Sign in to use this feature.

Years

Between: -

Subjects

remove_circle_outline
remove_circle_outline
remove_circle_outline
remove_circle_outline
remove_circle_outline
remove_circle_outline
remove_circle_outline
remove_circle_outline
remove_circle_outline

Journals

remove_circle_outline
remove_circle_outline
remove_circle_outline

Article Types

Countries / Regions

remove_circle_outline
remove_circle_outline
remove_circle_outline
remove_circle_outline

Search Results (471)

Search Parameters:
Keywords = microhabitat

Order results
Result details
Results per page
Select all
Export citation of selected articles as:
12 pages, 11032 KB  
Brief Report
Citizen-Led Passive Restoration of a Cork Oak Stand Following the Cessation of Mowing: A Study of the Effects on the Herbaceous Plants
by Corrado Battisti, Nicola Acquisti Casi, Melissa Baroni, Walter Gabriel Chunga Calero, Alessio Fiumi, Alice Proietti, Valerio Sanna, Daniele Squarcia, Damiano Stazi, Giuliano Fanelli, Francesco Zullo and Massimiliano Scalici
Diversity 2026, 18(5), 258; https://doi.org/10.3390/d18050258 (registering DOI) - 26 Apr 2026
Abstract
The cessation of recurrent anthropogenic activities can promote vegetation succession. In this paper, we report a case study of passive restoration of the herbaceous plant vegetation associated with cork oaks carried out by citizens in collaboration with local farmers in a suburban area [...] Read more.
The cessation of recurrent anthropogenic activities can promote vegetation succession. In this paper, we report a case study of passive restoration of the herbaceous plant vegetation associated with cork oaks carried out by citizens in collaboration with local farmers in a suburban area of Rome (Italy). A sampling design has been carried out in two comparable patches using replicated plots: (i) a first patch corresponding to the passive restored area, evolving from an uncultivated field towards a cork oak forest, where the mowing activity was stopped in 2017, and (ii) a second patch corresponding to an uncultivated land periodically mowed as a control. We recorded 24 plant species in the restored patch and 9 in the control patch. The Shannon-Wiener diversity index was significantly higher in the restored patch when compared to the control. Whittaker diagrams, graphically representing evenness, showed significant differences among plotted values. The Chao 2 richness estimators evidence the differences between patches (52.17 species vs. 9), graphically observed in the sample rarefaction curves. An analysis in the 2017–2025 period showed a substantial increase in NDVI values in the restored patch (from 0.18 in 2017 to 0.28 in 2025; approximately +54% relative to 2017; mean NDVI increased from 0.181 in 2017 to 0.29 in 2025), indicating an increase in cover/biomass associated with the post-2017 restoration of the area. Suspending mowing, both humidity (due to the reduction in grass cover) and nutrients increase, and the pH is reduced (Ellenberg indices): it is possible that the young oak trees are comparatively more effective cation exchangers. Therefore, only a few years after mowing was suspended, we observed a marked recovery not only of the dominant cork oak component but also of the herbaceous species (Vulpio-Dasypyretum villosi association). Even young, isolated cork oak trees can act as nurse plants (or keystone structures), supporting many species and creating microhabitats for shade-tolerant plants. This passive restoration began when local citizens and a school asked landowners to stop mowing in an area where cork oaks were naturally regenerating, making it an example of autonomous citizen-led environmental management. Full article
(This article belongs to the Special Issue 2026 Feature Papers by Diversity's Editorial Board Members)
Show Figures

