Joint Adaptive Assessment of the State of Charge of Lithium Batteries at Varying Temperatures
Abstract
1. Introduction
2. Battery Modeling and Parameter Identification
2.1. Second-Order RC Equivalent Circuit Model
2.2. Obtaining OCV-SOC Relationships at Different Temperatures
2.3. Model Parameter Identification
- (1)
- Initialization .;
- (2)
- Calculate the forgetting factor:
- (3)
- Calculate the least squares estimate at moment k:
- (4)
- Solve inversely for R0,R1,C1,R2,C2, the process is as follows:
3. Joint Estimation of SOC Based on VFFRLS-AEKF
3.1. Definition of SOC
3.2. AEKF Based on Multi-New Information
- (1)
- Set the initial values of x0, P0, Q0, R0
- (2)
- Predicted state variables and error covariance matrix:
- (3)
- Calculate the gain matrix:
- (4)
- Introduce the multi-new information estimating function and compute the covariance matrix:
- (5)
- Update the process noise and observation noise covariance matrices:
- (6)
- Update the state variables and error covariance matrix:
- (7)
- Repeat steps (2) through (6) for recursive filtering calculations.
3.3. VFFRLS-AEKF Joint Estimation of SOC
4. Experiments and Analysis of Results
4.1. Identification of Model Parameters Under Different Operating Conditions
4.2. Model Accuracy Verification
4.3. Validation of SOC Estimation Under Various Working Conditions at the Same Temperature
