Cleaner Approach for Atrazine Removal Using Recycling Biowaste/Waste in Permeable Barriers
Abstract
1. Introduction
2. Materials and Methods
2.1. Chemicals
2.2. Preparation of Waste-Based Adsorbents/Biosorbents
2.3. Materials Characterization
2.4. Quantification of Atrazine
2.5. Batch Experiments
2.5.1. Adsorption Kinetics
2.5.2. Adsorption Equilibrium
2.5.3. Desorption Behavior
2.6. Column Adsorption Experiments
2.6.1. Regeneration and Reusability
2.6.2. PRB Simulation at Lab Scale
2.7. Statistical Analysis
3. Results and Discussion
3.1. Characterization of the Adsorbents/Biosorbents
3.2. Adsorption Kinetics Modelling
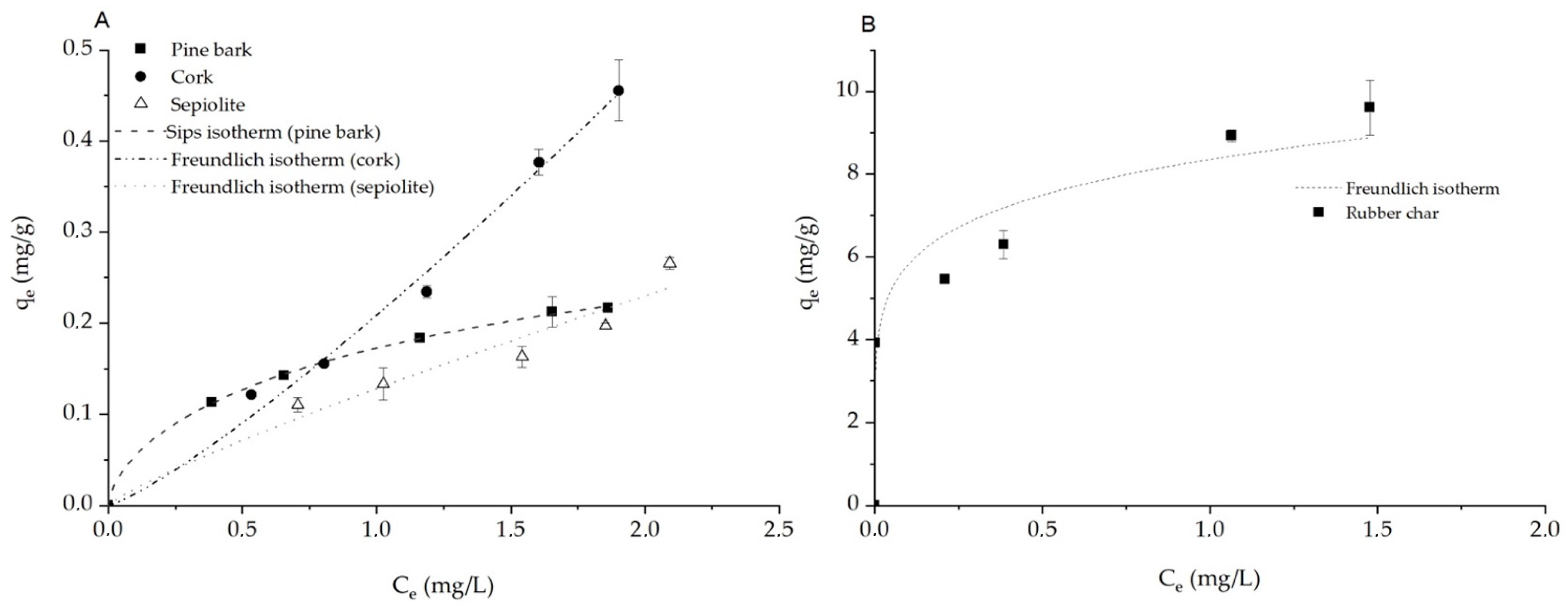
3.3. Adsorption Equilibrium Modelling
3.4. Desorption Evaluation
3.5. PRB Breakthrough Modelling
3.6. Atrazine Retention and Regeneration/Recycling
4. Sustainability Assessment and Lifecycle Perspective
5. Conclusions
Author Contributions
Funding
Institutional Review Board Statement
Informed Consent Statement
Data Availability Statement
Acknowledgments
Conflicts of Interest
References
- Birch, G.F.; Drage, D.S.; Thompson, K.; Eaglesham, G.; Mueller, J.F. Emerging contaminants (pharmaceuticals, personal care products, a food additive and pesticides) in waters of Sydney estuary, Australia. Mar. Pollut. Bull. 2015, 97, 56–66. [Google Scholar] [CrossRef]
- Hakeem, K.R.; Akhtar, M.S.; Abdullah, S.N.A. Plant, Soil and Microbes: Volume 1: Implications in Crop Science; Springer: Berlin/Heidelberg, Germany, 2016; pp. 1–366. [Google Scholar] [CrossRef]
- Yue, L.; Ge, C.; Feng, D.; Yu, H.; Deng, H.; Fu, B. Adsorption–desorption behavior of atrazine on agricultural soils in China. J. Environ. Sci. 2017, 57, 180–189. [Google Scholar] [CrossRef] [PubMed]
- Chevrier, C.; Cordier, S. Atrazine in municipal drinking water and risk of low birth. Occup. Environ. Med. 2005, 400–405. [Google Scholar] [CrossRef]
- Almeida Azevedo, D.; Lacorte, S.; Vinhas, T.; Viana, P.; Barceló, D. Monitoring of priority pesticides and other organic pollutants in river water from Portugal by gas chromatography–mass spectrometry and liquid chromatography–atmospheric pressure chemical ionization mass spectrometry. J. Chromatogr. A 2000, 879, 13–26. [Google Scholar] [CrossRef]
- Albanis, T.A.; Danis, T.G.; Hela, D.G. Transportation of pesticides in estuaries of Louros and Arachthos rivers (Amvrakikos Gulf, N. W. Greece). Sci. Total Environ. 1995, 171, 85–93. [Google Scholar] [CrossRef]
- Almberg, K.S.; Turyk, M.E.; Jones, R.M.; Rankin, K.; Freels, S.; Stayner, L.T. Atrazine Contamination of Drinking Water and Adverse Birth Outcomes in Community Water Systems with Elevated Atrazine in Ohio, 2006–2008. Int. J. Environ. Res. Public Health 2018, 15, 1889. [Google Scholar] [CrossRef]