Figure 1

23 pages, 3113 KB  
Article
Microhabitat Primarily Structures Bacterial Communities, While Management History Shapes Functional Potential in Tomato-Associated Soils
by Santiago Adolfo Vio, Joaquín Rilling, Manuel Fernandez-Lopez, Milko Alberto Jorquera, Mariano Pistorio and María Flavia Luna
Diversity 2026, 18(5), 256; https://doi.org/10.3390/d18050256 (registering DOI) - 26 Apr 2026
Abstract
Intensive horticultural management modifies soil physicochemical conditions, yet its effects on microbial community assembly and functional organization remain poorly resolved. This study examined bulk soil (BS) and rhizosphere soil (Rh) bacterial communities associated with tomato plants grown in two contrasting commercial horticultural establishments: [...] Read more.
Intensive horticultural management modifies soil physicochemical conditions, yet its effects on microbial community assembly and functional organization remain poorly resolved. This study examined bulk soil (BS) and rhizosphere soil (Rh) bacterial communities associated with tomato plants grown in two contrasting commercial horticultural establishments: a long-term intensive monoculture (>10 years; MC) and a recently established system (FC). Total bacterial abundance and community structure were characterized using qPCR and 16S rRNA gene amplicon sequencing, respectively; the abundance and diversity of functional plant-growth-promoting (PGP) genes—nifH, phoD, and acdS—were assessed by qPCR and DGGE profiling. The MC system, associated with increased salinity, nutrient accumulation, and organic matter content, supported higher bacterial abundance, whereas the FC system showed a higher relative abundance of PGP genes. Amplicon sequencing revealed significant differentiation between BS and Rh, identifying microhabitat in tomato-associated soil as the primary driver of taxonomic structure, while site effects were weaker. In contrast, DGGE profiling supported differences in functional gene composition between management systems, whereas predicted pathway profiles inferred from 16S data were comparatively similar across samples. Overall, these results indicate that horticultural intensification is associated with shifts in predicted functional potential that are not paralleled by major changes in taxonomic structure. Full article
(This article belongs to the Special Issue Rhizosphere Microbial Community Diversity)
Show Figures

Figure 1

18 pages, 939 KB  
Article
Anthropogenic Environments Are Associated with High Body Surface Temperatures in an Equatorial Mammal, the Banded Mongoose
by Lucie A. Murphy, Monil Khera, Onismus Bwambale, Kevin Arbuckle, Francis Mwanguhya, Michael A. Cant and Hazel J. Nichols
Diversity 2026, 18(5), 243; https://doi.org/10.3390/d18050243 - 22 Apr 2026
Viewed by 173
Abstract
Global land use is changing rapidly, particularly in the tropics, where human populations have had relatively high growth rates in recent decades. This has resulted in wildlife increasingly living in or using anthropogenic environments, which often have different thermal properties in comparison to [...] Read more.
Global land use is changing rapidly, particularly in the tropics, where human populations have had relatively high growth rates in recent decades. This has resulted in wildlife increasingly living in or using anthropogenic environments, which often have different thermal properties in comparison to natural habitats. For example, materials used for buildings, such as concrete and brick, typically absorb, retain and radiate more heat than vegetated surfaces. The mosaic of man-made and natural areas formed when anthropogenic environments expand is therefore likely to generate microhabitats with different thermal properties. Here, we investigated the association between microhabitats and the body surface temperature of wild banded mongooses (Mungos mungo), a social mammal living in equatorial Uganda. After controlling for the significant effects of air temperature, humidity, time of day and body contact, we found that mongooses had the highest body surface temperatures when present on anthropogenic substrates, such as discarded roofing straw and refuse, while mongooses present on building materials, dead vegetation and bare soil had intermediate body surface temperatures. In contrast, mongooses had the lowest body surface temperatures when present in more natural, vegetated habitats. Although our study is relatively small scale and limited in scope, our results indicate that anthropogenic modifications to natural environments may result in hotter microhabitats, which may in turn impact space use, movement and thermoregulation in wildlife. We hope that our study encourages further research into this understudied but emerging topic. Full article
(This article belongs to the Special Issue Mammalian Diversity and Life-History Responses to Climate Change)
31 pages, 7567 KB  
Article
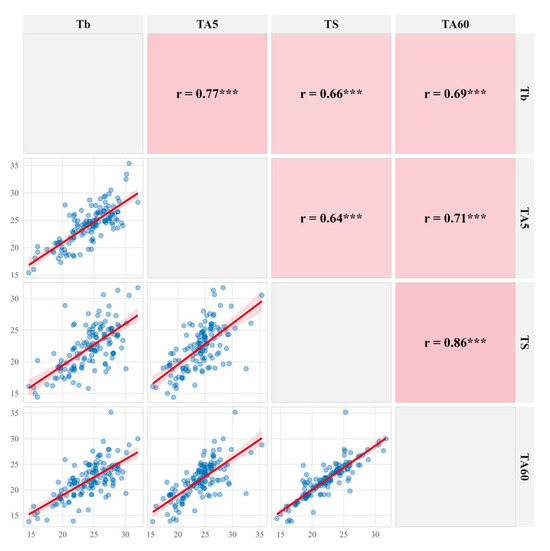
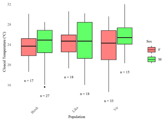
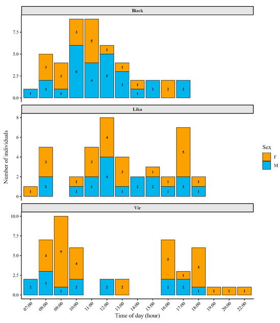
Predictors of Body Temperature in Nose-Horned Viper (Vipera ammodytes) Across Different Populations
by Mladen Zadravec, Roman Cesarec, Bartol Smutni, Mario Zadravec, Tomislav Gojak, Marko Glogoški and Duje Lisičić
Animals 2026, 16(8), 1239; https://doi.org/10.3390/ani16081239 - 17 Apr 2026
Viewed by 414
Abstract
Body temperature regulation in ectotherms is influenced by numerous environmental, morphological, and physiological factors, some of which operate in population-specific ways. Understanding how these factors shape thermal biology is important for species conservation. The nose-horned viper, an ecologically significant yet understudied mesopredator of [...] Read more.
Body temperature regulation in ectotherms is influenced by numerous environmental, morphological, and physiological factors, some of which operate in population-specific ways. Understanding how these factors shape thermal biology is important for species conservation. The nose-horned viper, an ecologically significant yet understudied mesopredator of southeastern Europe and Asia Minor, occupies diverse ecosystems facing ongoing degradation. Over five years, we investigated how 12 environmental, behavioral, morphological, and physiological variables influenced field body temperature across three climatically distinct populations of nose-horned vipers. Using an information-theoretic approach with model averaging, we identified important predictors and assessed population-specific effects. Air temperature at 5 cm above the snake’s position, humidity, and wind were highly important predictors across all populations, whereas physiological states (shedding and digestion) exerted weaker effects. Microhabitat type and time of day emerged as highly important population-specific predictors, while body size showed weaker, population-dependent effects. Neither sex, cloud cover, nor behavioral state contributed meaningfully to model fit. Mean body temperatures were similar across populations and sexes. By integrating environmental, behavioral, physiological, and morphological variables, this study comprehensively identifies predictors of body temperature in nose-horned vipers. Site-tailored maintenance of structurally diverse habitats is essential for preserving thermoregulatory opportunities and ensuring long-term persistence of nose-horned vipers. Full article
(This article belongs to the Section Herpetology)
Show Figures