4.4. Validation of SOC Estimation at Different Temperatures for the Same Operating Condition
- (1)
- For four distinct operating situations at the same temperature, the maximum RMSE of FFRLS-EKF is 2.4%, the maximum RMSE of FFRLS-AEKF is 2.24%, and the maximum RMSE of VFFRLS-AEKF is 1.57%, as shown in Figure 8 and Figure 13. Consequently, the method proposed in this work offers extremely precise SOC estimation.
- (2)
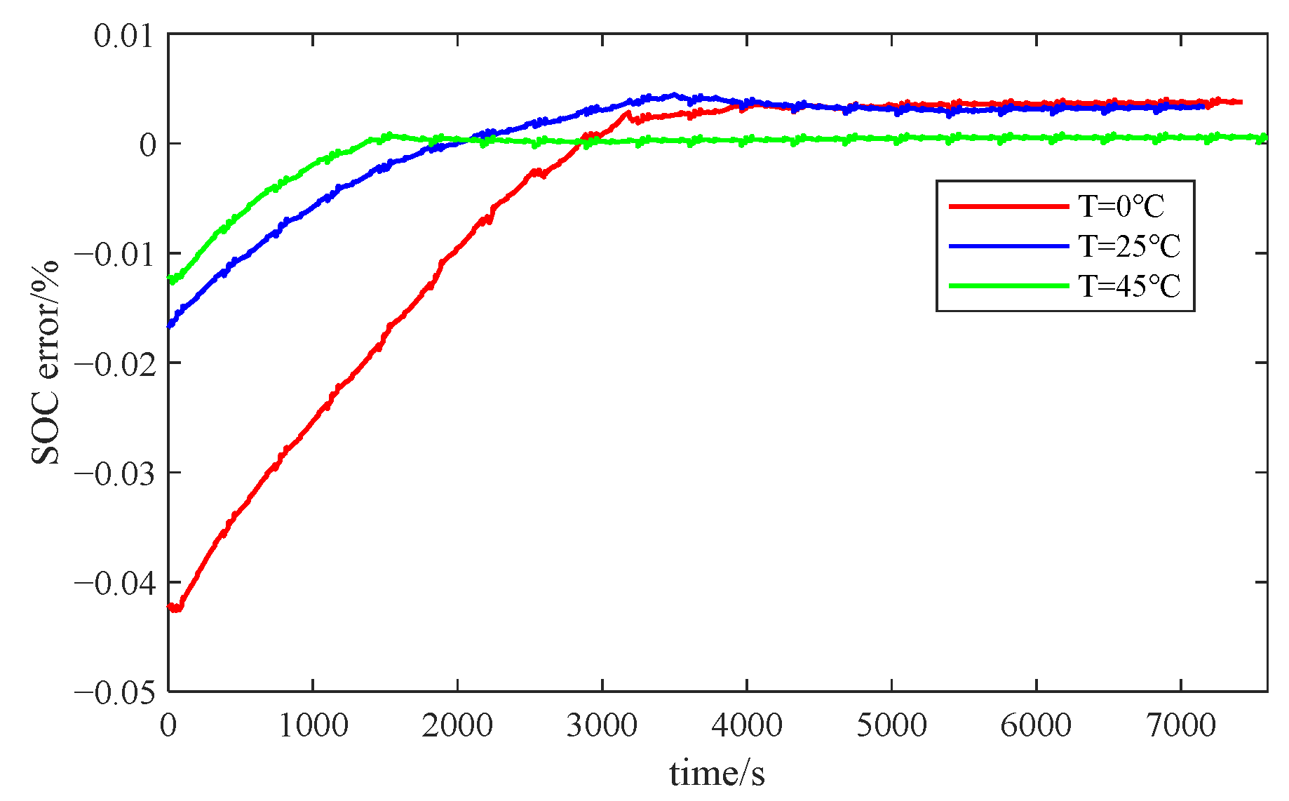
- The joint algorithm effectively improves the estimation of the SOC of lithium battery under the temperature-varying environment, as shown by the maximum RMSE of FFRLS-EKF being 2.59%, the maximum RMSE of FFRLS-AEKF being 1.64%, and the maximum RMSE of VFFRLS-AEKF, being 1.33% for the same conditions with three different temperatures (Figure 11 and Figure 13).
- (3)
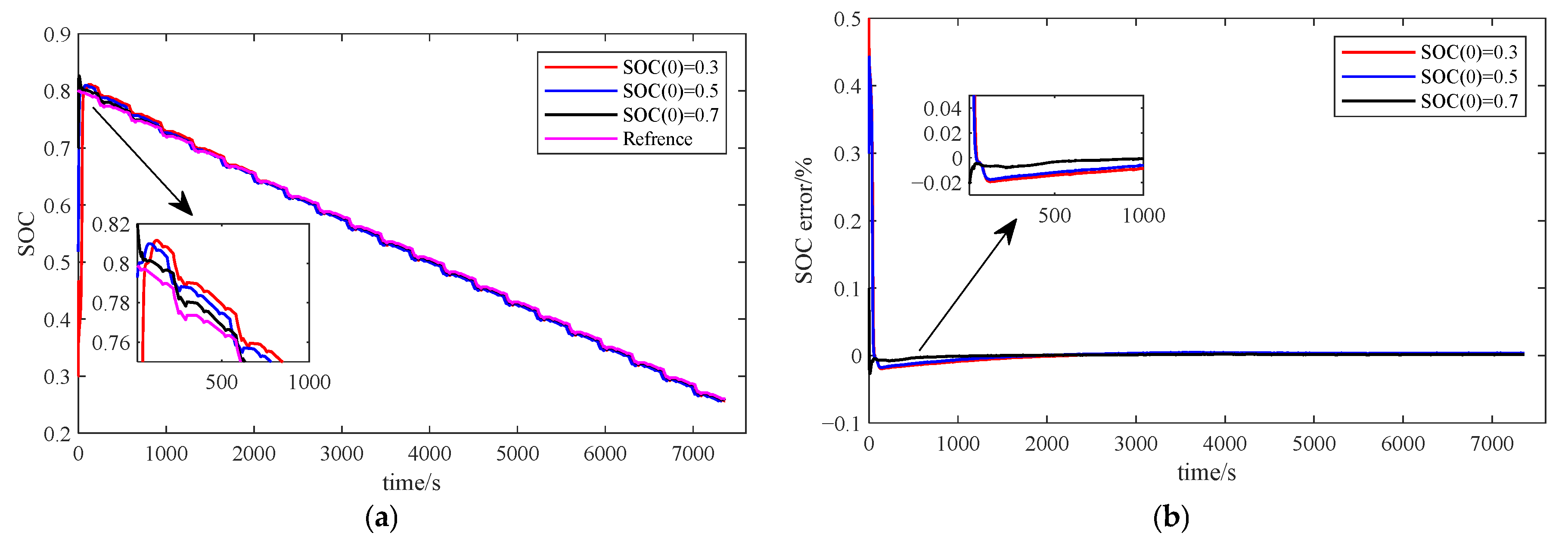
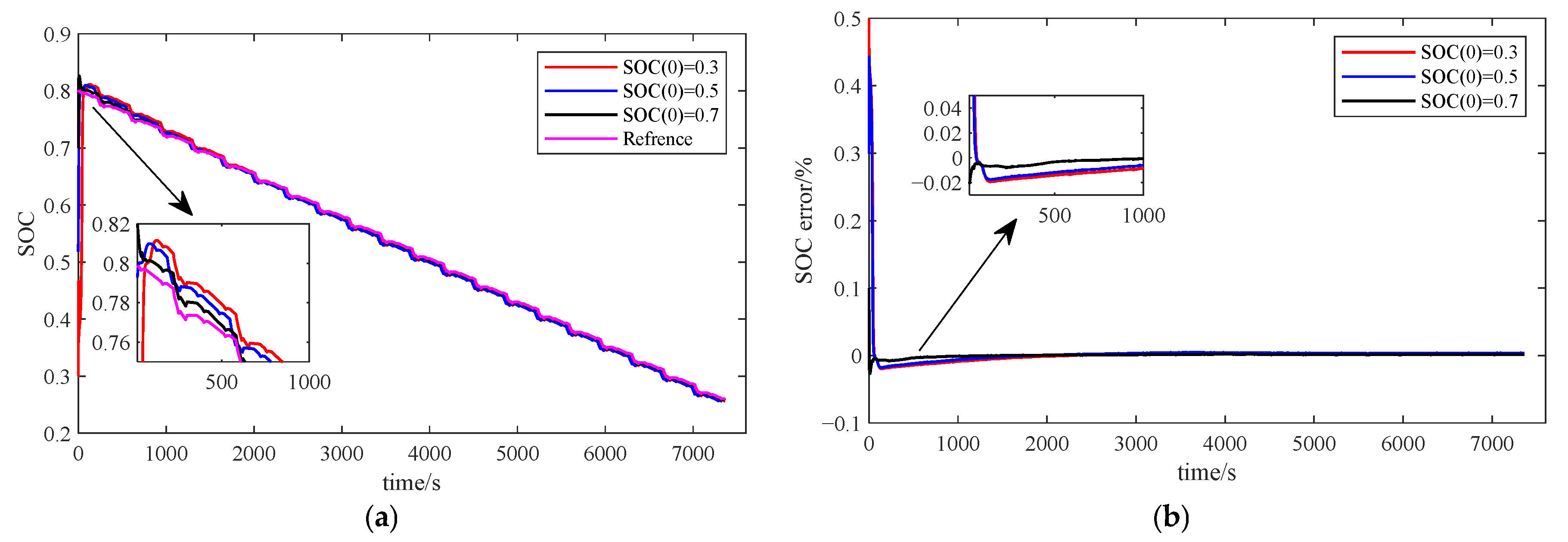
- As illustrated in Figure 9, assuming that the SOC initial value is set to 0.3, 0.5, and 0.7, respectively, and that the SOC is estimated using the joint VFFRLS-AEKF algorithm, in the case of the actual SOC initial value of 0.8, the results demonstrate that, if the SOC initial value deviates from the actual initial value, the SOC estimation results can quickly converge to the actual SOC value within the error range of 2% of the time required for the time required to converge to the actual SOC value within the error range of 2% of the actual SOC value is 123 and 38 s, respectively. The VFFRLS-AEKF algorithm takes 255, 105, 183, and 62 s to converge to within 2% error of the true value under the four working conditions, while the FFRLS-EKF algorithm takes 350, 265, 359, and 571 s, and the FFRLS-AEKF algorithm takes 286, 397, 119, and 125 s, as shown in Figure 10 with the initial value of SOC set to 35%. Thus, the convergence speed of the VFFRLS-AEKF algorithm is superior to that of other algorithms with strong robustness and faster algorithm convergence.
- (4)
- Figure 11 and Figure 12 show that the estimation error of SOC is higher at low temperatures. This is because the internal resistance of lithium batteries rises sharply with decreasing temperature, causing the battery voltage to become unstable and resulting in a larger error in the estimation of SOC. However, as the temperature drops, Li-ion batteries’ chemical reaction rate slows down and the diffusion of lithium ions in the battery becomes more challenging, which alters the battery’s charging and discharging properties. Accurate SOC estimation becomes more challenging at low temperatures because of the battery’s decreased capacity usage, which shows up as a fall in effective capacity.
