Sign in to use this feature.

Years

Between: -

Subjects

remove_circle_outline
remove_circle_outline
remove_circle_outline
remove_circle_outline
remove_circle_outline
remove_circle_outline
remove_circle_outline
remove_circle_outline
remove_circle_outline

Journals

remove_circle_outline
remove_circle_outline
remove_circle_outline
remove_circle_outline
remove_circle_outline
remove_circle_outline
remove_circle_outline

Article Types

Countries / Regions

remove_circle_outline
remove_circle_outline
remove_circle_outline
remove_circle_outline
remove_circle_outline

Search Results (1,103)

Search Parameters:
Keywords = SOC estimation

Order results
Result details
Results per page
Select all
Export citation of selected articles as:
13 pages, 1191 KB  
Article
Empirically Based Estimates of Soil Organic Carbon Gains After Ecosystem Restoration and Their Global Climate Benefits
by Irene Ascenzi, Jelle P. Hilbers, Marieke M. van Katwijk, Mark A. J. Huijbregts and Steef V. Hanssen
Sustainability 2026, 18(5), 2516; https://doi.org/10.3390/su18052516 - 4 Mar 2026
Abstract
Ecosystem restoration is increasingly recognized as a sustainable climate change mitigation strategy, yet global estimates of its carbon sequestration potential widely vary. Modeling-based studies differ in assumptions over key restoration aspects, including restorable areas and restoration outcomes. Many assume recovery of carbon stocks [...] Read more.
Ecosystem restoration is increasingly recognized as a sustainable climate change mitigation strategy, yet global estimates of its carbon sequestration potential widely vary. Modeling-based studies differ in assumptions over key restoration aspects, including restorable areas and restoration outcomes. Many assume recovery of carbon stocks to pristine levels, an expectation not supported by empirical evidence. They also focus primarily on forests and biomass, with limited attention to soil organic carbon (SOC). Here, we estimate the global SOC sequestration potential of forest and grassland restoration by combining current SOC levels on degraded land areas available for restoration with empirically derived SOC increase factors at the ecosystem scale. We provide spatially explicit estimates of SOC sequestration potential, absolute and per hectare. We also assess the carbon sequestration potential achievable under national forest restoration pledges across four major resolutions. With 1223 million hectares (Mha) of degraded land globally, the SOC sequestration potential is 38.5 GtC, of which 35.1 GtC (IQR 30.4–39.3 GtC) in forests and 3.4 GtC (IQR 2.6–4.2) in grasslands. National pledges cover 133 Mha, whose restoration could sequester 4–5.5 Gt of SOC. We show that there is a large unexplored theoretical climate mitigation potential of restoration globally. Environmental policies targeting Southeast Asia and South America, where potential is high and pledges are low, are particularly promising. Full article
(This article belongs to the Special Issue Land Degradation, Soil Conservation and Reclamation)
Show Figures

Figure 1

26 pages, 12290 KB  
Article
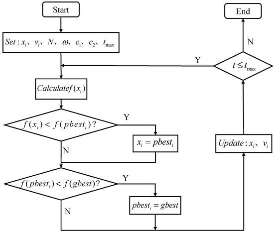
State of Charge Estimation Method for Lithium-Ion Batteries Based on Online Parameter Identification and QPSO-AUKF
by Hai Guo, Zhaohui Li, Haoze Xue and Jing Luo
Batteries 2026, 12(3), 84; https://doi.org/10.3390/batteries12030084 - 1 Mar 2026
Viewed by 112
Abstract
Accurate estimation of the state of charge (SOC) is essential for the safe and efficient operation of lithium-ion batteries. Conventional Adaptive Unscented Kalman Filter (AUKF) methods often exhibit limited accuracy, primarily due to the empirical selection of process and measurement noise covariance matrices. [...] Read more.
Accurate estimation of the state of charge (SOC) is essential for the safe and efficient operation of lithium-ion batteries. Conventional Adaptive Unscented Kalman Filter (AUKF) methods often exhibit limited accuracy, primarily due to the empirical selection of process and measurement noise covariance matrices. To overcome this limitation, this study proposes a QPSO-AUKF algorithm based on a second-order RC equivalent circuit model, which integrates Quantum-behaved Particle Swarm Optimization (QPSO) with online parameter identification. In this approach, the QPSO algorithm optimizes the noise covariance matrices, which are subsequently used within the AUKF framework for SOC estimation. MATLAB R2020a simulations conducted on the Maryland and Wisconsin datasets demonstrate that the QPSO-AUKF reduces the root mean square error (RMSE) by more than 60% compared with the conventional AUKF, indicating a significant improvement in SOC estimation accuracy. Full article
Show Figures