- European Parliament and the Council of the European Union. Directive 2013/39/EU of the European Parliament and of the Council of 12 August 2013 amending Directives 2000/60/EC and 2008/105/EC as regards priority substances in the field of water policy. Off. J. Eur. Union 2013, 1–17. Available online: https://eur-lex.europa.eu/LexUriServ.do?uri=OJ:L:2013:226:0001:0017:EN:PDF (accessed on 15 June 2021).
- Petrie, B.; Barden, R.; Kasprzyk-Hordern, B. A review on emerging contaminants in wastewaters and the environment: Current knowledge, understudied areas and recommendations for future monitoring. Water Res. 2015, 72, 3–27. [Google Scholar] [CrossRef]
- Gabriela Cara, I.; Jităreanu, G. Application of Low-Cost Adsorbents for Pesticide Removal. Bull. Univ. Agric. Sci. Vet. Med. Cluj-Napoca Agric. 2015, 72, 37–44. [Google Scholar] [CrossRef][Green Version]
- Suo, F.; Liu, X.; Li, C.; Yuan, M.; Zhang, B.; Wang, J.; Ma, Y.; Lai, Z.; Ji, M. Mesoporous activated carbon from starch for superior rapid pesticides removal. Int. J. Biol. Macromol. 2019, 121, 806–813. [Google Scholar] [CrossRef]
- Cheng, Z.; Feng, K.; Su, Y.; Ye, J.; Chen, D.; Zhang, S.; Zhang, X.; Dionysiou, D.D. Novel biosorbents synthesized from fungal and bacterial biomass and their applications in the adsorption of volatile organic compounds. Bioresour. Technol. 2020, 300, 122705. [Google Scholar] [CrossRef]
- Ravichandran, P.; Sugumaran, P.; Seshadri, S.; Basta, A.H. Optimizing the route for production of activated carbon from Casuarina equisetifolia fruit waste. R. Soc. Open Sci. 2018, 5, 171578. [Google Scholar] [CrossRef]
- de Aguiar, T.R.; Guimarães Neto, J.O.A.; Şen, U.; Pereira, H. Study of two cork species as natural biosorbents for five selected pesticides in water. Heliyon 2019, 5, e01189. [Google Scholar] [CrossRef]
- Silva, B.; Martins, M.; Rosca, M.; Rocha, V.; Lago, A.; Neves, I.C.; Tavares, T. Waste-based biosorbents as cost-effective alternatives to commercial adsorbents for the retention of fluoxetine from water. Sep. Purif. Technol. 2020, 235, 116139. [Google Scholar] [CrossRef]
- Fabre, E.; Lopes, C.B.; Vale, C.; Pereira, E.; Silva, C.M. Valuation of banana peels as an effective biosorbent for mercury removal under low environmental concentrations. Sci. Total Environ. 2020, 709, 135883. [Google Scholar] [CrossRef] [PubMed]
- Omo-Okoro, P.N.; Daso, A.P.; Okonkwo, J.O. A review of the application of agricultural wastes as precursor materials for the adsorption of per- and polyfluoroalkyl substances: A focus on current approaches and methodologies. Environ. Technol. Innov. 2018, 9, 100–114. [Google Scholar] [CrossRef]
- Cao, X.; Ma, L.; Gao, B.; Harris, W. Dairy-Manure Derived Biochar Effectively Sorbs Lead and Atrazine. Environ. Sci. Technol. 2009, 43, 3285–3291. [Google Scholar] [CrossRef]