5. Conclusions
- (1)
- In the actual energy storage system, a single lithium-ion battery cannot provide enough energy, hence many single batteries are needed for combination. And in the production and storage process of the battery, there will be a certain inconsistency and progressive rise in the process of battery use. Therefore, to guarantee the stability and health of the battery system, SOC assessment, and battery monomer equalization are required. The algorithm will be optimized around active and passive equalization control in the following step, which will concentrate on equalization control.
- (2)
- Existing SOC estimating approaches are not compatible in terms of real-time, accuracy, and resilience. Among them, the model-based methods generally have the problem of dependence on model accuracy, and the SOC estimation methods with higher accuracy can be obtained by trying to estimate jointly with the methods based on data-driven, machine learning, etc., taking the advantages and complementing the shortcomings.
- (3)
- To increase the algorithm’s adaptability at severe temperatures, expand the experimental temperature range (for example, from −30 °C to 60 °C) and create a more thorough temperature–parameter relationship model. In the meantime, the SOC is jointly estimated with several states, including the battery’s state of aging (SOH) and power (SOP), to increase work efficiency and extend the battery’s service life.
Author Contributions
Funding
Data Availability Statement
Acknowledgments
Conflicts of Interest
References
- Chen, L.; Wang, Z.Z.; Lü, Z.Q.; Li, J.Z.; Ji, B.; Wei, H.Y.; Pan, H.H. A Novel State-of-Charge Estimation Method of Lithium-Ion Batteries Combining the Grey Model and Genetic Algorithms. IEEE Trans. Power Electron. 2018, 33, 8797–8807. [Google Scholar] [CrossRef]
- Jiang, M.; Li, D.J.; Li, Z.H.; Chen, Z.; Yan, Q.S.; Lin, F.; Yu, C.; Jiang, B.; Wei, X.Z.; Yan, W.S.; et al. Advances in battery state estimation of battery management system in electric vehicles. J. Power Sources 2024, 612, 29. [Google Scholar] [CrossRef]
- Shete, S.; Jog, P.; Kumawat, R.K.; Palwalia, D.K. Battery Management System for SOC Estimation of Lithium-Ion Battery in Electric Vehicle: A Review. In Proceedings of the 6th International Conference and Workshops on Recent Advances and Innovations in Engineering (ICRAIE), Kedah, Malaysia, 1–3 December 2021. [Google Scholar]
- Lipu, M.S.H.; Hannan, M.A.; Hussain, A.; Saad, M.H.; Ayob, A.; Uddin, M.N. Extreme learning machine model for state-of-charge estimation of lithium-ion battery using gravitational search algorithm. IEEE Trans. Ind. Appl. 2019, 55, 4225–4234. [Google Scholar] [CrossRef]
- Dong, Z.; Du, C.; Lin, H.; Lai, C.; Hu, X.; Duan, S. Multichannel memristive pulse coupled neural network based multi-frame images super-resolution reconstruction algorithm. J. Electron. Inf. Technol. 2020, 42, 835–843. [Google Scholar] [CrossRef]
- Anton, J.C.A.; Nieto, P.J.G.; Viejo, C.B.; Vilán, J.A.V. Support vector machines used to estimate the battery state of charge. IEEE Trans. Power Electron. 2013, 28, 5919–5926. [Google Scholar] [CrossRef]
- Liu, B.; Yang, Y.; Zhao, Z.; Wu, C.; Liu, H.; Wen, Y. A batch inheritance extreme learning machine algorithm based on regular optimization. J. Electron. Inf. Technol. 2020, 42, 1734–1742. [Google Scholar] [CrossRef]
- Wang, Z.; Zhang, S.; Liu, Q. SOC estimation of electric bus lithium-ion battery based on GA and PSO. Battery 2021, 51, 221–224. [Google Scholar]
