Abstract
Rhamdiopsis krugi is a highly specialized troglobitic (exclusively subterranean) catfish endemic to the phreatic water bodies of twelve caves located within two separated metasedimentary basins in the region of Chapada Diamantina, Bahia state, Brazil. This species is included in the List of Endangered Fauna of Brazil, under the Vulnerable category—VU. In general, troglobites have different strategies for searching for food and reproductive partners, as well as unique behaviors. Knowledge of the reproductive periods, as well as its feeding habits, provides fundamental data for effective protection and species conservation. Biological aspects related to feeding habits and reproduction of R. krugi were addressed across six annual cycles, considering both dry and rainy seasons. For this, stomach content analysis, using the frequency of occurrence and volumetric index methods, as well as observation of the sex ratio and stage of maturation of the gonads were carried out for 148 individuals of R. krugi sampled in eight caves in Chapada Diamantina. Stomach volumes correlated with reproduction aspects across the dry and rainy seasons. These populations showed opportunistic carnivorous feeding habits, consuming both autochthonous and allochthonous items, with a preference for foraging in submerged guano deposits, which demonstrates the catfish’s strong dependence on bats. Regarding sex ratios, there was no marked seasonality; however, in rainy seasons, there was a higher proportion of maturing females, showing a reproductive tendency. During these periods, there was also a significantly higher number of stomachs with contents, showing seasonality in the diet. Specialized diet and dependence on rainy periods, especially in diet, corroborate the fragility of R. krugi, especially considering the changes in rainfall regimes in Brazil, with dry seasons exceeding eight months per year in the last ten years.
1. Introduction
The environmental variables of the hypogean environment are peculiar in that they are subject to regimes that are practically free of influences from the epigean environment. Variables linked to seasonality are hardly seen as mediators in the life cycles of troglobitic organisms (species restricted to the underground environment) and, in general, these species do not show ecological patterns linked to dry or rainy seasons [].
There is a great dependence on allochthonous production by various subterranean organisms. However, there are also individuals who manage to maintain themselves solely by autochthonous production (e.g., chemosynthesizing bacteria, some fungi) or aided by the regular supply of bat guano, which is an external food source, as these mammals feed outside and deposit their feces inside the caves. Guano is an important source of resources for subterranean fauna and has energetic value when it comes from hematophagous bats [].
For most epigean fish, reproduction occurs shortly after the rainy season due to the increase in river levels and the abundance of resources. However, this pattern is not often reported for subterranean ichthyofauna [,], due to the climatic stability typical of hypogean habitats. In addition, troglobitic organisms are often K-type strategists, i.e., they show a decrease in the number of eggs and an increase in their size, delayed sexual maturity, low fertility, and increased longevity, and, in this case, several studies corroborate these trends [,]. Monitoring the reproductive periods of a species, as well as its predominant feeding habits, is extremely important for understanding the biology of the group, providing a basis for drawing up conservation strategies.
Most species of troglobitic fish worldwide are included in two orders: Siluriformes (catfish and armored catfish), occurring in the Americas, mainly in the tropics, Africa, and some species in Asia, and Cypriniformes (barbs), occurring in tropical Asia and Africa [,]. Among Siluriformes, the subfamily Heptapteridae is represented by catfish that live from Mexico to South America []. This family consists of a monophyletic group, with small to medium-sized fish, representing the main component of the Neotropical fauna, and occurring from streams to large rivers []. Like most Siluriformes, these catfish exhibit nocturnal activity, a burrowing habit and a carnivorous, often generalist, diet, seeking their prey mainly in the substrate of rivers and streams [,,].
In this work, aspects of the biology of the highly specialized troglobitic species Rhamdiopsis krugi Castro & Bockmann, 2010 were studied. The species is endemic to Chapada Diamantina, a central region in the state of Bahia, northeastern Brazil. Rhamdiopsis krugi is threatened following IUCN criteria, classified as Vulnerable (VU) []. Rhamdiopsis krugi Bockmann & Castro, 2010 (Siluriformes: Heptapteridae) demands attention due to its high degree of specialization to the subterranean way of life. The 24 autapomorphies listed by [] include classical troglomorphisms, mainly regression of eyes and melanic pigmentation. Individuals of R. krugi have been found in twelve caves distributed among two limestone metasedimentary basins, separated by sandstone rocks that may represent a barrier for catfish dispersal, at least at the present time [,]. Aspects of their natural history, such as feeding habits and reproduction, were studied more than 30 years ago, considering three populations at Chapada Diamantina region [], showing infrequent reproduction and carnivore habits.
