Fast-Charging Optimization Method for Lithium-Ion Battery Packs Based on Deep Deterministic Policy Gradient Algorithm
Abstract
1. Introduction
1.1. Literature Review
1.2. Motivation and Contributions
- (1)
- Combining the electrothermal battery model with a novel continuous DRL algorithm to simulate the dynamic behavior of lithium-ion battery packs, enabling more accurate charging control;
- (2)
- Innovatively constructing a cost function that integrates charging time and battery state (SOC) balancing, with appropriate penalty terms to minimize charging time while ensuring battery state consistency during charging, thereby avoiding overcharging and uneven charging risks;
- (3)
- Proposing a DRL-based charging method using the DDPG algorithm, integrated with reward centralization and entropy regularization mechanisms. This innovative combination dynamically adjusts the charging current to optimize the balance between fast charging and battery health.
2. Electrothermal Model of Lithium-Ion Battery
2.1. Electrical Model
2.2. Thermal Model
2.3. Lithium-Ion Battery Pack Environment
3. Lithium-Ion Battery Charging Optimization Model
3.1. Objective Function
- (1)
- Charging Time Cost
- (2)
- SOC Balancing Cost
- (3)
- Penalty terms
3.2. Constraints
- (1)
- Voltage Constraint
- (2)
- Temperature Constraint
- (3)
- SOC Constraint
- (4)
- SOH Constraint
3.3. Decision Variables
3.4. Improved Deep Deterministic Policy Gradient
4. Fast-Balanced Charging Dynamic Optimization Method
4.1. Reward Function
4.2. State Space and Action Space
5. Simulation Analysis
5.1. Battery Model Validation
5.2. Deep Reinforcement Learning Training
- (1)
- Hyperparameter Settings
- (2)
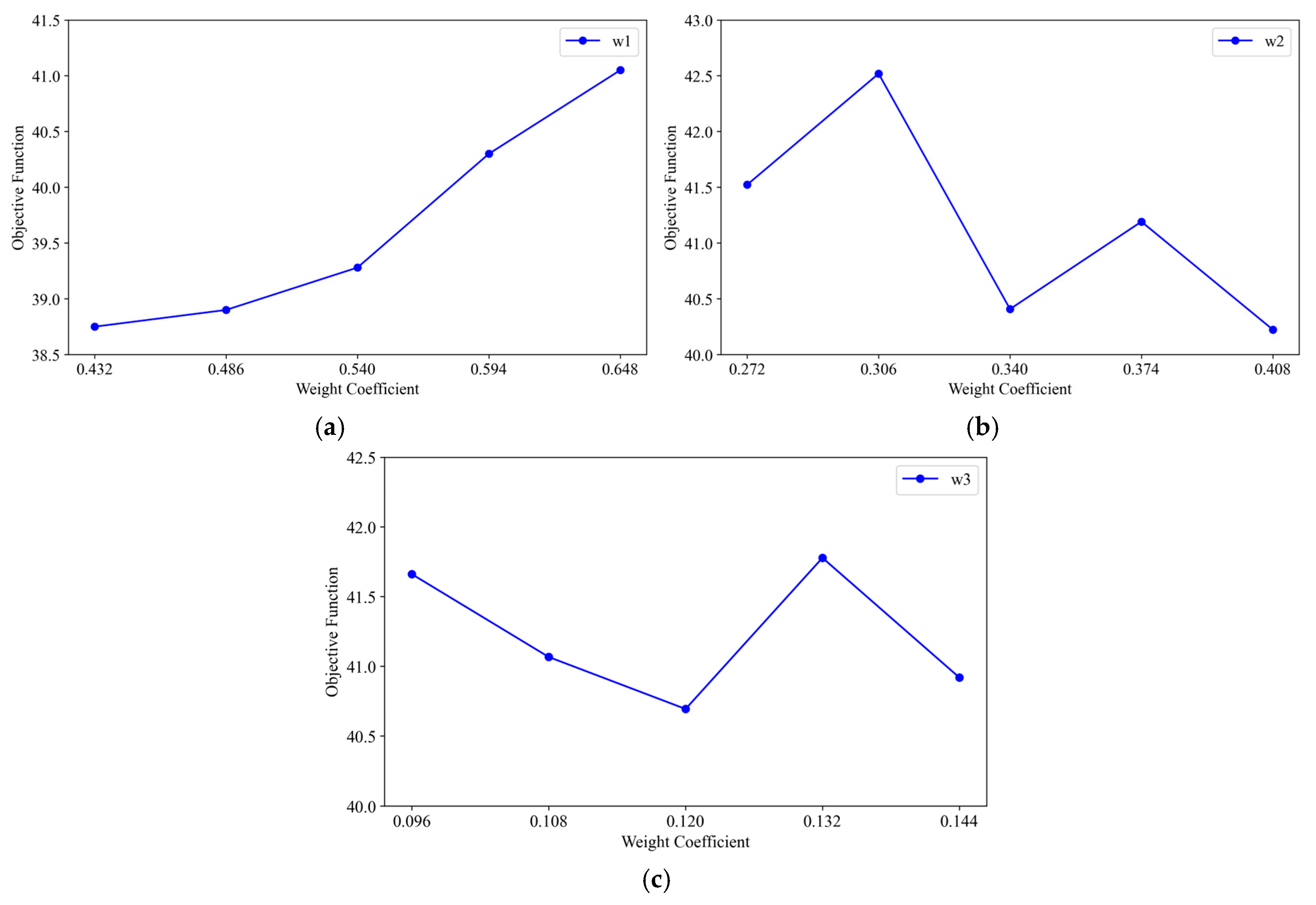
- Weight Coefficient Settings
5.3. Simulation Results
6. Conclusions
- (1)
- Combining the electrothermal battery model with a continuous deep reinforcement learning algorithm: This enables more accurate simulation of the dynamic performance characteristics of lithium-ion batteries, achieving more efficient charging control.
- (2)
- Integrating reward centralization and entropy regularization mechanisms into the DDPG algorithm: Reward centralization optimizes the reward function, making the states of battery cells more coordinated, while the entropy regularization mechanism enhances the algorithm’s exploration ability and policy diversity by increasing policy randomness, improving training stability and optimization effectiveness.
- (3)
- Designing a cost function for target optimization: A cost function that comprehensively considers charging time and SOC balancing is constructed, with appropriate penalty terms introduced to effectively achieve target optimization, ensuring battery state consistency while minimizing charging time.
Author Contributions
Funding
Data Availability Statement
Conflicts of Interest
References
- Rahimi-Eichi, H.; Ojha, U.; Baronti, F.; Chow, M.Y. Battery management system: An overview of its application in the smart grid and electric vehicles. IEEE Ind. Electron. Mag. 2013, 7, 4–16. [Google Scholar] [CrossRef]