- Ma, X.; Jin, H.; Zhu, Q.; Wang, X. Online fusion estimation method for state of charge of lithium-ion batteries. J. Lanzhou Univ. Technol. 2020, 46, 78–84. [Google Scholar]
- Qian, J.; Du, C.; Tian, X.; Zhu, S. An improved T-S fuzzy neural network estimation method for lithium battery SOC. Power Technol. 2020, 44, 1270–1273. [Google Scholar]
- Manoharan, A.; Begam, K.M.; Aparow, V.R.; Sooriamoorthy, D. Artificial Neural Networks, Gradient Boosting and Support Vector Machines for electric vehicle battery state estimation: A review. J. Energy Storage 2022, 55, 29. [Google Scholar] [CrossRef]
- Cui, Z.J.; Hu, W.H.; Zhang, G.Z.; Zhang, Z.Y.; Chen, Z. An extended Kalman filter based SOC estimation method for Li-ion battery. Energy Rep. 2022, 8, 81–87. [Google Scholar] [CrossRef]
- Zhang, T.R.; Huang, C.; Zhu, Q.J. Robust state of charge estimation for lithium-ion batteries in variable temperatures using truncated singular value decomposition Cubature Kalman Filter algorithm. Int. J. Electrochem. Sci. 2024, 19, 10. [Google Scholar] [CrossRef]
- Khalid, M.; Sheikh, S.S.; Janjua, A.K.; Khalid, H.A. Performance validation of electric vehicle’s battery management system under state of charge estimation for lithium-ion battery. In Proceedings of the 2018 International conference on computing, electronic and electrical engineering (ICE Cube), Southend, UK, 16–17 August 2018; pp. 1–5. [Google Scholar]
- Lin, J.S.; Yang, X.Q.; Zhou, J.; Wang, G.M.; Liu, J.S.; Yuan, Y.L. Algorithm of BPNN-UKF based on a fusion model for SOC estimation in lithium-ion batteries. IET Power Electron. 2023, 16, 856–867. [Google Scholar] [CrossRef]
- He, Z.G.; Li, Y.T.; Sun, Y.Y.; Zhao, S.C.; Lin, C.J.; Pan, C.F.; Wang, L.M. State-of-charge estimation of lithium ion batteries based on adaptive iterative extended Kalman filter. J. Energy Storage 2021, 39, 7. [Google Scholar] [CrossRef]
- Fan, B.; Luan, X.Y.; Zhang, R.; Niu, T.L.; Xie, Y.J. Research on SOC Estimation Algorithm for Lithium Battery Based on EKF Algorithm and Ampere-hour Integration Method. In Proceedings of the 2nd International Conference on Electrical, Control and Automation Engineering (ECAE), Xiamen, China, 24–25 December 2017; pp. 101–105. [Google Scholar]
- Chen, S.W.; Chen, S.H.; Qiu, S.S.; Wu, C.; Ye, J.L.; Liu, C.; Sun, J.L.; Sun, C.Y. A SOC Estimation Method for Internal Short Circuit Battery based on EKF-FFRLS Algorithm. In Proceedings of the 20th IEEE Vehicle Power and Propulsion Conference (IEEE VPPC), Milan, Italy, 24–27 October 2023. [Google Scholar]
- Zhao, Y.M.; Xie, W.C.; Wu, J.H. A Novel SoC Estimation Method for Supercapacitor Cell Module Based on EKF-MF Hybrid Filtering Algorithm. J. Electr. Eng. Technol. 2024, 19, 4927–4940. [Google Scholar] [CrossRef]
- Tang, X.; Huang, H.; Zhong, X.W.; Wang, K.J.; Li, F.; Zhou, Y.H.; Dai, H.F. On-Line Parameter Identification and SOC Estimation for Lithium-Ion Batteries Based on Improved Sage-Husa Adaptive EKF. Energies 2024, 17, 13. [Google Scholar] [CrossRef]
- Xia, Y.H.; Ye, Z.H.; Huang, L.M.; Sun, L.C.; Jiang, Y.X. Research on a High-Precision State-of-Charge Estimation Method Based on Forgetting Factor Recursive Least Squares and Adaptive Extended Kalman Filter Applied to LiFePO4 Battery. Electronics 2023, 12, 15. [Google Scholar] [CrossRef]
- Du, J.H.; Wang, J.B.; Tan, B.R.; Cao, X.; Qu, C.; Ou, Y.J.; He, X.F.; Xiong, L.J.; Tu, R. Estimation of battery state of charge based on changing window adaptive extended Kalman filtering. J. Energy Storage 2024, 103, 16. [Google Scholar] [CrossRef]
