A Thermal Runaway Protection Strategy for Prismatic Lithium-Ion Battery Modules Based on Phase Change and Thermal Decomposition of Sodium Acetate Trihydrate
Abstract
1. Introduction
2. Numerical Model
2.1. Geometric Model
2.2. Mathematical Model of Battery
2.2.1. Battery Thermal Runaway Heat Generation Model
2.2.2. Battery Heat Transfer Model
2.3. Mathematical Model of SAT Phase Change and Thermal Decomposition
2.4. Mathematical Model of Liquid Cooling
2.5. Boundary and Initial Conditions
3. Results and Discussion
3.1. Model Validation
3.1.1. Validation of the Thermal Runaway Model
3.1.2. Validation of the SAT Phase Change and Thermal Decomposition Model
3.2. Latent Heat Performance of SAT
3.3. Thermal Runaway Protection Based on Liquid Cooling and SAT
3.3.1. Mesh Independence Verification
3.3.2. Simulation of Thermal Runaway Protection
3.4. Study on the Influencing Factors of Thermal Runaway Protection Performance
3.4.1. Effect of Initial Abnormal Heat Generation Rate
3.4.2. Effect of Ambient Temperature
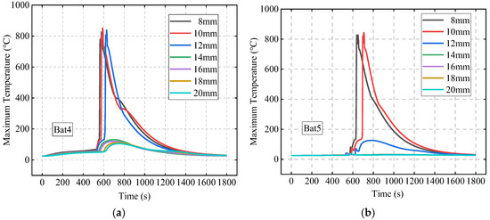
3.4.3. Effect of Thickness of SAT-EG
3.4.4. Effect of Liquid Cooling Layouts
3.4.5. Comparison of Thermal Runaway Protection Performance of SAT-EG and PA-EG Combined with Liquid Cooling
4. Conclusions
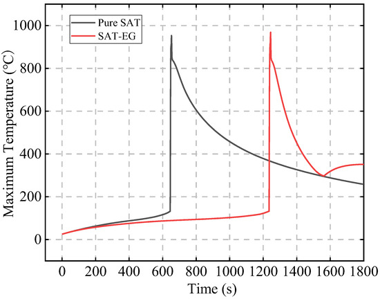
- The low thermal conductivity of pure SAT forms an insulating layer around the battery, which exacerbates thermal runaway. After doping with EG, the thermal conductivity is significantly improved, allowing the latent heat properties of SAT to be fully utilized. For a 20 mm thick SAT-EG scheme, the thermal runaway time of Bat3 is delayed by 590 s compared to the pure SAT scheme.
- By comparing SAT-EG with traditional PA-EG materials, it was found that under the 20 mm PA-EG scheme, thermal runaway propagates to Bat5 in just 115 s. In contrast, under the 20 mm SAT-EG scheme, thermal runaway propagates to Bat5 in 696 s, about six times longer than the PA-EG scheme, demonstrating the significant advantage of SAT materials in thermal runaway protection.
- When combined with liquid cooling, the thermal runaway protection effect is further improved, significantly delaying the battery’s thermal runaway time. Furthermore, when the initial abnormal heat generation rate is below 450 W, the battery does not trigger thermal runaway. Even if an abnormal battery experiences thermal runaway, with a SAT-EG thickness of 12 mm, thermal runaway only propagates once; when the SAT-EG thickness exceeds 14 mm, thermal runaway does not propagate.
- As the ambient temperature increases, the peak temperature of the battery is reached earlier, and the peak temperature also rises. In terms of liquid cooling layout, the combined liquid cooling scheme (bottom and side) performs far better than individual bottom or side liquid cooling schemes.
- Even when combined with liquid cooling, the traditional PA-EG material fails to prevent the propagation of thermal runaway. However, when combined with liquid cooling, the SAT-EG material significantly outperforms the traditional solution, and with an increase in CPCM thickness, it can effectively prevent the propagation of thermal runaway over various ranges.
