Extraction of Rare Earth Elements from Organic Acid Leachate Using Formo-Phenolic-like Resins
Abstract
1. Introduction
2. Results and Discussion
2.1. Resin Synthesis and Characterizations
2.2. Sorption/Desorption Experiments
2.2.1. Equilibrium Sorption Isotherm
2.2.2. Kinetic Studies
2.2.3. Influence of Temperature
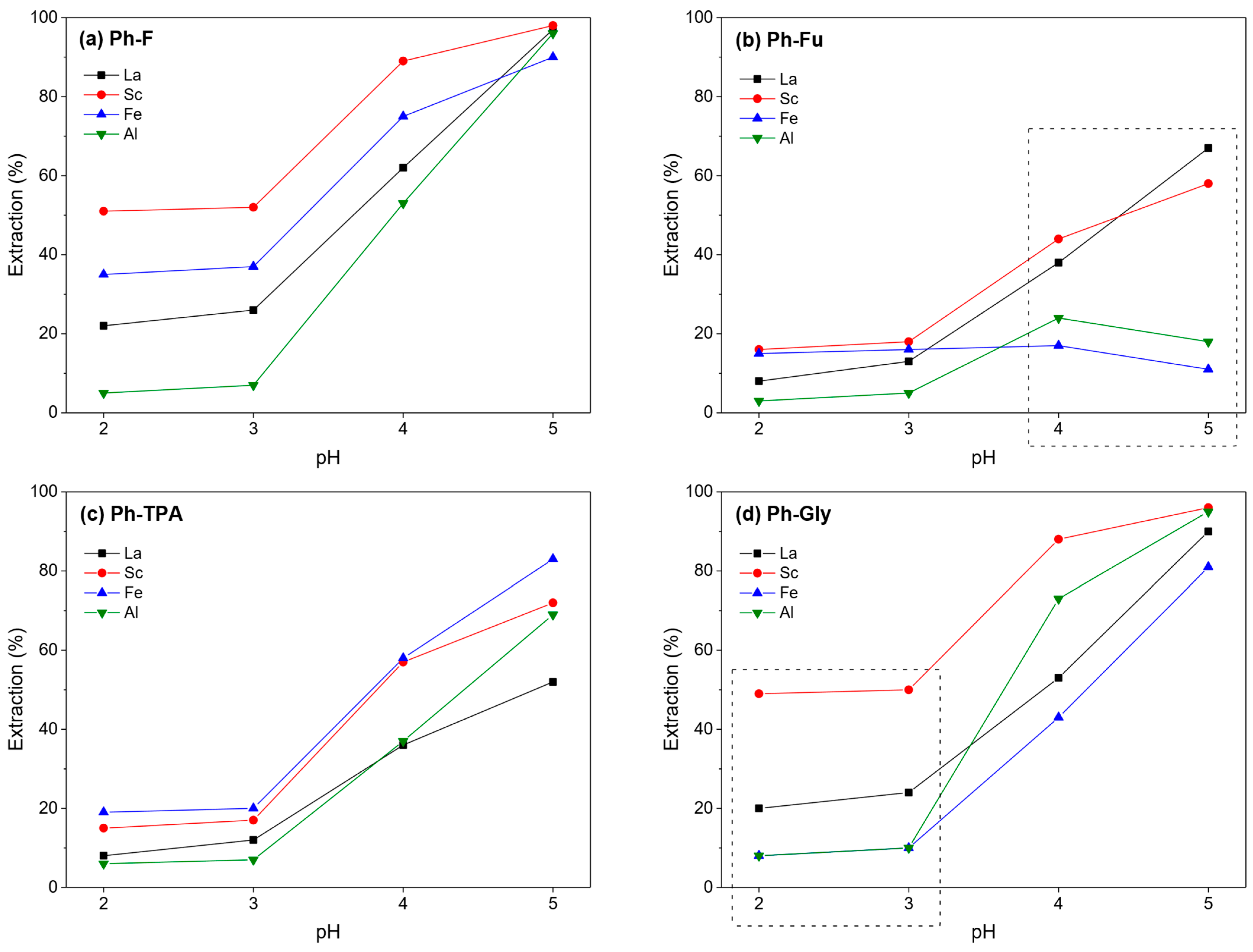
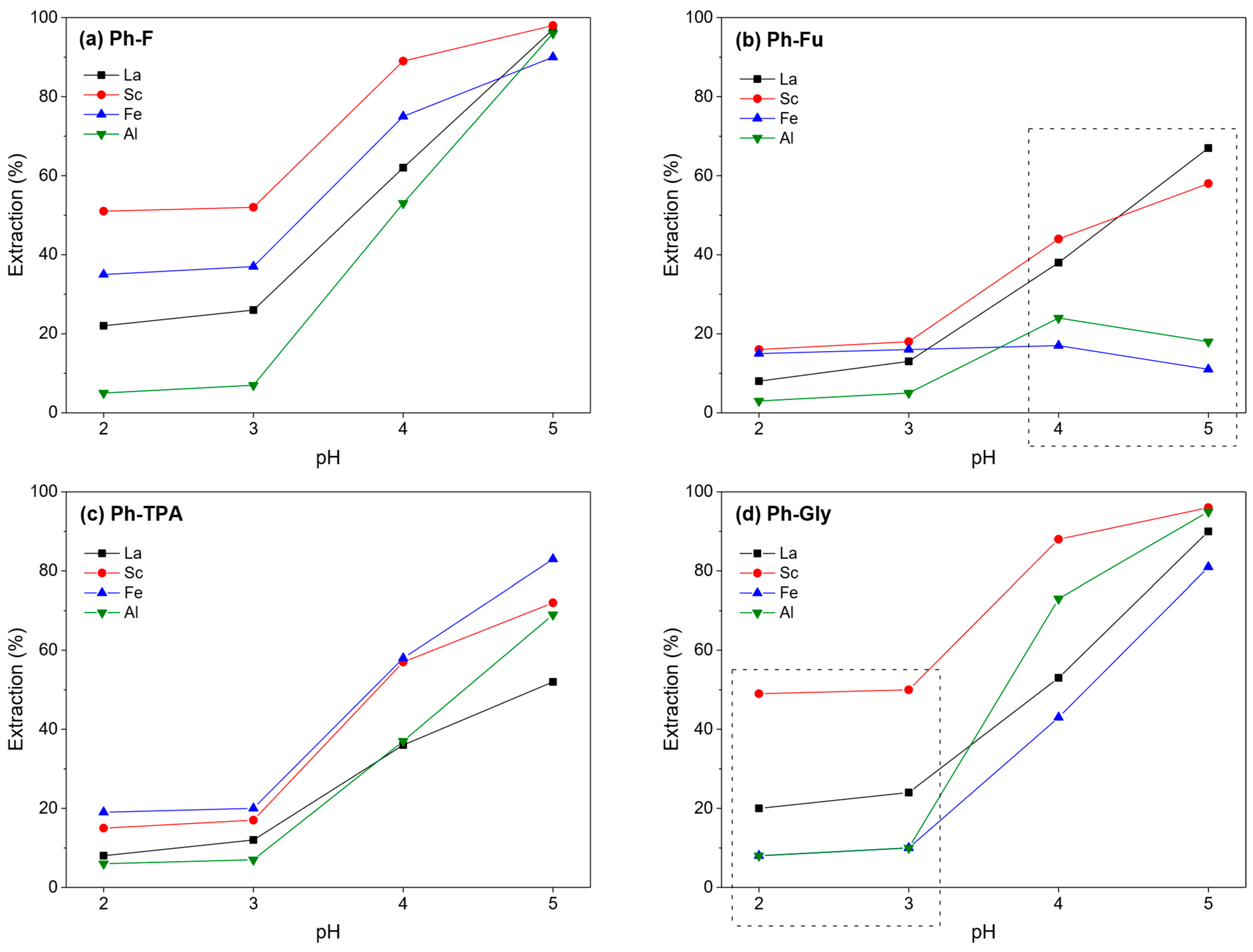
2.2.4. Selectivity Towards Competing Metals
2.3. Extraction in Real Leachates
3. Materials and Methods
3.1. Chemicals
3.2. General Procedure for Resin Synthesis
3.3. Characterization Techniques for Resins
3.4. Batch Extraction
- -
- The cation uptake capacity Qads (mg/g) was calculated using the following equation:with Ci being the initial concentration of the metal ion in solution, Cf the residual metal ion concentration, and V/m the ratio of solution volume by resin-mass.
