Ultimate Fighting Crab: Agonistic Behaviour, Dominance, and Recognition in the Edible Crab, Cancer pagurus (L.)
Abstract
1. Introduction
2. Material and Methods
2.1. Experimental Subjects/Animals
2.2. Experimental Design
2.3. Behavioral Analysis
2.4. Statistical Analysis
3. Results
3.1. Fight Times
3.2. Impact of Claw Size on Fight Time
3.3. Impact of Claw Size on Competitive Success
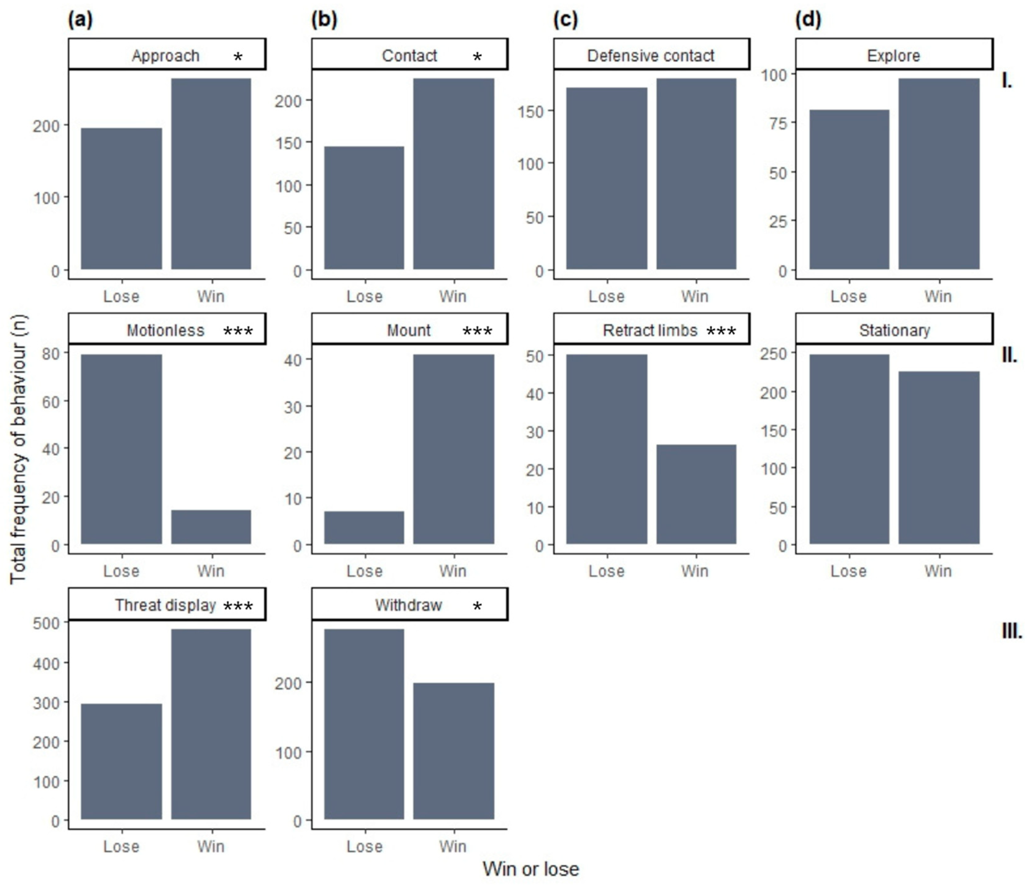
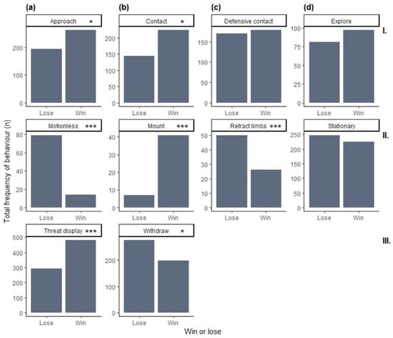
3.4. Behaviour
4. Discussion
4.1. Fight Time
4.2. The Relationship Between Claw Size and Fight Time
4.3. Claw Size
4.4. Behaviour
4.4.1. Approach
4.4.2. Threat Display
4.4.3. Initiated Contact
4.4.4. Mount
4.4.5. Submissive Behaviour
5. Further Research
6. Conclusions
Author Contributions
Funding
Institutional Review Board Statement
Data Availability Statement
Acknowledgments
Conflicts of Interest
Appendix A
| Tank Parameters | |||
|---|---|---|---|
| Temperature (°C) | Salinity (ppt) | Dissolved Oxygen (%) | |
| Trial | 8.1 | 34.0 | 98.3 |
| Retrial | 8.4 | 34.0 | 96.9 |




References
- Gherardi, F.; Aquiloni, L.; Tricarico, E. Behavioral Plasticity, Behavioral Syndromes and Animal Personality in Crustacean Decapods: An Imperfect Map Is Better than No Map. Curr. Zool. 2012, 58, 567–579. [Google Scholar] [CrossRef]
- Bergman, D.A.; Moore, P.A. Prolonged Exposure to Social Odours Alters Subsequent Social Interactions in Crayfish (Orconectes rusticus). Anim. Behav. 2005, 70, 311–318. [Google Scholar] [CrossRef]
- Parker, G.A. Assessment Strategy and the Evolution of Fighting Behaviour. J. Theor. Biol. 1974, 47, 223–243. [Google Scholar] [CrossRef] [PubMed]
- Briffa, M.; Hardy, I.C.W. Introduction to Animal Contests. In Animal Contests; Cambridge University Press: Cambridge, UK, 2013. [Google Scholar]
- Arnott, G.; Elwood, R.W. Assessment of Fighting Ability in Animal Contests. Anim. Behav. 2009, 77, 991–1004. [Google Scholar] [CrossRef]
- Obermeier, M.; Schmitz, B. Recognition of Dominance in the Big-Clawed Snapping Shrimp (Alpheus Heterochaelis Say 1818) Part I: Individual or Group Recognition? Mar. Freshw. Behav. Physiol. 2003, 36, 1–16. [Google Scholar] [CrossRef]
- Watson, P.J.; Arnqvist, G.; Stallmann, R.R. Sexual Conflict and the Energetic Costs of Mating and Mate Choice in Water Striders. Am. Nat. 1998, 151, 46–58. [Google Scholar] [CrossRef]
- Takahashi, M.; Suzuki, N.; Koga, T. Burrow Defense Behaviors in a Sand-Bubbler Crab, Scopimera globosa, in Relation to Body Size and Prior Residence. J. Ethol. 2001, 19. [Google Scholar] [CrossRef]
- Arnott, G.; Elwood, R.W. Information Gathering and Decision Making about Resource Value in Animal Contests. Anim. Behav. 2008, 76, 529–542. [Google Scholar] [CrossRef]
- Kokko, H.; López-Sepulcre, A.; Morrell, L.J. From Hawks and Doves to Self-Consistent Games of Territorial Behavior. Am. Nat. 2006, 167, 901–912. [Google Scholar] [CrossRef]
