Analyzing and Assisting Finger Motions for Spoon Scooping
Abstract
1. Introduction
2. The Ideas Behind Movement Patterns for Plunging Motion and Lifting Motion
2.1. Plunging Motion
- Movement Pattern SFP: as shown in Figure 3a, for a human finger plunging motion, the IP, PIP2, and PIP3 were flexed simultaneously. Therefore, in movement pattern SFP, the IP, the PIP2, and the PIP3 are flexed so that all fingertips (from the thumb, index, and middle finger) are brought close to each other. By doing this, all fingertips can apply force to the handle of the spoon, which increases the possibility of achieving the plunging motion successfully.
- Movement Pattern SFP2: as shown in Figure 3b, a human finger plunging motion is achieved by pinching the spoon handle between the index and middle fingers and flexing PIP2 and PIP3 simultaneously, but without flexing IP, which is the difference between this movement pattern and SFP.
- Movement Pattern PMP: as shown in Figure 3c, for another type of plunging motion, the bowl of a spoon needs to be moved in a direction perpendicular to the ground. Hence, we thought that if the fingers could also be moved in the same direction, the bowl of a spoon could be moved in a direction perpendicular to the ground. Thus, a plunging motion could be realized by moving the index and middle fingers in a direction perpendicular to the ground. Therefore, in movement pattern PMP, the index and middle fingers are actuated simultaneously. The index finger is adducted in the direction towards the spoon handle. This causes the index finger to make contact with the spoon and improves force transmission. The middle finger is adducted in the direction away from the spoon handle but still retains minimum contact. This makes the middle finger act as a guide for the motion of the spoon, which could possibly enable a successful plunging motion.
- Movement Pattern FAP: as shown in Figure 3d, in the scooping motion, the thumb and index finger are thought to play the role of balancing and restraining the spoon, while the middle finger plays a supporting role. Hence, by changing the position of the DIP3, which supports the spoon, the fulcrum moves in the direction of the hand, generating a moment in the direction of the spoon bowl falling to the ground. Therefore, in movement pattern FAP, the PIP joint of the middle finger is flexed toward the hand. By moving the position of the middle finger supporting the spoon towards the hand, the position of the fulcrum moves, and the bowl of the spoon is considered to drop downwards.
2.2. Lifting Motion
- Movement Pattern FAL: as shown in Figure 4a, the PIP joint of the middle finger is extended toward the spoon bowl. By moving the position of the middle finger supporting the spoon towards the bowl, it is predicted that the position of the fulcrum will move to the spoon bowl, and the bowl of the spoon will be in a posture parallel to the ground.
- Movement Pattern PHL: as shown in Figure 4b, the IP joint of the thumb and the PIP joint of the index finger are flexed simultaneously. By pressing with the thumb and index finger closer towards the hand against the fulcrum of the middle finger, which supports the spoon, it is predicted that the moment M will occur in the direction that the spoon handle is parallel to the ground, which will bring the bowl of the spoon in a posture parallel to the ground.
3. Verification of the Movement Patterns and Details of Each Experiment
3.1. Experiment 1: Measurement of the Movement of a Real Hand Using Inertial Sensors
3.1.1. Approach for Experiment 1
3.1.2. Details of Experiment 1
3.2. Experiment 2: Verifications of Plunging Motion and Lifting Motion Using Soft Actuators and a Dummy Hand
3.2.1. Approach for Experiment 2
- Movement Pattern SFP; flexion of all three joints (IP, PIP2, PIP3) simultaneously as explained before in Section 2. Therefore, the air pressure channels of soft actuators to move the three joints were made identical and validated by pressurizing the air pressure of the soft actuator to which the three soft actuators were connected after rotating a spoon until a scooping angle became sufficient (shown in Figure 1b).
- Movement Pattern SFP2; similar to SFP, except that IP is not flexed.
- Movement Pattern PHL; flexion of IP and PIP2 simultaneously, as explained in Section 2 above. Therefore, the air pressure channels of the soft actuators to move the two joints were made identical. After the state in which the scooping angle was around 0 degrees, i.e., Figure 1d, the soft actuators attached to IP and PIP2 were pressurized to flex IP and PIP2.