- Lin, X.; Khosravinia, K.; Hu, X.; Li, J.; Lu, W. Lithium plating mechanism, detection, and mitigation in lithium-ion batteries. Prog. Energy Combust. Sci. 2021, 87, 100953. [Google Scholar] [CrossRef]
- Naguib, M.; Kollmeyer, P.; Emadi, A. Lithium-ion battery pack robust state of charge estimation, cell inconsistency, and balancing. IEEE Access 2021, 9, 50570–50582. [Google Scholar] [CrossRef]
- Tang, X.; Gao, F.; Liu, K.; Liu, Q.; Foley, A.M. A balancing current ratio based state-of-health estimation solution for lithium-ion battery pack. IEEE Trans. Ind. Electron. 2021, 69, 8055–8065. [Google Scholar] [CrossRef]
- Liao, L.; Chen, H. Research on two-stage equalization strategy based on fuzzy logic control for lithium-ion battery packs. J. Energy Storage 2022, 50, 104321. [Google Scholar] [CrossRef]
- He, T.; Kang, X.; Wang, F.; Zhang, J.; Zhang, T.; Ran, F. Capacitive contribution matters in facilitating high power battery materials toward fast-charging alkali metal ion batteries. Mater. Sci. Eng. 2023, 154, 100737. [Google Scholar] [CrossRef]
- Zeng, X.; Li, J.; Qiao, L.; Chen, M. Experimental study on the performance of power battery module heating management under a low temperatures charging scenario. Int. J. Heat Mass Transf. 2024, 225, 125388. [Google Scholar] [CrossRef]
- Cao, J.; Schofield, N.; Emadi, A. Battery balancing methods: A comprehensive review. In Proceedings of the 2008 IEEE Vehicle Power and Propulsion Conference, Harbin, China, 3–5 September 2008; IEEE: Piscataway, NJ, USA, 2008; pp. 1–6. [Google Scholar]
- Xu, J.; Mei, X.; Wang, H.; Shi, H.; Sun, Z.; Zou, Z. A model based balancing system for battery energy storage systems. J. Energy Storage 2022, 49, 104114. [Google Scholar] [CrossRef]
- Kelkar, A.; Dasari, Y.; Williamson, S.S. A comprehensive review of power electronics enabled active battery cell balancing for smart energy management. In Proceedings of the 2020 IEEE International Conference on Power Electronics, Smart Grid and Renewable Energy (PESGRE2020), Cochin, India, 2–4 January 2020; IEEE: Piscataway, NJ, USA, 2020; pp. 1–6. [Google Scholar]
- Zhu, Z.; Dong, G.; Lou, Y.; Sun, L.; Yu, J.; Wu, L.; Wei, J. MPC-Guided Deep Reinforcement Learning for Optimal Charging of Lithium-Ion Battery with Uncertainty. IEEE Trans. Transp. Electrif. 2024, 19, 1128. [Google Scholar] [CrossRef]
- Zhu, R.; Peng, W.; Yang, F.; Xie, M. Fast Charging Protocols Design of Lithium-ion Battery: A Multiple Objective Bayesian Optimization Perspective. IEEE Trans. Transp. Electrif. 2025; early access. [Google Scholar]
- Khan, A.B.; Choi, W. Optimal charge pattern for the high-performance multistage constant current charge method for the li-ion batteries. IEEE Trans. Energy Convers. 2018, 33, 1132–1140. [Google Scholar] [CrossRef]
- Zhang, S.S.; Xu, K.; Jow, T.R. Study of the charging process of a LiCoO2-based Li-ion battery. J. Power Sources 2006, 160, 1349–1354. [Google Scholar] [CrossRef]
