Distribution, Occupancy, and Habitat of the Endangered Carolina Madtom: Implications for Recovery of an Endemic Stream Fish
Abstract
1. Introduction
2. Materials and Methods
2.1. Study Area
2.2. Study Design and Conditions
2.3. Occupancy Modeling Data Analysis
2.4. Habitat Data Analysis
3. Results
3.1. Snorkel Surveys
3.2. Occupancy Modeling
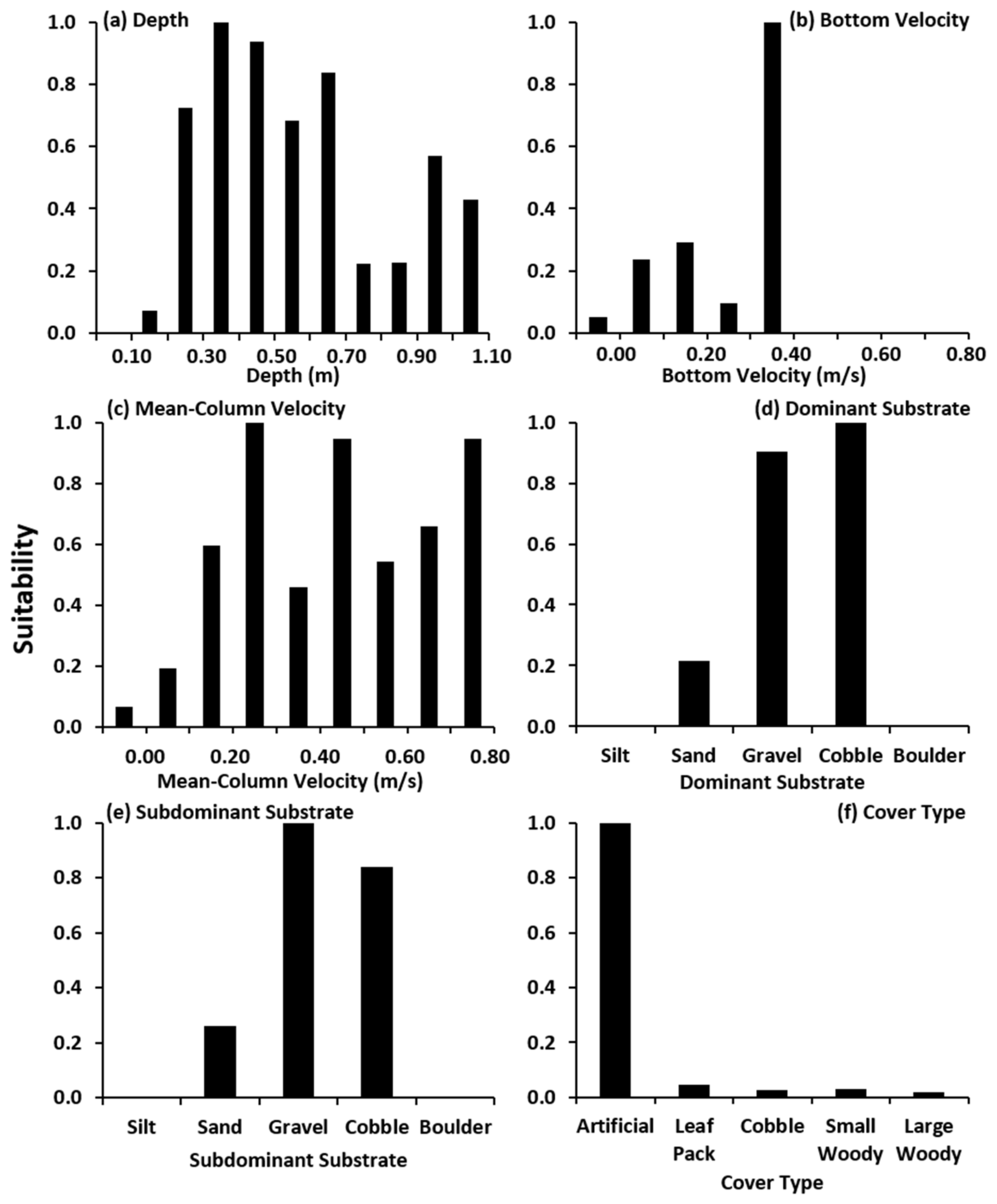
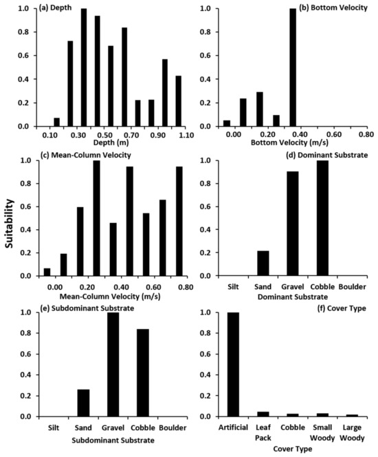
3.3. Microhabitat Use, Availability, and Suitability
4. Discussion
5. Conclusions
Author Contributions
Funding
Institutional Review Board Statement
Informed Consent Statement
Data Availability Statement
Acknowledgments
Conflicts of Interest
References
- Jelks, H.L.; Walsh, S.J.; Burkhead, N.M.; Contreras-Balderas, S.; Diaz-Pardo, E.; Hendrickson, D.A.; Lyons, J.; Mandrak, N.E.; McCormick, F.; Nelson, J.S.; et al. Conservation status of imperiled North American freshwater and diadromous fishes. Fisheries 2008, 33, 372–407. [Google Scholar] [CrossRef]
- Ross, S.T.; Matthews, W.J. Evolution and ecology of North American freshwater fish assemblages. In Freshwater Fishes of North America: Petromyzontidae to Catostomidae; Warren, M.L., Burr, B.M., Eds.; Johns Hopkins University Press: Baltimore, MD, USA, 2014; pp. 1–49. [Google Scholar]
- Neves, R.J.; Bogan, A.E.; Williams, J.D.; Ahlstedt, S.A.; Hartfield, P.W. Status of aquatic mollusks in the southeastern United States: A downward spiral of diversity. In Aquatic Fauna in Peril: The Southeastern Perspective; Benz, G.W., Collins, D.E., Eds.; Southeast Aquatic Research Institute, Lenz Design and Communications: Decatur, GA, USA, 1997; pp. 43–85. [Google Scholar]
- Warren, M.L.; Angermeier, P.L.; Burr, B.M.; Haag, W.R. Decline of a diverse fish fauna: Patterns of imperilment and protection in the southeastern United States. In Aquatic Fauna in Peril: The Southeastern Perspective; Benz, G.W., Collins, D.E., Eds.; Southeast Aquatic Research Institute, Lenz Design and Communications: Decatur, GA, USA, 1997; pp. 105–164. [Google Scholar]
