Hauling Snow Crab Traps in Eastern Canada: A Study Documenting Tension in Ropes
Abstract
1. Introduction
2. Materials and Methods
2.1. Study Site
2.2. Fishing Gear
- W—frames only (no netting, cone, or bait);
- TU—traditional traps unbaited;
- TB—traditional traps baited with squid.
2.3. Statistical Analysis
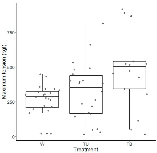
3. Results
3.1. Statistical Model—Phase A
3.2. Statistical Model—Phase B
4. Discussion
5. Conclusions
Author Contributions
Funding
Institutional Review Board Statement
Data Availability Statement
Acknowledgments
Conflicts of Interest
References
- Pettis, H.M.; Pace, R.M., III; Hamilton, P.K. North Atlantic Right Whale Consortium 2022 Annual Report Card; Report to the North Atlantic Right Whale Consortium; NARWC: Providence, RI, USA, 2023; 15p. [Google Scholar]
- Myers, H.J.; Moore, M.M.; Baumgartner, M.F.; Brillant, S.W.; Katona, S.K.; Knowlton, A.R.; Morissette, L.; Pettis, H.M.; Shester, G.; Werner, T.B. Ropeless fishing to prevent large whale entanglements: Ropeless Consortium report. Mar. Policy 2019, 107, 103587. [Google Scholar] [CrossRef]
- Pace, R.M., III; Williams, R.; Kraus, S.D.; Knowlton, A.R.; Pettis, H.M. Cryptic mortality of North Atlantic right whales. Conserv. Sci. Pract. 2021, 3, e346. [Google Scholar] [CrossRef]
- Moore, J.M. How we can all stop killing whales: A proposal to avoid whale entanglement in fishing gear. ICES J. Mar. Sci. 2019, 76, 781–786. [Google Scholar] [CrossRef]
- Johnson, A.; Salvador, G.; Kenney, J.; Robbins, J.; Kraus, S.; Landry, S.; Clapham, P. Fishing gear involved in entanglements of right and hump-back whales. Mar. Mammal Sci. 2005, 21, 635–645. [Google Scholar] [CrossRef]
- Knowlton, A.R.; Hamilton, P.K.; Marx, M.K.; Pettis, H.M.; Kraus, S.D. Monitoring North Atlantic right whale Eubalaena glacialis entanglement rates: A 30 yr retrospective. Mar. Ecol. 2012, 466, 293–302. [Google Scholar] [CrossRef]
- Knowlton, A.R.; Robbins, J.; Landry, S.; McKenna, H.A.; Kraus, S.D.; Werner, T.B. Effects of fishing rope strength on the severity of large whale entanglements. Conserv. Biol. 2016, 30, 318–328. [Google Scholar] [CrossRef] [PubMed]
- Henry, A.; Garron, M.; Reid, A.; Morin, D.M.; Ledwell, W.; Cole, T.V. Serious Injury and Mortality Determinations for Baleen Whale Stocks along the Gulf of Mexico, United States East Coast, and Atlantic Canadian Provinces, 2012–2016; US Department of Commerce: Washington, DC, USA, 2019. [CrossRef]
- Pace, R.M.; Cole, T.V.N.; Henry, A.G. Incremental fishing gear modifications fail to significantly reduce large whale serious injury rates. Endanger. Species Res. 2014, 26, 115–126. [Google Scholar] [CrossRef]
- NOAA Fisheries. Approved Weak Inserts for the Atlantic Large Whale Take Reduction Plan. 2023. Available online: https://www.fisheries.noaa.gov/new-england-mid-atlantic/marine-mammal-protection/approved-weak-inserts-atlantic-large-whale-take (accessed on 11 March 2024).