- Ma, H.L.; Bao, X.Y.; Lopes, A.; Chen, L.P.; Liu, G.Q.; Zhu, M. State-of-Charge Estimation of Lithium-Ion Battery Based on Convolutional Neural Network Combined with Unscented Kalman Filter. Batteries 2024, 10, 14. [Google Scholar] [CrossRef]
- Liu, D.L.; Wang, S.L.; Fan, Y.C.; Fernandez, C.; Blaabjerg, F. A novel multi-factor fuzzy membership function- adaptive extended Kalman filter algorithm for the state of charge and energy joint estimation of electric-vehicle lithium-ion batteries. J. Energy Storage 2024, 86, 11. [Google Scholar] [CrossRef]
- Qiao, J.; Wang, S.; Yu, C.; Yang, X.; Fernandez, C. A chaotic firefly-particle filtering method of dynamic migration modeling for the state-of-charge and state-of-health co-estimation of a lithium-ion battery performance. Energy 2023, 263, 126164. [Google Scholar] [CrossRef]
- Tang, R.; Zhang, S.; Zhang, S.; Zhang, Y.; Lai, J. Parameter identification for lithium batteries: Model variable-coupling analysis and a novel cooperatively coevolving identification algorithm. Energy 2023, 263, 125762. [Google Scholar]
- Kim, S.; Kim, S.; Choi, Y.Y.; Choi, J.-I. Bayesian parameter identification in electrochemical model for lithium-ion batteries. J. Energy Storage 2023, 71, 108129. [Google Scholar]
- Ren, B.Y.; Xie, C.X.; Sun, X.D.; Zhang, Q.; Yan, D. Parameter identification of a lithium-ion battery based on the improved recursive least square algorithm. IET Power Electron. 2020, 13, 2531–2537. [Google Scholar] [CrossRef]
- Li, R.; Wang, Z.; Yu, J.; Lei, Y.; Zhang, Y.; He, J. Dynamic parameter identification of mathematical model of lithium-ion battery based on least square method. In Proceedings of the 2018 IEEE International Power Electronics and Application Conference and Exposition (PEAC), Shenzhen, China, 4–7 November 2018; pp. 1–5. [Google Scholar]
- Yang, J.J.; Wang, S.L.; Chen, L.; Qiao, J.L.; Fernandez, C.; Guerrero, J.M. High-precision State of Charge Estimation of Lithium-ion Batteries Based on Joint Compression Factor Particle Swarm Optimization-Forgetting Factor Recursive Least Square-Adaptive Extended Kalman Filtering. J. Electrochem. Soc. 2023, 170, 9. [Google Scholar] [CrossRef]
- Ge, C.A.; Zheng, Y.P.; Yu, Y. State of charge estimation of lithium-ion battery based on improved forgetting factor recursive least squares-extended Kalman filter joint algorithm. J. Energy Storage 2022, 55, 7. [Google Scholar] [CrossRef]
- Xiao, W.J.; Wang, S.L.; Yu, C.M.; Yang, X.; Qiu, J.S.; Fernandez, C. Online Parameter Identification and State of Charge Estimation of Lithium-Ion Batteries Based on Improved Artificial Fish Swarms Forgetting Factor Least Squares and Differential Evolution Extended Kalman Filter. J. Electrochem. Soc. 2022, 169, 13. [Google Scholar] [CrossRef]
- Sun, X.D.; Ji, J.R.; Ren, B.Y.; Xie, C.X.; Yan, D. Adaptive Forgetting Factor Recursive Least Square Algorithm for Online Identification of Equivalent Circuit Model Parameters of a Lithium-Ion Battery. Energies 2019, 12, 15. [Google Scholar] [CrossRef]
- Shrivastava, P.; Soon, T.K.; Bin Idris, M.Y.; Mekhilef, S. Lithium-ion Battery Model Parameter Identification Using Modified Adaptive Forgetting Factor-Based Recursive Least Square Algorithm. In Proceedings of the 12th IEEE Energy Conversion Congress and Exposition-Asia (ECCE-Asia), Singapore, 24–27 May 2021; pp. 2169–2174. [Google Scholar]
- Shi, N.; Chen, Z.W.; Niu, M.; He, Z.J.; Wang, Y.R.; Cui, J. State-of-charge estimation for the lithium-ion battery based on adaptive extended Kalman filter using improved parameter identification. J. Energy Storage 2022, 45, 13. [Google Scholar] [CrossRef]