- Shen, Y.; Wang, X.; Jiang, Z.; Luo, B.; Chen, D.; Wei, X.; Dai, H. Online detection of lithium plating onset during constant and multistage constant current fast charging for lithium-ion batteries. Appl. Energy 2024, 370, 123631. [Google Scholar] [CrossRef]
- Yu, C.; Huang, S.; Xu, H.; Yan, J.; Rong, K.; Sun, M. Optimal charging of lithium-ion batteries based on lithium precipitation suppression. J. Energy Storage 2024, 82, 110580. [Google Scholar] [CrossRef]
- Liu, D.; Wang, S.; Fan, Y.; Fernandez, C.; Blaabjerg, F. An optimized multi-segment long short-term memory network strategy for power lithium-ion battery state of charge estimation adaptive wide temperatures. Energy 2024, 304, 132048. [Google Scholar] [CrossRef]
- Andersson, M.; Streb, M.; Prathimala, V.G.; Siddiqui, A.; Lodge, A.; Klass, V.L.; Lindbergh, G. Electrochemical model-based aging-adaptive fast charging of automotive lithium-ion cells. Appl. Energy 2024, 372, 123644. [Google Scholar] [CrossRef]
- Tuchnitz, F.; Ebell, N.; Schlund, J.; Pruckner, M. Development and evaluation of a smart charging strategy for an electric vehicle fleet based on reinforcement learning. Appl. Energy 2021, 285, 116382. [Google Scholar] [CrossRef]
- Park, S.; Pozzi, A.; Whitmeyer, M.; Perez, H.; Kandel, A.; Kim, G.; Moura, S. A deep reinforcement learning framework for fast charging of Li-ion batteries. IEEE Trans. Transp. Electrif. 2022, 8, 2770–2784. [Google Scholar] [CrossRef]
- Miao, Y.; Gao, Y.; Liu, X.; Liang, Y.; Liu, L. Analysis of State-of-Charge Estimation Methods for Li-Ion Batteries Considering Wide Temperature Range. Energies 2025, 18, 1188. [Google Scholar] [CrossRef]
- Zhang, J.; Jing, W.; Lu, Z.; Wu, H.; Wen, X. Collaborative strategy for electric vehicle charging scheduling and route planning. IET Smart Grid 2024, 7, 628–642. [Google Scholar] [CrossRef]
- Guo, X.; Peng, J.; He, H.; Wu, C.; Zhang, H.; Ma, C. Integrated thermal-energy management for electric vehicles in high-temperature conditions using hierarchical reinforcement learning. Expert Syst. Appl. 2025, 276, 127221. [Google Scholar] [CrossRef]
- Hao, Y.; Lu, Q.; Wang, X.; Jiang, B. Adaptive model-based reinforcement learning for fast-charging optimization of lithium-ion batteries. IEEE Trans. Ind. Inform. 2023, 20, 127–137. [Google Scholar] [CrossRef]
- Wang, K.; Wang, H.; Yang, Z.; Feng, J.; Li, Y.; Yang, J.; Chen, Z. A transfer learning method for electric vehicles charging strategy based on deep reinforcement learning. Appl. Energy 2023, 343, 121186. [Google Scholar] [CrossRef]
- Zhou, H.; He, Q.; Li, Y.; Wang, Y.; Wang, D.; Xie, Y. Enhanced Second-Order RC Equivalent Circuit Model with Hybrid Offline–Online Parameter Identification for Accurate SoC Estimation in Electric Vehicles under Varying Temperature Conditions. Energies 2024, 17, 4397. [Google Scholar] [CrossRef]
- Zhu, Z.Q.; Liang, D. Perspective of thermal analysis and management for permanent magnet machines, with particular reference to hotspot temperatures. Energies 2022, 15, 8189. [Google Scholar] [CrossRef]