3.2.2. Design and Fabrication of Soft Actuator and Dummy Hand
- The shape of the fingertip. Human fingers have unique friction and elasticity, with a shape that facilitates the manipulation of objects [39]. Therefore, it was considered that reproducing the shape of the fingertip for the dummy hand would facilitate the transmission of force when grasping the spoon. To fabricate a dummy hand with the same shape as a human finger, a mold of a human finger was made. Skeletal parts made of PLA were placed in the mold and then silicone was poured into the mold and left to harden. Alja-Safe™ (Alja-Safe, Smooth-On, Macungie, PA, USA) was used for the mold and Ecoflex 00-30 (Ecoflex00-30, Smooth-On, Macungie, PA, USA) was used for the silicone [40,41,42].
- The DoFs for each joint. The DoFs of human finger joints are clarified [28]. DIP, PIP, and IP joints have one DoF in the flexion–extension direction, while MCP joints have two DoFs, allowing for both flexion–extension and abduction–adduction (shown in Figure 12a,b). In the plunging and lifting motions of the movement patterns, we replicated the necessary joint movements. Specifically, we reproduced the flexion–extension DoFs of MCP1, IP, MCP2, PIP2, DIP2, MCP3, PIP3, and DIP3, as well as the abduction–adduction DoFs of MCP2 and MCP3. The abduction–adduction DoFs of MCP2 and MCP3 were included for two reasons: to increase the contact area between the fingertip of the index finger and the surface of the spoon handle, facilitating better force transmission, and to enable the index finger to adduct in the direction of the spoon handle while the middle finger adducts to support the spoon in movement pattern PMP. A universal joint-like structure was used to replicate both flexion–extension and abduction–adduction movements for MCP2 and MCP3, while hinge joints were employed for other joints to allow for flexion-extension only.
- The angle between the index finger and middle finger. In our previous research [27], for simplicity, the dummy hand was created with the index and middle fingers parallel to each other. However, in a real hand, as shown in Figure 12c, the index and middle fingers naturally form a specific angle (hereafter, , which was measured to be 18 degrees). When the two fingers are created to be parallel, the force from the fingers is not adequately transmitted to the spoon. Therefore, the angle of was replicated in the dummy hand.
- Thumb position and its twisting angle. In human grasping tasks, the thumb plays a crucial role, and it is essential to effectively transmit force from the thumb. Therefore, in each experiment, the thumb of a dummy hand must be placed in the same position as when grasping the spoon with the human fingers in order to make sufficient contact with the spoon handle. These replications might facilitate force transmission. Hence, the angle between the metacarpal bones of the thumb and index finger, as well as the twisting angle of the thumb when grasping the spoon, were replicated. The method of replication is described below. The angle between the thumb and index finger during grasping was measured using a protractor, and in the dummy hand, the index finger and thumb were set to achieve that angle (60 degrees). Additionally, the twisting angle of the thumb was measured by attaching a 9-axis sensor to the thumb (approximately 32 degrees), and we applied it to a dummy hand.