- -
- The adsorption efficiency E (%) was calculated according to the following equation:
- -
- The distribution coefficient (KD), expressed in mL/g, represents the ratio of the number of cations that the resin absorbs to the number of cations that remain in the solution after extraction. It was determined using the following formula:
- -
- The separation factor (FSM1/M2) is defined as the ratio of the distribution coefficient of metal M1 to that of metal M2, the competing metal ion. This factor quantitatively expresses the selectivity of the resin for metal M1 in the presence of a competing species. The separation factor was calculated using the following equation:
- -
- The back-extraction or stripping efficiency S (%) is defined by the following equation:with Qe being the concentration of the metal ion loaded into the polymer and Qf the residual metal ion concentration in the polymer after the release.
3.5. Adsorption Kinetic
4. Conclusions
Supplementary Materials
Author Contributions
Funding
Data Availability Statement
Acknowledgments
Conflicts of Interest
References
- Reisman, D.; Weber, R.; Mckernan, J.; Northeim, C.; U.S. Environmental Protection Agency. Rare Earth Elements: A Review of Production, Processing, Recycling and Associated Environmental Issues; United States Environmental Protection Agency: Washington, DC, USA, 2013.
- Grohol, M.; Veeh, C. Study on the Critical Raw Materials for the EU 2023—Final Report; European Commission; Publications Office of the European Union: Luxembourg, 2023. [Google Scholar]
- Binnemans, K.; Jones, P.T.; Blanpain, B.; Van Gerven, T.; Yang, Y.; Walton, A.; Buchert, M. Recycling of Rare Earths: A Critical Review. J. Clean. Prod. 2013, 51, 1–22. [Google Scholar] [CrossRef]
- Jowitt, S.; Werner, T.; Weng, Z.; Mudd, G. Recycling of the Rare Earth Elements. Curr. Opin. Green Sustain. Chem. 2018, 13, 1–7. [Google Scholar] [CrossRef]
- Couturier, J.; Oularé, P.T.; Collin, B.; Lallemand, C.; Kieffer, I.; Longerey, J.; Chaurand, P.; Rose, J.; Borschneck, D.; Angeletti, B.; et al. Yttrium Speciation Variability in Bauxite Residues of Various Origins, Ages and Storage Conditions. J. Hazard. Mater. 2024, 464, 132941. [Google Scholar] [CrossRef]
- Deady, É.; Mouchos, E.; Goodenough, K.; Williamson, B.; Wall, F. Rare Earth Elements in Karst-Bauxites: A Novel Untapped European Resource? In Proceedings of the ERES 2014: 1st conference on European Rare Earth Resources, Milos, Greece, 4–7 September 2014.
- Liu, Y.; Naidu, R. Hidden Values in Bauxite Residue (Red Mud): Recovery of Metals. Waste Manag. 2014, 34, 2662–2673. [Google Scholar] [CrossRef] [PubMed]
- Akcil, A.; Akhmadiyeva, N.; Abdulvaliyev, R.; Abhilash; Meshram, P. Overview On Extraction and Separation of Rare Earth Elements from Red Mud: Focus on Scandium. Miner. Process. Extr. Metall. Rev. 2018, 39, 145–151. [Google Scholar] [CrossRef]
- Hidayah, N.N.; Abidin, S.Z. The Evolution of Mineral Processing in Extraction of Rare Earth Elements Using Liquid-Liquid Extraction: A Review. Miner. Eng. 2018, 121, 146–157. [Google Scholar] [CrossRef]
- Zhao, M.; Zhang, H.; Han, H.; Jiang, X.; Yang, Y.; Li, T. Differential Leaching Mechanisms and Ecological Impact of Organic Acids on Ion-Adsorption Type Rare Earth Ores. Sep. Purif. Technol. 2025, 362, 131701. [Google Scholar] [CrossRef]