- Parker, G.A.; Stuart, R.A. Animal Behavior as a Strategy Optimizer: Evolution of Resource Assessment Strategies and Optimal Emigration Thresholds. Am. Nat. 1976, 110, 1055–1076. [Google Scholar] [CrossRef]
- Prenter, J.; Elwood, R.W.; Taylor, P.W. Self-Assessment by Males During Energetically Costly Contests over Precopula Females in Amphipods. Anim. Behav. 2006, 72, 861–868. [Google Scholar] [CrossRef]
- Bruce, M.; Doherty, T.; Kaplan, J.; Sutherland, C.; Atema, J. American Lobsters, Homarus americanus, Use Vision for Initial Opponent Evaluation and Subsequent Memory. Bull. Mar. Sci. 2018, 94, 517–532. [Google Scholar] [CrossRef]
- Shabani, S.; Kamio, M.; Derby, C.D. Spiny Lobsters Use Urine-Borne Olfactory Signaling and Physical Aggressive Behaviors to Influence Social Status of Conspecifics. J. Exp. Biol. 2009, 212, 2464–2474. [Google Scholar] [CrossRef] [PubMed]
- Briffa, M.; Dallaway, D. Inter-Sexual Contests in the Hermit Crab Pagurus Bernhardus: Females Fight Harder but Males Win More Encounters. Behav. Ecol. Sociobiol. 2007, 61, 1781–1787. [Google Scholar] [CrossRef]
- Briffa, M.; Elwood, R.W. Decision Rules, Energy Metabolism and Vigour of Hermit-Crab Fights. Proc. R. Soc. B Biol. Sci. 2001, 268, 1841–1848. [Google Scholar] [CrossRef]
- Sneddon, L.U.; Huntingford, F.A.; Taylor, A.C.; Orr, J.F. Weapon Strength and Competitive Success in the Fights of Shore Crabs (Carcinus Maenas). J. Zool. 2000, 250, 397–403. [Google Scholar] [CrossRef]
- Su, X.; Sun, Y.; Liu, D.; Wang, F.; Liu, J.; Zhu, B. Agonistic Behaviour and Energy Metabolism of Bold and Shy Swimming Crabs Portunus trituberculatus. J. Exp. Biol. 2019, 222, jeb188706. [Google Scholar] [CrossRef]
- Sneddon, L.U.; Huntingford, F.A.; Taylor, A.C.; Clare, A.S. Female Sex Pheromone-Mediated Effects on Behavior and Consequences of Male Competition in the Shore Crab (Carcinus maenas). J. Chem. Ecol. 2003, 29, 55–70. [Google Scholar] [CrossRef]
- Ariyomo, T.O.; Watt, P.J. The Effect of Variation in Boldness and Aggressiveness on the Reproductive Success of Zebrafish. Anim. Behav. 2012, 83, 41–46. [Google Scholar] [CrossRef]
- Yang, C.; Su, X.; Liu, D.; Guo, Z.; Wang, F.; Lu, Y. A New Method of Aquatic Animal Personality Analysis Based on Machine Learning (PAML): Taking Swimming Crab Portunus trituberculatus as an Example. Front. Mar. Sci. 2020, 7, 32. [Google Scholar] [CrossRef]
- Harrison, M.K.; Crespi, B.J. Phylogenetics of Cancer Crabs (Crustacea: Decapoda: Brachyura). Mol. Phylogenet. Evol. 1999, 12, 186–199. [Google Scholar] [CrossRef] [PubMed][Green Version]
- Bakke, S.; Buhl-Mortensen, L.; Buhl-Mortensen, P. Some Observations of Cancer pagurus Linnaeus, 1758 (Decapoda, Brachyura) in Deep Water. Crustaceana 2019, 92, 95–105. [Google Scholar] [CrossRef]
- Easton, B.A.A.; Boon, A.; Richards, J.; Scott, K. Comparing the Size at Onset of Sexual Maturity of Edible Crab (Cancer pagurus, Cancridae) in Berwickshire and Northumberland. Fishes 2023, 8, 260. [Google Scholar] [CrossRef]