Author Contributions
Funding
Data Availability Statement
Conflicts of Interest
References
- Zheng, Y.; Ouyang, M.; Han, X.; Lu, L.; Li, J. Investigating the error sources of the online state of charge estimation methods for lithium-ion batteries in electric vehicles. J. Power Sources 2018, 377, 161–188. [Google Scholar] [CrossRef]
- He, M.; Chartouni, D.; Landmann, D.; Colombi, S. Safety Aspects of Stationary Battery Energy Storage Systems. Batteries 2024, 10, 418. [Google Scholar] [CrossRef]
- Qiao, Y.; Deng, H.; He, P.; Zhou, H. A 500 Wh/kg Lithium-Metal Cell Based on Anionic Redox. Joule 2020, 4, 1445–1458. [Google Scholar] [CrossRef]
- Wang, H.; Du, Z.; Rui, X.; Wang, S.; Jin, C.; He, L.; Zhang, F.; Wang, Q.; Feng, X. A comparative analysis on thermal runaway behavior of Li (NixCoyMnz) O2 battery with different nickel contents at cell and module level. J. Hazard. Mater. 2020, 393, 122361. [Google Scholar] [CrossRef]
- Börger, A.; Mertens, J.; Wenzl, H. Thermal runaway and thermal runaway propagation in batteries: What do we talk about? J. Energy Storage 2019, 24, 100649. [Google Scholar] [CrossRef]
- Wang, Q.; Wen, J.; Stoliarov, S. Special Issue on Lithium Battery Fire Safety. Fire Technol. 2023, 59, 1027–1028. [Google Scholar] [CrossRef]
- Zhou, Z.; Zhou, X.; Cao, B.; Yang, L.; Liew, K. Investigating the relationship between heating temperature and thermal runaway of prismatic lithium-ion battery with LiFePO4 as cathode. Energy 2022, 256, 124714. [Google Scholar] [CrossRef]
- Lu, L.; Han, X.; Li, J.; Hua, J.; Ouyang, M. A review on the key issues for lithium-ion battery management in electric vehicles. J. Power Sources 2013, 226, 272–288. [Google Scholar] [CrossRef]
- Feng, X.; Ouyang, M.; Liu, X.; Lu, L.; Xia, Y.; He, X. Thermal runaway mechanism of lithium ion battery for electric vehicles: A review. Energy Storage Mater. 2018, 10, 246–267. [Google Scholar] [CrossRef]
- Zhao, R.; Liu, J.; Gu, J. Simulation and experimental study on lithium ion battery short circuit. Appl. Energy 2016, 173, 29–39. [Google Scholar] [CrossRef]
- Zhang, C.; Santhanagopalan, S.; Sprague, M.; Persaran, A. Coupled mechanical-electrical-thermal modeling for short-circuit prediction in a lithium-ion cell under mechanical abuse. J. Power Sources 2015, 290, 102–113. [Google Scholar] [CrossRef]
- Jiang, L.; Luo, Z.; Wu, T.; Shao, L.; Sun, J.; Liu, C.; Li, G.; Cao, K.; Wang, Q. Overcharge behavior and early warning analysis of LiNi0.5Co0.2Mn0.3O2/C lithium-ion battery with high capacity. J. Electrochem. Soc. 2019, 166, A1055–A1062. [Google Scholar] [CrossRef]
- Fernandes, Y.; Bry, A.; de Persis, S. Identification and quantification of gases emitted during abuse tests by overcharge of a commercial Li-ion battery. J. Power Sources 2018, 389, 106–119. [Google Scholar] [CrossRef]
- Lai, X.; Zheng, Y.; Zhou, L.; Gao, W. Electrical behavior of overdischarge-induced internal short circuit in lithium-ion cells. Electrochim. Acta 2018, 278, 245–254. [Google Scholar] [CrossRef]
