Effects of Artificial Compound Feed for Live Fish Feed on Growth Performance, Nutrient Composition, Digestive Performance, and Gut Microbiota of Giant Salamander (Andrias davidianus)
Abstract
1. Introduction
2. Materials and Methods
2.1. Study Site
2.2. Experimental Diet
2.3. Experimental Animals and Husbandry Management
2.4. Sample Collection
2.5. Indicator Measurement
2.5.1. Growth and Morphological Indicator Measurement
2.5.2. Routine Nutritional Component Measurement
2.5.3. Amino Acid Analysis
2.5.4. Fatty Acid Analysis
2.5.5. Physiological and Biochemical Indicator Analysis
2.6. DNA Extraction and PCR Amplification
2.7. Library Construction and Sequencing
2.8. Bioinformatics Analysis
2.9. Data Analysis
3. Results
3.1. Effects of Feed Instead of Live Feed on the Growth of Giant Salamander
3.2. Effects of Feed Instead of Live Feed on Nutrient Composition of Giant Salamanders
3.3. Effects of Feed Instead of Live Food on Liver and Intestinal Digestive Enzymes of Giant Salamanders
3.4. Effects of Feed Instead of Live Feed on Antioxidant Enzymes in Liver and Intestine of Giant Salamanders
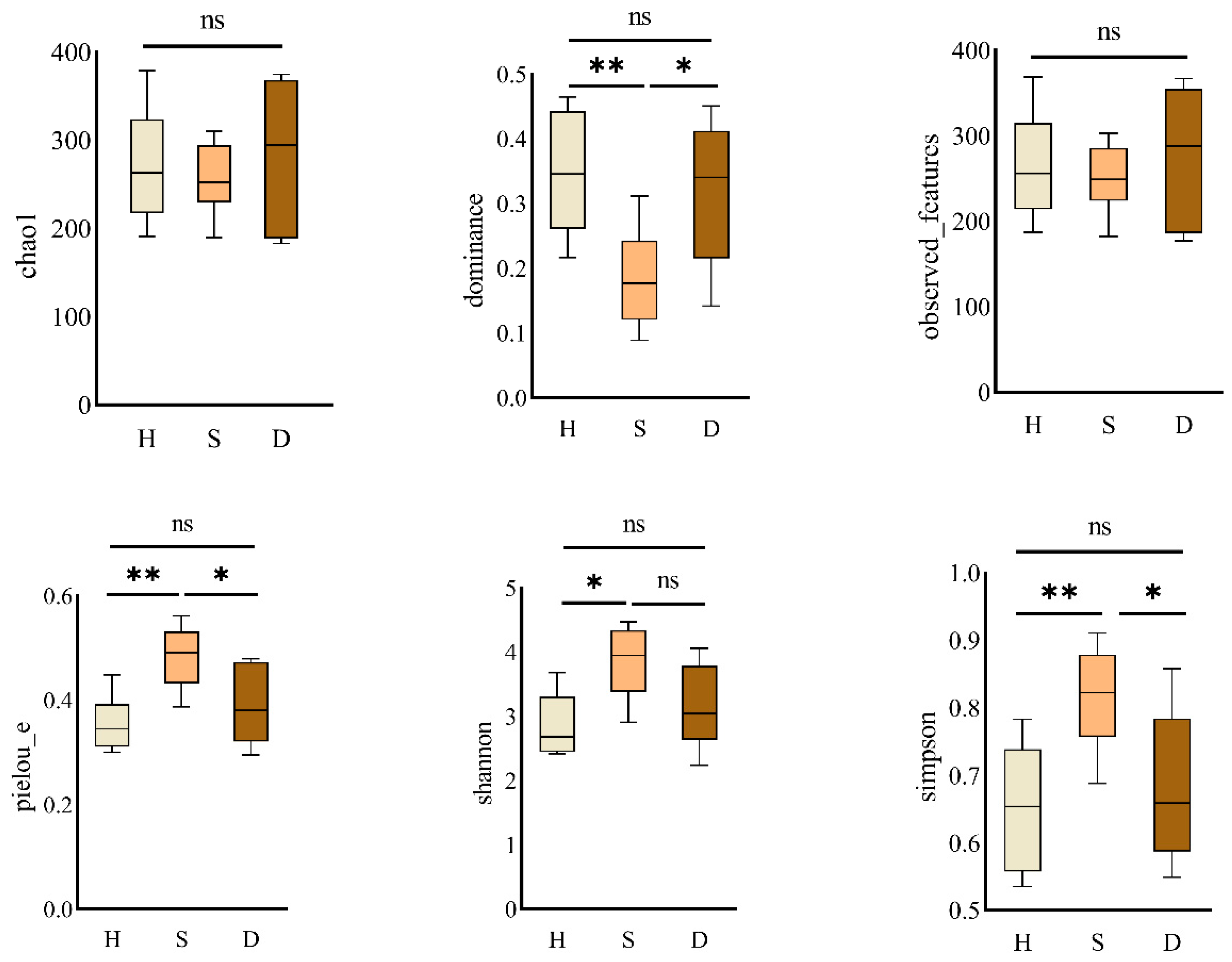
3.5. Effects of Feed Instead of Live Feed on Intestinal Microbial Community of Giant Salamanders
4. Discussion
4.1. Effects of Compound Feed Instead of Live Bait on Growth Performance of Giant Salamanders
4.2. Effects of Feeding Giant Salamander with Feed Instead of Live Bait on Its Muscle Nutrients
4.3. Effects of Feeding Giant Salamander with Feed Instead of Live Bait on the Activities of Digestive Enzymes and Antioxidant Enzymes
4.4. Effects of Feeding Giant Salamanders with Feed Instead of Live Bait on Their Intestinal Microbial Community
5. Conclusions
Author Contributions
Funding
Institutional Review Board Statement
Data Availability Statement
Conflicts of Interest
References
- Zhang, K.-J.; Wang, X.-M.; Wu, W.; Wang, Z.-H.; Huang, S. Advances in conservation biology of Chinese giant salamander. Biodiv. Sci. 2002, 10, 291–297. [Google Scholar] [CrossRef]
- Yan, F.; Lü, J.; Zhang, B.; Yuan, Z.; Zhao, H.; Huang, S.; Wei, G.; Mi, X.; Zou, D.; Xu, W.; et al. The Chinese Giant Salamander Exemplifies the Hidden Extinction of Cryptic Species. Curr. Biol. 2018, 28, R590–R592. [Google Scholar] [CrossRef] [PubMed]
- Gao, K.-Q.; Shubin, N.H. Earliest known crown-group salamanders. Nature 2003, 422, 424–428. [Google Scholar] [CrossRef]
- Wang, J.; Zhang, H.X.; Xie, F.; Wei, G.; Jiang, J.P. Genetic Bottlenecks of the Wild Chinese Giant Salamander in Karst Caves. Asian Herpetol. Res. 2017, 8, 174–183. [Google Scholar] [CrossRef]
- Luo, Q. Research Advances in Nutritional Composition and Exploitation of Chinese Giant Salamander (Andrias davidianus). Food Sci. 2010, 31, 390–393. [Google Scholar]
- Wang, L.; Zheng, Y.; Ai, M.; Wang, H.; Yang, H.; Chen, C.; Yi, X.; Zhao, K. Analysis of the nutritional ingredient and nutrient value of the muscle and tail lipid in Chinese giant salamander (Andrias davidianus). J. Northwest A F Univ. Nat. Sci. Ed. 2011, 39, 67–74. [Google Scholar]
- Wang, M.; Luo, Q.; Wang, H.; Wang, C.; Chen, G.; Xiang, J. Analysis of Nutrients Components in the Muscle of Zhangjiajie Giant Salamander. Acta Nutr. Sin. 2015, 37, 411–413. [Google Scholar]
- Wu, X.; Deyuan, T.; Xiang, C.; Gang, O. Giant salamander farming. China’s Livest. Poult. Seed Ind. 2010, 6, 51–52. [Google Scholar]
- Wang, W.-B.; Liu, P.; Dou, L.-L.; Wang, P.; Ning, Y.; Xi, R.-M.; Feng, Y.-L.; Li, A.-H.; Zhang, Y.-B. A Survey of Chinese Giant Salamander (Andrias davidianus). Acta Hydrobiol. Sin. 2021, 45, 464–472. [Google Scholar] [CrossRef]