Figure 1

24 pages, 12156 KB  
Article
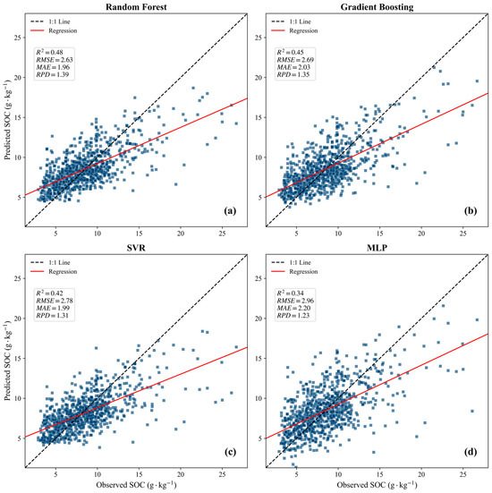
Unveiling the “Sparse Carbon Pool”: High-Resolution Mapping and Storage Estimation of Topsoil Organic Carbon in Arid Xinjiang, China
by Yunhao Li, Mingjie Shi, Shanshan Wang, Wenhui Liu, Pengfei Wang, Xiangge Wang, Jia Guo and Hongqi Wu
Remote Sens. 2026, 18(5), 728; https://doi.org/10.3390/rs18050728 - 28 Feb 2026
Viewed by 152
Abstract
High-resolution mapping of soil organic carbon (SOC) in arid regions remains challenging. Using Xinjiang as a case study, this research constructed a prediction framework integrating Boruta feature selection with the Random Forest (RF) algorithm to achieve refined mapping of topsoil SOC. Results indicated [...] Read more.
High-resolution mapping of soil organic carbon (SOC) in arid regions remains challenging. Using Xinjiang as a case study, this research constructed a prediction framework integrating Boruta feature selection with the Random Forest (RF) algorithm to achieve refined mapping of topsoil SOC. Results indicated that: (1) Among the tested machine learning models, the Boruta–RF framework achieved the highest predictive performance (R2 = 0.48, with the lowest RMSE); (2) Evapotranspiration (ET) and Vapor Pressure Deficit (VPD) were dominant drivers, with the stepwise increase in ET and negative inhibition of VPD confirming the decisive role of hydrothermal fluxes in regulating carbon input; (3) The total SOC storage was estimated at approximately 3.20 Pg C. Despite low carbon density, the desert ecosystem contributed 44.33% of the total storage, constituting a massive Sparse Carbon Pool. This study confirms the necessity of incorporating hydrothermal parameters and highlights that neglecting desert ecosystems leads to a significant underestimation of regional carbon storage. Full article
Show Figures

Figure 1

16 pages, 2748 KB  
Article
Estimation and Spatial Mapping of Soil Carbon Stock in the Perigi, South Sumatra, Indonesia, Considering Peat Depth Variability
by Jumi Cha, Minjeong Kim, Sunjeoung Lee, Jinwoo Park and Eunho Choi
Forests 2026, 17(3), 299; https://doi.org/10.3390/f17030299 - 26 Feb 2026
Viewed by 108
Abstract
Tropical peatlands are major carbon sinks that store a significant portion of the world’s soil carbon. Although approximately 37% of the world’s tropical peatlands are located in Indonesia, these ecosystems face continuous degradation from drainage and fires. Despite the urgent need for restoration, [...] Read more.
Tropical peatlands are major carbon sinks that store a significant portion of the world’s soil carbon. Although approximately 37% of the world’s tropical peatlands are located in Indonesia, these ecosystems face continuous degradation from drainage and fires. Despite the urgent need for restoration, precise local-scale baseline data remain insufficient. This study identified the spatial distribution of peat depth and soil organic carbon (SOC) stocks in Perigi, South Sumatra, an area currently lacking foundational information. We conducted field surveys at 73 sampling locations in Perigi to analyze peat depth and SOC content, developing predictive models using satellite-derived environmental variables. Based on these models, the study estimated spatial distributions and generated spatial uncertainty maps. The results indicate the potential existence of peatlands in areas not reflected in existing national maps, highlighting the necessity of detailed local-scale assessments. Furthermore, hydrological factors exerted a strong influence on both models, suggesting that the hydrological environment is a primary determinant of peatland formation in Perigi. These findings provide a scientific basis for understanding spatial characteristics and discussing future restoration and management strategies for vulnerable tropical peatland ecosystems. Full article
Show Figures