- Ohsaki, T.; Kishi, T.; Kuboki, T.; Takami, N.; Shimura, N.; Sato, Y.; Sekino, M.; Satoh, A. Overcharge Reaction of Lithium-ion Batteries. J. Power Sources 2005, 146, 97–100. [Google Scholar] [CrossRef]
- Lammer, M.; Konigseder, A.; Hacker, V. Holistic methodology for characterisation of the thermally induced failure of commercially available 18650 lithium ion cells. RSC Adv. 2017, 7, 24425–24429. [Google Scholar] [CrossRef]
- Liu, X.; Ren, D.; Hsu, H.; Feng, X.; Xu, G.; Zhuang, M.; Gao, H.; Lu, L.; Han, X.; Chu, Z. Thermal runaway of lithium-ion batteries without internal short circuit. Joule 2018, 2, 2047–2064. [Google Scholar] [CrossRef]
- Feng, X.; Fang, M.; He, X.; Ouyang, M.; Lu, L.; Wang, H.; Zhang, M. Thermal runaway features of large format prismatic lithium ion battery using extended volume accelerating rate calorimetry. J. Power Sources 2014, 255, 294–301. [Google Scholar] [CrossRef]
- Finegan, D.; Scheel, M.; Robinson, J.; Tjaden, B.; Hunt, I.; Mason, T.; Millichamp, J.; Michiel, M.; Offer, G.; Hinds, G.; et al. In-operando high-speed tomography of lithium-ion batteries during thermal runaway. Nat. Commun. 2015, 6, 6924. [Google Scholar] [CrossRef]
- Abada, S.; Marlair, G.; Lecocq, A.; Petit, M.; Sauvant-Moynot, V.; Huet, F. Safety focused modeling of lithium-ion batteries: A review. J. Power Sources 2016, 306, 178–192. [Google Scholar] [CrossRef]
- Xu, J.; Lan, C.; Qiao, Y.; Ma, Y. Prevent thermal runaway of lithium-ion batteries with minichannel cooling. Appl. Therm. Eng. 2017, 110, 883–890. [Google Scholar] [CrossRef]
- Wilke, S.; Schweitzer, B.; Khateeb, S.; Al-Hallaj, S. Preventing thermal runaway propagation in lithium ion battery packs using a phase change composite material: An experimental study. J. Power Sources 2017, 340, 51–59. [Google Scholar] [CrossRef]
- Ahmadian-Elmi, M.; Zhao, P. Review of Thermal Management Strategies for Cylindrical Lithium-Ion Battery Packs. Batteries 2024, 10, 50. [Google Scholar] [CrossRef]
- Talele, V.; Moralı, U.; Khaboshan, H.; Patil, M.; Panchal, S.; Fraser, R.; Fowler, M. Improving battery safety by utilizing composite phase change material to delay the occurrence of thermal runaway event. Int. Commun. Heat Mass Transf. 2024, 155, 107527. [Google Scholar] [CrossRef]
- Krishnadash, S.; Yoon, Y.; Gye, H. Preventing heat propagation and thermal runaway in electric vehicle battery modules using integrated PCM and micro-channel plate cooling system. Appl. Therm. Eng. 2019, 159, 113797. [Google Scholar]
- Liu, H.; Wei, Z.; He, W.; Zhao, J. Thermal issues about Li-ion batteries and recent progress in battery thermal management systems: A review. Energy Convers. Manag. 2017, 150, 304–330. [Google Scholar] [CrossRef]
- Mohamed, S.; Al-Sulaiman, F.; Ibrahim, N.; Zahir, M.; Al-Ahmed, A.; Saidur, R.; Yılbas, B.; Sahin, A. A review on current status and challenges of inorganic phase change materials for thermal energy storage systems. Renew. Sustain. Energy Rev. 2017, 70, 1072–1089. [Google Scholar] [CrossRef]