- Luo, J.; Yang, X.; Cao, Y.; Li, G.; Meng, Y.; Li, C. Structural characterization and in vitro immunogenicity evaluation of amphibian-derived collagen type II from the cartilage of Chinese Giant Salamander (Andrias davidianus). J. Biomater. Sci.-Polym. Ed. 2020, 31, 1941–1960. [Google Scholar] [CrossRef]
- Li, L.Q.; Zan, L.S. Study on fatty acids composition and antioxidation of Chinese giant salamander muscle oil. Sci. Technol. Food Ind. 2010, 31, 364–366. [Google Scholar]
- Murphy, R.W.; Fu, J.Z.; Upton, D.E.; De Lema, T.; Zhao, E.M. Genetic variability among endangered Chinese giant salamanders, Andrias davidianus. Mol. Ecol. 2000, 9, 1539–1547. [Google Scholar] [CrossRef]
- Jiang, W.; Tian, H.; Zhang, L. Husbandry, Captive Breeding, and Field Survey of Chinese Giant Salamander (Andrias davidianus). Methods Mol. Biol. 2023, 2562, 75–92. [Google Scholar] [CrossRef] [PubMed]
- Ouyang, L.-J.; Pin, L.I.; Lei, W. Effect of different amino acids on growth of larval Andrias davidianus. Feed Res. 2019, 42, 24–26. [Google Scholar]
- Yang, A.; Liu, G. Preliminary study of artificial breeding of giant salamanders. Freshw. Fish. 1979, 1, 1–8. [Google Scholar]
- Xiong, T.-m. Effects of two diets on the growth of Chinese giant salamander (Andrias davidianus). J. Chongqing Univ. Arts Sci. 2012, 31, 53–55. [Google Scholar]
- Luo, L.; Wan, H.; Lan, X.; Li, S. Research advances in resource and conservation genetics of Chinese giant salamander. Guangdong Agric. Sci. 2011, 38, 100–103. [Google Scholar]
- Zhen, W. Analysis of the current situation and breeding intention of giant salamander in China: Based on the investigation of Yangxian County, Shaanxi Province. Heilongjiang Anim. Husb. Vet. Med. 2016, 05, 219–222+290. [Google Scholar] [CrossRef]
- Jin, L. Experimental report on artificial compound feed breeding giant salamander. Freshw. Fish. 1994, 01, 39–40. [Google Scholar]
- Wang, S.; Li, Z.; Li, H.; Li, X.; Lei, D.; Zhu, C.; Lin, S.; Chen, Y.; Luo, L. Dietary protein requirement of juvenile giant salamander(Andrias davidianus). J. Fish. China 2020, 44, 99–110. [Google Scholar]
- He, D.; Zhu, W.; Zeng, W.; Lin, J.; Ji, Y.; Wang, Y.; Zhang, C.; Lu, Y.; Zhao, D.; Su, N.; et al. Nutritional and medicinal characteristics of Chinese giant salamander (Andrias davidianus) for applications in healthcare industry by artificial cultivation: A review. Food Sci. Hum. Wellness 2018, 7, 1–10. [Google Scholar] [CrossRef]
- Meng, Y.; Ma, J.; Jiang, N.; Zeng, L.-B.; Xiao, H.-B. Pathological and microbiological findings from mortality of the Chinese giant salamander (Andrias davidianus). Arch. Virol. 2014, 159, 1403–1412. [Google Scholar] [CrossRef] [PubMed]
- Li, Z.; Chen, X.; Chen, Y.; Li, W.; Feng, Q.; Zhang, H.; Huang, X.; Luo, L. Effects of dietary mulberry leaf extract on the growth, gastrointestinal, hepatic functions of Chinese giant salamander (Andrias davidianus). Aquac. Res. 2020, 51, 2613–2623. [Google Scholar] [CrossRef]
- Bai, S.; Zhang, P.; Zhang, C.; Du, J.; Du, X.; Zhu, C.; Liu, J.; Xie, P.; Li, S. Comparative Study of the Gut Microbiota Among Four Different Marine Mammals in an Aquarium. Front. Microbiol. 2021, 12, 769012. [Google Scholar] [CrossRef]
- Liu, W.-C.; Zhou, S.-H.; Balasubramanian, B.; Zeng, F.-Y.; Sun, C.-B.; Pang, H.-Y. Dietary seaweed (Enteromorpha) polysaccharides improves growth performance involved in regulation of immune responses, intestinal morphology and microbial community in banana shrimp Fenneropenaeus merguiensis. Fish Shellfish Immunol. 2020, 104, 202–212. [Google Scholar] [CrossRef]
- Wu, Z.; Gatesoupe, F.-J.; Zhang, Q.; Wang, X.; Feng, Y.; Wang, S.; Feng, D.; Li, A. High-throughput sequencing reveals the gut and lung prokaryotic community profiles of the Chinese giant salamander (Andrias davidianus). Mol. Biol. Rep. 2019, 46, 5143–5154. [Google Scholar] [CrossRef]
