Next Article in Journal
Temporal and Spatial Distribution Characteristics of Fish Resources in a Typical River–Lake Confluence Ecosystem During the Initial Period of Fishing Ban
Next Article in Special Issue
The Effects of Two Different Aquaculture Methods on Water Quality, Microbial Communities, Production Performance, and Health Status of Penaeus monodon
Previous Article in Journal
Potential Impact of DOM on Fish Biodiversity in the Jinshui River Basin Environment
Previous Article in Special Issue
Effect of a Commercial Polyphenol Compound on the Performance and Antioxidant Status of Penaeus vannamei
 
 
Font Type:
Arial Georgia Verdana
Font Size:
Aa Aa Aa
Line Spacing:
Column Width:
Background:
Article

Purification Effect of Fish–Algae Coupling on Nitrogen and Phosphorus in Shrimp Aquaculture Effluent

1
South China Sea Fisheries Research Institute, Chinese Academy of Fishery Sciences/Southern Marine Science and Engineering Guangdong Laboratory (Zhuhai), Guangzhou 510300, China
2
Key Laboratory of South China Sea Fishery Resources Exploitation & Utilization, Ministry of Agriculture and Rural Affairs/Guangdong Provincial Key Laboratory of Fishery Ecology and Environment, Guangzhou 510300, China
*
Author to whom correspondence should be addressed.
Fishes 2024, 9(12), 490; https://doi.org/10.3390/fishes9120490
Submission received: 1 November 2024 / Revised: 21 November 2024 / Accepted: 28 November 2024 / Published: 30 November 2024
(This article belongs to the Special Issue Advances in Shrimp Aquaculture: Management and Sustainability)

Abstract

As the scale of shrimp aquaculture continues to expand, the environmental impacts of shrimp effluents have become increasingly severe. The purification of aquaculture effluents can no longer be overlooked. Effectively reducing the discharge of aquaculture wastewater and mitigating its potential pollution risks to the surrounding aquatic ecological environment are key issues that need to be addressed to promote the industry’s development towards a greener, more environmentally friendly, and sustainable path. This study explored the purification effect of the integration of tilapia and Spirulina on tail water from a zero-water-exchange aquaculture of whiteleg shrimp (Litopenaeus vannamei) in seawater, with the aim of assessing the growth performance of tilapia and the efficacy of the fish–algae integration in purifying tail water from the perspective of tail water resource utilisation. The study found that the removal rates of the biofloc sedimentation volume and total suspended particle concentration in the fish–algae group were 42.6% and 29.6%, respectively. The removal rates of phosphate and total phosphorus in the fish–algae group were 26.3% and 20.8%, respectively. Research indicates that tilapia effectively removes suspended organic matter from water. Introducing Spirulina into this water body aids in the removal of soluble nitrogen and phosphorus from the effluent, and tilapia exhibit a favourable feeding response to Spirulina.
Key Contribution: The results demonstrated that the coupling of fish and algae had a significant purification effect on nitrogen and phosphorus in shrimp aquaculture wastewater. This aquaculture model not only improves aquaculture efficiency but also improves the water quality and the surrounding environment, providing new ideas for the sustainable development of aquaculture.

1. Introduction

Intensive aquaculture utilising biological flocs (bioflocs) is a zero-water-exchange intensive farming model based on Biofloc Technology (BFT), which is commonly used for tilapia and whiteleg shrimp (Litopenaeus vannamei) breeding. It primarily fosters the healthy and rapid growth of aquaculture organisms by regulating the C/N ratio in water to cultivate heterotrophic and nitrifying bacterial communities. The BFT aquaculture water contains numerous functional microbial communities. Once the microbial ecosystem of aquaculture water stabilises, water replacement or the addition of a small amount of freshwater is usually not performed during the aquaculture period. Therefore, compared to other aquaculture techniques, tail water from the BFT aquaculture system typically contains a high concentration of organic particles, resulting in a turbid water body with elevated levels of inorganic nitrogen and phosphorus.
In the 1990s, Avnimelech et al. first proposed the application of BFT in aquaculture. Subsequently, they utilised labelled isotope C13 and N15 technologies to confirm that tilapia can feed on and absorb bioflocs in aquaculture water [1,2,3]. Wang et al. found that tilapia could adapt to biofloc systems, and that specific growth rates, liver-to-body ratios, plumpness, and other indicators were significantly higher than those in the circulating water group. The feed coefficient was also significantly lower than that in the control group [4]. Li et al. cultivated bioflocs in tilapia aquaculture wastewater to raise tilapia fingerlings. The results indicated that the growth performance indicators of fingerlings in the biofloc group were significantly higher than those in the control group, and the ammonia nitrogen content in the water also decreased [5]. Hargreaves indicated that floc-producing bacteria can utilise carbon and nitrogen in water to form bioflocculated feed by combining organic particles and colloidal substances, which can then be ingested by filter-feeding fish, thereby promoting their growth [6]. Additionally, studies have shown that bioflocs can serve as substitutes for tilapia feed [7,8,9]. It is evident that tilapia exhibit favourable feeding responses to bioflocs in aquaculture water bodies. However, most of these studies have primarily focused on applied research in freshwater aquaculture systems. Studies utilising bioflocs for tilapia cultivation in seawater environments or employing tilapia for tail water purification in seawater biofloc aquaculture are relatively scarce.
The methods for treating tail water from shrimp farming mainly include physical methods, chemical methods, and ecological methods. Traditional physical methods have high construction and operation costs; chemical methods are prone to pollution, and water exchange methods are uneconomical and inconvenient. Each of these methods has its own limitations and is not ideal. As an important component of the ecological farming process, ecological purification is currently a research hotspot in aquaculture wastewater treatment and pollution control. It mainly utilises the physiological and biochemical activity characteristics of plants, microorganisms, and animals to remove the pollution sources enriched in tail water. It has the advantages of low investment, high return, high efficiency, and ease of application.
When screening functional organisms for in situ seawater purification treatment, the adaptability of organisms to salinity is a key factor. The survey found that spirulina has strong adaptability, can grow and reproduce rapidly in tail water with a certain salinity, has high nutritional value, and has a good purification effect on nitrogen and phosphorus in shrimp farming tail water. The collection and reuse of microalgae biomass is a major problem in microalgae purification of tail water, for which spirulina has a significant advantage. Spirulina can absorb and purify nitrogen and phosphorus nutrients present in various types of wastewater [10,11,12,13]. Lu et al. demonstrated that Spirulina platensis could thrive in both biofloc culture effluents and BG11 culture medium settings, exhibiting a notable removal effect on nitrogen and phosphorus in aquatic environments [14]. Prior research has established that both tilapia and Spirulina can survive healthily and stably in water bodies with salinities ranging from 0 to 30. This study aimed to investigate and verify the purification effect of the integration of tilapia and Spirulina on the effluent from the biofloc zero-water-exchange aquaculture of Litopenaeus vannamei in seawater. This study aimed to evaluate the growth performance of tilapia and the purification capability of the fish–algae integration from the perspective of effluent resource utilisation. It is hoped that the fish–algae-integrated aquaculture model can provide new insights for the sustainable development of the aquaculture industry.