- Mertin, G.K.; Wycisk, D.; Oldenburger, M.; Stoye, G.; Fill, A.; Birke, K.P.; Wieck, A.D. Dynamic measurement of the entropy coefficient for battery cells. J. Energy Storage 2022, 51, 104361. [Google Scholar] [CrossRef]
- Sultanuddin, S.J.; Vibin, R.; Kumar, A.R.; Behera, N.R.; Pasha, M.J.; Baseer, K.K. Development of improved reinforcement learning smart charging strategy for electric vehicle fleet. J. Energy Storage 2023, 64, 106987. [Google Scholar] [CrossRef]
- Sulzer, V.; Marquis, S.G.; Timms, R.; Robinson, M.; Chapman, S.J. Python battery mathematical modelling (PyBaMM). J. Open Res. Softw. 2021, 9, 14. [Google Scholar] [CrossRef]
- Hou, Y.; Liu, L.; Wei, Q.; Xu, X.; Chen, C. A novel DDPG method with prioritized experience replay. In Proceedings of the 2017 IEEE International Conference on Systems, Man, and Cybernetics (SMC), Banff, AB, Canada, 5–8 October 2017; IEEE: Piscataway, NJ, USA, 2017; pp. 316–321. [Google Scholar]
- Vartanian, C.; Bentley, N. A123 systems’ advanced battery energy storage for renewable integration. In Proceedings of the 2011 IEEE/PES Power Systems Conference and Exposition, Phoenix, AZ, USA, 20–23 March 2011; IEEE: Piscataway, NJ, USA, 2011; pp. 1–6. [Google Scholar]
- Tan, J.; Chen, X.; Bu, Y.; Wang, F.; Wang, J.; Huang, X.; Zhao, Y. Incorporating FFTA based safety assessment of lithium-ion battery energy storage systems in multi-objective optimization for integrated energy systems. Appl. Energy 2024, 367, 123472. [Google Scholar] [CrossRef]
- Wu, X.; Liao, B.; Su, Y.; Li, S. Multi-objective and multi-algorithm operation optimization of integrated energy system considering ground source energy and solar energy. Int. J. Electr. Power Energy Syst. 2023, 144, 108529. [Google Scholar] [CrossRef]
- Jaguemont, J.; Bardé, F. A critical review of lithium-ion battery safety testing and standards. Appl. Therm. Eng. 2023, 231, 121014. [Google Scholar] [CrossRef]
- Liu, H.; Naqvi, I.H.; Li, F.; Liu, C.; Shafiei, N.; Li, Y.; Pecht, M. An analytical model for the CC-CV charge of Li-ion batteries with application to degradation analysis. J. Energy Storage 2020, 29, 101342. [Google Scholar] [CrossRef]
- Wu, X.; Hu, C.; Du, J.; Sun, J. Multistage CC-CV charge method for Li-ion battery. Math. Probl. Eng. 2015, 2015, 294793. [Google Scholar] [CrossRef]
- Erdoğan, B.; Savrun, M.M.; Köroğlu, T.; Cuma, M.U.; Tümay, M. An improved and fast balancing algorithm for electric heavy commercial vehicles. J. Energy Storage 2021, 38, 102522. [Google Scholar] [CrossRef]
- Liao, L.; Li, H.; Li, H.; Jiang, J.; Wu, T. Research on equalization scheme of lithium-ion battery packs based on consistency control strategy. J. Energy Storage 2023, 73, 109193. [Google Scholar] [CrossRef]
- Jiaqiang, E.; Zhang, B.; Zeng, Y.; Wen, M.; Wei, K.; Huang, Z.; Deng, Y. Effects analysis on active equalization control of lithium-ion batteries based on intelligent estimation of the state-of-charge. Energy 2022, 238, 121822. [Google Scholar]