- Borrego-Ruiz, A.; Borrego, J.J. Human gut microbiome, diet, and mental disorders. Int. Microbiol. 2024. [Google Scholar] [CrossRef] [PubMed]
- Semova, I.; Carten, J.D.; Stombaugh, J.; Mackey, L.C.; Knight, R.; Farber, S.A.; Rawls, J.F. Microbiota Regulate Intestinal Absorption and Metabolism of Fatty Acids in the Zebrafish. Cell Host Microbe 2012, 12, 277–288. [Google Scholar] [CrossRef]
- Round, J.L.; Mazmanian, S.K. The gut microbiota shapes intestinal immune responses during health and disease. Nat. Rev. Immunol. 2009, 9, 313–323. [Google Scholar] [CrossRef]
- Panigrahi, A.; Kiron, V.; Satoh, S.; Watanabe, T. Probiotic bacteria Lactobacillus rhamnosus influences the blood profile in rainbow trout Oncorhynchus mykiss (Walbaum). Fish Physiol. Biochem. 2010, 36, 969–977. [Google Scholar] [CrossRef] [PubMed]
- Cai, M.; Deng, H.; Sun, H.; Si, W.; Li, X.; Hu, J.; Huang, M.; Fan, W. Changes of intestinal microbiota in the giant salamander (Andrias davidianus) during growth based on high-throughput sequencing. Front. Microbiol. 2023, 14, 1052824. [Google Scholar] [CrossRef] [PubMed]
- Zhang, H.-D.; Wang, S.; Li, H.; Feng, Q.-F.; Chen, X.-C.; Li, X.-L.; Lei, D.-H.; Luo, L. Comparative experiment on formulated diet and silver carp meat for growth of the giant salamander (Andrias davidianus). Acta Hydrobiol. Sin. 2021, 45, 146–152. [Google Scholar] [CrossRef]
- Garling, D.L.; Wilson, R.P. Optimum Dietary Protein to Energy Ratio for Channel Catfish Fingerlings, Ictalurus punctatus. J. Nutr. 1976, 106, 1368–1375. [Google Scholar] [CrossRef]
- AOAC International. Official Methods of Analysis of AOAC International, 16th ed.; Food Technology: Chicago, IL, USA, 1996; Volume 50, p. 30. [Google Scholar]
- Lin, Z.; Zeng, D. Biological characteristics of giant salamanders and artificial propagation technology. Mod. Agric. Technol. 2019, 23, 209+211. [Google Scholar]
- Qian, J.; Zhang, Y.W.; Yi, L.; Shi, M.Y.; Deng, D. Effects of different diets on growth performance, digestive enzyme activities and intestinal bacterial community of juvenile Chinese giant salamander (Andrias davidianus). Aquac. Rep. 2023, 30, 101612. [Google Scholar] [CrossRef]
- Ye, G.; Dong, X.; Yang, Q.; Chi, S.; Liu, H.; Zhang, H.; Tan, B.; Zhang, S. A formulated diet improved digestive capacity, immune function and intestinal microbiota structure of juvenile hybrid grouper (Epinephelus fuscoguttatus ♀ × Epinephelus lanceolatus ♂) when compared with chilled trash fish. Aquaculture 2020, 523, 735230. [Google Scholar] [CrossRef]
- Wang, M.; Lai, M.; Tian, T.; Wu, M.; Liu, Y.; Liang, P.; Huang, L.; Qin, Z.; Ye, X.; Xiao, W.; et al. Comparison of Growth Performance and Muscle Nutrition Levels of Juvenile Siniperca scherzeri Fed on an Iced Trash Fish Diet and a Formulated Diet. Fishes 2023, 8, 393. [Google Scholar] [CrossRef]
- Xu, X.; Yang, H.; Xu, Z.; Li, X.; Leng, X. The comparison of largemouth bass (Micropterus salmoides) fed trash fish and formula feeds: Growth, flesh quality and metabolomics. Front. Nutr. 2022, 9, 966248. [Google Scholar] [CrossRef]
- Hao, Q.; Teame, T.; Wu, X.; Ding, Q.; Ran, C.; Yang, Y.; Xing, Y.; Zhang, Z.; Zhou, Z. Influence of diet shift from bloodworm to formulated feed on growth performance, gut microbiota structure and function in early juvenile stages of hybrid sturgeon (Acipenser baerii × Acipenser schrenckii). Aquaculture 2021, 533, 736165. [Google Scholar] [CrossRef]
- Ding, L.; Zhang, Y.; Chen, J.; Chen, W.; Xie, S.; Chen, Q. Growth, Muscle Nutrition Composition, and Digestive Enzyme Activities of the Juvenile and Adult Siniperca chuatsi Fed on Live Baits and a Formulated Diet. Fishes 2022, 7, 379. [Google Scholar] [CrossRef]