2. Materials and Methods

2.1. Experimental Materials

Juvenile genetically improved farmed tilapia (GIFT) (Oreochromis niloticus) were purchased from a tilapia breeding farm in Mata Town, Dianbai District, Maoming City, Guangdong Province, China.
The Spirulina platensis used in this experiment were provided by the innovative team of marine pond aquaculture ecological environment regulation at the South China Sea Fisheries Research Institute of the Chinese Academy of Fishery Sciences.

2.2. BFT Aquaculture System

The tail water used in this study was sourced from a zero-water-exchange intensive aquaculture pond system for Litopenaeus vannamei biofloc. Each individual aquaculture pond had a volume of 500 m3, and the stocking density of shrimp seedlings was 600 individuals per cubic metre. During the aquaculture period, BFT was employed to manage the water quality, with the C/N ratio of the water adjusted through the addition of brown sugar. Sodium carbonate, sodium bicarbonate, and a small amount of sodium hydroxide were used to regulate the alkalinity of the water. Bacillus, photosynthetic bacteria, lactic acid bacteria, nitrifying bacteria, and other target microorganisms were used to cultivate the aquatic microbial communities. The breeding water temperature was 28 ± 2 °C, with a pH value of 7.9 ± 0.2, dissolved oxygen levels at 5.0 mg/L, and a salinity of approximately 30‰. The water intake time for the aquaculture system in this study was approximately 100 days.
The experimental site for this study was an industrial-shrimp-breeding workshop at Guangdong Guanlida Biotechnology Co., Ltd. (Lingmen, China). The experiment was conducted in plastic breeding barrels, each with a main diameter of 140 cm, height of 100 cm, and volume of approximately 1000 L. All breeding barrels were positioned within the breeding pool to ensure a stable temperature within the experimental barrels. Each barrel was connected to a central air-pump pipeline via a flexible hose to ensure a stable and balanced oxygen supply.

2.3. Experimental Grouping

The experiment was divided into groups based on the addition of Spirulina or tilapia. The control group (Ctrl) contained neither fish nor algae; the SP group contained Spirulina but not tilapia; the SPGT group contained both Spirulina and tilapia; and the GT group contained tilapia but not Spirulina. Three parallel experiments were established for each group.
The initial density of Spirulina added was 2.46 × 105 cells·mL−1. Each barrel housed 10 tilapia that had been gradually acclimated in seawater, with an average weight of 54.1 ± 11.72 g per fish and a total length of 14.74 ± 1.68 cm. Each barrel contained 600 L of aquaculture effluent. During the breeding process, a nano-air disc with a diameter of 75 cm provided continuous aeration and oxygenation for 24 h. The experiment lasted for 16 d, during which no feed was provided to any of the groups; the tilapia relied solely on bioflocs, and the added Spirulina in the effluent, for sustenance. No water was changed throughout the experiment, and only a small amount of disinfected water was added to compensate for evaporation.