- Banerjee, R.; Chakladar, S.; Mohanty, A.; Chakravarty, S.; Chattopadhyay, S.K.; Jha, M.K. Review on the Environment Friendly Leaching of Rare Earth Elements from the Secondary Resources Using Organic Acids. Geosyst. Eng. 2022, 25, 95–115. [Google Scholar] [CrossRef]
- Belfqueh, S.; Seron, A.; Chapron, S.; Arrachart, G.; Menad, N. Evaluating Organic Acids as Alternative Leaching Reagents for Rare Earth Elements Recovery from NdFeB Magnets. J. Rare Earths 2023, 41, 621–631. [Google Scholar] [CrossRef]
- Gergoric, M.; Barrier, A.; Retegan, T. Recovery of Rare-Earth Elements from Neodymium Magnet Waste Using Glycolic, Maleic, and Ascorbic Acids Followed by Solvent Extraction. J. Sustain. Metall. 2019, 5, 85–96. [Google Scholar] [CrossRef]
- Gergoric, M.; Ekberg, C.; Foreman, M.R.S.J.; Steenari, B.-M.; Retegan, T. Characterization and Leaching of Neodymium Magnet Waste and Solvent Extraction of the Rare-Earth Elements Using TODGA. J. Sustain. Metall. 2017, 3, 638–645. [Google Scholar] [CrossRef]
- Couturier, J.; Levard, C.; Collin, B.; Chaurand, P.; Vidal, V.; Mathon, O.; Duvivier, A.; Angeletti, B.; Borschneck, D.; Rose, J.; et al. Dissolution of Rare Earth Elements: Exploring the Ability of Deep Eutectic Solvents and Organic Acid Solutions, the Case of Lactic Acid. Sep. Purif. Technol. 2025, 366, 132740. [Google Scholar] [CrossRef]
- Lallemand, C.; Ambrosi, J.; Borschneck, D.; Angeletti, B.; Chaurand, P.; Campos, A.; Desmau, M.; Fehlauer, T.; Auffan, M.; Labille, J.; et al. Potential of Ligand-Promoted Dissolution at Mild pH for the Selective Recovery of Rare Earth Elements in Bauxite Residues. ACS Sustain. Chem. Eng. 2022, 10, 6942–6951. [Google Scholar] [CrossRef]
- Nayl, A.; Arafa, W.; Abd-Elhamid, A.; Elkhashab, R. Studying and Spectral Characterization for the Separation of Lanthanides from Phosphate Ore by Organic and Inorganic Acids. J. Mater. Res. Technol. 2020, 9, 10276–10290. [Google Scholar] [CrossRef]
- Zhang, L.; Chen, H.; Pan, J.; Yang, F.; Long, X.; Yang, Y.; Zhou, C. Rare Earth Elements Recovery and Mechanisms from Coal Fly Ash by Column Leaching Using Citric Acid. Sep. Purif. Technol. 2025, 353, 128471. [Google Scholar] [CrossRef]
- Golzar-Ahmadi, M.; Bahaloo-Horeh, N.; Pourhossein, F.; Norouzi, F.; Schoenberger, N.; Hintersatz, C.; Chakankar, M.; Holuszko, M.; Kaksonen, A. Pathway to Industrial Application of Heterotrophic Organisms in Critical Metals Recycling from E-Waste. Biotechnol. Adv. 2024, 77, 108438. [Google Scholar] [CrossRef]
- Pavón, S.; Fortuny, A.; Coll, M.T.; Sastre, A.M. Rare Earths Separation from Fluorescent Lamp Wastes Using Ionic Liquids as Extractant Agents. Waste Manag. 2018, 82, 241–248. [Google Scholar] [CrossRef]
- Kumari, A.; Sinha, M.K.; Pramanik, S.; Sahu, S.K. Recovery of Rare Earths from Spent NdFeB Magnets of Wind Turbine: Leaching and Kinetic Aspects. Waste Manag. 2018, 75, 486–498. [Google Scholar] [CrossRef] [PubMed]
- Sharifian, S.; Wang, N.-H.L. Resin-Based Approaches for Selective Extraction and Purification of Rare Earth Elements: A Comprehensive Review. J. Environ. Chem. Eng. 2024, 12, 112402. [Google Scholar] [CrossRef]
- Dave, S.R.; Kaur, H.; Menon, S.K. Selective Solid-Phase Extraction of Rare Earth Elements by the Chemically Modified Amberlite XAD-4 Resin with Azacrown Ether. React. Funct. Polym. 2010, 70, 692–698. [Google Scholar] [CrossRef]