- Goncalves, R.; Pfalzgraff, T.; Lund, I. Impact of live feed substitution with formulated diets on the development, digestive capacity, biochemical composition, and rearing water quality of European lobster (Homarus gammarus, L.) larvae. Aquaculture 2024, 586, 740776. [Google Scholar] [CrossRef]
- Wilson, R.P.; Halver, J.E. Protein and amino-acid-requirements of fishes. Annu. Rev. Nutr. 1986, 6, 225–244. [Google Scholar] [CrossRef] [PubMed]
- Hoseini, S.M.; Pérez-Jiménez, A.; Costas, B.; Azeredo, R.; Gesto, M. Physiological roles of tryptophan in teleosts: Current knowledge and perspectives for future studies. Rev. Aquac. 2019, 11, 3–24. [Google Scholar] [CrossRef]
- De Carvalho, C.C.C.R.; Caramujo, M.J. The Various Roles of Fatty Acids. Molecules 2018, 23, 2583. [Google Scholar] [CrossRef] [PubMed]
- Goel, A.; Pothineni, N.V.; Singhal, M.; Paydak, H.; Saldeen, T.; Mehta, J.L. Fish, Fish Oils and Cardioprotection: Promise or Fish Tale? Int. J. Mol. Sci. 2018, 19, 3703. [Google Scholar] [CrossRef]
- Dias, B.V.; Gomes, S.V.; da Cruz Castro, M.L.; Faria Carvalho, L.C.; Breguez, G.S.; Soares de Souza, D.M.; Ramos, C.d.O.; Sant’Ana, M.R.; Branco Ramos Nakandakari, S.C.; Araujo, C.M.; et al. EPA/DHA and linseed oil have different effects on liver and adipose tissue in rats fed with a high-fat diet. Prostaglandins Other Lipid Mediat. 2022, 159, 106622. [Google Scholar] [CrossRef]
- Chen, D.W.; Zhang, M.; Shrestha, S. Compositional characteristics and nutritional quality of Chinese mitten crab (Eriocheir sinensis). Food Chem. 2007, 103, 1343–1349. [Google Scholar] [CrossRef]
- Shoda, R.; Matsueda, K.; Yamato, S.; Umeda, N. Epidemiologic analysis of Crohn disease in Japan: Increased dietary intake of n-6 polyunsaturated fatty acids and animal protein relates to the increased incidence of Crohn disease in Japan. Am. J. Clin. Nutr. 1996, 63, 741–745. [Google Scholar] [CrossRef]
- Nishida, C.; Uauy, R.; Kumanyika, S.; Shetty, P. The Joint WHO/FAO Expert Consultation on diet, nutrition and the prevention of chronic diseases: Process, product and policy implications. Public Health Nutr. 2004, 7, 245–250. [Google Scholar] [CrossRef]
- Rombenso, A.N.; Turchini, G.M.; Trushenski, J.T. The omega-3 sparing effect of saturated fatty acids: A reason to reconsider common knowledge of fish oil replacement. Rev. Aquac. 2022, 14, 213–217. [Google Scholar] [CrossRef]
- Zhang, W.A.; Xiao, S.; Samaraweera, H.; Lee, E.J.; Ahn, D.U. Improving functional value of meat products. Meat Sci. 2010, 86, 15–31. [Google Scholar] [CrossRef] [PubMed]
- Singh, A.K.; Mandal, R.K.; Bedford, M.R.; Jha, R. Xylanase improves growth performance, enhances cecal short-chain fatty acids production, and increases the relative abundance of fiber fermenting cecal microbiota in broilers. Anim. Feed Sci. Technol. 2021, 277, 114956. [Google Scholar] [CrossRef]
- GarciaCarreno, F.L.; delToro, A.N.; Ezquerra, M. Digestive shrimp proteases for evaluation of protein digestibility in vitro. 1: Effect of protease inhibitors in protein ingredients. J. Mar. Biotechnol. 1997, 5, 36–40. [Google Scholar]
- Yang, L.; Xu, H.; Liu, C.; Wang, G.; Ai, Y.; Jiang, W.; Luo, Q.; Li, H.; Luo, L.; Xiang, X. Effects of vitamin C on the structure and function of the digestive system of Andrias davidianus. J. Fish. China 2023, 47, 161–172. [Google Scholar]
- Liu, X.Z.; Ju, Y.; Huang, L.L.; Liu, M.Z.; Bo, J.N.; Zhou, T.Y.; Zhang, Y.F.; Liu, C.; Feng, M.M.; Zhang, S.; et al. Effects of a new fermented soya bean meal on growth performance, serum biochemistry profile, intestinal immune status and digestive enzyme activities in piglets. J. Anim. Physiol. Anim. Nutr. 2022, 106, 1046–1059. [Google Scholar] [CrossRef] [PubMed]