4. Results and Discussion
4.1. Experiment 1: Measurement of the Movement of a Real Hand During Plunging Motion and Lifting Motion
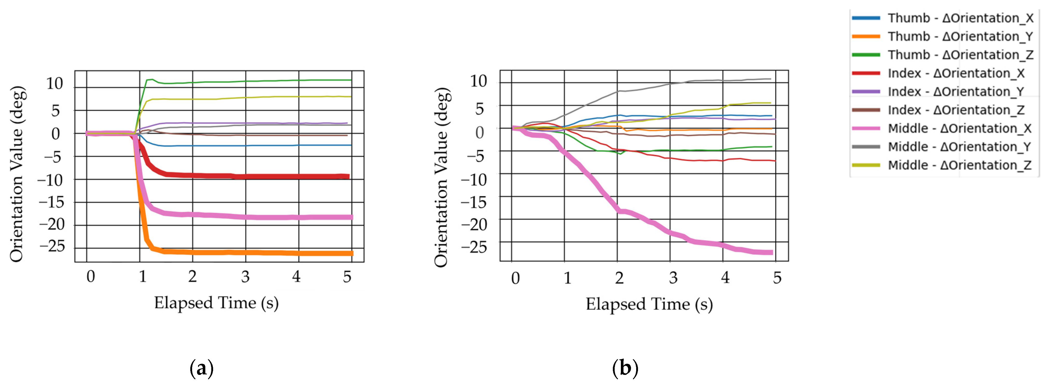
4.1.1. During the Plunging Motion
4.1.2. During Lifting Motion
4.2. Verification of Plunging Motion and Lifting Motion Using a Dummy Hand and Soft Actuators
4.2.1. During Plunging Motion
4.2.2. During the Lifting Motion
5. Conclusions and Future Work
Author Contributions
Funding
Institutional Review Board Statement
Data Availability Statement
Acknowledgments
Conflicts of Interest
References
- Stenimahitis, V.; Gharios, M.; Fletcher-Sandersjöö, A.; El-Hajj, V.G.; Singh, A.; Buwaider, A.; Andersson, M.; Gerdhem, P.; Hultling, C.; Elmi-Terander, A.; et al. Long-Term Outcome and Predictors of Neurological Recovery in Cervical Spinal Cord Injury: A Population-Based Cohort Study. Sci. Rep. 2024, 14, 20945. [Google Scholar] [CrossRef] [PubMed]
- Suresh, S.; Madrinan Chiquito, D.F.; Manda, S.; Jacob, L.; Duerstock, B.S. Motor-Activated Multi-Functional Wrist Orthotic to Assist Individuals with Cervical Spinal Cord Injuries with Activities of Daily Living. In Proceedings of the RESNA/NCART 2016, Arlington, VA, USA, 10–14 July 2016; Available online: https://www.resna.org/sites/default/files/conference/2016/pdf_versions/emerging_tech/suresh.pdf (accessed on 28 January 2025).
- Al Snih, S.; Markides, K.S.; Ottenbacher, K.J.; Raji, M.A. Hand Grip Strength and Incident ADL Disability in Elderly Mexican Americans over a Seven-Year Period. Aging Clin. Exp. Res. 2004, 16, 481–486. [Google Scholar] [CrossRef] [PubMed]
- Feng, Z.; Li, Q.; Zhou, L.; Chen, Z.; Yin, W. The Relationship between Depressive Symptoms and Activity of Daily Living Disability among the Elderly: Results from the China Health and Retirement Longitudinal Study (CHARLS). Public Health 2021, 198, 75–81. [Google Scholar] [CrossRef]
- Tang, W.-K.; Lau, C.G.; Mok, V.; Ungvari, G.S.; Wong, K.-S. Burden of Chinese Stroke Family Caregivers: The Hong Kong Experience. Arch. Phys. Med. Rehabil. 2011, 92, 1462–1467. [Google Scholar] [CrossRef] [PubMed]
- Ostwald, S.K.; Bernal, M.P.; Cron, S.G.; Godwin, K.M. Stress Experienced by Stroke Survivors and Spousal Caregivers During the First Year After Discharge from Inpatient Rehabilitation. Top. Stroke Rehabil. 2009, 16, 93–104. [Google Scholar] [CrossRef]
- Anderson, C.S.; Linto, J.; Stewart-Wynne, E.G. A Population-Based Assessment of the Impact and Burden of Caregiving for Long-Term Stroke Survivors. Stroke 1995, 26, 843–849. [Google Scholar] [CrossRef] [PubMed]
- Hussain, Z.; Zainul Azlan, N.; Yusof, A.Z. bin Human Hand Motion Analysis during Different Eating Activities. Appl. Bionics Biomech. 2018, 2018, 8567648. [Google Scholar] [CrossRef] [PubMed]
- McColl, D.; Nejat, G. Meal-Time with a Socially Assistive Robot and Older Adults at a Long-Term Care Facility. J. Hum. Robot. Interact. 2013, 2, 152–171. [Google Scholar] [CrossRef]
- Yasuda, T.; Fukiwake, M.; Shimokasa, K.; Mine, Y. Investigation of Food Characteristics Modulating Spoon Motions in Skilled Spoon Users: Proposal of a Control Target for the Active Self-Feeding Spoon. Adv. Biomed. Eng. 2017, 6, 110–121. [Google Scholar] [CrossRef][Green Version]