2.4. Measurement Indicators and Methods

We refer to national standards to determine the concentrations of ammonia nitrogen (indigo phenol blue spectrophotometry), nitrite nitrogen (naphthyl ethylenediamine dihydrochloride spectrophotometry), nitrate nitrogen (zinc cadmium reduction method), phosphate (phosphomolybdic blue spectrophotometry), total nitrogen (persulfate potassium oxidation method), and total phosphorus (persulfate potassium oxidation method) in water bodies [15]. We monitor water quality indicators such as temperature, dissolved oxygen, and pH in aquaculture water bodies daily.
The dissolved oxygen concentration, water temperature, and pH value of the water body were measured daily with portable dissolved oxygen and pH metres, and the light intensity on the water surface was measured with an illuminometer at 09:00, 14:00, and 18:00 every 2 d. Water samples were collected on days 0, 2, 4, 6, 10, and 16 of the experiment and the nitrogen and phosphorus contents of the water bodies were determined. The sampling time was 08:00. On days 0, 8, and 16 of the experiment, the settling volume of bioflocs in the water body was measured using an Imhoff tube, and the concentration of total suspended particulate matter was determined using a weighing method [16].
The amount of Spirulina in the aquaculture water was measured on days 0, 2, 4, 6, and 16. Water samples were collected at a depth of 10–20 cm below the water surface, with three replicates per group. Each sample was measured three times, and the average value was calculated [17]. Tilapia were sampled on days 0 and 16 to measure the body length, body weight, and survival rate. The length from the front end of the lower jaw to the root of the caudal fin was considered body length. The fish surfaces were cleaned, dried with absorbent paper, and weighed. After measurement, the tilapia samples were quickly frozen at −80 °C for preservation.

2.5. Data Analysis Methods

The survival rate of SR tilapia (%) was calculated as follows: (final tail number/initial tail number) × 100. The percent nitrogen and phosphorus removal rate (R) was calculated as follows: (initial concentration C0) − (concentration Ct measured by sampling)/(initial concentration C0) × 100.
One-way ANOVA was used to compare the significance of differences between the groups, with a significance level of p < 0.05.

3. Results

3.1. The Growth and Survival of Tilapia

As shown in Figure 1, the average weight of tilapia individuals in the SPGT group increased from an initial 54.14 g/fish to 56.63 g/fish at the end of the experiment, and the body length increased from 14.74 cm to 15.16 cm. There were no significant changes in the body length and weight of the tilapia in the GT group, and there was no significant difference between the two groups before and after the experiment (p > 0.05). The survival rate of the tilapia in each group during the experiment was 70%.

3.2. Quantitative Changes in Spirulina

As shown in Figure 2, the concentration of Spirulina in the SP group rose from 2.46 × 105 cell·mL−1 on day 0 to 3.12 × 105 cell·mL−1 on day 16. Although the number of algal cells increased slightly, they remained within the same order of magnitude, showing no significant differences (p > 0.05). In contrast, the algal concentration in the SPGT group significantly decreased from 2.46 × 105 cell·mL−1 to 6.56 × 103 cell·mL−1 (p < 0.05).
As shown in Figure 3, the analysis of tilapia faeces in the SPGT group revealed that the overall colour of the faeces was blue-green. Microscopic examination revealed that a certain amount of digested Spirulina fragments were present in the gut and faecal matter of tilapia. It can be seen that tilapia also had a feeding effect on Spirulina in the biofloc culture tail water environment.

3.3. Changes in Suspended Matter Content in Tail Water

As shown in Figure 4, on the 16th day of the experiment, the sedimentation volume of the bioflocs in the water bodies of each experimental group decreased. Specifically, the SPGT and GT groups, to which tilapia were added, saw their sedimentation volumes decrease from 7.50 mL/L and 7.00 mL/L on day 0 to 4.33 mL/L and 3.17 mL/L, representing reductions of 42.6% and 54.7%, respectively. The Ctrl and SP groups decreased from 7.50 mL/L and 7.67 mL/L on day 0 to 6.00 mL/L and 5.83 mL/L, also decreasing by 20% and 21.8%, respectively. However, the biofloc removal rates in the SPGT and GT groups were much higher than those in the SP and Ctrl groups.
As shown in Figure 5, due to the initial addition of a certain amount of Spirulina algal solution to the SP and SPGT groups, their initial total suspended solids (TSS) content was higher than those of the Ctrl and GT groups. At the end of the experiment, the TSS content of the SPGT and GT groups with added tilapia decreased from 0.1563 and 0.0660 g/L on day 0 to 0.1100 and 0.0353 g/L, respectively, with TSS removal rates of 29.6% and 46.5%, respectively. The TSS concentration in the Ctrl group increased compared to that on day 0, whereas there was no significant change in the SP group. It can be seen that the addition of tilapia has a positive effect on removing particulate matter from the tail water of intensive shrimp bioflocculation cultures.