Brazil is remarkably rich in rock formations, with around 23,000 caves already registered [], and around 36 populations of subterranean fish, all of which are under some level of threat []. The Chapada Diamantina region receives a considerable number of people interested in ecotourism activities every year. As a result, many caves end up becoming the target of tourism, even though there are no speleological management plans that have been regularized by governmental agencies.
The feeding habits of different populations of R. krugi in the dry and rainy seasons of six annual cycles were investigated to verify possible relationships with reproductive aspects. Subterranean populations generally do not show seasonality in these two biological aspects. Therefore, the hypothesis of this work is to test whether there is seasonality in the feeding habits and reproduction of R. krugi. These data can be compared in the future with those available for other species of Rhamdiopsis, allowing detection of specializations related to the cave life and application for the conservation of R. krugi populations.
2. Material and Methods
Rhamdiopsis krugi populations are recorded in 12 caves in an area geographically known as Chapada Diamantina, in the central portion of the state of Bahia, eastern Brazil, Upper Rio Paraguaçu basin, which belongs to the eastern Brazilian region. The caves of occurrence of R. krugi are developed in limestones of Neoproterozoic age, belonging to the Una Geological Group, Salitre Formation. They are included in the Irecê and Una-Utinga metasedimentary basins [], within the limits of 12°56′41.8″ S, 41°06′17.3″ W and 12°19′11″ S, 41°34′41″ W (Figure 1). All caves with occurrences of R. krugi are outside of Conservation Units, such as National or State Parks, which implies lack of protection. Furthermore, the species is not included in any government action plan, meaning that it is completely unprotected [].

Figure 1.
Map with the limits of distribution of R. krugi in the Chapada Diamantina region, central Bahia, source: M.V.A. Duarte (A). Karst landscape in the region of occurrence of R. krugi (B). Photograph: A.O. Lobo.
Rhamdiopsis krugi specimens inhabit lentic waters in the upper phreatic zone connected to the surface through caves. These catfish are found either in deep and large lakes with clean water or in isolated, soft-bottomed pools, from 0.3 until 15 m of depth (Figure 2).

Figure 2.
Rhamdiopsis krugi, live specimen, photograph: D. Fenolio (A). Caves of occurrence of R. krugi in the Chapada Diamantina region, central Bahia, showing the large proportions of the phreatic water bodies (B–D). Photographs: A.O. Lobo.
The climate of the Chapada Diamantina is tropical semi-humid, although in some regions semi-arid conditions prevail, Aw type sensu Köppen-Geiger []. This is the case of the caves studied herein. The seasons are well marked, with rainy summers (October to March/April) and dry winters (April to October).
A total of 148 individuals of R. krugi from 8 caves were studied in relation to feeding habits and gonadal stages. The caves are separated into the southern sector (Poço Encantado, Lapa do Bode, Gruta Natal, Gruta do Bispo, Poço Azul de Milu) and the northern sector (Torrinha, Lagoa Seca, Canoa Quebrada, and Lapa Doce) (Figure 2). Six annual cycles were considered in sixteen sampling occasions: eight samples in the rainy season and eight samples in the dry season in the years 2004, 2005, 2006, 2007, 2008, and 2009. Physico-chemical parameters are typical of karst terrains, showing pH values between 7.0 and 8.2, salinity from 0.1 to 0.2%, and conductivity between 300–560 μS·cm−1. Few variations were observed in the level of the phreatic waters of the studied caves.
Hand nets were used to collect the fish; the individuals were euthanized in the field by super injecting a benzocaine solution and fixed in formalin (4%). The animals were then kept in alcohol solutions (70%) for analysis in the laboratory.