- Zereen, F.; Yilmaz, V.; Arslan, Z. Solid Phase Extraction of Rare Earth Elements in Seawater and Estuarine Water with 4-(2-Thiazolylazo) Resorcinol Immobilized Chromosorb 106 for Determination by Inductively Coupled Plasma Mass Spectrometry. Microchem. J. 2013, 110, 178–184. [Google Scholar] [CrossRef]
- Karadaş, C.; Kara, D.; Fisher, A. Determination of Rare Earth Elements in Seawater by Inductively Coupled Plasma Mass Spectrometry with Off-Line Column Preconcentration Using 2,6-Diacetylpyridine Functionalized Amberlite XAD-4. Anal. Chim. Acta 2011, 689, 184–189. [Google Scholar] [CrossRef]
- Ebraheem, K.A.K.; Mubarak, M.S.; Yassien, Z.J.; Khalili, F. Chelation Properties of Poly(8–Hydroxyquinoline 5,7–Diylmethylene) Crosslinked with Bisphenol–A Toward Lanthanum(III), Cerium(III), Neodimium(III), Samarium(III), and Gadolinium(III) Ions. Sep. Sci. Technol. 2000, 35, 2115–2125. [Google Scholar] [CrossRef]
- Draye, M.; Czerwinski, K.; Favre-Réguillon, A.; Foos, J.; Guy, A.; Lemaire, M. Selective Separation of Lanthanides with Phenolic Resins: Extraction Behavior and Thermal Stability. Sep. Sci. Technol. 2000, 35, 1117–1132. [Google Scholar] [CrossRef]
- Al-Rimawi, F.; Ahmad, A.; Khalili, F.; Mubarak, M. Chelation Properties of Some Phenolic-Formaldehyde Polymers toward Some Trivalent Lanthanide Ions. Solvent Extr. Ion Exch. 2004, 22, 721–735. [Google Scholar] [CrossRef]
- Ameta, R.; Patel, V.; Joshi, J. Polychelates of Phenolic Ion-Exchange Resin: Synthesis and Characterization. Iran. Polym. J. 2007, 16, 615–625. [Google Scholar]
- Arrambide, C.; Arrachart, G.; Berthalon, S.; Wehbie, M.; Pellet-Rostaing, S. Extraction and Recovery of Rare Earths by Chelating Phenolic Copolymers Bearing Diglycolamic Acid or Diglycolamide Moieties. React. Funct. Polym. 2019, 142, 147–158. [Google Scholar] [CrossRef]
- Oye Auke, R.; Arrachart, G.; Tavernier, R.; David, G.; Pellet-Rostaing, S. Terephthalaldehyde-Phenolic Resins as a Solid-Phase Extraction System for the Recovery of Rare-Earth Elements. Polymers 2022, 14, 311. [Google Scholar] [CrossRef]
- Liu, Z.; Liu, Y.; Gong, A. Preparation of Diglycolamide Polymer Modified Silica and Its Application as Adsorbent for Rare Earth Ions. Des. Monomers Polym. 2019, 22, 1–7. [Google Scholar] [CrossRef]
- Wilfong, W.C.; Ji, T.; Duan, Y.; Shi, F.; Wang, Q.; Gray, M.L. Critical Review of Functionalized Silica Sorbent Strategies for Selective Extraction of Rare Earth Elements from Acid Mine Drainage. J. Hazard. Mater. 2022, 424, 127625. [Google Scholar] [CrossRef]
- Ginot, L.; El Bakkouche, A.; Giusti, F.; Dourdain, S.; Pellet-Rostaing, S. Hydrophobic Porous Liquids with Controlled Cavity Size and Physico-Chemical Properties. Adv. Sci. 2024, 11, 2305906. [Google Scholar] [CrossRef]
- Brown, A.; Balkus, K. Critical Rare Earth Element Recovery from Coal Ash Using Microsphere Flower Carbon. ACS Appl. Mater. Interfaces 2021, 13, 48492–48499. [Google Scholar] [CrossRef] [PubMed]
- Cardoso, C.E.D.; Almeida, J.C.; Lopes, C.B.; Trindade, T.; Vale, C.; Pereira, E. Recovery of Rare Earth Elements by Carbon-Based Nanomaterials—A Review. Nanomaterials 2019, 9, 814. [Google Scholar] [CrossRef]