- Qian, J.; Li, Z.; Chen, S. Synergistic Effects of Temperature and Salinity on Activities of Amylase and Na+/K+-ATPase in Juvenile Scallop Chlamys nobilis (Reeve). Fish. Sci. 2015, 34, 269–276. [Google Scholar]
- Pang, C.; Neubauer, N.; Boyles, M.; Brown, D.; Kanase, N.; Hristozov, D.; Fernandes, T.; Stone, V.; Wohlleben, W.; Marcomini, A. Releases from transparent blue automobile coatings containing nanoscale copper phthalocyanine and their effects on J774 A1 macrophages. Nanoimpact 2017, 7, 75–83. [Google Scholar] [CrossRef]
- Zhang, C.; Peng, S.; Chen, C.; Gao, Q.; Shi, Z. Effects of dietary protein and lipid levels on immune and antioxidant function of juvenile Epinehelus moara. Mar. Fish. 2016, 38, 634–644. [Google Scholar]
- Wang, W.; Zhou, J.; Chen, M.; Wang, J.; Zeng, B.; Wang, Q.; Zha, X. Effects of beta-glucan on Growth, Intestinal Digestive Enzyme Activity and Liver Antioxidant Capacity of Juvenile Salmon trutta. Southwest China J. Agric. Sci. 2021, 34, 673–678. [Google Scholar]
- Du, L.; Li, G.; Liu, M.; Li, Y.; Yin, S.; Zhao, J.; Zhang, X. Evaluation of DNA damage and antioxidant system induced by di-n-butyl phthalates exposure in earthworms (Eisenia fetida). Ecotoxicol. Environ. Saf. 2015, 115, 75–82. [Google Scholar] [CrossRef]
- Zhai, X.; Yang, H.; Chen, H.; He, W.; Yang, J. Research progress in the toxicity and determination technology of malondialdehyde. Acta Agric. Shanghai 2018, 34, 144–148. [Google Scholar]
- Ping, L.-w.; Li, X.-x.; Zhang, C.; Sun, P.-p.; Wang, J.-h.; Zhu, L.-s.; Wang, J. Oxidative Stress and DNA Damage Induced by DEP Exposure in Earthworms. Huanjing Kexue 2018, 39, 4825–4833. [Google Scholar] [CrossRef]
- Li, X.; Lei, Y.; Gao, X.; Ma, C.; Dong, S. Calcium carbonate supersaturation and precipitation in Chinese mitten crab (Eriocheir japonica sinensis) larval ponds in China:: Mass mortality, crystal form analysis, and safety saturation index. Aquaculture 2007, 272, 361–369. [Google Scholar] [CrossRef]
- Gutman, A.B.; Gutman, E.B. An “acid” phosphatase occurring in the serum of patients with metastasizing carcinoma of the prostate gland. J. Clin. Investig. 1938, 17, 473–478. [Google Scholar] [CrossRef] [PubMed]
- Cheng, T.C. The role of lysosomal hydrolases in molluscan cellular response to immunologic challenge. In Invertebrate Models for Biomedical Research; Springer: Berlin/Heidelberg, Germany, 1978; pp. 59–71. [Google Scholar]
- Wang, X.; Fang, W.; Liu, L.; Fu, Y.; Zhou, Y.; Zhou, D.; Huang, X.; Mu, C.; Wang, C. Molecular characterization and DNA methylation analysis of carbonic anhydrase (Sp-CA) in the mud crab Scylla paramamosain: Its potential osmoregulation role under carbonate alkalinity stress. Aquac. Rep. 2023, 30, 101591. [Google Scholar] [CrossRef]
- Sang, Z.-w.; Bao, M.-n.; Liang, Y.; Chu, K.-h.; Wang, L. Identification of acid phosphatase (ShACP) from the freshwater crab Sinopotamon henanense and its expression pattern changes in response to cadmium. Ecotoxicol. Environ. Saf. 2023, 255, 114762. [Google Scholar] [CrossRef]
- Kong, X.; Wang, S.; Jiang, H.; Nie, G.; Li, X. Changes of the activities of enzymes related to immunity and the content of malondialdehyde during embryonic development of goldfish Carassius auratus. J. Fish. Sci. China 2011, 18, 1293–1298. [Google Scholar]
- Rimoldi, S.; Gini, E.; Iannini, F.; Gasco, L.; Terova, G. The Effects of Dietary Insect Meal from Hermetia illucens Prepupae on Autochthonous Gut Microbiota of Rainbow Trout (Oncorhynchus mykiss). Animals 2019, 9, 143. [Google Scholar] [CrossRef] [PubMed]