Figure 1

17 pages, 1450 KB  
Article
Research on SoC Estimation of Lithium Batteries Based on LDL-MIAUKF Algorithm
by Zhihua Xu and Tinglong Pan
Eng 2026, 7(3), 100; https://doi.org/10.3390/eng7030100 - 24 Feb 2026
Viewed by 136
Abstract
Accurate state-of-charge (SoC) estimation is essential for ensuring the safety, efficiency, and longevity of lithium-ion batteries in electric vehicles and energy storage systems. However, conventional methods such as ampere-hour (AH) integration and the extended Kalman filter (EKF) often suffer from error accumulation, sensitivity [...] Read more.
Accurate state-of-charge (SoC) estimation is essential for ensuring the safety, efficiency, and longevity of lithium-ion batteries in electric vehicles and energy storage systems. However, conventional methods such as ampere-hour (AH) integration and the extended Kalman filter (EKF) often suffer from error accumulation, sensitivity to initial conditions, and inadequate handling of strong nonlinearities and time-varying noise. To overcome these limitations, this paper proposes a novel LDL-Decomposition-Based Multi-Innovation Adaptive Unscented Kalman Filter (LDL-MIAUKF) algorithm that integrates three key innovations: (1) multi-innovation theory to exploit historical measurement sequences for enhanced state correction; (2) an adaptive mechanism to dynamically adjust process and observation noise covariances in real time; and (3) LDL decomposition (instead of Cholesky) to guarantee numerical stability and positive definiteness of the covariance matrix during sigma point generation. A second-order RC equivalent circuit model is established for the lithium battery, and its parameters are identified online using the forgetting factor recursive least squares (FFRLS) method under Hybrid Pulse Power Characterization (HPPC) test conditions. The proposed LDL-MIAUKF algorithm is then applied to estimate SoC using real battery data. Experimental results demonstrate that the LDL-MIAUKF achieves a maximum SoC estimation error of less than 1% at 25 °C and effectively tracks the reference SoC with high robustness. Furthermore, the terminal voltage prediction error of the identified model remains within ±0.1 V, confirming model accuracy. These results validate that the proposed LDL-MIAUKF algorithm significantly improves estimation accuracy, stability, and adaptability, making it a promising solution for advanced battery management systems. Full article
(This article belongs to the Section Electrical and Electronic Engineering)
Show Figures

Figure 1

29 pages, 3504 KB  
Article
REGENA: Financial Engineering for Carbon Farming
by Georgios Karakatsanis, Dimitrios Managoudis and Emmanouil Makronikolakis
Land 2026, 15(2), 349; https://doi.org/10.3390/land15020349 - 20 Feb 2026
Viewed by 236
Abstract
Our work develops the financial engineering module of the REGENerative Agriculture (REGENA) Production Function, with Soil Organic Carbon (SOC) as ecosystem service and contract underlying index, contributing to the global literature and business practices. Specifically, we design and engineer a 30-year Net Present [...] Read more.
Our work develops the financial engineering module of the REGENerative Agriculture (REGENA) Production Function, with Soil Organic Carbon (SOC) as ecosystem service and contract underlying index, contributing to the global literature and business practices. Specifically, we design and engineer a 30-year Net Present Value (NPV) intergenerational ecological bond instrument tailored for carbon farming (CF) as a part of regenerative practices. With SOC constituting a fundamental soil health indicator for the European Union Soil Observatory (EUSO), we model the flow of value from atmospheric CO2 removal and its metabolism into SOC within a stochastic SOC Value at Risk (VaR) framework. We assess the SOC VaR in five experimental plots in five Mediterranean countries in South Europe and North Africa for three different treatments in each plot. In turn, the SOC VaR is incorporated into an adjusted Shannon entropy index (H(X)ADJ) to estimate the coefficient of a positive, net-zero, or negative carbon balance and further assess the risk-adjusted discount rate. The monetary value per gram of carbon per kilogram of soil (g C/kg Soil) signifies a clear advantage of combined regenerative treatments. Finally, three selected extensions of our work are discussed, such as the application of the framework to other nutrients, the establishment full cost–benefit accounting methods for monetizing the environmental benefits of CF to upscale investments and the lifecycle accounting of ecosystem services. Full article
(This article belongs to the Special Issue Economic Perspectives on Land Use and Valuation)
Show Figures