- Knowlton, A.R.; Malloy, R., Jr.; Kraus, S.D.; Werner, T.B.; Aquarium, N.E. Development and Evaluation of Reduced Breaking Strength Rope to Reduce Large Whale Entanglement Severity; Report to the Massachusetts Office of Energy and Environmental Affairs; Consortium for Wildlife Bycatch Reduction: Boston, MA, USA, 2018. [Google Scholar]
- Government of Canada. Cargo, Fumigation, and Tackle Regulations. Canada Shipping Act. 2021. Available online: https://laws-lois.justice.gc.ca/eng/regulations/sor-2007-128/FullText.html (accessed on 25 March 2024).
- Willse, N.; Summers, E.; Chen, Y. Vertical line requirements and North Atlantic Right Whale entanglement risk reduction for the Gulf of Maine American lobster fishery. Mar. Coast. Fish. 2022, 14, e10203. [Google Scholar] [CrossRef]
- DFO. Seafisheries Landed Value by Province, 2021. Zonal Interchange File [Database]. Ottawa. 2022. Available online: https://www.dfo-mpo.gc.ca/stats/commercial/land-debarq/sea-maritimes/s2021pv-eng.htm (accessed on 19 January 2024).
- Mullowney, D.R.J.; Baker, K.D.; Pedersen, E.J. Harvesting strategies during a forecasted decline in the Newfoundland and Labrador snow crab fishery. Fish. Res. 2020, 232, 105707. [Google Scholar] [CrossRef]
- DFO. Snow Crab Integrated Fisheries Management Plan for Newfoundland and Labrador. 2024. Available online: https://www.dfo-mpo.gc.ca/fisheries-peches/ifmp-gmp/snow-crab-neige/2019/index-eng.html (accessed on 11 March 2024).
- Vihtakari, M. ggOceanMaps: Plot Data on Oceanographic Maps Using ‘ggplot2’_. R Package Version 1.3.4. 2022. Available online: https://CRAN.R-project.org/package=ggOceanMaps (accessed on 12 March 2024).
- Brown, P.; Araya-Schmidt, T.; Bungay, T.; Winger, P.D. Assessing the technical and economic viability of galvanizing snow crab (Chionoecetes opilio) traps. Fishes 2024, 9, 109. [Google Scholar] [CrossRef]
- R Core Team. R: A Language and Environment for Statistical Computing. R Foundation for Statistical Computing, Vienna, Austria. 2022. Available online: https://www.R-project.org/ (accessed on 5 March 2024).
- Brooks, M.E.; Kristensen, K.; van Benthem, K.J.; Magnusson, A.; Berg, C.W.; Nielsen, A.; Skaug, H.J.; Maechler, M.; Bolker, B.M. glmmTMB balances speed and flexibility among packages for zero-inflated generalized linear mixed modeling. R J. 2017, 9, 378–400. [Google Scholar] [CrossRef]
- Akaike, H. A new look at the statistical model identification. IEEE Trans. Automat. Control 1974, 19, 716–723. [Google Scholar] [CrossRef]
- Bolker, B.; R Development Core Team. bbmle: Tools for General Maximum Likelihood Estimation. R Package Version 1.0.23.1. 2020. Available online: https://cran.r-project.org/web/packages/bbmle/bbmle.pdf (accessed on 12 March 2024).
- Hartig, F. DHARMa: Residual Diagnostics for Hierarchical (Multi-Level/Mixed) Regression Models. R Package Version 0.4.1. 2021. Available online: https://CRAN.R-project.org/package=DHARMa (accessed on 22 March 2024).
- Lenth, R. Emmeans: Estimated Marginal Means, aka Least-Squares Means. R Package Version 1.4. 2019. Available online: https://cran.r-project.org/web/packages/emmeans/emmeans.pdf (accessed on 22 March 2024).
- DFO. Snow Crab. 2015. Available online: https://www.dfo-mpo.gc.ca/fisheries-peches/sustainable-durable/fisheries-peches/snow-crab-eng.html (accessed on 11 March 2024).