Figure 1

21 pages, 6231 KB  
Article
Diversity Conservation Status, and Ecological Characteristics of Endangered Plant Species in Than Sa–Phuong Hoang Nature Reserve, Thai Nguyen Province, Vietnam
by Thi Thai Ha Dang, Van Hung Hoang, Cong Hoan Nguyen and Van Hai Do
Diversity 2026, 18(4), 228; https://doi.org/10.3390/d18040228 - 15 Apr 2026
Viewed by 275
Abstract
This study investigates plant species diversity, regeneration patterns, and the ecological drivers influencing endangered plant species in the Than Sa–Phuong Hoang Nature Reserve, Thai Nguyen Province, Vietnam. Although tropical forest ecosystems in Southeast Asia are known for their high biodiversity, there is still [...] Read more.
This study investigates plant species diversity, regeneration patterns, and the ecological drivers influencing endangered plant species in the Than Sa–Phuong Hoang Nature Reserve, Thai Nguyen Province, Vietnam. Although tropical forest ecosystems in Southeast Asia are known for their high biodiversity, there is still a lack of site-specific studies that integrate species diversity, regeneration dynamics, and environmental drivers at the reserve scale. A total of 15 standard plots (20 × 50 m) were established across three main forest types (limestone forests, soil mountain forests, and transitional forests) to assess species composition, community structure, and regeneration patterns. Multivariate analyses, including principal component analysis (PCA) and cluster analysis, were applied to identify key ecological factors shaping species distribution and regeneration. The results recorded 1234 plant species belonging to 171 families, confirming the high biodiversity of the study area. Regeneration capacity differed significantly among forest types and was strongly influenced by environmental variables such as canopy cover, soil moisture, topography, and human disturbance. Multivariate results revealed clear ecological differentiation among forest types, highlighting the role of environmental filtering in structuring plant communities. The three target species (Curculigo orchioides Gaertn, Parashorea chinensis, and Paphiopedilum hirsutissimum Stein) exhibited strong dependence on stable microhabitat conditions and showed limited regeneration under disturbed environments, indicating high sensitivity to ecological changes and anthropogenic pressure. This study provides new insights into species–environment relationships at a local scale and highlights key ecological drivers of endangered plant distribution and regeneration, contributing to more effective conservation planning and biodiversity management in tropical forest ecosystems. Full article
(This article belongs to the Section Plant Diversity)
Show Figures