- Xing, X.; Wei, W.; Long, C. Order Reduction of Lithium-ion Battery Model Based on Solid State Diffusion Dynamics via Large Scale Systems Theory. J. Electrochem. Soc. 2016, 163, A1429–A1441. [Google Scholar]
- Magri, L.; Sequino, L.; Ferrari, C. Simulating the Electrochemical-Thermal Behavior of a Prismatic Lithium-Ion Battery on the Market under Various Discharge Cycles. Batteries 2023, 9, 397. [Google Scholar] [CrossRef]
- Li, W.F.; Ren, R.; Ma, H.F.; Wang, Y.X.; Wang, J.X.; Yang, W. Online SoC Estimation for Lithium-ion Batteries Based on the OCV Online Calculation and Coulomb Counting Method. In Proceedings of the IEEE/IAS Industrial and Commercial Power System Asia (IEEE I and CPS Asia), Chongqing, China, 7–9 July 2023; pp. 1824–1830. [Google Scholar]
- Wang, H.; Zheng, Y.P.; Yu, Y. Joint Estimation of SOC of Lithium Battery Based on Dual Kalman Filter. Processes 2021, 9, 10. [Google Scholar] [CrossRef]
- Park, D.-J.; Jun, B.-E.; Kim, J.-H. Fast tracking RLS algorithm using novel variable forgetting factor with unity zone. Electron. Lett. 1991, 27, 2150–2151. [Google Scholar]
- Song, Q.; Mi, Y.X.; Lai, W.X. A Novel Variable Forgetting Factor Recursive Least Square Algorithm to Improve the Anti-Interference Ability of Battery Model Parameters Identification. IEEE Access 2019, 7, 61548–61557. [Google Scholar] [CrossRef]















| Parameter Type | Parameter Value |
|---|---|
| Nominal capacity/(Ah) | 2 |
| Nominal voltage/V | 3.6 |
| Charging cut-off voltage/V | 4.2 |
| Discharging cut-off voltage/V | 2.5 |
| Temperature | ||||||||
|---|---|---|---|---|---|---|---|---|
| 0 °C | −5.203 | 31.861 | −67.960 | 68.155 | −33.602 | 8.108 | 2.820 | 0.9997 |
| 25 °C | 7.384 | −17. 320 | 8.980 | 6.875 | −7.650 | 2.636 | 3.271 | 0.9997 |
| 45 °C | 12.443 | −35.176 | 33.668 | −9.983 | −1.796 | 1.702 | 3.326 | 0.9998 |
| Temperature | DST | FUDS | BJDST | US06 |
|---|---|---|---|---|
| 0 °C | 6.91 | 6.72 | 5.25 | 7.70 |
| 25 °C | 3.96 | 3.34 | 6.61 | 2.92 |
| 45 °C | 3.75 | 5.64 | 2.96 | 3.12 |
Disclaimer/Publisher’s Note: The statements, opinions and data contained in all publications are solely those of the individual author(s) and contributor(s) and not of MDPI and/or the editor(s). MDPI and/or the editor(s) disclaim responsibility for any injury to people or property resulting from any ideas, methods, instructions or products referred to in the content. |
© 2025 by the authors. Licensee MDPI, Basel, Switzerland. This article is an open access article distributed under the terms and conditions of the Creative Commons Attribution (CC BY) license (https://creativecommons.org/licenses/by/4.0/).
Share and Cite
Zhao, X.; Zhang, Z.; Liu, X.; Cai, Y. Joint Adaptive Assessment of the State of Charge of Lithium Batteries at Varying Temperatures. Batteries 2025, 11, 130. https://doi.org/10.3390/batteries11040130
Zhao X, Zhang Z, Liu X, Cai Y. Joint Adaptive Assessment of the State of Charge of Lithium Batteries at Varying Temperatures. Batteries. 2025; 11(4):130. https://doi.org/10.3390/batteries11040130
Chicago/Turabian StyleZhao, Xuejuan, Zhigang Zhang, Xinyang Liu, and Yuanxiao Cai. 2025. "Joint Adaptive Assessment of the State of Charge of Lithium Batteries at Varying Temperatures" Batteries 11, no. 4: 130. https://doi.org/10.3390/batteries11040130
APA StyleZhao, X., Zhang, Z., Liu, X., & Cai, Y. (2025). Joint Adaptive Assessment of the State of Charge of Lithium Batteries at Varying Temperatures. Batteries, 11(4), 130. https://doi.org/10.3390/batteries11040130