3.4. Changes in the Quality of Intensive Aquaculture Tail Water

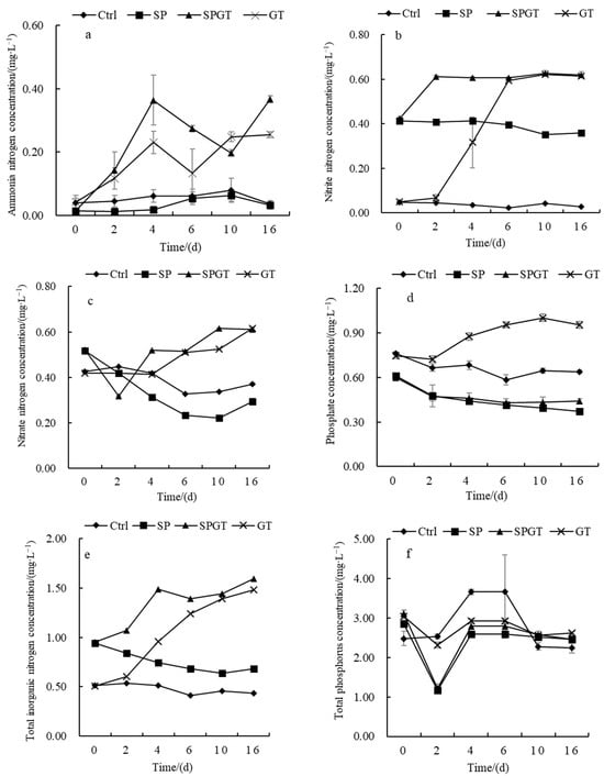
As shown in Figure 6, the initial nitrogen and phosphorus concentrations in the SP and SPGT groups differed slightly from those in the Ctrl and GT groups owing to the addition of the nitrogen- and phosphorus-rich concentrated Spirulina solution. Specifically, the phosphorus content in the water bodies of the SP and SPGT groups decreased, with a more pronounced decline observed on the second day of the experiment. The concentrations of ammonia nitrogen and nitrite nitrogen remained relatively stable in the SP group, hovering around 0.05 mg/L and 0.40 mg/L, respectively. After 16 d, the removal rates of nitrate, total inorganic nitrogen, phosphate, and total phosphorus were 43.2%, 27.7%, 39.3%, and 13.7%, respectively. By the end of the experiment, the phosphate and total rates in the SPGT group were 26.3% and 20.8%, respectively. Total inorganic nitrogen content exhibited an upward trend in the fish-supplemented groups (SPGT and GT).
The total inorganic nitrogen concentration in the SPGT and GT groups increased before and after the experiment, which may have been due to tilapia feeding, which released nitrogen from organic floc particles and Spirulina in the tail water back into the water environment. The increase in the concentration of total inorganic nitrogen in the water of the GT group was greater than that in the SPGT group, indicating that Spirulina can absorb some of the nitrogen produced by the fish’s metabolism.
As shown in Table 1, the environmental weather during the breeding experiment was relatively stable, and the temperature, dissolved oxygen concentration, pH value, and salinity of the water body were 30 ± 1 °C, 4.8 ± 0.2 mg/L, 8.8 ± 0.3, and 30 ± 0.5‰, respectively. Routine water quality indicators were relatively stable and met the normal growth requirements of tilapia and Spirulina. The light intensity on the water surface during the experiment was 1561.43–20358.57 Lx.

4. Discussion

4.1. The Impact of Water Quality on Fish and Algae

Water temperature is the primary factor determining the metabolism and energy consumption of fish and other poikilotherms [18]. It is also a crucial environmental factor influencing the respiration intensity and energy levels of microalgae [19,20]. Tilapia, a tropical fish species, requires an optimal growth temperature range of 24–32 °C [21]. Similarly, Spirulina thrives in high temperatures, with an optimal growth temperature range of 25–40 °C [22]. During this experiment, the temperature was maintained at approximately 30 °C, satisfying the temperature requirements for healthy tilapia and Spirulina growth. Dissolved oxygen is a key water quality factor that affects the healthy growth of aquatic organisms [23]. The dissolved oxygen content in fish, shrimp, and crab farming should be maintained at 4 mg/L or higher. In this study, a blower and nanotubes were used to continuously aerate and supply oxygen to the water for 24 h, ensuring that the dissolved oxygen levels remained at 4.5–5.0 mg/L. Throughout this period, the tilapia did not exhibit any signs of hypoxia. pH is another significant environmental factor in aquaculture and microalgae cultivation, influencing fish respiration, excretion, and microalgae growth [24]. Spirulina can survive well in a pH range of 8–11, and the tilapia did not show any pH stress response during the experiment. Light is the most crucial environmental factor, affecting the respiratory intensity and energy levels of microalgae. It is generally believed that the optimal light intensity for Spirulina growth is 25–30 klx [25,26]. In this experimental environment, light reached the aquaculture water surface through transparent plastic plates to ensure that illumination met the requirements for microalgal growth. Salinity is an environmental factor that affects aquatic organisms and is extremely important for the survival and reproduction of fish and microalgae. The preliminary experimental results showed that the tilapia and Spirulina used in the experiment could survive in seawater with a salinity of 30, and the growth-related indicators during the experiment were not significantly different from those in freshwater environments.

4.2. The Purification Effect of Tilapia on Suspended Solids in Experimental Water Bodies

Bioflocs can serve as feed for certain farmed animals; however, their intake is influenced by the feeding method, species, and size of the farmed animals, as well as the particle size and concentration of flocs [27,28,29,30]. The particle size of bioflocs is such that they can be ingested by omnivorous or filter-feeding fish as feed in aquaculture [27,31]. Tilapia, an omnivorous fish, can feed on plants and debris in the water. In 1989, Avnimelech et al. [2] used cellulose as a carbon source and found that tilapia can feed on and utilise bioflocs through C13 labelling. In 2009, Avnimelech et al. discovered that bioflocs provide nearly 50% of the proteins required for tilapia growth [3]. Zhu [32] found that the average absorption rate of bacterial flocs by tilapia was 81.4%. Tilapia can also absorb plankton cells by secreting mucus through its gills, rather than filtering them through the gill rakes like silver and bighead carp, which allows it to consume microphytoplankton with a diameter less than 5 μm [33]. The digestion rate of Microcystis aeruginosa can reach 78.1% [34]. In this study, the sedimentation volume and TSS of the bioflocs in both the SPGT and GT groups decreased significantly. The concentration of Spirulina in the water of the SPGT group significantly decreased on the fourth day of the experiment, and Spirulina cells were detected in the intestines and faeces of the tilapia. At the end of the experiment, the tilapia exhibited equally good feeding effects on floc particles in the tail water of the biofloc aquaculture and had a significant uptake of Spirulina in the tail water.