- Scottish Government Provisional Scottish Sea Fisheries Statistics 2023. Available online: https://www.gov.scot/publications/provisional-scottish-sea-fisheries-statistics-data/ (accessed on 8 July 2024).
- Karavanich, C.; Atema, J. Individual Recognition and Memory in Lobster Dominance. Anim. Behav. 1998, 56, 1553–1560. [Google Scholar] [CrossRef] [PubMed]
- Breithaupt, T.; Atema, J. The Timing of Chemical Signaling with Urine in Dominance Fights of Male Lobsters (Homarus americanus). Behav. Ecol. Sociobiol. 2000, 49, 67–78. [Google Scholar] [CrossRef]
- Rossong, M.A.; Williams, P.J.; Comeau, M.; Mitchell, S.C.; Apaloo, J. Agonistic Interactions Between the Invasive Green Crab, Carcinus maenas (Linnaeus) and Juvenile American Lobster, Homarus americanus (Milne Edwards). J. Exp. Mar. Biol. Ecol. 2006, 329, 281–288. [Google Scholar] [CrossRef]
- Sneddon, L.U.; Huntingford, F.A.; Taylor, A.C. Weapon Size Versus Body Size as a Predictor of Winning in Fights Between Shore Crabs, Carcinus maenas (L.). Behav. Ecol. Sociobiol. 1997, 41, 237–242. [Google Scholar] [CrossRef]
- Glass, C.W.; Huntingford, F.A. Initiation and Resolution of Fights Between Swimming Crabs (Liocarcinus Depurator). Ethology 1988, 77, 237–249. [Google Scholar] [CrossRef]
- Huntingford, F.A.; Taylor, A.C.; Smith, I.P.; Thorpe, K.E. Behavioural and Physiological Studies of Aggression in Swimming Crabs. J. Exp. Mar. Biol. Ecol. 1995, 193, 21–39. [Google Scholar] [CrossRef]
- Smith, I.P.; Huntingford, F.A.; Atkinson, R.J.A.; Taylor, A.C. Strategic Decisions During Agonistic Behaviour in the Velvet Swimming Crab, Necora Puber (L.). Anim. Behav. 1994, 47, 885–894. [Google Scholar] [CrossRef]
- Zhu, B.; Wang, F.; Su, X.; Lu, Y.; Zhang, H. Effect of Different Amount of Food and Female Resource on Competitive Strategy and Agonistic Behavior of Swimming Crab (Portunus trituberculatus). Aquaculture 2021, 536, 736471. [Google Scholar] [CrossRef]
- Zulandt Schneider, R.A.; Schneider, R.W.S.; Moore, P.A. Recognition of Dominance Status by Chemoreception in the Red Swamp Crayfish, Procambarus clarkii. J. Chem. Ecol. 1999, 25, 781–794. [Google Scholar] [CrossRef]
- Tierney, A.J.; Andrews, K.; Happer, K.R.; White, M.K.M. Dear Enemies and Nasty Neighbors in Crayfish: Effects of Social Status and Sex on Responses to Familiar and Unfamiliar Conspecifics. Behav. Process. 2013, 99, 47–51. [Google Scholar] [CrossRef]
- Stocker, A.M.; Huber, R. Fighting Strategies in Crayfish Orconectes rusticus (Decapoda, Cambaridae) Differ with Hunger State and the Presence of Food Cues. Ethology 2001, 107, 727–736. [Google Scholar] [CrossRef]
- McCambridge, C.; Dick, J.T.A.; Elwood, R.W. Effects of Autotomy Compared to Manual Declawing on Contests Between Males for Females in the Edible Crab Cancer pagurus: Implications for Fishery Practice and Animal Welfare. J. Shellfish Res. 2016, 35, 1037–1044. [Google Scholar] [CrossRef]