Naturalistic observations were conducted in the natural habitats through dive-snorkeling techniques when foraging and space use behaviors were observed.
Laboratory Work
All individuals were measured (standard-length) using a caliper (precision of 0.01 mm) in a laboratory, with determination of stomach volume, sex, and gonadal stage. This process included 113 individuals from the southern sector and 35 individuals from the northern sector (Table 1). The specimens are deposited in the scientific collection of LES (Laboratório de Estudos Subterrâneos).

Table 1.
Specimens of R. krugi grouped for all sampling occasions. Sector of the caves, standard length (SL), stomach volumes, and sex and gonadal stage. IM, immature; InM, in maturation; M, mature.
Considering the stomach conditions, specimens were classified into the following categories: full cavity (FC), partially full cavity (PFC, 50% of the stomach volume), and empty cavity (EC) []. After removing the gonads and digestive tracts, they were stored in 70% alcohol in the scientific collection of LES (Laboratório de Estudos Subterrâneos).
Volume was calculated by placing the contents extracted from each stomach in the center of a Petri dish with a millimetric bottom, bordered by plastic slides with a height of 1mm and a histological slide to compress the content and quantify it, obtaining a volumetric value in mm3 []. This method allows us to compare the volumes of each stomach content in relation to the total number of stomachs with content or with the total number of stomachs in the samples, regardless of whether they were full or not. It was then possible to verify variations associated with the availability of items in each season. A Kruskal–Wallis test was applied to verify if the differences in the volumes among the dry and rainy seasons were significant.
Items were identified with the help of specialized literature [,], including parts of arthropods exoskeleton, insects, amorphous organic matter (including all the material in the process of digestion, as well as guano from resident bats), and larvae, among others. The frequency of occurrence (FO) was estimated, measuring the proportion of samples (often expressed as a percentage) where a certain item is present, and calculated as follows: FO = 100% × nN, where n is the number of samples where a certain item was observed and N the total number of samples, establishing a hierarchy of preference according to the incidence of each food category [].
The stage of gonadal maturation was determined by observation under a stereomicroscope, following the categorization of mature individuals: Mature (M, apparent oocytes for females; testicles elongated with many lobes in the males) and in maturation (InM, small oocytes in the base of female gonads; testicles a little elongated with few lobes in the males, occupying less 50% of the volume of the entire gonad) []. Some specimens showed no signs of maturation, making it difficult to classify them as male or female, so they were only classified as immature/sex not determined (IM) (Figure 3).

Figure 3.
Dissected gonads to show the degrees of gonadal stage for R. krugi. IM, immature; InM, in maturation; M, mature.
3. Results
3.1. Feeding Habits
Figure 4 shows the frequency of occurrence (FO) of stomachs for the dry and rainy seasons for the different cave populations of R. krugi. It is clear that for the five populations, the FO was higher in the rainy season, when the fish ingest more items, due to a greater supply of food in this season.

Figure 4.
FO (%) of five populations of R. krugi for the dry and rainy seasons of Chapada Diamantina region, central Bahia. Total of analyzed stomachs = 148; total of stomachs with items = 65.
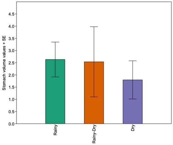
Figure 5 shows the mean stomach volume of individuals of R. krugi. There is a trend to lower stomach volumes along the rainy-dry transition (a transition between the two stations, marked by a decrease of at least 50% in rainfall compared to typical rainy periods), with the lowest values in the dry season. However, two populations showed larger volumes in the dry season. To conduct an identification of the items, null or significantly low volumes (<1 mm3) were discarded from the samples. The average volumes were 2.63 mm3 for the rainy season, 2.53 mm3 for the rainy-dry season transition, and 1.79 mm3 for the dry season. Kruskal–Wallis tests showed significant differences between medians (H = 7.65, p = 0.009018). Dunn’s post hoc test showed that this difference is significant between the rainy and dry season (p = 0.002208), which corroborates the tendency of lower volumes in the dry season.

Figure 5.