- Ashour, R.; Abdelhamid, H.; Abdel-Magied, A.; Abdel-Khalek, A.; Ali, M.; Uheida, A.; Muhammed, M.; Zou, X.; Dutta, J. Rare Earth Ions Adsorption onto Graphene Oxide Nanosheets. Solvent Extr. Ion Exch. 2017, 35, 91–103. [Google Scholar] [CrossRef]
- Matsunaga, H.; Ismail, A.; Wakui, Y.; Yokoyama, T. Extraction of Rare Earth Elements with 2-Ethylhexyl Hydrogen 2-Ethylhexyl Phosphonate Impregnated Resins Having Different Morphology and Reagent Content. React. Funct. Polumers 2001, 49, 189–195. [Google Scholar] [CrossRef]
- İnan, S.; Tel, H.; Sert, Ş.; Çetinkaya, B.; Sengül, S.; Özkan, B.; Altaş, Y. Extraction and Separation Studies of Rare Earth Elements Using Cyanex 272 Impregnated Amberlite XAD-7 Resin. Hydrometallurgy 2018, 181, 156–163. [Google Scholar] [CrossRef]
- Mondal, S.; Ghar, A.; Satpati, A.K.; Sinharoy, P.; Singh, D.K.; Sharma, J.N.; Sreenivas, T.; Kain, V. Recovery of Rare Earth Elements from Coal Fly Ash Using TEHDGA Impregnated Resin. Hydrometallurgy 2019, 185, 93–101. [Google Scholar] [CrossRef]
- Borra, C.R.; Pontikes, Y.; Binnemans, K.; Van Gerven, T. Leaching of Rare Earths from Bauxite Residue (Red Mud). Miner. Eng. 2015, 76, 20–27. [Google Scholar] [CrossRef]
- Asadollahzadeh, M.; Torkaman, R.; Torab-Mostaedi, M. Extraction and Separation of Rare Earth Elements by Adsorption Approaches: Current Status and Future Trends. Sep. Purif. Rev. 2021, 50, 417–444. [Google Scholar] [CrossRef]
- Singh, I.; Sidana, J.; Bansal, P.; Foley, W. Phloroglucinol Compounds of Therapeutic Interest: Global Patent and Technology Status. Expert Opin. Ther. Pat. 2009, 19, 847–866. [Google Scholar] [CrossRef] [PubMed]
- Abdel-Ghany, S.; Day, I.; Heuberger, A.; Broeckling, C.; Reddy, A. Production of Phloroglucinol, a Platform Chemical, in Arabidopsis Using a Bacterial Gene. Sci. Rep. 2016, 6, 38483. [Google Scholar] [CrossRef]
- Li, X.; Jia, P.; Wang, T. Furfural: A Promising Platform Compound for Sustainable Production of C4 and C5 Chemicals. ACS Catal. 2016, 6, 7621–7640. [Google Scholar] [CrossRef]
- Mattioda, G.; Blanc, A. Ullmann’s Encyclopedia of Industrial Chemistry; Wiley-VCH: Weinheim, Germany, 2011. [Google Scholar]
- Khawassek, Y.M.; Eliwa, A.A.; Haggag, E.S.A.; Omar, S.A.; Abdel-Wahab, S.M. Adsorption of Rare Earth Elements by Strong Acid Cation Exchange Resin Thermodynamics, Characteristics and Kinetics. SN Appl. Sci. 2018, 1, 51. [Google Scholar] [CrossRef]
- Sahoo, T.R.; Prelot, B. Chapter 7—Adsorption Processes for the Removal of Contaminants from Wastewater: The Perspective Role of Nanomaterials and Nanotechnology. In Nanomaterials for the Detection and Removal of Wastewater Pollutants; Bonelli, B., Freyria, F.S., Rossetti, I., Sethi, R., Eds.; Elsevier: Amsterdam, The Netherlands, 2020; pp. 161–222. [Google Scholar]
- Shu, Z.; Xiong, C.; Shen, Q.; Yao, C.; Gu, Z. Adsorption Behavior and Mechanism of D113 Resin for Lanthanum. Rare Met. 2007, 26, 601–606. [Google Scholar] [CrossRef]
- Zheng, Z.; Xiong, C. Adsorption Behavior of Ytterbium (III) on Gel-Type Weak Acid Resin. J. Rare Earths 2011, 29, 407–412. [Google Scholar] [CrossRef]
- Araucz, K.; Aurich, A.; Kołodyńska, D. Novel Multifunctional Ion Exchangers for Metal Ions Removal in the Presence of Citric Acid. Chemosphere 2020, 251, 126331. [Google Scholar] [CrossRef]
- Bezzina, J.P.; Ogden, M.D.; Moon, E.M.; Soldenhoff, K.L. REE Behavior and Sorption on Weak Acid Resins from Buffered Media. J. Ind. Eng. Chem. 2018, 59, 440–455. [Google Scholar] [CrossRef]