- Burkhead, N.M.; Walsh, S.J.; Freeman, B.J.; Williams, J.D. Status and restoration of the Etowah River, and imperiled southern Appalachian ecosystem. In Aquatic Fauna in Peril: The Southeastern Perspective; Benz, G.W., Collins, D.E., Eds.; Southeast Aquatic Research Institute, Lenz Design and Communications: Decatur, GA, USA, 1997; pp. 375–444. [Google Scholar]
- Etnier, D.A. Jeopardized southeastern freshwater fishes: A search for causes. In Aquatic Fauna in Peril: The Southeastern Perspective; Benz, G.W., Collins, D.E., Eds.; Southeast Aquatic Research Institute, Lenz Design and Communications: Decatur, GA, USA, 1997; pp. 87–104. [Google Scholar]
- Warren, M.L.; Burr, B.M.; Walsh, S.J.; Bart, H.L.; Cashner, R.C.; Etnier, D.A.; Freeman, B.J.; Kuhajda, B.R.; Mayden, R.L.; Robison, H.W.; et al. Diversity, distribution, and conservation status of the native freshwater fishes of the Southern United States. Fisheries 2000, 25, 7–31. [Google Scholar] [CrossRef]
- Master, L.L.; Flack, S.R.; Stein, B.A. Rivers of Life: Critical Watersheds for Protecting Freshwater Biodiversity; The Nature Conservancy: Arlington, VA, USA, 1998. [Google Scholar]
- Angermeier, P.L. Ecological attributes of extinction-prone species: Loss of freshwater fishes of Virginia. Cons. Biol. 1995, 9, 143–158. [Google Scholar] [CrossRef]
- Dudgeon, D.A.; Arthington, H.; Gessner, M.O.; Kawabata, Z.; Knowler, D.J.; Lévêque, C.; Naiman, R.J.; Prieur-Richard, A.; Soto, D.; Stiassny, M.L.; et al. Freshwater biodiversity: Importance, threats, status and conservation challenges. Biol. Rev. 2006, 81, 163–182. [Google Scholar] [CrossRef]
- Kwak, T.J.; Porath, M.T.; Michaletz, P.H.; Travnichek, V.H. Catfish science: Status and trends in the 21st century. In Conservation, Ecology, and Management of Catfish: The Second International Symposium; Michaletz, P.H., Travnichek, V.H., Eds.; American Fisheries Society Symposium 77: Bethesda, MD, USA, 2011; pp. 755–780. [Google Scholar]
- Burr, B.M.; Kuhajda, B.R.; Dimmick, W.W.; Grady, J.M. Distribution, biology, and conservation status of the Carolina Madtom, Noturus furiosus, an endemic North Carolina catfish. Brimleyana 1989, 15, 57–86. [Google Scholar]
- Midway, S.R.; Kwak, T.J.; Aday, D.D. Habitat suitability of the Carolina Madtom, an imperiled, endemic stream fish. Trans. Am. Fish. Soc. 2010, 139, 325–338. [Google Scholar] [CrossRef]