Figure 1

20 pages, 1526 KB  
Article
A Model-Based Framework for Lithium-Ion Battery SoC Estimation Using a Tuning-Light Discrete-Time Sliding-Mode Observer
by Sajad Saberi and Jaber A. Abu Qahouq
Modelling 2026, 7(1), 42; https://doi.org/10.3390/modelling7010042 - 16 Feb 2026
Viewed by 226
Abstract
Reliable state-of-charge (SoC) estimation is crucial for safe and efficient battery management. However, it is challenging in practice. Terminal-voltage sensitivity becomes weak in open-circuit-voltage (OCV) plateau regions. Model uncertainty also persists at practical sampling periods. To tackle this issue, this paper proposes a [...] Read more.
Reliable state-of-charge (SoC) estimation is crucial for safe and efficient battery management. However, it is challenging in practice. Terminal-voltage sensitivity becomes weak in open-circuit-voltage (OCV) plateau regions. Model uncertainty also persists at practical sampling periods. To tackle this issue, this paper proposes a discrete-time, model-based SoC estimation framework. This framework combines a dual-polarization equivalent-circuit model with a tuning-light sliding-mode observer. It is specifically designed for digitally sampled battery management systems. The modeling stage includes: (i) a discrete-time DP representation suitable for embedded use, (ii) a shape-preserving PCHIP reconstruction of the OCV–SoC curve and its derivative, and (iii) an effective-slope regularization mechanism that maintains non-vanishing output sensitivity even in flat OCV regions. On top of this structure, a boundary-layer SMO is developed with output-error shaping, model-driven gain scaling, and simple bias-compensation terms based on integral correction and leaky Coulomb counting. A discrete-time Lyapunov analysis is conducted directly on the surface dynamics. This analysis shows finite-time reaching to the boundary layer and a practical limit on the steady-state error that depends on the sampling period, disturbance level, and boundary-layer width. Numerical tests on a DP model identified from experimental data indicate that the proposed method achieves SoC accuracy similar to a switching-gain adaptive SMO. The results confirm the benefits of a model-centric design. The discrete-time formulation and convergence proof, which do not depend on high sampling rates, provide robustness advantages over traditional sliding-mode methods. The proposed method also performs better than a tuned EKF in plateau regions, requiring much less tuning effort. Full article
(This article belongs to the Special Issue The 5th Anniversary of Modelling)
Show Figures