Figure 1

28 pages, 12658 KB  
Article
Plant Roots Exert Stronger Co-Structuring Effects than Soils on the Litter Microbial Community Following the Succession of Fagus lucida Forests
by Xiaoyu Long, Xiangshi Kong, Xingbing He, Yonghui Lin, Zaihua He, Hong Lin, Jianjun Xiang and Siqi Shan
Forests 2026, 17(4), 476; https://doi.org/10.3390/f17040476 - 13 Apr 2026
Viewed by 226
Abstract
Clarifying the responses of microbial communities in distinct microhabitats like roots, the soil, and litter layers to secondary succession is critical for predicting the effects of global climate change on ecosystem functions. We investigated the microbial activities, compositions, and networks in these microhabitats [...] Read more.
Clarifying the responses of microbial communities in distinct microhabitats like roots, the soil, and litter layers to secondary succession is critical for predicting the effects of global climate change on ecosystem functions. We investigated the microbial activities, compositions, and networks in these microhabitats of Fagus lucida forests ranging from 40 to 200 years. The results showed that soil physicochemical properties decreased with forest succession, except for NH4+-N and available phosphorus, which decreased at the early stage. All vector angles of extracellular enzyme stoichiometry that were greater than 45° indicated that phosphorus was the key limiting element for microorganisms. The microbial community shifted from r- to K-strategists with forest succession, displaying the replacement of most bacterial phyla by Proteobacteria and Acidobacteriota, and an increase in the Acidobacteriota: Proteobacteria ratio, especially in the soil and litter layers. Soil properties, particularly NH4+-N and pH, significantly affected the bacterial diversity and structure. Moreover, the bacterial network complexity increased with succession, particularly in the litter layer, and the topological properties of bacterial networks showed a stronger influence on microbial activities compared with those of fungal networks. The richness of keystone taxa in the litter layer was higher than in the soil layer and roots. However, the fungal community dominated by symbiotrophs showed lower sensitivity to soil nutrient changes and greater resilience to forest succession, displaying stable diversity and decreased network complexity, particularly in the roots. Ectomycorrhizal fungi (e.g., Russula) dominated the fungal guilds, and their abundance increased with forest succession, accompanied by a decrease in pathogenic fungi. Plant roots with significantly higher phosphatase activities played a stronger role than soils in structuring the litter microbial community, as reflected by similar carbon- and nitrogen-acquiring enzyme activities, microbial compositions, a greater share of taxa, and closer community distance. Our results revealed the increasingly important role of plant roots with forest succession in structuring the microbial community and nutrient cycling in the soil and litter layers. Full article
Show Figures

Figure 1

9 pages, 1794 KB  
Communication
Diversity of Myrmecophilous Silverfish (Insecta: Zygentoma) in Bulgaria
by Rafael Molero-Baltanás, Albena Lapeva-Gjonova and Ilia Gjonov
Diversity 2026, 18(4), 223; https://doi.org/10.3390/d18040223 - 11 Apr 2026
Viewed by 341
Abstract
Silverfish (order Zygentoma) comprise a diverse group of primitively wingless insects, several of which have evolved myrmecophilous associations with ants (Hymenoptera: Formicidae). However, the diversity and host relationships of ant-associated Zygentoma in the Balkans remain insufficiently documented. In this study, we surveyed ant [...] Read more.
Silverfish (order Zygentoma) comprise a diverse group of primitively wingless insects, several of which have evolved myrmecophilous associations with ants (Hymenoptera: Formicidae). However, the diversity and host relationships of ant-associated Zygentoma in the Balkans remain insufficiently documented. In this study, we surveyed ant nests across Bulgaria to assess the taxonomic diversity, host specificity and distribution of silverfish associated with ants. We identified five species: Atelura montana (Stach, 1946), Proatelurina pseudolepisma (Grassi, 1887), Neoasterolepisma balcanicum (Stach, 1922), N. cf. crassipes (Escherich, 1905) and N. wasmanni (Moniez, 1894). These species were recorded from nests of ants belonging to the genera Bothriomyrmex, Aphaenogaster, Pheidole, Messor, Tetramorium, Formica and Lasius. Patterns of host association ranged from generalist species occurring in nests of multiple ant genera, such as Atelura montana, to more specialised taxa largely restricted to a single host genus, as observed in Neoasterolepisma species. Our findings expand the current understanding of myrmecophilous Zygentoma in the Balkans. Three species—Proatelurina pseudolepisma, Neoasterolepisma cf. crassipes, and Neoasterolepisma wasmanni—are reported here for the first time in Bulgaria, bringing the total number of recorded silverfish species in the country to 11. Moreover, our results highlight the ecological importance of ant nests as microhabitats that support highly specialised arthropod communities. Full article
(This article belongs to the Section Animal Diversity)
Show Figures