- Gupta, V.K.; Gupta, B.; Rastogi, A.; Agarwal, S.; Nayak, A. Pesticides removal from waste water by activated carbon prepared from waste rubber tire. Water Res. 2011, 45, 4047–4055. [Google Scholar] [CrossRef] [PubMed]
- Tran, V.S.; Ngo, H.H.; Guo, W.; Zhang, J.; Liang, S.; Ton-That, C.; Zhang, X. Typical low cost biosorbents for adsorptive removal of specific organic pollutants from water. Bioresour. Technol. 2015, 182, 353–363. [Google Scholar] [CrossRef]
- Vischetti, C.; Monaci, E.; Casucci, C.; De Bernardi, A.; Cardinali, A. Adsorption and degradation of three pesticides in a vineyard soil and in an organic biomix. Environments 2020, 7, 113. [Google Scholar] [CrossRef]
- Quintelas, C.; Costa, F.; Tavares, T. Bioremoval of diethylketone by the synergistic combination of microorganisms and clays: Uptake, removal and kinetic studies. Environ. Sci. Pollut. Res. 2012, 20, 1374–1383. [Google Scholar] [CrossRef]
- Vinati, A.; Mahanty, B.; Behera, S.K. Clay and clay minerals for fluoride removal from water: A state-of-the-art review. Appl. Clay Sci. 2015, 114, 340–348. [Google Scholar] [CrossRef]
- Ngulube, T.; Gumbo, J.R.; Masindi, V.; Maity, A. An update on synthetic dyes adsorption onto clay based minerals: A state-of-art review. J. Environ. Manag. 2017, 191, 35–57. [Google Scholar] [CrossRef] [PubMed]
- Uddin, M.K. A review on the adsorption of heavy metals by clay minerals, with special focus on the past decade. Chem. Eng. J. 2017, 308, 438–462. [Google Scholar] [CrossRef]
- Santos, S.C.R.; Boaventura, R.A.R. Adsorption of cationic and anionic azo dyes on sepiolite clay: Equilibrium and kinetic studies in batch mode. J. Environ. Chem. Eng. 2016, 4, 1473–1483. [Google Scholar] [CrossRef]
- Sturini, M.; Speltini, A.; Maraschi, F.; Profumo, A.; Tarantino, S.; Gualtieri, A.F.; Zema, M. Removal of fluoroquinolone contaminants from environmental waters on sepiolite and its photo-induced regeneration. Chemosphere 2016, 150, 686–693. [Google Scholar] [CrossRef] [PubMed]
- Silva, B.; Rocha, V.; Lago, A.; Costa, F.; Tavares, T. Rehabilitation of a complex industrial wastewater containing heavy metals and organic solvents using low cost permeable bio-barriers—From lab-scale to pilot-scale. Sep. Purif. Technol. 2021, 263, 118381. [Google Scholar] [CrossRef]
- Wu, J.; Wang, Y.; Wu, Z.; Gao, Y.; Li, X. Adsorption properties and mechanism of sepiolite modified by anionic and cationic surfactants on oxytetracycline from aqueous solutions. Sci. Total Environ. 2020, 708, 134409. [Google Scholar] [CrossRef]
- Song, N.; Hursthouse, A.; McLellan, I.; Wang, Z. Treatment of environmental contamination using sepiolite: Current approaches and future potential. Environ. Geochem. Health 2020. [Google Scholar] [CrossRef] [PubMed]