- Fan, Q.; Tan, X.; Li, J.; Wang, X.; Wu, W.; Montavon, G. Sorption of Eu(III) on Attapulgite Studied by Batch, XPS, and EXAFS Techniques. Environ. Sci. Technol. 2009, 43, 5776–5782. [Google Scholar] [CrossRef] [PubMed]
- Saha, P.; Chowdhury, S. Insight Into Adsorption Thermodynamics. In Thermodynamics; Mizutani, T., Ed.; IntechOpen: London, UK, 2011. [Google Scholar] [CrossRef]
- Judge, W.; Azimi, G. Recent Progress in Impurity Removal during Rare Earth Element Processing: A Review. Hydrometallurgy 2020, 196, 105435. [Google Scholar] [CrossRef]
- Apelblat, A. Dissociation Equilibria in Solutions with Citrate Ions. In Citric Acid; Apelblat, A., Ed.; Springer International Publishing: Cham, Switzerland, 2014; pp. 143–212. ISBN 978-3-319-11233-6. [Google Scholar] [CrossRef]
- Wang, R.; Zheng, Z. Rare Earth Complexes with Carboxylic Acids, Polyaminopolycarboxylic Acids, and Amino Acids. In Rare Earth Coordination Chemistry: Fundamentals and Applications; John Wiley & Sons: Singapore, 2010; pp. 91–136. [Google Scholar] [CrossRef]
- Belfqueh, S.; Chapron, S.; Giusti, F.; Pellet-Rostaing, S.; Seron, A.; Menad, N.; Arrachart, G. Selective Recovery of Rare Earth Elements from Acetic Leachate of NdFeB Magnet by Solvent Extraction. Sep. Purif. Technol. 2024, 339, 126701. [Google Scholar] [CrossRef]
- Langmuir, I. The Adsorption of Gases on Plane Surfaces of Glass, Mica and Platinum. J. Am. Chem. Soc. 1918, 40, 1361–1403. [Google Scholar] [CrossRef]
- Ghosal, P.S.; Gupta, A.K. Determination of Thermodynamic Parameters from Langmuir Isotherm Constant-Revisited. J. Mol. Liq. 2017, 225, 137–146. [Google Scholar] [CrossRef]
- Limousin, G.; Gaudet, J.-P.; Charlet, L.; Szenknect, S.; Barthès, V.; Krimissa, M. Sorption Isotherms: A Review on Physical Bases, Modeling and Measurement. Appl. Geochem. 2007, 22, 249–275. [Google Scholar] [CrossRef]
- Freundlich, H. Über Die Adsorption in Lösungen. Z. für Phys. Chem. 1907, 57U, 385–470. [Google Scholar] [CrossRef]
- Azizian, S. Kinetic Models of Sorption: A Theoretical Analysis. J. Colloid Interface Sci. 2004, 276, 47–52. [Google Scholar] [CrossRef]
- Simonin, J.-P. On the Comparison of Pseudo-First Order and Pseudo-Second Order Rate Laws in the Modeling of Adsorption Kinetics. Chem. Eng. J. 2016, 300, 254–263. [Google Scholar] [CrossRef]
- Lagergren, S. Zur Theorie Der Sogenannten Adsorption Geloster Stoffe. K. Sven. Vetenskapsakademiens. Handl. 1898, 24, 1–39. [Google Scholar]
- Ho, Y.S. Citation Review of Lagergren Kinetic Rate Equation on Adsorption Reactions. Scientometrics 2004, 59, 171–177. [Google Scholar] [CrossRef]
- Cheung, C.W.; Porter, J.F.; McKay, G. Sorption Kinetics for the Removal of Copper and Zinc from Effluents Using Bone Char. Sep. Purif. Technol. 2000, 19, 55–64. [Google Scholar] [CrossRef]
- Das, A.; Chandrakumar, K.R.S.; Paul, B.; Chopade, S.M.; Majumdar, S.; Singh, A.K.; Kain, V. Enhanced Adsorption and Separation of Zirconium and Hafnium under Mild Conditions by Phosphoric Acid Based Ligand Functionalized Silica Gels: Insights from Experimental and Theoretical Investigations. Sep. Purif. Technol. 2020, 239, 116518. [Google Scholar] [CrossRef]