Figure 1

24 pages, 2964 KB  
Review
Semi-Natural Dry Grasslands in Decline: A Review of Characteristics, Threats and Conservation Challenges
by Justyna Wielgos and Mariusz Kulik
Diversity 2026, 18(4), 216; https://doi.org/10.3390/d18040216 - 8 Apr 2026
Viewed by 509
Abstract
In Europe, the most valuable grasslands are semi-natural ecosystems maintained by long-term extensive human management, particularly pastoralism, and therefore do not represent climax vegetation. According to the Natura 2000 habitat interpretation manual (EUR-28), key habitats include xerothermic grasslands of Festuco-Brometalia (code 6210*) on [...] Read more.
In Europe, the most valuable grasslands are semi-natural ecosystems maintained by long-term extensive human management, particularly pastoralism, and therefore do not represent climax vegetation. According to the Natura 2000 habitat interpretation manual (EUR-28), key habitats include xerothermic grasslands of Festuco-Brometalia (code 6210*) on calcareous soils and sandy grasslands of Koelerion glaucae (code 6120*) on poor substrates. Only 10–15% of their area in the EU has favorable conservation status. The main threat is secondary succession and encroachment (83.94%), caused by abandonment of traditional management (81.75%). Without mowing or grazing, dominant grasses replace rare species, followed by shrubs and trees. Other pressures include intensive agriculture (75.18%), habitat loss and fragmentation (69.34%), climate change (37.96%), invasive species (23.36%) and urbanization (14.60%). Multiple threats often co-occur, so cumulative percentages exceed 100%. The most effective conservation method is restoring or maintaining extensive grazing, particularly with local sheep and goat breeds. Grazing limits succession, increases structural diversity and promotes seed dispersal, creating a mosaic of microhabitats that enhances biodiversity. Effective protection requires landscape-scale actions, limiting urban development, and long-term support for farmers under the Common Agricultural Policy. Increasing public awareness of the ecological and cultural value of these ecosystems is also essential. Full article
Show Figures

Figure 1

20 pages, 3559 KB  
Article
Ecological Niche Modeling of the Narrow-Range Endangered Endemic Lepidium olgae in Uzbekistan
by Khusniddin Abulfayzov, Bekhruz Khabibullaev, Khabibullo Shomurodov, Natalya Beshko, Suluv Sullieva, Yaoming Li and Lianlian Fan
Plants 2026, 15(7), 1125; https://doi.org/10.3390/plants15071125 - 7 Apr 2026
Viewed by 420
Abstract
Narrow-range endemic plant species are highly sensitive to environmental variability due to their restricted distributions and narrow ecological niches, yet quantitative assessments of such species in Central Asian mountain ecosystem remain limited. This study applied an ensemble species distribution modeling (SDM) approach to [...] Read more.
Narrow-range endemic plant species are highly sensitive to environmental variability due to their restricted distributions and narrow ecological niches, yet quantitative assessments of such species in Central Asian mountain ecosystem remain limited. This study applied an ensemble species distribution modeling (SDM) approach to assess the ecological constraints and conservation efforts of Lepidium olgae, a strict endemic species of the Nuratau Mountains in Uzbekistan. Species occurrence records from field surveys and herbarium data were integrated with remotely sensed climatic, vegetation, topographic, soil, and atmospheric variables. Parsimonious models (Generalized Linear Model (GLM), Maximum Entropy (MaxEnt), Multiple Adaptive Regression Splines (MARS), Surface Range Envelope (SRE)) were implemented in BIOMOD2 4.3.4, and ensemble predictions were used to reduce algorithmic uncertainty and identify core habitat patterns. Results showed that wet-season precipitation was the dominant driver of species distribution, followed by vegetation productivity (NDVI) and thermal stability, indicating a strong dependence on moisture availability and stable microhabitats. Ensemble projections revealed a highly fragmented potential distribution, with suitable habitats covering only 8% of the reserve area, closely matching the observed distribution of 6.5%. This strong spatial overlap confirms a narrowly constrained realized ecological niche. These findings highlight the critical role of microhabitat stability for the persistence of Lepidium olgae and provide a spatially explicit basis for prioritizing in situ conservation and guiding model informed translocation efforts. Full article
(This article belongs to the Section Plant Ecology)
Show Figures