- Cope, W.R.; Kwak, T.J.; Black, T.R.; Pacifici, K. Evaluation of artificial cover units as a sampling technique and habitat enhancement for madtoms in rivers. N. Am. J. Fish. Manag. 2019, 39, 778–787. [Google Scholar] [CrossRef]
- Midway, S.R.; Aday, D.D.; Kwak, T.J.; Gross, K. Cover preference of the Carolina Madtom (Noturus furiosus), an imperiled endemic southeastern stream fish. J. Freshwat. Ecol. 2010, 25, 151–154. [Google Scholar] [CrossRef]
- LeGrand, H.E.; McRae, S.E.; Hall, S.P.; Finnegan, J.T. Natural Heritage Program List of the Rare Animal Species of North Carolina; North Carolina Natural Heritage Program, Division of Natural Resource Planning and Conservation, North Carolina Department of Environment and Natural Resources: Raleigh, NC, USA, 2008. [Google Scholar]
- North Carolina Natural Heritage Program. Natural Heritage Program List of Rare Animal Species of North Carolina 2016; North Carolina Natural Heritage Program: Raleigh, NC, USA, 2016. [Google Scholar]
- U.S. Fish and Wildlife Service. Endangered and threatened wildlife and plants; threatened species status with section 4(d) rule for Neuse River Waterdog, and endangered species status for Carolina Madtom, and designations of critical habitat. Fed. Regist. 2021, 86, 30688. [Google Scholar]
- Wood, C.J.; Nichols, R.B. Status Assessment of the Carolina Madtom Final Report; North Carolina Wildlife Resources Commission: Raleigh, NC, USA, 2008. [Google Scholar]
- Wood, C.J.; Nichols, R.B. Status assessment of the Carolina Madtom: A rare North Carolina endemic. In Conservation, Ecology, and Management of Catfish: The Second International Symposium; Michaletz, P.H., Travnichek, V.H., Eds.; American Fisheries Society Symposium 77: Bethesda, MD, USA, 2011; pp. 295–303. [Google Scholar]
- North Carolina Department of Environmental Quality. Neuse River Basinwide Water Quality Plan; North Carolina Department of Environmental Quality: Raleigh, NC, USA, 2009. [Google Scholar]
- NatureServe. Noturus furiosus. The IUCN Red List of Threatened Species 2014: E.T14901A19033935. 2014. Available online: https://www.iucnredlist.org/species/14901/19033935 (accessed on 10 May 2016).