- Westergren, A.; Unosson, M.; Ohlsson, O.; Lorefält, B.; Hallberg, I.R. Eating Difficulties, Assisted Eating and Nutritional Status in Elderly (≥65 Years) Patients in Hospital Rehabilitation. Int. J. Nurs. Stud. 2002, 39, 341–351. [Google Scholar] [CrossRef]
- Chen, C.C.-H.; Schilling, L.S.; Lyder, C.H. A Concept Analysis of Malnutrition in the Elderly. J. Adv. Nurs. 2001, 36, 131–142. [Google Scholar] [CrossRef]
- Ishii, S. Meal-Assistance Robot “My Spoon”. J. Robot. Soc. Jpn. 2003, 21, 378–381. [Google Scholar] [CrossRef]
- Perera, C.J.; Naotunna, I.; Sadaruwan, C.; Gopura, R.A.R.C.; Lalitharatne, T.D. SSVEP Based BMI for a Meal Assistance Robot. In Proceedings of the 2016 IEEE International Conference on Systems, Man, and Cybernetics (SMC), Budapest, Hungary, 9–12 October 2016; pp. 2295–2300. [Google Scholar] [CrossRef]
- Shih, C.; Lai, Q.; Ho, H.; Chu, W.C.-C. Smart Feeder Robot for Severely Disabled Patients. In Proceedings of the 2020 IEEE 20th International Conference on Software Quality, Reliability and Security Companion (QRS-C), Macau, China, 11–14 December 2020; pp. 603–608. [Google Scholar] [CrossRef]
- Park, D.; Hoshi, Y.; Mahajan, H.P.; Kim, H.K.; Erickson, Z.; Rogers, W.A.; Kemp, C.C. Active Robot-Assisted Feeding with a General-Purpose Mobile Manipulator: Design, Evaluation, and Lessons Learned. Robot. Auton. Syst. 2020, 124, 103344. [Google Scholar] [CrossRef]
- Otsuka, T.; Kawaguchi, K.; Kawamoto, H.; Sankai, Y. Development of Upper-Limb Type HAL and Reaching Movement for Meal-Assistance. In Proceedings of the 2011 IEEE International Conference on Robotics and Biomimetics, Karon Beach, Thailand, 7–11 December 2011; pp. 883–888. [Google Scholar] [CrossRef]
- Hasegawa, Y.; Shimada, S.; Eguchi, K. Development of Wrist Support Mechanism for Muscle Weakness Person to Work on Desk Work. In Proceedings of the 2014 International Symposium on Micro-NanoMechatronics and Human Science (MHS), Nagoya, Japan, 10–12 November 2014; pp. 1–3. [Google Scholar] [CrossRef]
- Erjiage, G.; Nassour, J.; Cheng, G. Multi-Sensory Fusion of Wearable Sensors for Automatic Grasping and Releasing with Soft-Hand Exoskeleton. In Proceedings of the 2023 IEEE International Conference on Soft Robotics (RoboSoft), Singapore, 3–7 April 2023; pp. 1–6. [Google Scholar] [CrossRef]
- Han, Y.; Xu, Q.; Wu, F. Design of Wearable Hand Rehabilitation Glove with Bionic Fiber-Reinforced Actuator. IEEE J. Transl. Eng. Health Med. 2022, 10, 2100610. [Google Scholar] [CrossRef] [PubMed]
- Polygerinos, P.; Wang, Z.; Galloway, K.C.; Wood, R.J.; Walsh, C.J. Soft Robotic Glove for Combined Assistance and At-Home Rehabilitation. Robot. Auton. Syst. 2015, 73, 135–143. [Google Scholar] [CrossRef]
- Chen, Y.; Tan, X.; Yan, D.; Zhang, Z.; Gong, Y. A Composite Fabric-Based Soft Rehabilitation Glove with Soft Joint for Dementia in Parkinson’s Disease. IEEE J. Transl. Eng. Health Med. 2020, 8, 1400110. [Google Scholar] [CrossRef]
- Kokubu, S.; Vinocour, P.E.T.; Yu, W. Bidirectional Support for Individual Finger Joints in Soft Rehabilitation Gloves: Integration of Foldable Pouch Actuators with Modular Elastomeric Actuators. IEEE Access 2024, 12, 65672–65684. [Google Scholar] [CrossRef]
- Zhu, Y.; Gong, W.; Chu, K.; Wang, X.; Hu, Z.; Su, H. A Novel Wearable Soft Glove for Hand Rehabilitation and Assistive Grasping. Sensors 2022, 22, 6294. [Google Scholar] [CrossRef] [PubMed]