Figure 1

10 pages, 826 KB  
Article
Trait-Mediated Facilitation and Stress Tolerance in Two Globose Cactus Species from the Mexican Desert
by Cecilia Leonor Jiménez-Sierra, Erika Arroyo-Pérez, Omar Díaz-Segura, María Loraine Matías-Palafox, Joel Flores and María De Los Angeles González-Adán
Horticulturae 2026, 12(4), 447; https://doi.org/10.3390/horticulturae12040447 - 4 Apr 2026
Viewed by 425
Abstract
Succulent plants in arid ecosystems exhibit contrasting strategies to cope with high irradiance, thermal stress, and water limitation. We evaluated spatial distribution, microhabitat use, nurse identity, and orientation beneath canopies for two threatened globose cacti from the Querétaro semi-desert (Mexico): Ariocarpus kotschoubeyanus and [...] Read more.
Succulent plants in arid ecosystems exhibit contrasting strategies to cope with high irradiance, thermal stress, and water limitation. We evaluated spatial distribution, microhabitat use, nurse identity, and orientation beneath canopies for two threatened globose cacti from the Querétaro semi-desert (Mexico): Ariocarpus kotschoubeyanus and Lophophora diffusa. One site with high population density was selected for each species, where 10 plots were established (9 m2 for A. kotschoubeyanus and 49 m2 for L. diffusa). The study aims to evaluate whether species-specific recruitment patterns are associated with differential dependence on nurse-plant microhabitats under conditions of radiation and thermal stress. We hypothesized that: (1) both species exhibit aggregated spatial distributions but differ in their reliance on nurse-mediated microclimatic buffering; and (2) nurse-plant identity and orientation patterns vary between species, reflecting species-specific ecophysiological thresholds to irradiance and heat stress. Both species showed strongly aggregated spatial distributions (Hopkins index > 0.8), indicating recruitment constrained by microsite heterogeneity. However, their stress-adaptation strategies differed markedly. A. kotschoubeyanus occurred predominantly in open microsites (79%), consistent with its geophytic growth form and tolerance to high radiation and temperature extremes. In contrast, L. diffusa was strongly associated with nurse plants (78%), particularly Larrea tridentata and Bursera fagaroides, and preferentially established on eastern canopy exposures that reduce afternoon heat load. These patterns reflect species-specific ecophysiological thresholds linked to radiation tolerance and microclimatic buffering. Facilitation in globose cacti is therefore trait-mediated and context-dependent. Maintaining perennial shrub diversity is essential to preserve the microhabitats that sustain recruitment and persistence of stress-sensitive succulents under increasing climatic aridity. Full article
Show Figures

Figure 1

23 pages, 1013 KB  
Review
Does Epiphytic Lichen Translocation Work? Methods, Outcomes and Future Perspectives
by Sonia Ravera, Marta Agostini, Elisabetta Bianchi, Renato Benesperi, Erika Bellini, Patrizia Campisi, Luca Di Nuzzo, Juri Nascimbene, Luigi Sanità di Toppi, Monica Ruffini Castiglione and Luca Paoli
Plants 2026, 15(7), 1042; https://doi.org/10.3390/plants15071042 - 27 Mar 2026
Viewed by 437
Abstract
Epiphytic lichens are highly sensitive components of forest ecosystems, increasingly threatened by habitat disturbance and climate change. While habitat protection remains central to lichen conservation, translocation has emerged as a promising tool to address population decline, although its global effectiveness remains poorly evaluated. [...] Read more.
Epiphytic lichens are highly sensitive components of forest ecosystems, increasingly threatened by habitat disturbance and climate change. While habitat protection remains central to lichen conservation, translocation has emerged as a promising tool to address population decline, although its global effectiveness remains poorly evaluated. This scoping review, conducted under PRISMA-ScR guidelines, analyzes 30 taxa across 12 countries to evaluate current methodologies and outcomes. The reviewed literature is largely characterized by small-scale, method-oriented interventions, with a strong predominance of thallus fragment translocation over diaspore-based approaches. Success is most often evaluated through short-term survival and persistence of transplanted material, whereas indicators of long-term population self-maintenance and reproductive viability are rarely considered. Major limitations emerge from technical constraints, including early sample loss due to inadequate fixation, as well as from mismatches between donor requirements and recipient-site microhabitat conditions. Although high initial survival is frequently reported, evidence for long-term population stability, secondary colonization, and genetic resilience remains scarce. Overall, translocation may support short-term establishment under favorable environmental conditions, mainly at local scales, but its reliability as a long-term conservation strategy requires further validation. This review identifies a critical gap in long-term monitoring and highlights the need for research priorities that enhance the effectiveness, conceptual clarity, and technical precision of future translocation efforts to ensure the persistence of epiphytic lichen populations within changing forest landscapes. Full article
(This article belongs to the Special Issue Theory and Practice of Plant Translocation for Conservation Purposes)
Show Figures