- Scott, K.; Harsanyi, P.; Lyndon, A.R. Understanding the Effects of Electromagnetic Field Emissions from Marine Renewable Energy Devices (MREDs) on the Commercially Important Edible Crab, Cancer pagurus (L.). Mar. Pollut. Bull. 2018, 131, 580–588. [Google Scholar] [CrossRef]
- Friard, O.; Gamba, M. BORIS: A Free, Versatile Open-Source Event-Logging Software for Video/Audio Coding and Live Observations. Methods Ecol. Evol. 2016, 7, 1325–1330. [Google Scholar] [CrossRef]
- R Core Team. R: A Language and Environment for Statistical Computing; R Foundation for Statistical Computing: Vienna, Austria, 2023. [Google Scholar]
- Meyer, F.; Perrier, V. Esquisse: Explore and Visualize Your Data Interactively, 2024 R. package version 2.0.1; Available online: https://github.com/dreamRs/esquisse (accessed on 8 July 2024).
- Wickham, H. Ggplot2: Elegant Graphics for Data Analysis; Springer: New York, NY, USA, 2016. [Google Scholar]
- Huber, R.; Daws, A.G.; Tuttle, S.A.; Panksepp, J.B. Quantitative Behavioral Techniques for the Study of Crustacean Aggression. Crustac. Nerv. Syst. 2002, 186–201. [Google Scholar] [CrossRef]
- Abele, L.G.; Campanella, P.J.; Salmon, M. Natural History and Social Organization of the Semiterrestrial Grapsid Crab Pachygrapsus transversus (Gibbes). J. Exp. Mar. Biol. Ecol. 1986, 104, 153–170. [Google Scholar] [CrossRef]
- Guiasu, R.C. Agonistic Behaviour Patterns and the Distribution and Status of the Cambarus (Decapoda, Cambaridae) Crayfish of Ontario, Canada. Ph.D. Thesis, University of Toronto, Toronto, ON, USA, 1997. [Google Scholar]
- Fletcher, N.; Hardege, J.D. The Cost of Conflict: Agonistic Encounters Influence Responses to Chemical Signals in the European Shore Crab. Anim. Behav. 2009, 77, 357–361. [Google Scholar] [CrossRef]
- Sneddon, L.U.; Taylor, A.C.; Huntingford, F.A. Metabolic Consequences of Agonistic Behaviour: Crab Fights in Declining Oxygen Tensions. Anim. Behav. 1999, 57, 353–363. [Google Scholar] [CrossRef] [PubMed][Green Version]
- Taylor, P.W.; Elwood, R.W. The Mismeasure of Animal Contests. Anim. Behav. 2003, 65, 1195–1202. [Google Scholar] [CrossRef]
- Palaoro, A.V.; Dalosto, M.M.; Costa, J.R.; Santos, S. Freshwater Decapod (Aegla longirostri) Uses a Mixed Assessment Strategy to Resolve Contests. Anim. Behav. 2014, 95, 71–79. [Google Scholar] [CrossRef]
- Swanson, B.O.; George, M.N.; Anderson, S.P.; Christy, J.H. Evolutionary Variation in the Mechanics of Fiddler Crab Claws. BMC Evol. Biol. 2013, 13, 137. [Google Scholar] [CrossRef] [PubMed]
- Edwards, D.J.; Herberholz, J.; Nelson, R.J. Crustacean Models of Aggression. Available online: https://books.google.co.uk/books?hl=en&lr=&id=0n-fy3rxqkcC&oi=fnd&pg=PA38&dq=Crustacean+models+of+aggression&ots=pFxTmhHCSR&sig=Ko9lS3LhChKyDts9sfEBtVq5SYE&redir_esc=y#v=onepage&q=Crustacean%20models%20of%20aggression&f=false (accessed on 31 May 2024).
- Su, X.; Zhu, B.; Wang, F. Feeding Strategy Changes Boldness and Agonistic Behaviour in the Swimming Crab (Portunus trituberculatus). Aquac. Res. 2022, 53, 419–430. [Google Scholar] [CrossRef]