Figure 1

31 pages, 6189 KB  
Article
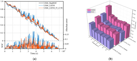
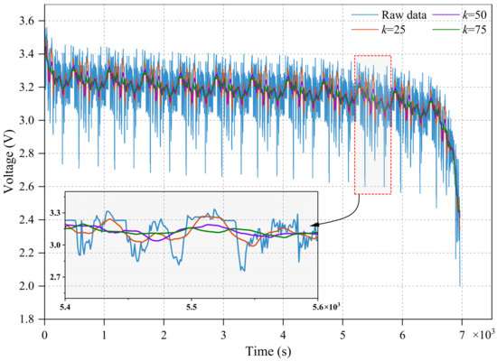
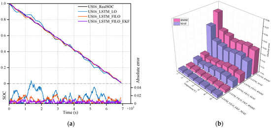
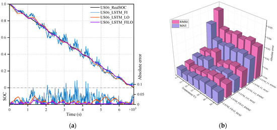
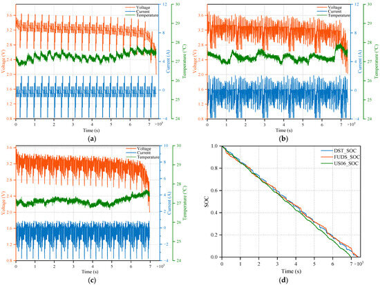
A Data-Driven Method Based on Feature Engineering and Physics-Constrained LSTM-EKF for Lithium-Ion Battery SOC Estimation
by Yujuan Sun, Shaoyuan You, Fangfang Hu and Jiuyu Du
Batteries 2026, 12(2), 64; https://doi.org/10.3390/batteries12020064 - 14 Feb 2026
Viewed by 328
Abstract
Accurate estimation of the State of Charge (SOC) for lithium-ion batteries is a core function of the Battery Management System (BMS). However, LiFePO4 batteries present specific challenges for SOC estimation due to the characteristic plateau in their open-circuit voltage (OCV) versus SOC [...] Read more.
Accurate estimation of the State of Charge (SOC) for lithium-ion batteries is a core function of the Battery Management System (BMS). However, LiFePO4 batteries present specific challenges for SOC estimation due to the characteristic plateau in their open-circuit voltage (OCV) versus SOC relationship. Moreover, data-driven estimation approaches often face significant difficulties stemming from measurement noise and interference, the highly nonlinear internal dynamics of the battery, and the time-varying nature of key battery parameters. To address these issues, this paper proposes a Long Short-Term Memory (LSTM) model integrated with feature engineering, physical constraints, and the Extended Kalman Filter (EKF). First, the model’s temporal perception of the historical charge–discharge states of the battery is enhanced through the fusion of temporal voltage information. Second, a post-processing strategy based on physical laws is designed, utilizing the Particle Swarm Optimization (PSO) algorithm to search for optimal correction factors. Finally, the SOC obtained from the previous steps serves as the observation input to EKF filtering, enabling a probabilistically weighted fusion of the data-driven model output and the EKF to improve the model’s dynamic tracking performance. When applied to SOC estimation of LiFePO4 batteries under various operating conditions and temperatures ranging from 0 °C to 50 °C, the proposed model achieves average Mean Absolute Error (MAE) and Root Mean Square Error (RMSE) as low as 0.46% and 0.56%, respectively. These results demonstrate the model’s excellent robustness, adaptability, and dynamic tracking capability. Additionally, the proposed approach only requires derived features from existing input data without the need for additional sensors, and the model exhibits low memory usage, showing considerable potential for practical BMS implementation. Furthermore, this study offers an effective technical pathway for state estimation under a “physical information–data-driven–filter fusion” framework, enabling accurate SOC estimation of lithium-ion batteries across multiple operating scenarios. Full article
Show Figures

Graphical abstract

30 pages, 2498 KB  
Article
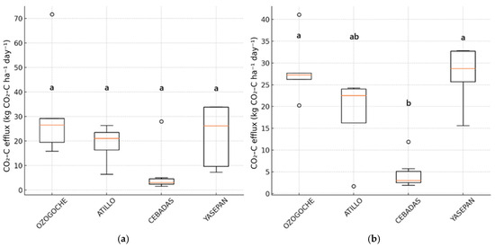
Soil Health and Water Quality Linkages in High-Andean Riparian Ecosystems
by Andrés A. Beltrán-Dávalos, Cristian Salazar, Agustín Merino, Xosé Luis Otero, Magdy Echeverría and Anna I. Kurbatova
Sustainability 2026, 18(4), 1935; https://doi.org/10.3390/su18041935 - 13 Feb 2026
Viewed by 275
Abstract
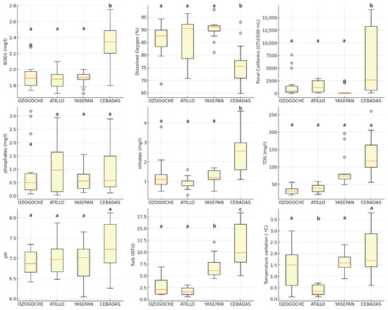
This study evaluated the influence of soil health in riparian and ecotone zones on water quality in four high-Andean rivers (Atillo, Ozogoche, Yasepan, and Cebadas) within the Cebadas River sub-basin, Ecuador. Soil and water samples were collected from 20 sites during three field [...] Read more.
This study evaluated the influence of soil health in riparian and ecotone zones on water quality in four high-Andean rivers (Atillo, Ozogoche, Yasepan, and Cebadas) within the Cebadas River sub-basin, Ecuador. Soil and water samples were collected from 20 sites during three field campaigns (2022–2024). Soil properties included organic carbon concentration, soil organic carbon stock (SOC), bulk density, moisture, and potential microbial activity estimated through laboratory CO2–C efflux. Water quality parameters were integrated into the National Sanitation Foundation Water Quality Index (NSF-WQI), and riparian condition was assessed using the QBR-And index. Multivariate statistical approaches, including Random Forest and Classification and Regression Trees (CART), were used to identify the most influential predictors of ecosystem quality. Results revealed marked spatial contrasts. Riparian SOC stocks ranged from 22.8 to 32.8 Mg C/ha in the more disturbed Cebadas and Yasepan rivers to 91.4–133.6 Mg C/ha in the better-conserved Atillo and Ozogoche systems. Sites with higher SOC and lower bulk density consistently exhibited better water quality, with NSF-WQI values classified as “good”, whereas more degraded sites showed lower riparian quality and “fair” water quality. Riparian forest quality was strongly correlated with water quality (r = 0.81). Random Forest models identified ammoniacal nitrogen, fecal coliforms, and altitude as the most influential predictors of riparian ecosystem condition. These findings demonstrate that soil health and riparian integrity are tightly linked to water quality patterns in high-Andean fluvial systems and support their integration into ecosystem-based watershed management. Full article
Show Figures