- Bayless, J.D.; Smith, W.B. Survey and Classification of the Neuse River and Tributaries, North Carolina; North Carolina Wildlife Resources Commission: Raleigh, NC, USA, 1962. [Google Scholar]
- Smith, W.B.; Bayless, J.D. Survey and Classification of the Tar River and Tributaries, North Carolina; North Carolina Wildlife Resources Commission: Raleigh, NC, USA, 1964. [Google Scholar]
- North Carolina Division of Water Resources. Neuse River Basin Water Resources Plan; North Carolina Department of Environment and Natural Resources: Raleigh, NC, USA, 2010. [Google Scholar]
- North Carolina Wildlife Resources Commission. North Carolina Wildlife Action Plan; North Carolina Wildlife Resources Commission: Raleigh, NC, USA, 2015. [Google Scholar]
- North Carolina Division of Water Resources. State Water Supply Plan; North Carolina Department of Environment and Natural Resources: Raleigh, NC, USA, 2001. [Google Scholar]
- North Carolina Department of Environmental Quality. Tar-Pamlico River Basin 2010 Water Quality Plan; North Carolina Department of Environmental Quality: Raleigh, NC, USA, 2010. [Google Scholar]
- Terando, A.J.; Costanza, J.; Belyea, C.; Dunn, R.R.; McKerrow, A.; Collazo, J.A. The southern megalopolis: Using the past to predict the future of urban sprawl in the southeast U.S. PLoS ONE 2014, 9, e102261. [Google Scholar] [CrossRef]
- Cope, W.R. Status, Trends, Habitat, and Genetics of the Endemic Carolina Madtom. Master’s Thesis, North Carolina State University, Raleigh, NC, USA, 2018. [Google Scholar]
- Ensign, W.E.; Angermeier, P.L.; Dolloff, C.A. Use of line transect methods to estimate abundance of benthic stream fishes. Can. J. Fish. Aquat. Sci. 1995, 52, 213–222. [Google Scholar] [CrossRef]
- Thompson, W.L. Hankin and Reeves’ approach to estimating fish abundance in small streams: Limitations and alternatives. Trans. Am. Fish. Soc. 2003, 132, 69–75. [Google Scholar] [CrossRef]
- Weaver, D.M.; Kwak, T.J.; Pollock, K.H. Sampling characteristics and calibration of snorkel counts to estimate stream fish populations. N. Am. J. Fish. Manag. 2014, 34, 1159–1166. [Google Scholar] [CrossRef]
- Moyer, G.R.; Williams, A. Assessment of genetic diversity of American shad in the Santee-Cooper River basin of South Carolina before hatchery augmentation. Mar. Coast. Fish. 2012, 4, 312–326. [Google Scholar] [CrossRef]
- Cope, W.R.; Kwak, T.J.; Black, T.R.; Pacifici, K.; Harris, S.C.; Miller, C.M.; Raley, M.E.; Hallerman, E.M. Genetic structure and diversity of the endemic Carolina Madtom and conservation implications. N. Am. J. Fish. Manag. 2021, 41, S27–S41. [Google Scholar] [CrossRef]
- Braswell, A.L.; Ashton, R.E., Jr. Distribution, ecology, and feeding habits of Necturus lewisi (Brimley). Brimleyana 1985, 10, 13–35. [Google Scholar]
- Teitsworth, E.W. Multi-Scale Assessment of the Drivers of Neuse River Waterdog (Necturus lewisi) Distribution and Recruitment. Ph.D. Thesis, North Carolina State University, Raleigh, NC, USA, 2024. [Google Scholar]
- Bovee, K.D.; Milhous, R.T. Hydraulic Simulation in Instream Flow Studies: Theory and Technique; Instream Flow Information Paper 5; U.S. Fish and Wildlife Service: Fort Collins, CO, USA, 1978. [Google Scholar]