Box-plot showing the mean stomach volume of individuals recorded in the rainy, rainy-dry transition, and dry seasons of Chapada Diamantina region, central Bahia. SE, Standard Error. N = 148.
The relationship between the dry and rainy seasons and the presence/absence of items in the stomachs of R. krugi specimens, with separation between males and females, are shown in Table 2. We can visualize whether there is greater food acquisition during periods of gonadal maturation, and whether there is greater foraging efficiency in one of the sexes. In a first approach, all the individuals were considered as a single sampling unit, so that the results show a general aspect, with no discrimination for each cave population. Individuals that could not be categorized as male or female (immature/juveniles) were not analyzed. A lower number of maturing and mature females and males with items in their stomachs were observed in the dry season. The opposite was observed in the rainy season.

Table 2.
Gonadal stage and proportion of stomachs with food items and empty stomachs, for the dry and rainy seasons of all the localities sampled in the Chapada Diamantina, Central Bahia. N, number of individuals of R. krugi analyzed for each season. IM, InM, and M represent immature, in maturation, and mature individuals, respectively. NS, number of stomachs.
After analysis of the stomach contents, it was possible to establish the feeding habit of R. krugi. The items are listed in Table 3. The food spectrum of R. krugi is large, at least 13 categories, since the items are grouped. All the items were of animal origin, representing a strictly carnivorous habit. In some individuals, the occurrence of terrestrial (Oribatida) and aquatic (Hydracarina) mites was very representative, with dozens of individuals recorded in some stomachs. Dipterans from the Chironomidae family and psocopteran insects were also highly representative. Most items were of autochthonous origin. The most remarkable record was the occurrence of troglobitic species and a significant amount of bat guano. Two troglobitic species, the amphipod Spelaeogammarus spinilacertus, also endemic to caves in Chapada Diamantina (Figure 6), and one coleopteran of the family Ditscydae, probably a new species, were recorded in the stomachs of R. krugi. The presence of bat guano comprised the main or, on some occasions, the unique food item recorded for some of the individuals (15 individuals of 85). Of 148 analyzed individuals, 83 showed empty stomachs.

Table 3.
Food items identified and their respective volumes (mm3) found in the stomachs of the R. krugi. Total of analyzed stomachs = 148; total of stomachs with items = 65. GUA, guano; AMA, amorphous mass of animal origin; ART, undetermined arthropods; INS, insects—entire individuals, wings, abdomen, bristles and antennae; INS_JU, larvae, pupae and nymphs of insects; COL, Coleoptera, family Ditscydae, subfamily Hydroporinae (troglobite); CHI, larvae and pupae of dipterans, family Chironomidae; PSO, psocopteran insects; HEM, aquatic hemipterans; NEM, nematomorpha worm; AMP, Amphipoda, Spelaeogammarus spinilacertus (troglobite); ACA, terrestrial (Oribatida) and aquatic mites (Hydracarina).

Figure 6.
The troglobitic amphipod Spelaeogammarus spinilacertus recorded in the stomachs of R. krugi, body size 8 mm. Photograph: A. Gambarini.
Figure 7 shows the Frequency of Occurrence (FO) of food items. It is possible to verify which items are most representative in the diet, showing a dietary preference. Bat guano and amorphous animal organic matter made a significant contribution to the R. krugi diet. The same can be seen for the categories representing arthropods and insects in general, demonstrating the carnivorous habit of these fish.

Figure 7.
Frequency of occurrence (FO) of food items recorded in the stomachs of R. krugi. The abbreviations are explained in Table 3. Total number of stomachs analyzed = 148; total of stomachs with items = 65. GUA, guano; AMA, amorphous mass of animal origin; ART, undetermined arthropods; INS, insects—entire individuals, wings, abdomen, bristles and antennae; INS_JU, larvae, pupae and nymphs of insects; COL, coleoptera, family Ditscydae, subfamily Hydroporinae (troglobite); CHI, larvae and pupae of dipterans, family Chironomidae; PSO, psocopteran insects; HEM, aquatic hemipterans; NEM, nematomorpha worm; AMP, amphipoda, Spelaeogammarus spinilacertus (troglobite); ACA, terrestrial (Oribatida) and aquatic mites (Hydracarina).
