(4), 197. https://doi.org/10.3390/jfmk9040197