- Adewuyi, A. Chemically modified biosorbents and their role in the removal of emerging pharmaceuticalwaste in the water system. Water 2020, 12, 1551. [Google Scholar] [CrossRef]
- Şen, A.; Pereira, H.; Olivella, M.A.; Villaescusa, I. Heavy metals removal in aqueous environments using bark as a biosorbent. Int. J. Environ. Sci. Technol. 2015, 12, 391–404. [Google Scholar] [CrossRef]
- Babiker, E.; Al-Ghouti, M.A.; Zouari, N.; McKay, G. Removal of boron from water using adsorbents derived from waste tire rubber. J. Environ. Chem. Eng. 2019, 7, 102948. [Google Scholar] [CrossRef]
- Acosta, R.; Nabarlatz, D.; Sánchez-Sánchez, A.; Jagiello, J.; Gadonneix, P.; Celzard, A.; Fierro, V. Adsorption of Bisphenol A on KOH-activated tyre pyrolysis char. J. Environ. Chem. Eng. 2018, 6, 823–833. [Google Scholar] [CrossRef]
- Acosta, R.; Fierro, V.; Martinez de Yuso, A.; Nabarlatz, D.; Celzard, A. Tetracycline adsorption onto activated carbons produced by KOH activation of tyre pyrolysis char. Chemosphere 2016, 149, 168–176. [Google Scholar] [CrossRef]
- Silva, B.; Tuuguu, E.; Costa, F.; Rocha, V.; Lago, A.; Tavares, T. Permeable Biosorbent Barrier for Wastewater Remediation. Environ. Process. 2017, 4, 195–206. [Google Scholar] [CrossRef]
- Upadhyay, S.; Sinha, A. Role of microorganisms in permeable reactive bio-barriers (Prbbs) for environmental clean-up: A review. Glob. Nest J. 2018, 20, 269–280. [Google Scholar]
- Kumarasinghe, U.; Kawamoto, K.; Saito, T.; Sakamoto, Y.; Mowjood, M.I.M. Evaluation of applicability of filling materials in permeable reactive barrier (PRB) system to remediate groundwater contaminated with Cd and Pb at open solid waste dump sites. Process Saf. Environ. Prot. 2018, 120, 118–127. [Google Scholar] [CrossRef]
- Naidu, R.; Birke, V. Permeable Reactive Barrier: Sustainable Groundwater Remediation; CRC Press: Boca Raton, FL, USA, 2015. [Google Scholar]
- Kozyatnyk, I.; Yacout, D.M.M.; Van Caneghem, J.; Jansson, S. Comparative environmental assessment of end-of-life carbonaceous water treatment adsorbents. Bioresour. Technol. 2020, 302, 122866. [Google Scholar] [CrossRef]
- Torres, E. Biosorption: A review of the latest advances. Processes 2020, 8, 1584. [Google Scholar] [CrossRef]
- Mandal, A.; Singh, N.; Nain, L. Agro-waste biosorbents: Effect of physico-chemical properties on atrazine and imidacloprid sorption. J. Environ. Sci. Health Part B 2017, 52, 671–682. [Google Scholar] [CrossRef]
- Alam, J.B.; Dikshit, A.K.; Bandyopadhyay, M. Kinetic Study of Sorption of 2,4-D and Atrazine on Rubber Granules. J. Dispers. Sci. Technol. 2007, 28, 511–517. [Google Scholar] [CrossRef]
- PubChem. Available online: https://pubchem.ncbi.nlm.nih.gov (accessed on 1 February 2021).