- Farr, L.D.; Werner, F.W.; McGrattan, M.L.; Zwerling, S.R.; Harley, B.J. Wrist Tendon Forces with Respect to Forearm Rotation. J. Hand Surg. Am. 2013, 38, 35–39. [Google Scholar] [CrossRef] [PubMed]
- Kamakura, N. Postures and Movement Patterns of the Human Hand: A Framework for Understanding Hand Activity for Clinicians and Engineers; Universal-Publishers: Irvine, CA, USA, 2022; ISBN 1599426307. [Google Scholar]
- Tanizaki, Y.; Tortós-Vinocour, P.E.; Matsunaga, F.; Lu, Y.; Zhou, Z.; Kokubu, S.; Yu, W. Analysis of Finger Motions for Assisting Spoon Scooping with Soft Actuators. In Proceedings of the 2024 17th International Convention on Rehabilitation Engineering and Assistive Technology (i-CREATe), Shanghai, China, 23–26 August 2024; pp. 1–6. [Google Scholar] [CrossRef]
- Lapresa, M.; Ceccarelli, A.; Taffoni, F.; Tagliamonte, N.L.; Zollo, L.; Cordella, F. Analysis of Hand Intra-Finger Couplings During Flexion Movements in the Free Space. IEEE Access 2023, 11, 90084–90093. [Google Scholar] [CrossRef]
- Lin, J.; Wu, Y.; Huang, T.S. Modeling the Constraints of Human Hand Motion. In Proceedings of the Proceedings Workshop on Human Motion, Austin, TX, USA, 7–8 December 2000; pp. 121–126. [Google Scholar] [CrossRef]
- Chu, C.-Y.; Patterson, R.M. Soft Robotic Devices for Hand Rehabilitation and Assistance: A Narrative Review. J. Neuroeng. Rehabil. 2018, 15, 9. [Google Scholar] [CrossRef] [PubMed]
- Tarvainen, T.V.J.; Fernandez-Vargas, J.; Yu, W. New Layouts of Fiber Reinforcements to Enable Full Finger Motion Assist with Pneumatic Multi-Chamber Elastomer Actuators. Actuators 2018, 7, 31. [Google Scholar] [CrossRef]
- Kokubu, S.; Wang, Y.; Tortós Vinocour, P.E.; Lu, Y.; Huang, S.; Nishimura, R.; Hsueh, Y.H.; Yu, W. Evaluation of Fiber-Reinforced Modular Soft Actuators for Individualized Soft Rehabilitation Gloves. Actuators 2022, 11, 84. [Google Scholar] [CrossRef]
- Vinocour, P.E.T.; Kokubu, S.; Matsunaga, F.; Lu, Y.; Zhou, Z.; Gomez-Tames, J.; Yu, W. Development of a Dual Function Joint Modular Soft Actuator and Its Evaluation Using a Novel Dummy Finger Joint-Soft Actuator Complex Model. IEEE Robot. Autom. Lett. 2024, 9, 4210–4217. [Google Scholar] [CrossRef]
- Lee, S.; Lee, H.; Lee, J.; Ryu, H.; Kim, I.Y.; Kim, J. Clip-on Imu System for Assessing Age-Related Changes in Hand Functions. Sensors 2020, 20, 6313. [Google Scholar] [CrossRef] [PubMed]
- Chang, H.-T.T.; Cheng, L.-W.A.; Chang, J.-Y.J. Development of IMU-Based Angle Measurement System for Finger Rehabilitation. In Proceedings of the 2016 23rd International Conference on Mechatronics and Machine Vision in Practice (M2VIP), Nanjing, China, 28–30 November 2016; pp. 1–6. [Google Scholar] [CrossRef]
- Cordella, F.; Zollo, L.; Salerno, A.; Accoto, D.; Guglielmelli, E.; Siciliano, B. Human Hand Motion Analysis and Synthesis of Optimal Power Grasps for a Robotic Hand. Int. J. Adv. Robot. Syst. 2014, 11, 37. [Google Scholar] [CrossRef]
- Chang, L.Y.; Pollard, N.S. Method for Determining Kinematic Parameters of the In Vivo Thumb Carpometacarpal Joint. IEEE Trans. Biomed. Eng. 2008, 55, 1897–1906. [Google Scholar] [CrossRef] [PubMed]
- Kokubu, S.; Nishimura, R.; Yu, W. Deriving Design Rules for Personalization of Soft Rehabilitation Gloves. IEEE Access 2024, 12, 14474–14486. [Google Scholar] [CrossRef]