- Gherardi, F.; Cenni, F.; Parisi, G.; Aquiloni, L. Visual Recognition of Conspecifics in the American Lobster, Homarus americanus. Anim. Behav. 2010, 80, 713–719. [Google Scholar] [CrossRef]
- Sneddon, L.U.; Taylor, A.C.; Huntingford, F.A.; Watson, D.G. Agonistic Behaviour and Biogenic Amines in Shore Crabs Carcinus maenas. J. Exp. Biol. 2000, 203, 537–545. [Google Scholar] [CrossRef]
- Hurd, P.L. Is Signalling of Fighting Ability Costlier for Weaker Individuals? J. Theor. Biol. 1997, 184, 83–88. [Google Scholar] [CrossRef]
- Smallegange, I.M.; Sabelis, M.W.; van der Meer, J. Assessment Games in Shore Crab Fights. J. Exp. Mar. Biol. Ecol. 2007, 351, 255–266. [Google Scholar] [CrossRef]
- Hsu, Y.; Wolf, L.L. The Winner and Loser Effect: Integrating Multiple Experiences. Anim. Behav. 1999, 57, 903–910. [Google Scholar] [CrossRef]
- Sneddon, L.U.; Huntingford, F.A.; Taylor, A.C. The Influence of Resource Value on the Agonistic Behaviour of the Shore Crab, Carcinus maenas (L.). Mar. Freshw. Behav. Physiol. 1997, 30, 225–237. [Google Scholar] [CrossRef]
- Paul, C.Z. Contest and Post Contest Behaviour of the Southeast Asian Mangrove Crab Perisesarma Eumolpe (Crustacea: Sesarmidae), and the Vibroacoustic Communication of Parasesarma and Perisesarma Species; National University of Singapore: Singapore, 2015. [Google Scholar]
- Issa, F.A.; Edwards, D.H. Report Ritualized Submission and the Reduction of Aggression in an Invertebrate. Curr. Biol. 2006, 16, 2217–2221. [Google Scholar] [CrossRef] [PubMed]
- Reddon, A.R.; Ruberto, T.; Reader, S.M. Submission Signals in Animal Groups. Behaviour 2021, 159, 1–20. [Google Scholar] [CrossRef]
- Eaton, L.; Sloman, K.A. Subordinate Brown Trout Exaggerate Social Signalling in Turbid Conditions. Anim. Behav. 2011, 81, 603–608. [Google Scholar] [CrossRef]



| Index | Description |
|---|---|
| 1—Perfect | Carapace, claws, and legs intact with no black spot |
| 2—Good | One or two legs missing, or fully intact with slight black spot |
| 3—Okay | Maximum three legs missing, or one or two legs missing with black spot |
| 4—Poor | More than three legs missing or with one claw missing |
| Activity | Description | Behavioural Events |
|---|---|---|
| Initiate contest | ||
| Approach | Move towards opponent, reducing distance between the two | State event |
| Aggressive behaviour | ||
| Threat display | Extends claws out, raises body | State event |
| Contact | After approaching, initiating opponent pushes or grasps opponent | State event |
| Dominant behaviour | ||
| Mount | Climbs on top of opponents back | State event |
| Rise up | Opponent raises body high on legs | State event |
| Defensive behaviour | ||
| Withdraw | One opponent removing themselves from area of opponent | State event |
| Defensive contact | Holding off approaching opponent | State event |