- MacKenzie, D.I.; Nichols, J.D.; Lachman, G.B.; Droege, S.; Royle, J.A.; Langtimm, C.A. Estimating site occupancy rates when detection probabilities are less than one. Ecology 2002, 83, 2248–2255. [Google Scholar] [CrossRef]
- Hines, J.E. PRESENCE2: Software to Estimate Patch Occupancy and Related Parameters; U.S. Geological Survey; Patuxent Wildlife Research Center: Laurel, MD, USA, 2006. [Google Scholar]
- Kendall, W.L.; White, G.C. A cautionary note on the substituting spatial subunits for repeated temporal sampling in studies of site occupancy. J. Appl. Ecol. 2009, 46, 1182–1188. [Google Scholar] [CrossRef]
- Taylor, R.T. A Revision of the Catfish Genus Noturus (Rafinesque), with an Analysis of Higher Groups in the Ictaluridae; Smithsonian Institution Press: Washington, DC, USA, 1969. [Google Scholar]
- Burr, B.M.; Stoeckel, J.N. The natural history of madtoms (genus Noturus), North America’s diminutive catfishes. In Catfish 2000: Proceedings of the International Ictalurid Symposium; American Fisheries Society, Symposium 24; Irwin, E.R., Hubert, W.A., Rabeni, C.F., Schramm, H.L., Jr., Coon, T., Eds.; American Fisheries Society: Bethesda, MD, USA, 1999; pp. 51–101. [Google Scholar]
- Akaike, H. Maximum likelihood identification of Gaussian autoregressive moving average models. Biometrika 1973, 60, 255–265. [Google Scholar] [CrossRef]
- Ruiz, J.C.; Peterson, J.T. An evaluation of the relative influence of spatial, statistical, and biological factors on the accuracy of stream fish species presence models. Trans. Am. Fish. Soc. 2007, 136, 1640–1653. [Google Scholar] [CrossRef]
- Tracy, B.H.; Rohde, F.C.; Smith, S.A.; Bissette, J.L.; Hogue, G.M. A Guide to North Carolina’s Freshwater Fishes; The University of North Carolina Press: Chapel Hill, NC, USA, 2024. [Google Scholar]
- Pine, W.E., III; Kwak, T.J.; Waters, D.S.; Rice, J.A. Diet selectivity of introduced Flathead Catfish in coastal rivers. Trans. Am. Fish. Soc. 2005, 134, 901–909. [Google Scholar] [CrossRef]
- Kwak, T.J.; Pine, W.E., III; Waters, D.S. Age, growth, and mortality of introduced Flathead Catfish in Atlantic rivers and a review of other populations. N. Am. J. Fish. Manag. 2006, 26, 73–87. [Google Scholar] [CrossRef]
- Baumann, J.R.; Kwak, T.J. Trophic relations of introduced Flathead Catfish in an Atlantic river. Trans. Am. Fish. Soc. 2011, 140, 1120–1134. [Google Scholar] [CrossRef]
- Hankin, D.G.; Reeves, G.H. Estimating total fish abundance and habitat area in small streams based on visual estimation methods. Can. J. Fish. Aquat. Sci. 1988, 45, 834–844. [Google Scholar] [CrossRef]
- Persinger, J.W.; Orth, D.J.; Newcomb, T.J. A comparison of snorkeling versus throwable anode electrofishing for evaluating stream fish habitat use. J. Freshwat. Ecol. 2004, 19, 547–557. [Google Scholar] [CrossRef]
- Albanese, B.; Owers, K.A.; Weiler, D.W.; Pruitt, W. Estimating occupancy of rare fishes using visual surveys, with a comparison to backpack electrofishing. Southeast. Nat. 2011, 10, 423–442. [Google Scholar] [CrossRef]
- Dunham, J.B.; Rosenberger, A.E.; Thurow, R.F.; Dolloff, C.A.; Howell, P.J. Coldwater fish in wadeable streams. In Standard Methods for Sampling North American Freshwater Fishes; Bonar, S.A., Hubert, W.A., Willis, D.W., Eds.; American Fisheries Society: Bethesda, MD, USA, 2009; pp. 1–20. [Google Scholar]