- Atrazine. In Handbook of Pollution Prevention and Cleaner Production: Best Practices in the Agrochemical Industry; Cheremisinoff, N.P., Rosenfeld, P.E., Eds.; William Andrew Publishing: Oxford, UK, 2011; pp. 215–231. ISBN 978-1-4377-7825-0. [Google Scholar]
- Pelekani, C.; Snoeyink, V.L. Competitive adsorption between atrazine and methylene blue on activated carbon: The importance of pore size distribution. Carbon N. Y. 2000, 38, 1423–1436. [Google Scholar] [CrossRef]
- Mansour, M. Abiotic degradation of pesticides and other organic chemicals in aquatic systems. Pestic. Outlook (UK) 1996, 7, 9–10. [Google Scholar]
- Lagergren, S. About the Theory of So-Called Adsorption of Soluble Substances. K. Sven. Vetensk. Handl. 1898, 24, 1–39. [Google Scholar]
- Blanchard, G.; Maunaye, M.; Martin, G. Removal of heavy metals from waters by means of natural zeolites. Water Res. 1984, 18, 1501–1507. [Google Scholar] [CrossRef]
- Freundlich, H.M.F. Over the adsorption in solution. J. Phys. Chem. 1906, 57, 1100–1107. [Google Scholar]
- Sips, R. On the structure of a catalyst surface. J. Chem. Phys. 1948, 16, 490–495. [Google Scholar] [CrossRef]
- Yan, G.; Viraraghavan, T.; Chen, M. A new model for heavy metal removal in a biosorption column. Adsorpt. Sci. Technol. 2001, 19, 25–43. [Google Scholar] [CrossRef]
- Yoon, Y.H.; Nelson, J.H. Application of Gas Adsorption Kinetics I. A Theoretical Model for Respirator Cartridge Service Life. Am. Ind. Hyg. Assoc. J. 1984, 45, 509–516. [Google Scholar] [CrossRef]
- Largo, F.; Haounati, R.; Akhouairi, S.; Ouachtak, H.; El Haouti, R.; El Guerdaoui, A.; Hafid, N.; Santos, D.M.F.; Akbal, F.; Kuleyin, A.; et al. Adsorptive removal of both cationic and anionic dyes by using sepiolite clay mineral as adsorbent: Experimental and molecular dynamic simulation studies. J. Mol. Liq. 2020, 318, 114247. [Google Scholar] [CrossRef]
- Ongen, A.; Ozcan, K.; Ozbas, E.; Balkaya, N. Adsorption of Astrazon Blue FGRL onto sepiolite from aqueous solutions. Desalination Water Treat. 2012, 40, 129–136. [Google Scholar] [CrossRef]
- Sfaksi, Z.; Azzouz, N.; Abdelwahab, A. Removal of Cr(VI) from water by cork waste. Arab. J. Chem. 2014, 7, 37–42. [Google Scholar] [CrossRef]
- Lopes, M.H.; Barros, A.S.; Pascoal Neto, C.; Rutledge, D.; Delgadillo, I.; Gil, A.M. Variability of cork from Portuguese Quercus suber studied by solid-state 13C-NMR and FTIR spectroscopies. Biopolymers 2001, 62, 268–277. [Google Scholar] [CrossRef] [PubMed]
- Md Salim, R.; Asik, J.; Sarjadi, M.S. Chemical functional groups of extractives, cellulose and lignin extracted from native Leucaena leucocephala bark. Wood Sci. Technol. 2021, 55, 295–313. [Google Scholar] [CrossRef]
- Brás, I.; Lemos, L.; Alves, A.; Pereira, M. Application of pine bark as a sorbent for organic pollutants in effluents. Manag. Environ. Qual. Int. J. 2004, 15, 491–501. [Google Scholar] [CrossRef]
- Ferreira-Santos, P.; Genisheva, Z.; Botelho, C.; Santos, J.; Ramos, C.; Teixeira, J.A.; Rocha, C.M.R. Unravelling the biological potential of pinus pinaster bark extracts. Antioxidants 2020, 9, 334. [Google Scholar] [CrossRef]