- Kharbanda, J.; Yadav, S.; Soni, V.; Kumar, A. Modeling of heat transfer and fluid flow in epsom salt (MgSO4·7H2O) dissociation for thermochemical energy storage. J. Energy Storage 2020, 31, 101712. [Google Scholar] [CrossRef]
- Stengler, J.; Bürger, I.; Linder, M. Thermodynamic and kinetic investigations of the SrBr2 hydration and dehydration reactions for thermochemical energy storage and heat transformation. Appl. Energy 2020, 277, 115432. [Google Scholar] [CrossRef]
- Ling, Z.; Li, S.; Cai, C.; Lin, S.; Fang, X.; Zhang, Z. Battery thermal management based on multiscale encapsulated inorganic phase change material of high stability. Appl. Therm. Eng. 2021, 193, 117002. [Google Scholar] [CrossRef]
- Galazutdinova, Y.; Ushak, S.; Farid, M.; Al-Hallaj, S.; Grágeda, M. Development of the inorganic composite phase change materials for passive thermal management of Li-ion batteries: Application. J. Power Sources 2021, 491, 229624. [Google Scholar] [CrossRef]
- Cao, J.; Ling, Z.; Lin, S.; He, Y.; Fang, X.; Zhang, Z. Thermochemical heat storage system for preventing battery thermal runaway propagation using sodium acetate trihydrate/expanded graphite. Chem. Eng. J. 2022, 433, 133536. [Google Scholar] [CrossRef]
- Jin, C.; Sun, Y.; Wang, H.; Zheng, Y.; Wang, S.; Rui, X.; Xu, C.; Feng, X.; Wang, H.; Ouyang, M. Heating power and heating energy effect on the thermal runaway propagation characteristics of lithium-ion battery module: Experiments and modeling. Appl. Energy 2022, 312, 11876. [Google Scholar] [CrossRef]
























| Component | Density (kg·m−3) | Specific Heat Capacity (J/(kg·K)) | Thermal Conductivity (W/(m·K)) |
|---|---|---|---|
| Battery Core | 2300 | 1072 | 18.5, 18.5, 1.5 |
| Positive Pole | 2719 | 871 | 202.4 |
| Negative Pole | 8978 | 381 | 387.6 |
| Liquid Cooling Plate | 2719 | 871 | 202.4 |
| Cooling Liquid | 998.2 | 4128 | 0.6 |
| Property | Value |
|---|---|
| Density (kg·m−3) | 800 |
| Thermal Conductivity (W/(m·K)) | 4.96 |
| Specific Heat Capacity (J/(kg·K)) | 3200 |
| Phase Change Enthalpy (J/g) | 225.1 |
| Chemical Decomposition Enthalpy (J/g) | 568.3 |
| Phase Change Temperature (°C) | 58.49 |
| Decomposition Temperature (°C) | 106.5 |
| Property | Pure SAT | SAT-EG | PA-EG |
|---|---|---|---|
| Density (kg·m−3) | 1450 | 800 | 875 |
| Thermal Conductivity (W/(m·K)) | 0.45 | 4.96 | 7.2 |
| Phase Change Enthalpy (J/g) | 283.6 | 225.1 | 165 |
| Chemical Decomposition Enthalpy (J/g) | 716.1 | 568.3 | - |
| Maximum Temperature (°C) | The Thickness of SAT-EG (mm) | ||||||
|---|---|---|---|---|---|---|---|
| 8 | 10 | 12 | 14 | 16 | 18 | 20 | |
| Bat4 | >T2 | >T2 | >T2 | 130.9 | 120.1 | 111.8 | 105.1 |
| Bat5 | >T2 | >T2 | 125.5 | 32.1 | 31.2 | 30.5 | 29.9 |
| Maximum Temperature (°C) | The Thickness of SAT-EG (mm) | ||||
|---|---|---|---|---|---|