4.3. The Purification Effect of Fish and Algae on Intensive Aquaculture Effluent

Numerous studies have reported that Spirulina can purify wastewater [13,35,36]. This study also found that Spirulina had a purification effect on nitrogen and phosphorus in the tail water of biofloc aquaculture. The total inorganic nitrogen and phosphate removal rates in the SP group were 27.7% and 39.3%, respectively. Lu et al. studied the nitrogen and phosphorus absorption efficiency of Spirulina platensis in intensive aquaculture effluent after filtration and sterilisation and found that the removal rates of total inorganic nitrogen and phosphate were 46.1% and 61.2%, respectively [14]. There was a difference between the two results, which may be related to the different original background environments of the tested water bodies. In the present study, experiments were conducted using real-time bioflocs via Penaeus vannamei aquaculture at the original site of the farm. The water contained abundant microorganisms and other native organisms, which may have had a significant impact on the purification effect of Spirulina. This study found that the total inorganic nitrogen in both the SPGT and GT groups increased at the end of the experiment, which is consistent with the results of Ruan’s study on the increase in nitrogen in the water of tilapia raised in a net [37]. It is possible that tilapia release inorganic nitrogen back into the water while feeding on organic matter during physiological activities, thereby accelerating the conversion of organic nitrogen to inorganic nitrogen. The decrease in total inorganic nitrogen in the SPGT group compared to the GT group can be attributed to the purification effect of added Spirulina in the SPGT group.
This study analysed the removal effect of tilapia and Spirulina on bioflocs in aquaculture wastewater without extra feeding and comprehensively analysed the synergistic purification effect of fish and algae on the main nitrogen and phosphorus nutrients in wastewater. The results showed that the SP group with added algae had a good purification effect on inorganic nitrogen and phosphorus in tail water. The fish–algae-SPGT group had a good removal effect on phosphorus in the tail water through the food chain pathways of “nitrogen and phosphorus nutrients Spirulina tilapia” and “bioflocs tilapia”. If the biomass of fish and algae is not reasonably matched, it may significantly reduce the purification efficiency and even produce negative effects. Therefore, it is necessary to conduct further systematic research on the inlet characteristics, scientific matching of fish and algae biomasses, individual specifications of tilapia, and other important parameters of fish and algae tail water purification systems. Relevant mathematical models should be constructed to ensure the effective removal of high concentrations of nitrogen and phosphorus in zero-water-exchange intensive aquaculture tail water through “biological deposition” under the guidance of optimised model parameters. At the same time, scientific and technical support should be provided for the resource recycling and reuse of aquaculture tail water.

4.4. The Limitations and Feasibility of Fish–Algae-Coupling System

Our current research primarily focuses on the treatment of tail water from aquaculture in biofloc systems. Although the fish–algae-coupling system demonstrates promising potential in purifying nitrogen and phosphorus from shrimp aquaculture tail water, various factors need to be considered and thoroughly studied and evaluated before scaling it up to larger aquaculture farms. At the same time, it is also necessary to continuously explore and optimise the design and operation of the system to improve its purification efficiency and feasibility. The photosynthetic efficiency of algae is significantly affected by water temperature. Excessive or insufficient water temperature can lead to a decrease in the photosynthetic efficiency of algae, thereby affecting their ability to absorb nitrogen and phosphorus. Although both tilapia and spirulina can adapt to salinity changes within a certain range, excessively high or low salinity may affect their growth and metabolism, thereby affecting the purification effect of tail water. Expanding the fish algae coupling system to larger aquaculture farms may require more resource inputs, such as land, water sources, equipment, etc. Meanwhile, the complexity of the system may also increase, making management and maintenance more difficult. The purification effect of the fish–algae-coupling system may vary under different geographical and environmental conditions. Therefore, before expanding the system scale, it is necessary to conduct sufficient environmental assessment and adaptability research.

5. Conclusions

In this study, GIFT Oreochromis niloticus and Spirulina platensis were introduced into the tail water of shrimp biofloc aquaculture, individually and together, without extra feeding (meaning that the fish fed on floc particles in the water and the algae absorbed inorganic nitrogen and phosphorus). The biological purification effects of tilapia and Spirulina on nitrogen and phosphorus in the tail water under different conditions were analysed, and it was found that there was no significant difference in body length and weight of tilapia in the fish-only and fish–algae groups. The tilapia fed well on organic particles in bioflocs and on Spirulina. The removal rates of the biofloc sedimentation volume and total suspended particle concentration in the fish–algae group were 42.6% and 29.6%, respectively. Tilapia also had a positive feeding effect on Spirulina. Algae cells decreased significantly, and the removal rates of biofloc sedimentation volume and total suspended particles in the tail water of the fish-only group were 54.7% and 46.5%, respectively. Adding Spirulina platensis to the tail water of bioflocs can effectively remove nitrogen and phosphorus. The removal rates of total inorganic nitrogen and phosphate in the algae-only group before and after the experiment were 27.7% and 39.3%, respectively, while the removal rates of phosphate and total phosphorus in the fish–algae group were 26.3% and 20.8%, respectively.
The fish–algae-coupling culture model has achieved significant results. This culture model not only improves the efficiency of aquaculture but also improves the water quality of the environment, providing new ideas for the sustainable development of the aquaculture industry. In the future, with in-depth research on the fish–algae-coupling breeding model and the continuous promotion of technology, its application prospect in aquaculture tail water treatment will be broader. At the same time, it is also necessary to further strengthen the research on different types of algae, fish, and aquaculture environments to optimise the fish–algae-coupling aquaculture model and improve its purification effect on nitrogen and phosphorus.