- Trieu, Q.A.; Pellet-Rostaing, S.; Arrachart, G.; Traore, Y.; Kimbel, S.; Daniele, S. Interfacial Study of Surface-Modified ZrO2 Nanoparticles with Thioctic Acid for the Selective Recovery of Palladium and Gold from Electronic Industrial Wastewater. Sep. Purif. Technol. 2020, 237, 116353. [Google Scholar] [CrossRef]
- Ho, Y.S.; McKay, G. Pseudo-Second Order Model for Sorption Processes. Process Biochem. 1999, 34, 451–465. [Google Scholar] [CrossRef]
- Vadivelan, V.; Kumar, K.V. Equilibrium, kinetics, mechanism, and process design for the sorption of methylene blue onto rice husk. J. Colloid Interface Sci. 2005, 286, 90–100. [Google Scholar] [CrossRef] [PubMed]
- Plazinski, W.; Dziuba, J.; Rudzinski, W. Modeling of Sorption Kinetics: The Pseudo-Second Order Equation and the Sorbate Intraparticle Diffusivity. Adsorption 2013, 19, 1055–1064. [Google Scholar] [CrossRef]






| Sorbent | Acid Medium | Max Capacity (mg/g) | Reference |
|---|---|---|---|
| D113 resin | Acetate buffer (pH = 6) | 273.3 (La3+) | Shu et al. [49] |
| Gel-type weak acid resin (110) | Acetate buffer (pH = 5.50) | 265.8 (Yb3+) | Zheng et al. [50] |
| Diphonix Resin® | Citric acid (pH = 6) | 60.01 (La3+) | Araucz et al. [51] |
| Purolite S957 | 58.35 (La3+) | ||
| Amberlite IRC86 | Acetic-acid-buffered media (pH = 4.38) | 40.56 (La3+) | Bezzina et al. [52] |
| Ph-F | Acetic acid (pH = 2.8) | 56.91 (La3+) 59.35 (Yb3+) | This work |
| Ph-Fu | 33.14 (La3+) 32.84 (Yb3+) | ||
| Ph-TPA | 29.04 (La3+) 29.06 (Yb3+) | ||
| Ph-Gly | 47.68 (La3+) 54.02 (Yb3+) |
| Ph-Gly | Ph-Fu | ||||||
|---|---|---|---|---|---|---|---|
| pH | SFSc/La | SFLa/Fe | SFLa/Al | pH | SFSc/La | SFLa/Fe | SFLa/Al |
| 2 | 3.7 | 2.9 | 2.8 | 4 | 1.3 | 3.0 | 1.9 |
| 3 | 3.2 | 2.9 | 2.8 | 5 | 0.7 | 16.6 | 9.4 |
Disclaimer/Publisher’s Note: The statements, opinions and data contained in all publications are solely those of the individual author(s) and contributor(s) and not of MDPI and/or the editor(s). MDPI and/or the editor(s) disclaim responsibility for any injury to people or property resulting from any ideas, methods, instructions or products referred to in the content. |
© 2025 by the authors. Licensee MDPI, Basel, Switzerland. This article is an open access article distributed under the terms and conditions of the Creative Commons Attribution (CC BY) license (https://creativecommons.org/licenses/by/4.0/).
Share and Cite
Lelong, E.; Couturier, J.; Levard, C.; Pellet-Rostaing, S.; Arrachart, G. Extraction of Rare Earth Elements from Organic Acid Leachate Using Formo-Phenolic-like Resins. Recycling 2025, 10, 165. https://doi.org/10.3390/recycling10040165
Lelong E, Couturier J, Levard C, Pellet-Rostaing S, Arrachart G. Extraction of Rare Earth Elements from Organic Acid Leachate Using Formo-Phenolic-like Resins. Recycling. 2025; 10(4):165. https://doi.org/10.3390/recycling10040165
Chicago/Turabian StyleLelong, Evan, Julien Couturier, Clément Levard, Stéphane Pellet-Rostaing, and Guilhem Arrachart. 2025. "Extraction of Rare Earth Elements from Organic Acid Leachate Using Formo-Phenolic-like Resins" Recycling 10, no. 4: 165. https://doi.org/10.3390/recycling10040165
APA StyleLelong, E., Couturier, J., Levard, C., Pellet-Rostaing, S., & Arrachart, G. (2025). Extraction of Rare Earth Elements from Organic Acid Leachate Using Formo-Phenolic-like Resins. Recycling, 10(4), 165. https://doi.org/10.3390/recycling10040165