| 10 | 12 | 14 | 16 | ||
| Bat4 | Without | >T2 | >T2 | >T2 | >T2 |
| Bottom | >T2 | >T2 | >T2 | 131.5 | |
| Side | >T2 | >T2 | >T2 | 124.2 | |
| Combined | >T2 | >T2 | 130.7 | 120.1 | |
| Bat5 | Without | >T2 | >T2 | >T2 | >T2 |
| Bottom | >T2 | >T2 | 130.3 | 39.3 | |
| Side | >T2 | >T2 | 122.2 | 34.3 | |
| Combined | >T2 | 125.5 | 32.1 | 31.2 | |
| Scheme | TRP Time (s) | Whether TRP Is Prevented | |||
|---|---|---|---|---|---|
| CPCM | Liquid Cooling | Thickness (mm) | To Bat4 | To Bat5 | |
| PA-EG | Without | 8 | 7 | 31 | No |
| 12 | 11 | 50 | No | ||
| 16 | 21 | 80 | No | ||
| 20 | 31 | 115 | No | ||
| With | 8 | 9 | 40 | No | |
| 12 | 15 | 61 | No | ||
| 16 | 26 | 95 | No | ||
| 20 | 53 | 158 | No | ||
| SAT-EG | Without | 8 | 24 | 84 | No |
| 12 | 60 | 192 | No | ||
| 16 | 123 | 381 | No | ||
| 20 | 234 | 697 | No | ||
| With | 8 | 39 | 112 | No | |
| 12 | 74 | No TR | Yes | ||
| 16 | No TR | No TR | Yes | ||
| 20 | No TR | No TR | Yes | ||
Disclaimer/Publisher’s Note: The statements, opinions and data contained in all publications are solely those of the individual author(s) and contributor(s) and not of MDPI and/or the editor(s). MDPI and/or the editor(s) disclaim responsibility for any injury to people or property resulting from any ideas, methods, instructions or products referred to in the content. |
© 2025 by the authors. Licensee MDPI, Basel, Switzerland. This article is an open access article distributed under the terms and conditions of the Creative Commons Attribution (CC BY) license (https://creativecommons.org/licenses/by/4.0/).
Share and Cite
Yang, T.; Xu, H.; Xie, C.; Xu, L.; Liu, M.; Chen, L.; Xin, Q.; Zeng, J.; Zhang, H.; Xiao, J. A Thermal Runaway Protection Strategy for Prismatic Lithium-Ion Battery Modules Based on Phase Change and Thermal Decomposition of Sodium Acetate Trihydrate. Batteries 2025, 11, 198. https://doi.org/10.3390/batteries11050198
Yang T, Xu H, Xie C, Xu L, Liu M, Chen L, Xin Q, Zeng J, Zhang H, Xiao J. A Thermal Runaway Protection Strategy for Prismatic Lithium-Ion Battery Modules Based on Phase Change and Thermal Decomposition of Sodium Acetate Trihydrate. Batteries. 2025; 11(5):198. https://doi.org/10.3390/batteries11050198
Chicago/Turabian StyleYang, Tianqi, Hanwei Xu, Chengfu Xie, Linzhi Xu, Min Liu, Lingyu Chen, Qianqian Xin, Juan Zeng, Hengyun Zhang, and Jinsheng Xiao. 2025. "A Thermal Runaway Protection Strategy for Prismatic Lithium-Ion Battery Modules Based on Phase Change and Thermal Decomposition of Sodium Acetate Trihydrate" Batteries 11, no. 5: 198. https://doi.org/10.3390/batteries11050198
APA StyleYang, T., Xu, H., Xie, C., Xu, L., Liu, M., Chen, L., Xin, Q., Zeng, J., Zhang, H., & Xiao, J. (2025). A Thermal Runaway Protection Strategy for Prismatic Lithium-Ion Battery Modules Based on Phase Change and Thermal Decomposition of Sodium Acetate Trihydrate. Batteries, 11(5), 198. https://doi.org/10.3390/batteries11050198