- Tsai, W.T.; Lai, C.W.; Hsien, K.J. Effect of particle size of activated clay on the adsorption of paraquat from aqueous solution. J. Colloid Interface Sci. 2003, 263, 29–34. [Google Scholar] [CrossRef]
- Aljeboree, A.M.; Alshirifi, A.N.; Alkaim, A.F. Kinetics and equilibrium study for the adsorption of textile dyes on coconut shell activated carbon. Arab. J. Chem. 2017, 10, S3381–S3393. [Google Scholar] [CrossRef]
- Al-Ghouti, M.A.; Da’ana, D.A. Guidelines for the use and interpretation of adsorption isotherm models: A review. J. Hazard. Mater. 2020, 393, 122383. [Google Scholar] [CrossRef]
- Ghalandari, V.; Hashemipour, H.; Bagheri, H. Experimental and modeling investigation of adsorption equilibrium of CH4, CO2, and N2 on activated carbon and prediction of multi-component adsorption equilibrium. Fluid Phase Equilib. 2020, 508, 112433. [Google Scholar] [CrossRef]
- Rawat, S.P.S.; Khali, D.P. Clustering of water molecules during adsorption of water in wood. J. Polym. Sci. Part B Polym. Phys. 1998, 36, 665–671. [Google Scholar] [CrossRef]
- Lequin, S.; Chassagne, D.; Karbowiak, T.; Gougeon, R.; Brachais, L.; Bellat, J.P. Adsorption equilibria of water vapor on cork. J. Agric. Food Chem. 2010, 58, 3438–3445. [Google Scholar] [CrossRef]
- Romita, R.; Rizzi, V.; Semeraro, P.; Gubitosa, J.; Gabaldón, J.A.; Gorbe, M.I.F.; López, V.M.G.; Cosma, P.; Fini, P. Operational parameters affecting the atrazine removal from water by using cyclodextrin based polymers as efficient adsorbents for cleaner technologies. Environ. Technol. Innov. 2019, 16, 100454. [Google Scholar] [CrossRef]
- Mashile, G.P.; Mpupa, A.; Nqombolo, A.; Dimpe, K.M.; Nomngongo, P.N. Recyclable magnetic waste tyre activated carbon-chitosan composite as an effective adsorbent rapid and simultaneous removal of methylparaben and propylparaben from aqueous solution and wastewater. J. Water Process Eng. 2020, 33, 101011. [Google Scholar] [CrossRef]
- Acevedo-García, V.; Rosales, E.; Puga, A.; Pazos, M.; Sanromán, M.A. Synthesis and use of efficient adsorbents under the principles of circular economy: Waste valorisation and electroadvanced oxidation process regeneration. Sep. Purif. Technol. 2020, 242, 116796. [Google Scholar] [CrossRef]
- De Gisi, S.; Lofrano, G.; Grassi, M.; Notarnicola, M. Characteristics and adsorption capacities of low-cost sorbents for wastewater treatment: A review. Sustain. Mater. Technol. 2016, 9, 10–40. [Google Scholar] [CrossRef]
- Thompson, K.A.; Shimabuku, K.K.; Kearns, J.P.; Knappe, D.R.U.; Summers, R.S.; Cook, S.M. Environmental Comparison of Biochar and Activated Carbon for Tertiary Wastewater Treatment. Environ. Sci. Technol. 2016, 50, 11253–11262. [Google Scholar] [CrossRef]
- Moreira, M.T.; Noya, I.; Feijoo, G. The prospective use of biochar as adsorption matrix – A review from a lifecycle perspective. Bioresour. Technol. 2017, 246, 135–141. [Google Scholar] [CrossRef] [PubMed]
- Fritsche, U.; Brunori, G.; Chiaramonti, D.; Galanakis, C.M.; Hellweg, S.; Matthews, R.; Panoutsou, C. Future Transitions for the Bioeconomy towards Sustainable Development and a Climate-Neutral Economy—Knowledge Synthesis Final Report; Publications Office of the European Union: Luxembourg, 2020; ISBN 978-92-76-21518-9.