Figure 1

16 pages, 2113 KB  
Article
Local Tree Cover and Regional Climate Hierarchically Shape Ant Communities in Mediterranean Dehesas
by Francisco Jiménez-Carmona and Joaquín L. Reyes-López
Forests 2026, 17(3), 397; https://doi.org/10.3390/f17030397 - 23 Mar 2026
Viewed by 222
Abstract
Mediterranean dehesas are open agroforestry systems in which tree configuration and climatic regime condition the organisation of biodiversity. In these landscapes, ants are commonly used as ecological indicators, although the relative importance of local versus regional factors in structuring their communities remains poorly [...] Read more.
Mediterranean dehesas are open agroforestry systems in which tree configuration and climatic regime condition the organisation of biodiversity. In these landscapes, ants are commonly used as ecological indicators, although the relative importance of local versus regional factors in structuring their communities remains poorly defined. Ant assemblages were sampled using pitfall traps at 15 farms in southern Spain, and the influence of environmental variables defined at two spatial scales was analysed: microhabitat, distinguishing between areas under tree canopy and open areas, and farm as a unit representative of the regional context. The multivariate analyses applied (dbRDA, PERMANOVA and variance partitioning) reveal a hierarchical organisation of community assemblages. At the local scale, community variation was primarily explained by structural attributes of the tree layer, particularly canopy cover and distance to trees. At the farm scale, environmental predictors explained a modest proportion of community variation, with strong overlap among climatic, vegetation and structural variables. Overall, the structure of ant communities in dehesas follows a scale-dependent pattern, in which climate sets the regional framework and tree structure modulates assemblage organisation at a fine scale. Full article
(This article belongs to the Section Forest Biodiversity)
Show Figures

Figure 1

26 pages, 5366 KB  
Article
Current State of Chelidonium majus L. (Papaveraceae) Populations in the Eastern Part of the Kungey Alatau Ridge (Southeastern Kazakhstan)
by Klara Izbastina, Saule Mukhtubayeva, Anar Dostemessova, Meruyert Kurmanbayeva, Gulnara Sitpayeva, Margarita Ishmuratova, Zarina Inelova, Moldir Sharipova (Zhumagul) and Sholpan Zhumadina
Diversity 2026, 18(3), 191; https://doi.org/10.3390/d18030191 - 20 Mar 2026
Viewed by 382
Abstract
Modern changes in natural and anthropogenic conditions in mountain ecosystems highlight the growing need to assess the status of medicinal plant populations and factors influencing their resilience. This study presents findings from a comprehensive investigation of three previously undocumented wild populations of Chelidonium [...] Read more.
Modern changes in natural and anthropogenic conditions in mountain ecosystems highlight the growing need to assess the status of medicinal plant populations and factors influencing their resilience. This study presents findings from a comprehensive investigation of three previously undocumented wild populations of Chelidonium majus L., discovered in the gorges of Kaindy, Shet-Merke, and Kolsai in the eastern part of the Kungey Alatau range. The research included analysis of phytocenotic conditions, population age structure, morphometric and morpho-anatomical traits of plants, along with physicochemical properties of soils. It was found that C. majus is associated with meadow-type moisture regimes and occurs spottily, mainly in moist microhabitats within open and semi-shaded plant communities. Population sizes ranged from 264 to 296 individuals, with average densities between 5.1 and 16.3 individuals per m2. All studied populations exhibited complete ontogenetic spectra, dominated by generative stages (56.1–67.2%), indicating preserved reproductive potential despite limited recruitment at early developmental phases. Morpho-anatomical analysis revealed high phenotypic plasticity: under drier, poorer soil conditions, xeromorphic features developed, whereas mesomorphic structures prevailed in more favorable habitats. Soil analysis indicated that Shet-Merke population enjoys optimal growth and regeneration conditions. These results suggest that current C. majus populations in the region remain relatively stable, though strongly dependent on edaphic–hydrological and phytocenotic factors—underscoring the necessity of integrated monitoring to ensure conservation of medicinal plant resources. Full article
(This article belongs to the Section Plant Diversity)
Show Figures