- Wu, Q.J.; Zhou, Y.M.; Wu, Y.N.; Wang, T. Intestinal Development and Function of Broiler Chickens on Diets Supplemented with Clinoptilolite. Asian-Australas. J. Anim. Sci. 2013, 26, 987–994. [Google Scholar] [CrossRef]
- Yang, G.; Bao, B.; Peatman, E.; Li, H.; Huang, L.; Ren, D. Analysis of the composition of the bacterial community in puffer fish Takifugu obscurus. Aquaculture 2007, 262, 183–191. [Google Scholar] [CrossRef]
- Tanaka, R.; Ootsubo, M.; Sawabe, T.; Ezura, Y.; Tajima, K. Biodiversity and in situ abundance of gut microflora of abalone (Haliotis discus hannai) determined by culture-independent techniques. Aquaculture 2004, 241, 453–463. [Google Scholar] [CrossRef]
- Zhu, W.; Zhao, C.; Feng, J.; Chang, J.; Zhu, W.; Chang, L.; Liu, J.; Xie, F.; Li, C.; Jiang, J.; et al. Effects of Habitat River Microbiome on the Symbiotic Microbiota and Multi-Organ Gene Expression of Captive-Bred Chinese Giant Salamander. Front. Microbiol. 2022, 13, 884880. [Google Scholar] [CrossRef]
- Zhu, L.; Zhu, W.; Zhao, T.; Chen, H.; Zhao, C.; Xu, L.; Chang, Q.; Jiang, J. Environmental Temperatures Affect the Gastrointestinal Microbes of the Chinese Giant Salamander. Front. Microbiol. 2021, 12, 543767. [Google Scholar] [CrossRef] [PubMed]
- Zhang, M.; Gaughan, S.; Chang, Q.; Chen, H.; Lu, G.; Wang, X.; Xu, L.; Zhu, L.; Jiang, J. Age-related changes in the gut microbiota of the Chinese giant salamander (Andrias davidianus). Microbiologyopen 2019, 8, e00778. [Google Scholar] [CrossRef] [PubMed]
- Shin, N.-R.; Whon, T.W.; Bae, J.-W. Proteobacteria: Microbial signature of dysbiosis in gut microbiota. Trends Biotechnol. 2015, 33, 496–503. [Google Scholar] [CrossRef]
- Magne, F.; Gotteland, M.; Gauthier, L.; Zazueta, A.; Pesoa, S.; Navarrete, P.; Balamurugan, R. The Firmicutes/Bacteroidetes Ratio: A Relevant Marker of Gut Dysbiosis in Obese Patients? Nutrients 2020, 12, 1474. [Google Scholar] [CrossRef] [PubMed]
- Everard, A.; Lazarevic, V.; Gaia, N.; Johansson, M.; Stahlman, M.; Backhed, F.; Delzenne, N.M.; Schrenzel, J.; Francois, P.; Cani, P.D. Microbiome of prebiotic-treated mice reveals novel targets involved in host response during obesity. ISME J. 2014, 8, 2116–2130. [Google Scholar] [CrossRef]
- Zhu, L.; Baker, S.S.; Gill, C.; Liu, W.; Alkhouri, R.; Baker, R.D.; Gill, S.R. Characterization of Gut Microbiomes in Nonalcoholic Steatohepatitis (NASH) Patients: A Connection Between Endogenous Alcohol and NASH. Hepatology 2013, 57, 601–609. [Google Scholar] [CrossRef] [PubMed]
- Zhang, C.; Zhang, M.; Pang, X.; Zhao, Y.; Wang, L.; Zhao, L. Structural resilience of the gut microbiota in adult mice under high-fat dietary perturbations. ISME J. 2012, 6, 1848–1857. [Google Scholar] [CrossRef]
- Sahu, U.; Villa, E.; Reczek, C.R.; Zhao, Z.; O’Hara, B.P.; Torno, M.D.; Mishra, R.; Shannon, W.D.; Asara, J.M.; Gao, P.; et al. Pyrimidines maintain mitochondrial pyruvate oxidation to support de novo lipogenesis. Science 2024, 383, 1484–1492. [Google Scholar] [CrossRef] [PubMed]
- Lane, A.N.; Fan, T.W.M. Regulation of mammalian nucleotide metabolism and biosynthesis. Nucleic Acids Res. 2015, 43, 2466–2485. [Google Scholar] [CrossRef] [PubMed]








| Compound Feed Group | Live Fish Group | Frozen Fish Group | Unit Price, Yuan/ton | |
|---|---|---|---|---|
| Ingredient (%, DM) | ||||
| Fish Meal 1 | 50 | 14,300 | ||
| Gluten Meal 1 | 31 | 11,400 | ||
| Amylopectin Starch 1 | 11 | 9000 | ||
| Microcrystalline Cellulose 1 | 2.71 | 18,000 | ||
| Soybean Oil | 2 | 12,300 | ||
| Calcium Dihydrogen Phosphate | 2 | 3350 | ||
| Premix 2 | 0.75 | 26,000 | ||
| Antioxidants | 0.01 | 20,000 | ||
| Calcium Propionate | 0.03 | 12,000 | ||
| Choline Chloride 2 | 0.5 | 20,000 | ||
| Crucian carp meat 2 | 100 | 100 | 60,000 | |