- Thurow, R.F.; Dolloff, C.A.; Marsden, J.E. Visual observation of fishes and aquatic habitats. In Fisheries Techniques, 3rd ed.; Zale, A.V., Parrish, D.L., Sutton, T.M., Eds.; American Fisheries Society: Bethesda, MD, USA, 2012; pp. 781–817. [Google Scholar]
- Collier, B.A.; Groce, J.E.; Morrison, M.L.; Newnam, J.C.; Campomizzi, A.J.; Farrell, S.L.; Mathewson, H.A.; Snelgrove, R.T.; Carroll, R.J.; Wilkins, R.N. Predicting patch occupancy in fragmented landscapes at the rangewide scale for an endangered species: An example of an American warbler. Divers. Distrib. 2012, 18, 158–167. [Google Scholar] [CrossRef]
- Magoulick, D.D.; Lynch, D.T. Occupancy and abundance modeling of the endangered Yellowcheek Darter in Arkansas. Copeia 2015, 103, 433–439. [Google Scholar] [CrossRef]
- Waters, T.F. Sediment in Streams: Sources, Biological Effects, and Control; American Fisheries Society Monograph 7: Bethesda, MD, USA, 1995. [Google Scholar]
- Van Nieuwenhuyse, E.E.; LaPerriere, J.D. Effects of placer gold mining on primary production in subarctic streams of Alaska. Water Resour. Bull. 1986, 22, 91–99. [Google Scholar] [CrossRef]
- Aldridge, D.W.; Payne, B.S.; Miller, A.C. The effects of intermittent exposure to suspended solids and turbulence on three species of freshwater mussels. Environ. Pollut. 1987, 45, 17–28. [Google Scholar] [CrossRef]
- Robison, H.W.; Harp, G.L. Distribution, habitat and food of the Ouachita Madtom, Noturus lachneri, a Ouachita River drainage endemic. Copeia 1985, 1985, 216–220. [Google Scholar] [CrossRef]
- Piller, K.R.; Bart, H.L., Jr.; Tipton, J.A. Decline of the Frecklebelly Madtom in the Pearl River based on contemporary and historical surveys. Trans. Am. Fish. Soc. 2004, 133, 1004–1013. [Google Scholar] [CrossRef]
- Wildhaber, M.L.; Tabor, V.M.; Mulhern, D.W.; Powell, K.L.; Sowa, S.P. 2000. Natural and anthropogenic influences on the distribution of the threatened Neosho Madtom in a midwestern warmwater stream. Trans. Am. Fish. Soc. 2000, 129, 243–261. [Google Scholar] [CrossRef]
- Boroughs, K.L.; Whitney, J.E.; King, A.D.; Holloway, J.A.; Clemens, A.N.; Thompson, A.D. Comparison of threatened Neosho Madtom (Noturus placidus) densities between riverscapes differing in anthropogenic stressors, with a particular focus on recovery from mining-derived metal pollution. Environ. Biol. Fishes 2024, 107, 59–73. [Google Scholar] [CrossRef]
- U.S. Fish and Wildlife Service. Recovery Outline for Carolina Madtom (Noturus furiosus); U.S. Fish and Wildlife Service: Atlanta, GA, USA, 2021. [Google Scholar]
- Tiemann, J.S.; Gillette, D.P. Effects of lowhead dams on riffle-dwelling fishes and macroinvertebrates in a midwestern river. Trans. Am. Fish. Soc. 2004, 133, 705–717. [Google Scholar] [CrossRef]
- Bovee, K.D. Development and Evaluation of Habitat Suitability Criteria for Use in the Instream Flow Incremental Methodology; U.S. Fish and Wildlife Service: Atlanta, GA, USA, 1986; Biological Report 86(7). [Google Scholar]
- Annear, T.; Chisholm, I.; Beecher, H.; Locke, A.; Aarrestad, P.; Burkardt, N.; Coomer, C.; Estes, C.; Hunt, J.; Jacobson, R.; et al. Instream Flows for Riverine Resource Stewardship, revised ed.; Instream Flow Council: Cheyenne, WY, USA, 2004. [Google Scholar]