Author Contributions

Conceptualization, Y.C.; methodology, Y.C. and G.W.; formal analysis, Z.S. and Z.P.; investigation, Y.X. and Z.P.; data curation, Z.S.; writing—original draft preparation, Z.S.; writing—review and editing, Z.S., X.H. and H.S.; Supervision, Y.C. and G.W.; funding acquisition, X.H. and Y.C. All authors have read and agreed to the published version of the manuscript.

Funding

This research was funded by National Key R&D Program of China (2023YFD2401703), Southern Marine Science and Engineering Guangdong Laboratory (Zhuhai) (No. SML2023SP236), the key R&D Program of Guangdong Province (2021B0202040001); the Central Public-Interest Scientific Institution Basal Research Fund, CAFS (2023TD57); the earmarked fund for CARS-48; and the Central Public-Interest Scientific Institution Basal Research Fund, South China Sea Fisheries Research Institute, CAFS (2024XT01).

Institutional Review Board Statement

The animal study protocol was approved by the Animal Care and Use Committee of the South China Sea Fisheries Research Institute, Chinese Academy of Fishery Sciences (SCSFRI-CAFS, No. nhdf2024-13).

Data Availability Statement

The datasets generated and analysed during the current study are available from the corresponding author upon reasonable request.

Conflicts of Interest

The authors declare no conflicts of interest.