- Stegmann, P.; Londo, M.; Junginger, M. The circular bioeconomy: Its elements and role in European bioeconomy clusters. Resour. Conserv. Recycl. X 2020, 6, 100029. [Google Scholar] [CrossRef]
















| Chemical Name | Molecular Formula | Structure (3D) [44] | Molecular Weight (g/mol) | Water Solubility (mg/L at 25°C) [44] | pKa [45] | Log Kow [45] | Molar Volume (cm3/mol) | Width (Å) [46] | Depth (Å) [46] | Thickness (Å) [46] |
|---|---|---|---|---|---|---|---|---|---|---|
| Atrazine | C8H14ClN5 | ![]() | 215.69 | 33 | 1.68 | 2.6–2.71 | 169.8 | 9.6 | 8.4 | ~3 |
| Waste Material | pH Variation | Atrazine Molecule Charge | Sorbents Surface Charge |
|---|---|---|---|
| Cork | 5.7–5.39 | + | - |
| Pine bark | 5.7–4.62 | + | neutral |
| Sepiolite | 5.7–9.2 | neutral | - |
| Waste | PFO | PSO | ||||
|---|---|---|---|---|---|---|
| qe | k1 | R2 | qe | k2 | R2 | |
| Cork | 0.351 ± 0.074 | 0.120 ± 0.007 | 0.932 | 0.133 ± 0.006 | 3.514 ± 0.817 | 0.973 |
| Pine bark | 0.208 ±0.009 | 0.021 ±0.003 | 0.972 | 0.257 ± 0.011 | 0.086 ± 0.014 | 0.986 |
| Sepiolite | 0.098 ± 0.003 | 0.354 ± 0.043 | 0.977 | 0.108 ± 0.005 | 3.976 ± 0.884 | 0.970 |
| Rubber char | 2.000 ± 0.070 | 1.760 ± 0.285 | 0.968 | 2.143 ± 0.039 | 1.343 ± 0.167 | 0.994 |
| Waste | Sips | |||
| qmax | KS | R2 | mS | |
| Pine bark | 0.477 ± 0.177 | 0.567 ± 0.338 | 0.999 | 0.64 ± 0.132 |
| Waste | Freundlich | |||
| KF | nF | R2 | ||
| Cork | 0.209 ± 0.010 | 0.832 ± 0.062 | 0.999 | |
| Sepiolite | 0.128 ± 0.013 | 1.880 ± 0.246 | 0.946 | |
| Rubber char | 8.356 ± 0.548 | 6.344 ± 1.807 | 0.924 | |
| Yoon-Nelson | Modified Dose-Response | |||||
|---|---|---|---|---|---|---|
| KYN (h−1) | τ (h) | R2 | α | q0 (mg/g) | R2 | |
| Pine bark | 0.078 ± 0.011 | 21.6 ± 2.0 | 0.902 | 1.26 ± 0.06 | 14.8 ± 0.6 | 0.989 |
| Cork | 0.093 ± 0.018 | 18.2 ± 2.3 | 0.816 | 1.32 ± 0.11 | 13.0 ± 0.9 | 0.961 |
| Sepiolite | 0.118 ± 0.013 | 26.5 ± 1.3 | 0.940 | 2.17 ± 0.13 | 23.3 ± 0.8 | 0.984 |
| Process | Sepiolite | Pine | Cork |
|---|---|---|---|
| Atrazine Removal (%) | Atrazine Removal (%) | Atrazine Removal (%) | |
| 1st adsorption | 51.8 ± 0.7 | 62.5 ± 1.1 | 55.7 ± 2.6 |
| 1st desorption | 84.8 ± 2.9 | 95.5 ± 0.6 | 72.9 ± 1.0 |
| 2nd adsorption | 82.6 ± 2.2 | 67.9 ± 1.3 | 56.4 ± 2.0 |
| 2nd desorption | 96.1 ± 0.9 | 96.2 ± 0.3 | 55.3 ± 2.7 |
| 3rd adsorption | 81.3 ± 1.2 | 77.8 ± 0.1 | 54.38 ± 0.3 |
Publisher’s Note: MDPI stays neutral with regard to jurisdictional claims in published maps and institutional affiliations. |
© 2021 by the authors. Licensee MDPI, Basel, Switzerland. This article is an open access article distributed under the terms and conditions of the Creative Commons Attribution (CC BY) license (https://creativecommons.org/licenses/by/4.0/).
Share and Cite
Lago, A.; Silva, B.; Tavares, T. Cleaner Approach for Atrazine Removal Using Recycling Biowaste/Waste in Permeable Barriers. Recycling 2021, 6, 41. https://doi.org/10.3390/recycling6020041
Lago A, Silva B, Tavares T. Cleaner Approach for Atrazine Removal Using Recycling Biowaste/Waste in Permeable Barriers. Recycling. 2021; 6(2):41. https://doi.org/10.3390/recycling6020041
Chicago/Turabian StyleLago, Ana, Bruna Silva, and Teresa Tavares. 2021. "Cleaner Approach for Atrazine Removal Using Recycling Biowaste/Waste in Permeable Barriers" Recycling 6, no. 2: 41. https://doi.org/10.3390/recycling6020041
APA StyleLago, A., Silva, B., & Tavares, T. (2021). Cleaner Approach for Atrazine Removal Using Recycling Biowaste/Waste in Permeable Barriers. Recycling, 6(2), 41. https://doi.org/10.3390/recycling6020041