| Nutrients (%, DM) | ||||
| Moisture | 11.37 | 72.57 | 70.10 | |
| Crude Protein | 58.41 | 15.23 | 18.65 | |
| Crude Lipid | 6.82 | 6.11 | 3.97 | |
| Crude ash | 10.02 | 3.76 | 3.63 | |
| Gross energy (GE) (kcal/g) 3 | 3.94 | 4.15 | 4.05 | |
| Group | H | S | D | p-Vaule |
|---|---|---|---|---|
| IW (g) | 45.63 ± 3.59 | 39.25 ± 3.16 | 43.42 ± 1.83 | >0.139 |
| FW (g) | 95.14 ± 6.38 a | 78.94 ± 5.94 b | 81.72 ± 3.53 ab | 0.011 |
| WGR (%) | 108.51 ± 13.98 | 101.12 ± 15.12 | 88.19 ± 8.14 | >0.266 |
| SGR (%) | 0.25 ± 0.02 | 0.23 ± 0.03 | 0.22 ± 0.02 | >0.428 |
| FCR (%) | 1.64 ± 0.14 a | 2.05 ± 0.06 b | 2.18 ± 0.03 b | 0.001 |
| SR (%) | 100 | 100 | 100 | >0.732 |
| Group | Moisture (%) | Crude Lipid (%) * | Crude Protein (%) * | Crude Ash (%) * |
|---|---|---|---|---|
| H | 83.24 ± 0.53 b | 5.13 ± 0.44 | 13.53 ± 0.29 | 0.99 ± 0.02 |
| S | 85.89 ± 1.07 a | 6.05 ± 0.27 | 12.11 ± 0.50 | 1.03 ± 0.03 |
| D | 83.91 ± 0.36 ab | 5.49 ± 0.47 | 12.43 ± 0.55 | 0.97 ± 0.04 |
| p-Value | 0.040 | >0.162 | >0.066 | >0.137 |
| Amino Acid Species | H (mg/g) | S (mg/g) | D (mg/g) | p-Value |
|---|---|---|---|---|
| EAA | ||||
| His | 4.32 ± 0.10 | 4.13 ± 0.26 | 4.70 ± 0.20 | >0.083 |
| Arg | 12.66 ± 0.41 | 12.47 ± 0.68 | 13.23 ± 0.36 | >0.326 |
| Met | 3.34 ± 0.08 | 2.81 ± 0.53 | 3.87 ± 0.32 | >0.081 |
| Val | 8.42 ± 0.23 | 8.04 ± 0.43 | 9.01 ± 0.40 | >0.109 |
| Ile | 8.31 ± 0.16 | 8.41 ± 0.51 | 9.18 ± 0.22 | >0.112 |
| Leu | 15.52 ± 0.42 | 15.07 ± 0.73 | 16.79 ± 0.47 | >0.072 |
| Phe | 7.97 ± 0.29 | 7.64 ± 0.35 | 8.50 ± 0.29 | >0.100 |
| Thr | 9.04 ± 0.36 | 8.70 ± 0.48 | 9.51 ± 0.35 | >0.207 |
| Lys | 18.34 ± 0.81 | 17.34 ± 0.61 | 19.52 ± 0.72 | >0.076 |
| NEAA | ||||
| Ala | 11.42 ± 0.45 | 10.81 ± 0.49 | 11.91 ± 0.35 | >0.122 |
| Pro | 7.16 ± 0.54 | 6.92 ± 0.27 | 7.56 ± 0.32 | >0.289 |
| Cys | 2.16 ± 0.12 ab | 1.81 ± 0.12 a | 2.23 ± 0.06 b | 0.029 |
| Tyr | 6.72 ± 0.29 ab | 6.31 ± 0.18 a | 7.11 ± 0.17 b | 0.044 |
| Ser | 8.99 ± 0.53 | 8.48 ± 0.30 | 9.51 ± 0.36 | >0.124 |
| Gly | 9.57 ± 0.92 | 9.05 ± 0.51 | 9.52 ± 0.36 | >0.584 |
| Asp | 14.46 ± 0.71 | 13.42 ± 0.68 | 15.19 ± 0.68 | >0.121 |
| Glu | 30.01 ± 1.23 | 29.75 ± 1.04 | 32.07 ± 1.18 | >0.205 |
| ∑EAA | 78.88 ± 4.19 | 75.91 ± 5.58 | 84.80 ± 4.92 | >0.069 |
| ∑NEAA | 90.49 ± 8.07 | 86.54 ± 5.71 | 95.09 ± 5.81 | >0.165 |
| ∑AA | 169.37 ± 12.26 | 162.45 ± 11.28 | 179.89 ± 10.66 | >0.111 |
| Types of Fatty Acids | D (μg/g) | S (μg/g) | H (μg/g) | p-Value |
|---|---|---|---|---|
| C10:0 | 0.06 ± 0.02 | 0.03 ± 0.01 | 0.26 ± 0.24 | >0.128 |
| C12:0 | 0.14 ± 0.06 | 0.08 ± 0.03 | 0.3 ± 0.22 | >0.190 |
| C14:0 | 1.96 ± 0.32 a | 2.81 ± 0.35 ab | 3.69 ± 0.68 b | 0.005 |
| C15:0 | 3.5 ± 1.16 a | 1.58 ± 0.5 a | 9.84 ± 2.43 b | <0.001 |
| C16:0 | 412.67 ± 65.88 ab | 346.72 ± 74.08 a | 496.25 ± 66.5 b | 0.038 |
| C17:0 | 14.38 ± 2.35 a | 6.08 ± 1.59 b | 16.67 ± 3.69 a | 0.003 |
| C18:0 | 213.43 ± 27.43 ab | 151.64 ± 27.64 b | 215.79 ± 34.43 a | 0.045 |
| C20:0 | 1.24 ± 0.13 | 1.18 ± 0.13 | 1.34 ± 0.07 | >0.135 |
| C21:0 | 2.09 ± 0.1 | 2.14 ± 0.16 | 1.99 ± 0.06 | >0.158 |
| ∑SFA | 649.47 ± 88.72 ab | 512.26 ± 102.25 a | 746.13 ± 105.79 b | 0.028 |
| C16:1 | 38.29 ± 9.99 ab | 29.1 ± 5.29 a | 50.88 ± 12.39 b | 0.033 |
| C18:1n9c | 276.71 ± 37.22 a | 207.47 ± 28.3 b | 323.32 ± 64.28 a | 0.021 |
| C20:1 | 3.72 ± 0.99 | 4.52 ± 1.51 | 4.77 ± 0.86 | >0.309 |
| ∑MUFA | 318.72 ± 47.12 ab | 241.09 ± 29.1 a | 378.98 ± 76.95 b | 0.022 |
| C18:2n6c | 111.77 ± 16.81 a | 218.76 ± 71.91 b | 178.82 ± 21.54 ab | 0.026 |
| C20:2n6 | 3.96 ± 1.3 | 4.11 ± 1.29 | 6.58 ± 2.07 | >0.092 |
| C20:3n6 | 21.44 ± 3.36 a | 14.26 ± 2.92 b | 25.08 ± 4.29 a | 0.010 |
| C20:4n6 | 351.82 ± 32.11 a | 247.25 ± 60.72 b | 374.99 ± 61.65 a | 0.026 |