References

  1. Li, C. Research and Application of Biological Flocs as Bait for Bighead Carp. Master’s Thesis, Shanghai Ocean University, Shanghai, China, 2012. [Google Scholar]
  2. Avnimelech, Y.; Mokady, S.; Schroeder, G.L. Circulated ponds as efficient bioreactors for single cell protein production. Isr. J. Aquac. 1989, 41, 58–66. [Google Scholar]
  3. Avnimelech, Y.; Kochba, M. Evaluation of nitrogen uptake and excretion by tilapia in bio floc tanks, using 15N tracing. Aquac. Aquac. Amst. 2009, 287, 163–168. [Google Scholar] [CrossRef]
  4. Wang, C.; Gao, Q.; Tan, H.; Liu, W.; Luo, G. Effects of initial establishment of a biofloc technology system on the growth and immune enzyme activity of GIFT tilapia (Oreochromis niloticus). J. Fish. Sci. China 2015, 22, 707–715. [Google Scholar]
  5. Li, C.; Li, Z.; Han, L.; Du, Y. Effect of biofloc technology (BFT) on tilapia fingerlings indoor cultivation. J. Aquacult 2015, 36, 29–35. [Google Scholar]
  6. Hargreaves, J.A. Photosynthetic suspended-growth systems in aquaculture. Aquacult. Eng. 2006, 34, 344–363. [Google Scholar] [CrossRef]
  7. Crab, R.; Kochva, M.; Verstraete, W.; Avnimelech, Y. Bio-flocs technology application in over-wintering of tilapia. Aquacult. Eng. 2009, 40, 105–112. [Google Scholar] [CrossRef]
  8. Yu, Y.; Luo, G.; Liu, W.; Tan, H.; Zhang, N.; Li, S.; Fu, X. Preliminary study on culturing tilapia(GIFT, Oreochromis niloticus) with algal-bacterial biofloc technology. Freshw. Fish. 2019, 49, 80–85 + 92. [Google Scholar]
  9. Dong, Y.; Fan, L.; Qiu, L.; Li, D.; Qin, L.; Dong, X.; Chen, J. Effects of photosynthetic bacteria enhancing bioflocs as alternative feed on the growth, water environment and microbial diversity of tilapia. Jiangsu Agric. Sci. 2020, 48, 167–174. [Google Scholar]
  10. Zhang, Y. Pollutant Removal and Phycocyanin Production in the Cultivation of Spirulina platensis by Food Industry Wastewater. Master’s Thesis, Harbin Institute of Technology, Harbin, China, 2020. [Google Scholar]
  11. Hui, M. The Spirulina platensis Culture and Removal Nitrogen and Phosphorus of Eutrophic Water. Master’s Thesis, Inner Mongolia University, Hohhot, China, 2013. [Google Scholar]
  12. Zhao, X.; Yang, K.; Fang, T.; Li, J.; Lu, W. Growth feature and nitrogen and phosphorus removal characteristics of three microalgae in turtle breeding wastewater. Water Resour. Prot. 2018, 34, 83–87 + 94. [Google Scholar]
  13. Wang, Y.; Yang, L.; Zhang, J.; Su, R.; Chen, L.; Wang, J. Culture of Spirulina Maxima using brewery wastewater. Environ. Prot. Chem. Ind. 2014, 34, 257–261. [Google Scholar]
  14. Lu, M.; Cao, Y.; Hu, X.; Xu, Y.; Sun, Z.; Zhang, J.; Wen, G. Removal effect of Spirulina platensis SPl on the inorganic nitrogen and phosphorus from the intensive aquaculture tailwater. Ecol. Sci. 2021, 40, 125–132. [Google Scholar]
  15. GB/T 17378.4-2007; The Specification for Marine Monitoring—Part 4: Seawater Analysis. Standards Press of China: Beijing, China, 2008.
  16. De Schryver, P.; Verstraete, W. Nitrogen removal from aquaculture pond water by heterotrophic nitrogen assimilation in lab-scale sequencing batch reactors. Bioresour. Technol. 2009, 100, 1162–1167. [Google Scholar] [CrossRef] [PubMed]
  17. Wang, S.; Li, Z.; Cao, Y.; Chen, S.; Yang, Y. Interspecific competition among Nannochloropsis sp., Cryptomonas erosa and Oscillatoria sp. J. Fish. Sci. China 2009, 16, 765–772. [Google Scholar]
  18. Tian, M.; Liang, Y.; Guo, Z.; Zhou, B.; Yang, G. The influence of salinity variation on hematological parameters of new gift Nile tilapia(Oreochromis niloticus). Hubei Agric. Sci. 2015, 54, 2448–2450. [Google Scholar]
  19. Glencross, B.D. A factorial growth and feed utilization model for barramundi, Lates calcarifer based on Australian production conditions. Aquacult. Nutr. 2010, 14, 360–373. [Google Scholar] [CrossRef]
  20. Liu, F. Condition control in high density culture of Spirulina. Food Ferment. Technol. 2009, 45, 26–29. [Google Scholar]
  21. Lu, C. Effects of Environmental Factors on the Growth of Red Tilapia and Sex Determination Abstract. Master’s Thesis, Fuzhou University, Fuzhou, China, 2014. [Google Scholar]
  22. Lin, L.; Hu, H. Optimization of cultivation conditions for a Spirulina Plant. Sci. Technol. Assoc. Forum 2011, 11, 73–74. [Google Scholar]
  23. Peer Mohamed, M.P.; Kutty, M.N. Low ambient oxygen tolerance in some freshwater teleosts. Experientia 1982, 38, 587–588. [Google Scholar] [CrossRef]
  24. Jin, F.; Guo, Z.; Zhou, R.; Li, L.; Li, H. Research on Change of Physical and Chemical Factors of Schizothorax lissolabiatus Tsao Pond Aquaculture water Quality in High and Low Temperature Seasons in Lancang River. Mod. Agric. Sci. Technol. 2014, 24, 263–265, 269. [Google Scholar]
  25. Tian, H.; Zhao, Q.; Guo, M.; Zhang, Y. The Advances of the Factors Affecting the cell product of Spirulina. J. Guizhou Univ. Technol. (Nat. Sci. Ed.) 2005, 3, 28–32. [Google Scholar]
  26. Pan, Y.; Zou, N.; Liang, Y. The advance of research on Spriulina cultivate. Life Sci. Instrum. 2008, 9, 48–50. [Google Scholar]
  27. Azim, M.E.; Little, D.C. The biofloc technology (BFT) in indoor tanks: Water quality, biofloc composition, and growth and welfare of Nile tilapia (Oreochromis niloticus). Aquaculture 2008, 283, 29–35. [Google Scholar] [CrossRef]
  28. Nhan, D.T.; Wille, M.; De Schryver, P.D.; Defoirdt, T.; Bossier, P.; Sorgeloos, P. The effect of poly β-hydroxybutyrate on larviculture of the giant freshwater prawn Macrobrachium rosenbergii. Aquaculture 2010, 302, 76–81. [Google Scholar] [CrossRef]
  29. Crab, R.; Chielens, B.; Wille, M.; Bossier, P.; Verstraete, W. The effect of different carbon sources on the nutritional value of bioflocs, a feed for Macrobrachium rosenbergii postlarvae. Aquacult. Res. 2010, 41, 559–567. [Google Scholar] [CrossRef]
  30. Krummenauer, D.; Peixoto, S.; Cavalli, R.O.; Poersch, L.H.; Wasielesky, W. Superintensive Culture of White Shrimp, Litopenaeus vannamei, in a Biofloc Technology System in Southern Brazil at Different Stocking Densities. J. World Aquac. Soc. 2011, 42, 726–733. [Google Scholar] [CrossRef]
  31. Luo, W. The Application of Bioflocs Technology for Crucian Carp (Carassius auratus) Aquaculture. Master’s Thesis, Shanghai Ocean University, Shanghai, China, 2013. [Google Scholar]
  32. Zhu, X. Bacteria floccule as diet of filter-feeding fishes. J. Fish. China 1989, 4, 339–345. [Google Scholar]
  33. Lu, K. The Interaction Between Cyanobacterial Bloom and Two Phytoplanktivorous Aquatic Animals. Ph.D. Thesis, Ocean University of China, Qingdao, China, 2009. [Google Scholar]
  34. Wang, Y.; Lu, K.; Zhou, J. Preliminary study on the digestibility of Microcystis aeruginosa by tilapia. Water Conserv. Fish. 2003, 4, 15–16. [Google Scholar]
  35. Can, S.; Demir, V.; Can, E. Evaluating the dilution of municipal wastewater on biomass increase, lipid production and nutrient removal by the blue-green algae Spirulina platensis (Geitler). Fresenius Environ. Bull. 2015, 24, 904–909. [Google Scholar]
  36. Liu, R.; Ma, J.; Ma, W.; Chen, F.; Chen, T. Studies on cultivating Spirulina in dairy effluent. Mar. Sci. Bull. 2000, 1, 68–72. [Google Scholar]
  37. Ruan, J.; Liu, Q.; Wang, S.; Rong, K. Effect of Nile tilapia on nutrient levels of freshwater microcosms. Chin. J. Appl. Ecol. 1993, 4, 404–409. [Google Scholar]
Figure 1. Tilapia weight (a) and length (b) change. Statistically significant differences between the two groups are denoted by different letters (p < 0.05).
Figure 1. Tilapia weight (a) and length (b) change. Statistically significant differences between the two groups are denoted by different letters (p < 0.05).
Fishes 09 00490 g001
Figure 2. Changes in microalgae concentration. Statistically significant differences between the two groups are denoted by different letters (p < 0.05).
Figure 2. Changes in microalgae concentration. Statistically significant differences between the two groups are denoted by different letters (p < 0.05).
Fishes 09 00490 g002
Figure 3. Microscopic morphology of Spirulina platensis. (a) Dissected tilapia sample, (b) Spirulina tissue from tilapia gut (10 × 10), and (c) Spirulina tissue from tilapia faeces (10 × 10).
Figure 3. Microscopic morphology of Spirulina platensis. (a) Dissected tilapia sample, (b) Spirulina tissue from tilapia gut (10 × 10), and (c) Spirulina tissue from tilapia faeces (10 × 10).
Fishes 09 00490 g003
Figure 4. Changes in the sedimentation volume of bioflocs in water. Statistically significant differences between the groups are denoted by different letters (p < 0.05).
Figure 4. Changes in the sedimentation volume of bioflocs in water. Statistically significant differences between the groups are denoted by different letters (p < 0.05).
Fishes 09 00490 g004
Figure 5. Changes in the concentration of total suspended particulate matter in water. Statistically significant differences between the groups are denoted by different letters (p < 0.05).
Figure 5. Changes in the concentration of total suspended particulate matter in water. Statistically significant differences between the groups are denoted by different letters (p < 0.05).
Fishes 09 00490 g005
Figure 6. Concentration variation of nitrogen and phosphorus nutrients. (a) Ammonia nitrogen, (b) nitrite nitrogen, (c) nitrate nitrogen, (d) phosphate, (e) total inorganic nitrogen, and (f) total phosphorus.
Figure 6. Concentration variation of nitrogen and phosphorus nutrients. (a) Ammonia nitrogen, (b) nitrite nitrogen, (c) nitrate nitrogen, (d) phosphate, (e) total inorganic nitrogen, and (f) total phosphorus.
Fishes 09 00490 g006
Table 1. Changes in physical and chemical indicators in the experimental water.
Table 1. Changes in physical and chemical indicators in the experimental water.
Group Physical and Chemical Indicators
Temperature (°C)Dissolved Oxygen (mg/L)pHSalinity (‰)
Ctrl30 ± 14.5–5.08.5–8.730 ± 0.5
SP30 ± 14.5–5.08.5–9.130 ± 0.5
SPGT30 ± 14.5–5.08.5–9.130 ± 0.5
GT30 ± 14.5–5.08.5–8.730 ± 0.5
Disclaimer/Publisher’s Note: The statements, opinions and data contained in all publications are solely those of the individual author(s) and contributor(s) and not of MDPI and/or the editor(s). MDPI and/or the editor(s) disclaim responsibility for any injury to people or property resulting from any ideas, methods, instructions or products referred to in the content.