- Orth, D.J.; Maughan, O.E. Evaluation of the incremental methodology for recommending instream flows for fishes. Trans. Am. Fish. Soc. 1982, 111, 413–445. [Google Scholar] [CrossRef]
- Simonson, T.D.; Neves, R.J. Habitat suitability and reproductive traits of the Orangefin Madtom Noturus gilberti (Pisces: Ictaluridae). Am. Midl. Nat. 1992, 127, 115–124. [Google Scholar] [CrossRef]
- Pine, W.E., III; Kwak, T.J.; Rice, J.A. Modeling management scenarios and the effects of an introduced apex predator on a coastal riverine fish community. Trans. Am. Fish. Soc. 2007, 136, 105–120. [Google Scholar] [CrossRef]
- Allen, G.T.; Blackford, S.H.; Tabor, V.M.; Cringan, M.S. Metals, boron, and selenium in Neosho Madtom habitat in the Neosho River in Kansas, USA. Environ. Monit. Assess. 2001, 66, 1–21. [Google Scholar] [CrossRef]
- Tear, T.H.; Scott, J.M.; Hayward, P.H.; Griffith, B. Status and prospects for success of the endangered species act: A look at recovery plans. Science 1993, 262, 976–977. [Google Scholar] [CrossRef]
- Conant, S. Saving endangered species by translocation: Are we tinkering with evolution? BioScience 1988, 38, 254–257. [Google Scholar] [CrossRef]
- Rakes, P.L.; Shute, J.R.; Shute, P.W. Reproductive behavior, captive breeding, and restoration ecology of endangered fishes. Environ. Biol. Fishes 1999, 55, 31–42. [Google Scholar] [CrossRef]
- Shute, J.R.; Rakes, P.L.; Shute, P.W. Reintroduction of four imperiled fishes in Abrams Creek, Tennessee. Southeast. Nat. 2005, 4, 93–110. [Google Scholar] [CrossRef]
- Throneberry, J.K. Reintroduction Success of Smoky Madtom Noturus baileyi and Yellowfin Madtom Noturus flavipinnis in Abrams Creek, Great Smoky Mountains National Park. Master’s Thesis, Tennessee Tech University, Cookeville, TN, USA, 2009. [Google Scholar]
- Alderman, J.M.; Braswell, A.L.; Hall, S.P.; Kelly, A.W.; McGrath, C. Biological Inventory: Swift Creek Subbasin; North Carolina Natural Heritage Program, North Carolina State Museum of Natural History, North Carolina Wildlife Resources Commission: Raleigh, NC, USA, 1993. [Google Scholar]
- North Carolina Natural Heritage Program. The Upper Tar River Basin: Swift Creek and Fishing Creek Subbasins; Biological Conservation Database: Raleigh, NC, USA, 1997. [Google Scholar]
- North Carolina Wildlife Resources Commission. Conservation Plan for Five Rare Aquatic Species Restricted to the Neuse and Tar-Pamlico River Basins in North Carolina; North Carolina Wildlife Resources Commission: Raleigh, NC, USA, 2020. [Google Scholar]




| 2016 | 2017 | |||
|---|---|---|---|---|
| Species | # Observed | # Sites | # Observed | # Sites (Locations) |
| Carolina Madtom | 15 | 1 | 44 | 5 (14) |
| Margined Madtom | 60 | 9 | 146 | 12 (31) |
| Channel Catfish | 49 | 11 | 94 | 7 (16) |
| Flathead Catfish | 12 | 1 | 4 | 1 (3) |
| Neuse River Waterdog | 29 | 8 | 58 | 11 (23) |
| Model | AICc | ΔAICc | Wi |
|---|---|---|---|
| Ψ(dominant), p(mean velocity) | 37.64 | 0.00 | 0.20 |
| Ψ(.), p(mean velocity) | 39.03 | 1.39 | 0.10 |
| Ψ(dominant), p(.) | 39.36 | 1.72 | 0.08 |
| Ψ(dominant), p(depth) | 39.98 | 2.34 | 0.06 |
| Ψ(subdominant), p(mean velocity) | 40.06 | 2.42 | 0.06 |
| Ψ(dominant), p(distance to cover) | 40.39 | 2.75 | 0.05 |
| Ψ(.), p(.) | 40.60 | 2.96 | 0.04 |
| Ψ(.), p(distance to cover) | 40.89 | 3.25 | 0.04 |