Figure 1

14 pages, 2246 KB  
Article
Post-Fire Predation Risk in the Black Cicada Tibicina quadrisignata
by Pere Pons, Roger Puig-Gironès, Josep M. Bas and Carles Tobella
Fire 2026, 9(3), 130; https://doi.org/10.3390/fire9030130 - 18 Mar 2026
Viewed by 669
Abstract
The background modification of ecosystems affected by fire can cause black or dark colours in animals to become adaptive, providing better protection against visually oriented predators. We surveyed fire-prone Mediterranean woodlands to describe the behaviour, position and background characteristics of the black cicada [...] Read more.
The background modification of ecosystems affected by fire can cause black or dark colours in animals to become adaptive, providing better protection against visually oriented predators. We surveyed fire-prone Mediterranean woodlands to describe the behaviour, position and background characteristics of the black cicada Tibicina quadrisignata Hagen, 1855 found in recently burnt and unburnt trees. A human detectability test, using cicada pictures in natural backgrounds taken during the fieldwork, was used to assess detection risk. Most cicadas found were solitary males uttering courtship song. Many cicadas flew when approached, with 82% of flight initiation distances being less than 3 m and half of the flights being less than 30 m. Cicadas favoured sunny locations in early morning, and shady sites as the temperature increased. Fire altered fine-scale microhabitat use by cicadas, since cicadas were found in 71% thicker stems and at 14% lower height on the tree, in burnt trees, in relation to unburnt trees. Generalised Linear Mixed Models (GLMMs) revealed a negative fire effect on cicada detection by human test participants. The probability of detection fell from 0.62 in unburnt backgrounds to 0.48 in burnt backgrounds, while the time needed for detection did not change between burnt and unburnt sites. Overall, these results show that T. quadrisignata cicadas adjust their substrate use after fire and are less detectable on burnt backgrounds. Real predation risk, however, also depends on thermoregulation-associated exposure, courtship song activity and predator densities. Full article
Show Figures

Figure 1

15 pages, 6624 KB  
Article
Impacts of Climate Change and Inter-Specific Competition on the Spatial Distribution of Elliot’s Pheasant (Syrmaticus ellioti, Swinhoe, 1872) in Huzhou City, China
by Yongxiang Zhao, Xiaofan Jiang, Min Jiang, Yongqiang Qin, Yue Song, Yujie Zhang, Ke He and Liqiong Peng
Biology 2026, 15(6), 480; https://doi.org/10.3390/biology15060480 - 18 Mar 2026
Viewed by 359
Abstract
Ground-dwelling pheasants are vital indicators of forest ecosystem health. Understanding their distribution and response to climate change is crucial for regional biodiversity conservation. Based on 97,000 camera-days of infrared monitoring from 2019 to 2022 in Huzhou, China, we analyzed the spatial patterns and [...] Read more.
Ground-dwelling pheasants are vital indicators of forest ecosystem health. Understanding their distribution and response to climate change is crucial for regional biodiversity conservation. Based on 97,000 camera-days of infrared monitoring from 2019 to 2022 in Huzhou, China, we analyzed the spatial patterns and niche overlap of five pheasant species, including the first class national protected animal Elliot’s Pheasant (Syrmaticus ellioti), using MaxEnt modeling and Schoener’s D index. Results showed the following: (1) Pheasants in Huzhou exhibited distinct vertical gradients, with Elliot’s Pheasant restricted primarily to mid-mountain forests (200–600 m) in western Anji. (2) Iso-thermality and winter thermal limits were the primary drivers of its distribution. (3) Niche analysis revealed intense competitive pressure; Elliot’s Pheasant habitat was largely encompassed by dominant species like the Silver Pheasant (Lophura nycthemera), showing a high overlap (D = 0.642) with the Koklass Pheasant (Pucrasia macrolopha). (4) By 2050, its suitable habitat is projected to shrink by 84.6% (from 1085.7 to 118.8 km2) and shift eastward. These findings highlight the high climate sensitivity and competitive vulnerability of Elliot’s Pheasant. We recommend prioritizing micro-habitat maintenance in mid-mountain zones and proactively establishing ecological corridors between Anji and Deqing to mitigate habitat loss and displacement. Full article
(This article belongs to the Special Issue Bird Biology and Conservation)
Show Figures

Figure 1

Back to TopTop