| Push away | Push opponent away with claws or legs | Point event |
| Submissive behaviour | ||
| Retract limbs | Draw all limbs underneath body | State event |
| Motionless | No movement from submissive opponent when one opponent initiates contact | State event |
| Non-aggressive behaviour | ||
| Stationary | Stays in one location more than 5 s | State event |
| Exploring | Roaming the tank without any aggressive/defensive behaviour | State event |
| Variable | Result |
|---|---|
| Claw Length (Winners) | R = 0.1, p > 0.05 |
| Claw Length (Losers) | R = −0.051, p > 0.05 |
| Claw Length (Difference between winners and losers) | R = 0.12, p > 0.05 |
| Claw Height (Winners) | R = 0.15, p > 0.05 |
| Claw Height (Losers) | R = −0.074, p > 0.05 |
| Claw Height (Difference between winners and losers) | R = 0.18, p > 0.05 |
| Claw Depth (Winners) | R = 0.18, p > 0.05 |
| Claw Depth (Losers) | R = 0.0012, p > 0.05 |
| Claw Depth (Difference between winners and losers) | R = 0.17, p > 0.05 |
| Behaviour | Result |
|---|---|
| Approach | V = 544.5, p < 0.05 |
| Threat display | V = 258.5, p < 0.001 |
| Contact | V = 276, p < 0.05 |
| Defensive contact | V = 707.5, p > 0.05 |
| Withdraw | V = 834.5, p < 0.05 |
| Mount | V = 46, p < 0.05 |
| Motionless | V = 553.5, p < 0.001 |
| Retract limbs | V = 386.5, p < 0.05 |
| Explore | V = 357.5, p > 0.05 |
| Stationary | V = 584, p > 0.05 |
Disclaimer/Publisher’s Note: The statements, opinions and data contained in all publications are solely those of the individual author(s) and contributor(s) and not of MDPI and/or the editor(s). MDPI and/or the editor(s) disclaim responsibility for any injury to people or property resulting from any ideas, methods, instructions or products referred to in the content. |
© 2024 by the authors. Licensee MDPI, Basel, Switzerland. This article is an open access article distributed under the terms and conditions of the Creative Commons Attribution (CC BY) license (https://creativecommons.org/licenses/by/4.0/).
Share and Cite
Hamilton, F.J.A.; Wilkes, J.D.; Scott, K. Ultimate Fighting Crab: Agonistic Behaviour, Dominance, and Recognition in the Edible Crab, Cancer pagurus (L.). Fishes 2024, 9, 455. https://doi.org/10.3390/fishes9110455
Hamilton FJA, Wilkes JD, Scott K. Ultimate Fighting Crab: Agonistic Behaviour, Dominance, and Recognition in the Edible Crab, Cancer pagurus (L.). Fishes. 2024; 9(11):455. https://doi.org/10.3390/fishes9110455
Chicago/Turabian StyleHamilton, Finlay James Archibald, Jonathan David Wilkes, and Kevin Scott. 2024. "Ultimate Fighting Crab: Agonistic Behaviour, Dominance, and Recognition in the Edible Crab, Cancer pagurus (L.)" Fishes 9, no. 11: 455. https://doi.org/10.3390/fishes9110455
APA StyleHamilton, F. J. A., Wilkes, J. D., & Scott, K. (2024). Ultimate Fighting Crab: Agonistic Behaviour, Dominance, and Recognition in the Edible Crab, Cancer pagurus (L.). Fishes, 9(11), 455. https://doi.org/10.3390/fishes9110455