- Han, H.-Y.; Shimada, A.; Kawamura, S. Analysis of Friction on Human Fingers and Design of Artificial Fingers. In Proceedings of the IEEE International Conference on Robotics and Automatio, Minneapolis, MN, USA, 22–28 April 1996; Volume 4, pp. 3061–3066. [Google Scholar] [CrossRef]
- Zhang, N.; Zhao, Y.; Gu, G.; Zhu, X. Synergistic Control of Soft Robotic Hands for Human-like Grasp Postures. Sci. China Technol. Sci. 2022, 65, 553–568. [Google Scholar] [CrossRef]
- Abdollahi, S.; Markvicka, E.J.; Majidi, C.; Feinberg, A.W. 3D Printing Silicone Elastomer for Patient-Specific Wearable Pulse Oximeter. Adv. Healthc. Mater. 2020, 9, 1901735. [Google Scholar] [CrossRef] [PubMed]
- Gul, O.; Kim, K.; Gu, J.; Choi, J.; Del Orbe Henriquez, D.; Ahn, J.; Park, I. Sensitivity-Controllable Liquid-Metal-Based Pressure Sensor for Wearable Applications. ACS Appl. Electron. Mater. 2021, 3, 4027–4036. [Google Scholar] [CrossRef]





















| Spoon Movement | Movement Pattern | Desired Movement of Fingers | Desired Movement of 9-Axis Sensor and Direction |
|---|---|---|---|
| plunging motion | SFP | IP-flexion | Orientation-Y-negative |
| PIP2-flexion | Orientation-X-negative | ||
| PIP3-flexion | Orientation-X-negative | ||
| PMP | Index-adduction | Acceleration-X-positive | |
| Middle-adduction | Acceleration-X-positive | ||
| FAP | PIP3-flexion | Orientation-X-negative | |
| lifting motion | FAL | PIP3-extension | Orientation-X-positive |
| PHL | IP-flexion | Orientation-Y-negative | |
| PIP2-flexion | Orientation-X-negative |
| Parameters That Are Measured | Value |
|---|---|
| Angle between the index finger and middle finger | 18 degrees |
| Angle between the metacarpal bones of the thumb and index finger | 60 degrees |
| Twisting angle of a thumb | 32 degrees |
Disclaimer/Publisher’s Note: The statements, opinions and data contained in all publications are solely those of the individual author(s) and contributor(s) and not of MDPI and/or the editor(s). MDPI and/or the editor(s) disclaim responsibility for any injury to people or property resulting from any ideas, methods, instructions or products referred to in the content. |
© 2025 by the authors. Licensee MDPI, Basel, Switzerland. This article is an open access article distributed under the terms and conditions of the Creative Commons Attribution (CC BY) license (https://creativecommons.org/licenses/by/4.0/).
Share and Cite
Tanizaki, Y.; Tortós-Vinocour, P.E.; Matsunaga, F.; Kamijo, N.; Yoshida, K.; Kokubu, S.; Gomez-Tames, J.; Yu, W. Analyzing and Assisting Finger Motions for Spoon Scooping. Biomimetics 2025, 10, 116. https://doi.org/10.3390/biomimetics10020116
Tanizaki Y, Tortós-Vinocour PE, Matsunaga F, Kamijo N, Yoshida K, Kokubu S, Gomez-Tames J, Yu W. Analyzing and Assisting Finger Motions for Spoon Scooping. Biomimetics. 2025; 10(2):116. https://doi.org/10.3390/biomimetics10020116
Chicago/Turabian StyleTanizaki, Yuto, Pablo E. Tortós-Vinocour, Fuko Matsunaga, Naoki Kamijo, Koki Yoshida, Shota Kokubu, Jose Gomez-Tames, and Wenwei Yu. 2025. "Analyzing and Assisting Finger Motions for Spoon Scooping" Biomimetics 10, no. 2: 116. https://doi.org/10.3390/biomimetics10020116
APA StyleTanizaki, Y., Tortós-Vinocour, P. E., Matsunaga, F., Kamijo, N., Yoshida, K., Kokubu, S., Gomez-Tames, J., & Yu, W. (2025). Analyzing and Assisting Finger Motions for Spoon Scooping. Biomimetics, 10(2), 116. https://doi.org/10.3390/biomimetics10020116