- Dawe, E.G.; Colbourne, E.B. Distribution and demography of snow crab (Chionoecetes opilio) males on the Newfoundland and Labrador Shelf. In Crabs in Cold Water Regions: Biology, Management, and Economics; Paul, A.J., Dawe, E.G., Elner, R., Jamieson, G.S., Kruse, G.H., Otto, R.S., Sainte-Marie, B., Shirley, T.C., Woodby, D., Eds.; Alaska Sea Grant College Program, University of Alaska Fairbanks: Fairbanks, AK, USA, 2002; pp. 577–594. [Google Scholar] [CrossRef]
- Mullowney, D.; Morris, C.; Dawe, E.; Zagorsky, I.; Goryanina, S. Dynamics of snow crab (Chionoecetes opilio) movement and migration along the Newfoundland and Labrador and Eastern Barents Sea continental shelves. Rev. Fish Biol. Fish. 2018, 28, 435–459. [Google Scholar] [CrossRef]
- Cerbule, K.; Herrmann, B.; Grimaldo, E.; Brinkhof, J.; Sistiaga, M.; Larsen, R.B.; Bak-Jensen, Z. Ghost fishing efficiency by lost, abandoned or discarded pots in snow crab (Chionoecetes opilio) fishery. Mar. Pollut. Bull. 2023, 193, 115249. [Google Scholar] [CrossRef] [PubMed]







| Phase A Model | Estimate | Standard Error | Z Value | p-Value |
|---|---|---|---|---|
| Intercept | 363.89 | 81.08 | 4.488 | <0.0001 |
| Treatment: TU | −151.08 | 62.99 | −2.399 | 0.016 |
| Treatment: W | −212.26 | 61.88 | −3.430 | 0.001 |
| Wave height | 47.41 | 24.74 | 1.916 | 0.055 |
| Phase B Model | Estimate | Standard Error | Z Value | p-Value |
|---|---|---|---|---|
| Intercept | 834.812 | 51.339 | 16.261 | <0.0001 |
| Treatment: TU | −280.194 | 20.555 | −13.631 | <0.0001 |
| Treatment: W | −525.712 | 20.052 | −26.217 | <0.0001 |
| Wave height | 42.351 | 9.386 | 4.512 | <0.0001 |
| Wind direction: North | 129.808 | 53.680 | 2.418 | 0.016 |
| Wind direction: North East | 69.335 | 44.391 | 1.562 | 0.118 |
| Wind direction: North West | 52.598 | 39.152 | 1.343 | 0.179 |
| Wind direction: South | 91.517 | 44.803 | 2.043 | 0.041 |
| Wind direction: South West | 9.345 | 40.226 | −0.227 | 0.821 |
| Wind direction: West | 42.351 | 9.386 | 0.232 | 0.814 |
Disclaimer/Publisher’s Note: The statements, opinions and data contained in all publications are solely those of the individual author(s) and contributor(s) and not of MDPI and/or the editor(s). MDPI and/or the editor(s) disclaim responsibility for any injury to people or property resulting from any ideas, methods, instructions or products referred to in the content. |
© 2024 by the authors. Licensee MDPI, Basel, Switzerland. This article is an open access article distributed under the terms and conditions of the Creative Commons Attribution (CC BY) license (https://creativecommons.org/licenses/by/4.0/).
Share and Cite
Peck, G.; Araya-Schmidt, T.; Winger, P.D. Hauling Snow Crab Traps in Eastern Canada: A Study Documenting Tension in Ropes. Fishes 2024, 9, 154. https://doi.org/10.3390/fishes9050154
Peck G, Araya-Schmidt T, Winger PD. Hauling Snow Crab Traps in Eastern Canada: A Study Documenting Tension in Ropes. Fishes. 2024; 9(5):154. https://doi.org/10.3390/fishes9050154
Chicago/Turabian StylePeck, Genevieve, Tomas Araya-Schmidt, and Paul D. Winger. 2024. "Hauling Snow Crab Traps in Eastern Canada: A Study Documenting Tension in Ropes" Fishes 9, no. 5: 154. https://doi.org/10.3390/fishes9050154
APA StylePeck, G., Araya-Schmidt, T., & Winger, P. D. (2024). Hauling Snow Crab Traps in Eastern Canada: A Study Documenting Tension in Ropes. Fishes, 9(5), 154. https://doi.org/10.3390/fishes9050154