3.2. Reproduction
The sex ratios and gonadal maturation stages of R. krugi during the dry and rainy seasons are shown in Figure 8 and Figure 9, respectively.

Figure 8.
Sex ratios of R. krugi across the rainy and dry seasons. The graph does not consider the stage of gonadal maturation of the specimens. IM, immature individuals, sex not determined.

Figure 9.
Percentage of individuals of R. krugi with different gonadal stages across the dry and rainy seasons. IM, InM, and M represent immature, in maturation, and mature individuals, respectively.
It is possible to observe a balanced sex ratio between females and males, even in markedly different seasons. There is also a slightly higher number of females in the rainy season (ratio of 1.12, female: male) and a higher number of males in the dry season (ratio of 1.48, male: female). Comparing the ratio between seasons, females showed a higher proportion in the rainy season (1.17) and males a higher proportion in the dry season (1.42). The immatures showed a balance between the rainy and dry seasons (Figure 8).
Considering the gonadal stage and possible reproductive periods, a greater number of maturing and mature females were observed in the rainy season compared to the dry season. The same is observed for males. However, these differences are not marked, which must show that reproduction is not marked seasonally. Part of the immatures can correspond to juveniles, i.e., recruitment, being greater in the dry season (Figure 9).
4. Discussion
In some studies, carried out on catfish populations found in other karst areas of the country, it is common to find a higher proportion of females than males []. Therefore, the previous results obtained for R. krugi are noteworthy because they deviate from the expected pattern. In general, the populations showed balanced sex ratios, with no predominance of either sex.
Considering the stages of gonadal maturation in the different seasons (dry and rainy), the greater number of females and males in breeding conditions in the rainy seasons suggests a trend towards a reproductive period in this season. As the rainy seasons mark a greater availability of food resources, the chances of successful reproduction would be increased []. Reproductive seasons slightly marked in the rainy season have also been observed for other troglobitic fish [].
We observed a higher incidence of food items in the stomachs during the rainy seasons for all localities, as well as higher average stomach volumes during the same period. This result indirectly implies that there is a greater availability of food for the populations during these periods compared to the dry months. In fact, this pattern of seasonality is usually found since, in rainy seasons, the dynamics of water bodies can be altered by the large amount of percolating water from the rain, which would be able to carry more items into these caves. The high proportion of specimens of R. krugi with empty stomachs or few items is directly related to the effect of food scarcity in subterranean habitats. Populations of other subterranean catfish, such as Trichomycterus itacarambiensis, Ituglanis passensis, and I. bambui, show this pattern throughout the dry season, as well as a tendency to decrease the diversity of food items and stomach volumes throughout the dry seasons []. When we compare it with the development of the gonadal stages, the same pattern is observed: the highest stomach volumes were recorded for the specimens in maturation or mature, mainly in the rainy season, which suggests a slight upward trend in food resources during this crucial breeding period. Besides food scarcity, many cave animals are faced with seasonal availability of resources or even infrequent input of food and can survive under starvation periods [].
When we analyzed the food items present in the diet of R. krugi, we could see that the categories of bat guano, amorphous organic mass of animal origin, arthropods, and insects in general were the most representative. Through natural observations made during the study, it was possible to infer that these populations commonly forage in submerged guano deposits. In fact, this is a source of resources that is more widely available to individuals when compared to others, since most items can fluctuate greatly in their occurrence according to seasonal factors (e.g., insect life stages). The deposition of guano from resident bats represents an additional energy resource, crucial in environments that are generally poor in food. Bat guano is ingested by both R. krugi and the detritivores invertebrate fauna, which represent fundamental resources for the survival of R. krugi populations. To reinforce this idea, the predominance of amorphous mass category (named as AMA) in the filled stomachs seems to indicate that these catfish are feeding mainly on guano, which serves as a basis for the initial hypothesis that this type of foraging is predominant in these populations. This behavior is entirely plausible considering that feeding conditions in these environments are often restricted and unpredictable. In addition, guano has considerable energetic value, low capture costs, and is a practically stable source of resources. It has been observed as a food item for the cave mollies Poecillia mexicana, the salamanders Eurycea (=Typhlotriton) spelaea, and the adults of the cavefish Astyanax mexicanus [,,]. Considering the salamanders, there is evidence that guano may be assimilated into muscle tissue, and nutritional analyses revealed that guano is a comparable food source to potential invertebrate prey items, as observed with R. krugi. Because many caves are often energy poor, maybe coprophagy is more common than we supposed.