| ∑n-6PUFA | 489 ± 51.55 | 484.38 ± 76.86 | 585.47 ± 88.38 | >0.145 |
| C18:3n3 | 24.85 ± 4.89 a | 12.19 ± 2.06 b | 39.89 ± 8.47 c | 0.001 |
| C20:3n3 | 3.54 ± 1.21 a | 0.79 ± 0.6 b | 5.55 ± 2.24 a | 0.008 |
| C20:5n3 | 92.41 ± 12.76 | 97.13 ± 22.59 | 120.05 ± 24.41 | >0.151 |
| C22:6n3 | 226.54 ± 27.26 a | 143.31 ± 19.18 b | 245.05 ± 49.15 a | 0.011 |
| ∑n-3PUFA | 347.35 ± 42.13 ab | 253.41 ± 42.51 a | 410.54 ± 83.93 b | 0.018 |
| ∑PUFA | 836.35 ± 92.39 ab | 737.79 ± 112.29 a | 996.01 ± 169.08 b | 0.049 |
| n-3/n-6 | 0.71 ± 0.03 a | 0.52 ± 0.06 b | 0.7 ± 0.06 a | 0.006 |
| Sample | RawPE | Clean Tags (#) | Effective Tags (#) | Avglen (nt) | Effective (%) |
|---|---|---|---|---|---|
| NH1 | 105,575 | 104,022 | 85,453 | 407.51 | 80.94% |
| NH2 | 102,715 | 101,439 | 84,395 | 408.66 | 82.16% |
| NH3 | 106,672 | 104,897 | 89,804 | 408.81 | 84.19% |
| NH4 | 107,765 | 106,375 | 86,483 | 408.11 | 80.25% |
| NH5 | 115,009 | 113,479 | 86,678 | 407.53 | 75.37% |
| NH6 | 104,509 | 103,290 | 84,755 | 408.28 | 81.10% |
| NS1 | 116,981 | 115,087 | 86,354 | 410.05 | 73.82% |
| NS2 | 105,213 | 103,642 | 84,039 | 412.87 | 79.88% |
| NS3 | 105,398 | 104,121 | 79,380 | 408.02 | 75.31% |
| NS4 | 104,523 | 103,196 | 87,122 | 410.93 | 83.35% |
| NS5 | 103,464 | 102,024 | 81,708 | 411.97 | 78.97% |
| NS6 | 105,699 | 104,019 | 91,482 | 410.03 | 86.55% |
| ND1 | 106,625 | 105,176 | 89,802 | 408.26 | 84.22% |
| ND2 | 102,084 | 100,260 | 80,809 | 410.88 | 79.16% |
| ND3 | 103,788 | 102,416 | 70,742 | 408.89 | 68.16% |
| ND4 | 104,173 | 102,893 | 75,389 | 407.71 | 72.37% |
| ND5 | 106,149 | 104,727 | 88,608 | 407.03 | 83.48% |
| ND6 | 104,177 | 102,407 | 90,991 | 406.9 | 87.34% |
Disclaimer/Publisher’s Note: The statements, opinions and data contained in all publications are solely those of the individual author(s) and contributor(s) and not of MDPI and/or the editor(s). MDPI and/or the editor(s) disclaim responsibility for any injury to people or property resulting from any ideas, methods, instructions or products referred to in the content. |
© 2024 by the authors. Licensee MDPI, Basel, Switzerland. This article is an open access article distributed under the terms and conditions of the Creative Commons Attribution (CC BY) license (https://creativecommons.org/licenses/by/4.0/).
Share and Cite
Fan, H.; Huang, P.; Zhu, J.; Li, J.; Jian, S.; Hou, J.; Wang, Z.; Li, L.; Zhao, D. Effects of Artificial Compound Feed for Live Fish Feed on Growth Performance, Nutrient Composition, Digestive Performance, and Gut Microbiota of Giant Salamander (Andrias davidianus). Fishes 2025, 10, 11. https://doi.org/10.3390/fishes10010011
Fan H, Huang P, Zhu J, Li J, Jian S, Hou J, Wang Z, Li L, Zhao D. Effects of Artificial Compound Feed for Live Fish Feed on Growth Performance, Nutrient Composition, Digestive Performance, and Gut Microbiota of Giant Salamander (Andrias davidianus). Fishes. 2025; 10(1):11. https://doi.org/10.3390/fishes10010011
Chicago/Turabian StyleFan, Hongxiang, Peiying Huang, Jiayi Zhu, Jiamin Li, Shaoqing Jian, Jiahao Hou, Ziyu Wang, Linjie Li, and Daxian Zhao. 2025. "Effects of Artificial Compound Feed for Live Fish Feed on Growth Performance, Nutrient Composition, Digestive Performance, and Gut Microbiota of Giant Salamander (Andrias davidianus)" Fishes 10, no. 1: 11. https://doi.org/10.3390/fishes10010011
APA StyleFan, H., Huang, P., Zhu, J., Li, J., Jian, S., Hou, J., Wang, Z., Li, L., & Zhao, D. (2025). Effects of Artificial Compound Feed for Live Fish Feed on Growth Performance, Nutrient Composition, Digestive Performance, and Gut Microbiota of Giant Salamander (Andrias davidianus). Fishes, 10(1), 11. https://doi.org/10.3390/fishes10010011