| Hyperparameter | Value | Description |
|---|---|---|
| Learning Rate | 0.001 | Learning rate for updating the policy network |
| Episodes | 12,000 | Controls the duration of the entire training process |
| Buffer Size | 10,000,000 | Stores state transitions experienced by DRL in the environment |
| Batch Size | 64 | Batch size of samples used in each training iteration |
| Discount Factor | 0.99 | Discount factor for calculating the present value of future rewards |
| Target Network Soft Update Coefficient | 0.005 | Soft update coefficient for target network parameter updates |
| Regularization Coefficient | 0.0002 | Regularization coefficient for policy and value networks |
| Time Step (seconds) | 1 | Time step |
| Training Rounds | 10 | Number of training rounds executed in each update cycle |
| Charging Strategy | Metric | Quantitative Result |
|---|---|---|
| Improved DDPG | Balancing Time | 470 |
| Full Charging Time | 1365 | |
| Peak Temperature | 42 | |
| Peak Voltage | 4.2 | |
| Minimum Cycle Cost | 1337 | |
| DDPG | Balancing Time | 650 |
| Full Charging Time | 1500 | |
| Peak Temperature | 42.5 | |
| Peak Voltage | 4.2 | |
| Minimum Cycle Cost | 1593 | |
| CC-CV | Balancing Time | 540 |
| Full Charging Time | 1425 | |
| Peak Temperature | 52 | |
| Peak Voltage | 4.2 | |
| Minimum Cycle Cost | 15,082 |
Disclaimer/Publisher’s Note: The statements, opinions and data contained in all publications are solely those of the individual author(s) and contributor(s) and not of MDPI and/or the editor(s). MDPI and/or the editor(s) disclaim responsibility for any injury to people or property resulting from any ideas, methods, instructions or products referred to in the content. |
© 2025 by the authors. Licensee MDPI, Basel, Switzerland. This article is an open access article distributed under the terms and conditions of the Creative Commons Attribution (CC BY) license (https://creativecommons.org/licenses/by/4.0/).
Share and Cite
Zhang, Z.; Guo, T.; Liu, Y.; Pang, X.; Zheng, Z. Fast-Charging Optimization Method for Lithium-Ion Battery Packs Based on Deep Deterministic Policy Gradient Algorithm. Batteries 2025, 11, 199. https://doi.org/10.3390/batteries11050199
Zhang Z, Guo T, Liu Y, Pang X, Zheng Z. Fast-Charging Optimization Method for Lithium-Ion Battery Packs Based on Deep Deterministic Policy Gradient Algorithm. Batteries. 2025; 11(5):199. https://doi.org/10.3390/batteries11050199
Chicago/Turabian StyleZhang, Zhi, Taijun Guo, Yefeng Liu, Xinfu Pang, and Zedong Zheng. 2025. "Fast-Charging Optimization Method for Lithium-Ion Battery Packs Based on Deep Deterministic Policy Gradient Algorithm" Batteries 11, no. 5: 199. https://doi.org/10.3390/batteries11050199
APA StyleZhang, Z., Guo, T., Liu, Y., Pang, X., & Zheng, Z. (2025). Fast-Charging Optimization Method for Lithium-Ion Battery Packs Based on Deep Deterministic Policy Gradient Algorithm. Batteries, 11(5), 199. https://doi.org/10.3390/batteries11050199