The record of troglobitic species in the stomachs of R. krugi increases the singularity of the diet of R. krugi, as it demonstrates an intrinsic ecological association between species that are generally rare or less abundant. Furthermore, these records are rare in the literature.
Rhamdiopsis krugi faces several threats, such as siltation of water bodies, lowering of the aquifer (due installation of artesian pools and climate changes), chemical and organic pollution (part of the aquifer), and unmanaged tourism (some the caves of its occurrence) []. In addition, the surroundings of some caves are deforested, which implies impacts to the bats and consequently the decreasing of the guano deposits, a crucial resource for these populations. This long-term monitoring showed the uniqueness of the feeding habits of R. krugi and the intrinsic relationship between the availability of resources and reproduction aspects. This further increases the fragility of this species and makes it urgent to revise its threat category, which is currently at the lowest level, Vulnerable (VU).
5. Conclusions
Rhamdiopsis krugi populations have a carnivorous feeding habit together with ingestion of bat guano, which represents a great contribution to their diet; in addition, there is a pattern, not marked, of reproduction in the rainy season.
These observed patterns (in feeding habits and reproductive aspects) represent a seasonality, even if it is not marked. It is interesting that even though the caves suffer little climatic oscillation, the seasonal pattern is present, which must mean that an ecological characteristic present in their epigean relatives is maintained in a highly specialized and troglomorphic cavefish such as R. krugi. These results were observed after several replicas covering six annual cycles, including dry and rainy seasons, which reinforces the extreme need for monitoring projects to understand the reproductive, feeding, and population cycles of subterranean species and to propose effective conservation strategies.
Funding
This research was funded by Fundação de Amparo à Pesquisa do Estado de São Paulo (FAPESP, 04/07799-5 and 08/05678-7) and Conselho Nacional de Desenvolvimento Científico e Tecnológico—CNPq (150343/03-5 and 31332/2023-1).
Institutional Review Board Statement
The study was conducted in accordance with Brazilian environmental laws for collecting and euthanasia of vertebrates, following the ethical procedures under the authorization number 20165 (SISBIO/ICMBio).
Informed Consent Statement
Not applicable.
Data Availability Statement
The original contributions presented in this study are included in the article. Further inquiries can be directed to the corresponding author(s).
Acknowledgments
I greatly thank J.E. Gallão, B. Rantin, F.D. Passos, R. Bessi, T. L. C. Scatolini, and D. R. Pedroso, who helped me in fieldwork at Chapada Diamantina; to S.V. Nascimento and R. J. Silva, for support on Itaetê and Palmeiras Caves; to L.B. Simões for help in the laboratory work of stomach contents and gonads; to E. Trajano for supervising part of the present work; to M.V.S.A. Duarte for map confection of Figure 1A; to A.O. Lobo for permission use of the photographs of Figure 1B and Figure 2B–D; to D. Fenolio for permission use of image at Figure 2A; to A. Gambarini for permission use of the photographs of Figure 6; to J.E. Gallão for all suggestions and help with this work; Thanks also to environment governmental agency ICMBIO (Instituto Chico Mendes de Biodiversidade) for the collecting permission document (SISBIO license number 20165).
Conflicts of Interest
The author declares no conflicts of interest.