| Ψ(depth), p(mean velocity) | 40.89 | 3.25 | 0.04 |
| Ψ(.), p(depth) | 40.91 | 3.27 | 0.04 |
| Ψ(large woody), p(mean velocity) | 41.03 | 3.39 | 0.04 |
| Ψ(cobble), p(mean velocity) | 41.19 | 3.55 | 0.03 |
| Ψ(subdominant), p(.) | 41.61 | 3.97 | 0.03 |
| Ψ(large woody), p(.) | 42.14 | 4.50 | 0.02 |
| Model | β(Ψ) | 95% CI(Ψ) | β(p) | 95% CI(p) |
|---|---|---|---|---|
| Ψ(dominant), p(mean velocity) | −0.09 | −0.23–0.04 | −33.00 | −63.00–−3.01 |
| Ψ(.), p(mean velocity) | 0.67 | −0.43–1.76 | −31.69 | −63.73–0.34 |
| Ψ(dominant), p(.) | −0.08 | −0.20–0.04 | 1.53 | 0.26–2.79 |
| Midway et al. [13] | Current Study | |||||
|---|---|---|---|---|---|---|
| Variable | Mean/Mode | 95% CI | Range | Mean/Mode | 95% CI | Range |
| Depth (m) | 0.42 | 0.39–0.45 | 0.01–0.92 | 0.47 | 0.42–0.52 | 0.18–1.00 |
| Bottom velocity (m/s) | 0.14 | 0.12–0.16 | 0.00–0.43 | 0.1 | 0.08–0.12 | −0.03–0.39 |
| Mean-column velocity (m/s) | 0.22 | 0.20–0.24 | 0.00–0.58 | 0.22 | 0.18–0.26 | −0.02–0.77 |
| Substrate | Sand | – | – | Sand | – | – |
| Cover type | Cobble | – | – | Cobble | – | – |
| Neuse Basin | Tar Basin | ||
|---|---|---|---|
| Variable | Suitable Range | % Available | % Available |
| Depth | 0.30–0.49 m | 23.80 | 22.22 |
| Bottom velocity | 0.30–0.39 m/s | 2.71 | 1.97 |
| Mean-column velocity | 0.20–0.29 m/s | 10.96 | 13.25 |
| 0.40–0.49 m/s | 2.91 | 3.50 | |
| 0.70–0.79 m/s | 0.42 | 0.70 | |
| Dominant substrate | Cobble | 7.91 | 3.24 |
| Subdominant substrate | Gravel | 33.66 | 35.43 |
| Cover type | Artificial | 0.97 | 0.39 |
Disclaimer/Publisher’s Note: The statements, opinions and data contained in all publications are solely those of the individual author(s) and contributor(s) and not of MDPI and/or the editor(s). MDPI and/or the editor(s) disclaim responsibility for any injury to people or property resulting from any ideas, methods, instructions or products referred to in the content. |
© 2024 by the authors. Licensee MDPI, Basel, Switzerland. This article is an open access article distributed under the terms and conditions of the Creative Commons Attribution (CC BY) license (https://creativecommons.org/licenses/by/4.0/).
Share and Cite
Cope, W.R.; Kwak, T.J.; Black, T.R.; Pacifici, K.; Archambault, J.M.; Cope, W.G. Distribution, Occupancy, and Habitat of the Endangered Carolina Madtom: Implications for Recovery of an Endemic Stream Fish. Fishes 2024, 9, 454. https://doi.org/10.3390/fishes9110454
Cope WR, Kwak TJ, Black TR, Pacifici K, Archambault JM, Cope WG. Distribution, Occupancy, and Habitat of the Endangered Carolina Madtom: Implications for Recovery of an Endemic Stream Fish. Fishes. 2024; 9(11):454. https://doi.org/10.3390/fishes9110454
Chicago/Turabian StyleCope, W. Robert, Thomas J. Kwak, Tyler R. Black, Krishna Pacifici, Jennifer M. Archambault, and W. Gregory Cope. 2024. "Distribution, Occupancy, and Habitat of the Endangered Carolina Madtom: Implications for Recovery of an Endemic Stream Fish" Fishes 9, no. 11: 454. https://doi.org/10.3390/fishes9110454
APA StyleCope, W. R., Kwak, T. J., Black, T. R., Pacifici, K., Archambault, J. M., & Cope, W. G. (2024). Distribution, Occupancy, and Habitat of the Endangered Carolina Madtom: Implications for Recovery of an Endemic Stream Fish. Fishes, 9(11), 454. https://doi.org/10.3390/fishes9110454