Share and Cite

MDPI and ACS Style

Sun, Z.; Hu, X.; Xu, Y.; Wen, G.; Su, H.; Pan, Z.; Cao, Y. Purification Effect of Fish–Algae Coupling on Nitrogen and Phosphorus in Shrimp Aquaculture Effluent. Fishes 2024, 9, 490. https://doi.org/10.3390/fishes9120490

AMA Style

Sun Z, Hu X, Xu Y, Wen G, Su H, Pan Z, Cao Y. Purification Effect of Fish–Algae Coupling on Nitrogen and Phosphorus in Shrimp Aquaculture Effluent. Fishes. 2024; 9(12):490. https://doi.org/10.3390/fishes9120490

Chicago/Turabian Style

Sun, Zhiwei, Xiaojuan Hu, Yu Xu, Guoliang Wen, Haochang Su, Zhiheng Pan, and Yucheng Cao. 2024. "Purification Effect of Fish–Algae Coupling on Nitrogen and Phosphorus in Shrimp Aquaculture Effluent" Fishes 9, no. 12: 490. https://doi.org/10.3390/fishes9120490

APA Style

Sun, Z., Hu, X., Xu, Y., Wen, G., Su, H., Pan, Z., & Cao, Y. (2024). Purification Effect of Fish–Algae Coupling on Nitrogen and Phosphorus in Shrimp Aquaculture Effluent. Fishes, 9(12), 490. https://doi.org/10.3390/fishes9120490

Article Metrics

Back to TopTop