References
- Culver, D.C.; Pipan, T. The Biology of Caves and Other Subterranean Habitats; Oxford University Press: Oxford, UK, 2019; ISBN 9780198820765. [Google Scholar]
- Hüppop, K. How Do Cave Animals Cope with Food Scarcity in Caves? In Subterranean Ecosystems; Wilkens, H., Culver, D., Humphreys, W., Eds.; Elsevier Press: Amsterdam, The Netherlands, 2001; Volume 1, pp. 417–432. [Google Scholar]
- Trajano, E.; Bichuette, M. Subterranean Fishes of Brazil. In Biology of Subterranean Fishes; Trajano, E., Bichuette, M., Kapoor, B., Eds.; Science Publishers: Enfield, UK, 2010. [Google Scholar]
- Bichuette, M.E.; Gallão, J.E. Under the Surface: What We Know about the Threats to Subterranean Fishes in Brazil. Neotrop. Ichthyol. 2021, 19, e210089. [Google Scholar] [CrossRef]
- Trajano, E. Ecology of Subterranean Fishes: An Overview. Environ. Biol. Fishes 2001, 62, 133–160. [Google Scholar] [CrossRef]
- Niemiller, M.L.; Bichuette, M.E.; Chakrabarty, P.; Fenolio, D.B.; Gluesenkamp, A.G.; Soares, D.; Zhao, Y. Cavefishes. In Encyclopedia of Caves; White, W., Culver, D., Pipan, T., Eds.; Elsevier: Amsterdam, The Netherlands, 2019; pp. 227–236. [Google Scholar]
- Arroyave, J.; Angulo, A.; Hernández-Ávila, S.G.; Buenavad-González, M.A.; Rojas-Rodríguez, P.; Deleva, S.; Ulloa, A.; Picq, S.; McMahan, C.D. New Vouchered and Taxonomically Verified Records of Cave-Dwelling Populations of Catfishes of the Genus Rhamdia (Siluriformes, Heptapteridae) from Costa Rica. Subterr. Biol. 2024, 50, 29–52. [Google Scholar] [CrossRef]
- Bockmann, F.A.; Guazzelli, G. Heptapteridae (Heptapterids). In Checklist of the Freshwater Fishes of South and Central America; Reis, R., Kullander, S., Ferraris, C., Eds.; EDIPUCRS: Porto Alegre, Brazil, 2003; pp. 406–431. [Google Scholar]
- Sazima, I.; Pombal, J., Jr. Um Albino de Rhamdella Minuta, Com Notas Sobre Comportamento (Osteichthyes, Pimelodidae). Rev. Bras. Biol. 1986, 46, 377–381. [Google Scholar]
- Sabino, J.; Castro, R.M.C. Alimentacao, Periodo de Atividade e Distribuicao Especial Dos Peixes de Um Riacho Da Floresta Atlantica (Sudeste Do Brasil). Rev. Bras. Biol. 1990, 50, 23–36. [Google Scholar]
- Casatti, L.; Castro, R.M.C. A Fish Community of the São Francisco River Headwaters Riffles, Southeastern Brazil. Ichthyol. Explor. Freshw. 1998, 9, 229–242. [Google Scholar]
- Brasil. Portaria MMA No 148, de 07 de Junho de 2022. DOU No 108 Seção 1 2022, 74. Available online: https://www.in.gov.br/en/web/dou/-/portaria-mma-n-148-de-7-de-junho-de-2022-406272733 (accessed on 27 October 2024).
- Bockmann, F.A.; Castro, R.M.C. The Blind Catfish from the Caves of Chapada Diamantina, Bahia, Brazil (Siluriformes: Heptapteridae): Description, Anatomy, Phylogenetic Relationships, Natural History, and Biogeography. Neotrop. Ichthyol. 2010, 8, 673–706. [Google Scholar] [CrossRef]
- Bichuette, M.E.; De Pinna, M.C.C.; Trajano, E. A New Species of Glaphyropoma: The First Subterranean Copionodontine Catfish and the First Occurrence of Opercular Odontodes in the Subfamily (Siluriformes: Trichomycteridae). Neotrop. Ichthyol. 2008, 6, 301–306. [Google Scholar] [CrossRef]
- Bichuette, M.E.; Rantin, B.; Hingst-Zaher, E.; Trajano, E. Geometric Morphometrics Throws Light on Evolution of the Subterranean Catfish Rhamdiopsis Krugi (Teleostei: Siluriformes: Heptapteridae) in Eastern Brazil. Biol. J. Linn. Soc. 2015, 114, 136–151. [Google Scholar] [CrossRef]
- Mendes, L.F. Observations on the Ecology and Behaviour of a New Species of Troglobitic Catfish from Northeastern Brazil (Siluriformes, Pimelodidae). Mem. Biospeol. 1995, 22, 99–101. [Google Scholar]
- Cadastro Nacional de Informações Espeleológicas—CANIE. Available online: https://www.gov.br/icmbio/pt-br/assuntos/centros-de-pesquisa/cavernas/cadastro-nacional-de-informacoes-espeleologicas/canie (accessed on 22 October 2024).
- Rubbioli, E.; Auler, A.; Menin, D.; Brandi, R. Atlas das Grandes Cavernas do Brasil, 1st ed.; Instituto Chico Mendes de Conservação da Biodiversidade: Brasília, Brazil, 2019. [Google Scholar]
- Beck, H.E.; Zimmermann, N.E.; McVicar, T.R.; Vergopolan, N.; Berg, A.; Wood, E.F. Present and Future Köppen-Geiger Climate Classification Maps at 1-Km Resolution. Sci. Data 2018, 5, 180214. [Google Scholar] [CrossRef] [PubMed]
- Zavala-Camin, L.A. Introdução Aos Estudos Sobre Alimentação Natural Em Peixes; EDUEM: Maringá, Brazil, 1996. [Google Scholar]
- Hyslop, E.J. Stomach Contents Analysis—A Review of Methods and Their Application. J. Fish Biol. 1980, 17, 411–429. [Google Scholar] [CrossRef]
- Chu, H.; Cutkomp, L.K. How to Know the Immature Insects, 2nd ed.; McGraw-Hill Science: Dubuque, IA, USA, 1992. [Google Scholar]
- Triplehorn, C.A.; Jonnson, N.F. Introdução ao Estudo Dos Insetos; Cengage Learning: São Paulo, Brazil, 2011; Volume 7. [Google Scholar]
- Vazzoler, A.E.A.d.M. Biologia Da Reprodução de Peixes Teleósteos: Teoria e Prática, 1st ed.; EDUEM: Maringá, Brazil, 1996. [Google Scholar]
- Trajano, E. Population Ecology of Trichomycterus itacarambiensis, a Cave Catfish from Eastern Brazil (Siluriformes, Trichomycteridae). Environ. Biol. Fishes 1997, 50, 357–369. [Google Scholar] [CrossRef]
- Langecker, T.G.; Wilkens, H.; Parzefall, J. Studies on the Trophic Structure of an Energy-Rich Mexican Cave (Cueva de Las Sardinas) Containing Sulfurous Water. Mem. Biospeol. 1996, 3, 121–125. [Google Scholar]
- Fenolio, D.B.; Graening, G.O.; Collier, B.A.; Stout, J.F. Coprophagy in a Cave-Adapted Salamander; the Importance of Bat Guano Examined through Nutritional and Stable Isotope Analyses. Proc. R. Soc. B Biol. Sci. 2006, 273, 439–443. [Google Scholar] [CrossRef] [PubMed]
- Espinasa, L.; Bonaroti, N.; Wong, J.; Pottin, K.; Queinnec, E.; Rétaux, S. Contrasting Feeding Habits of Post-Larval and Adult Astyanax Cavefish. Subterr. Biol. 2017, 21, 1–17. [Google Scholar] [CrossRef]
Disclaimer/Publisher’s Note: The statements, opinions and data contained in all publications are solely those of the individual author(s) and contributor(s) and not of MDPI and/or the editor(s). MDPI and/or the editor(s) disclaim responsibility for any injury to people or property resulting from any ideas, methods, instructions or products referred to in the content. |
© 2024 by the author. Licensee MDPI, Basel, Switzerland. This article is an open access article distributed under the terms and conditions of the Creative Commons Attribution (CC BY) license (https://creativecommons.org/licenses/by/4.0/).