Figure 1

21 pages, 12481 KB  
Article
Research on Multi-State Estimation Strategy for Lithium-Ion Batteries Considering Temperature Bias
by Zhihai Zeng, Yajun Wang and Siyuan Wang
Appl. Sci. 2026, 16(4), 1754; https://doi.org/10.3390/app16041754 - 10 Feb 2026
Viewed by 237
Abstract
Accurate state estimation is a key technology for improving battery utilization and ensuring operational safety in electric vehicles. The joint estimation of the state of charge (SOC) and the state of power (SOP) over a wide temperature range is therefore essential for intelligent [...] Read more.
Accurate state estimation is a key technology for improving battery utilization and ensuring operational safety in electric vehicles. The joint estimation of the state of charge (SOC) and the state of power (SOP) over a wide temperature range is therefore essential for intelligent battery management systems. To address modeling uncertainties and estimation accuracy degradation induced by ambient temperature variations, a dual-polarization equivalent circuit thermal model incorporating temperature bias is proposed, and online parameter updating is achieved using the forgetting factor recursive least squares (FFRLS) algorithm. Furthermore, an unscented particle filter (UPF) is constructed by employing the unscented Kalman filter (UKF) as the proposal density function of the particle filter, thereby improving the estimation accuracy and convergence speed of SOC under wide temperature conditions. Based on the coupling relationship between SOC and SOP, a stepwise progressive strategy is then developed to predict the peak power state under multiple constraints, enhancing the robustness of SOP estimation. Simulation and experimental results demonstrate that the proposed method can accurately estimate SOC and SOP under complex operating conditions over a wide temperature range from −5 °C to 45 °C, exhibiting favorable convergence performance and estimation accuracy, which contributes to the safe operation and performance optimization of electric vehicle battery systems. Full article
Show Figures

Figure 1

34 pages, 5860 KB  
Article
A Novel μ-Analysis-Based Estimator for State of Charge and State of Health Estimation in Lithium-Ion Batteries for Electric Vehicles
by Chadi Nohra, Raymond Ghandour, Bechara Nehme, Mahmoud Khaled and Rachid Outbib
World Electr. Veh. J. 2026, 17(2), 86; https://doi.org/10.3390/wevj17020086 - 9 Feb 2026
Viewed by 628
Abstract
Because of their great energy density and efficiency, lithium-ion batteries (LIBs) are essential to renewable energy systems and electric vehicles. Effective battery management requires precise estimation of the state of health (SoH) and state of charge (SoC). In order to overcome the difficulties [...] Read more.
Because of their great energy density and efficiency, lithium-ion batteries (LIBs) are essential to renewable energy systems and electric vehicles. Effective battery management requires precise estimation of the state of health (SoH) and state of charge (SoC). In order to overcome the difficulties caused by parameter fluctuations and real-world disturbances, this work presents a novel μ-analysis-based methodology designed to improve the resilience and accuracy of online SoC and SoH estimations in LIBs. In contrast to conventional techniques, the suggested strategy successfully manages both structured and unstructured uncertainties in battery systems by combining μ-analysis with model-based estimation. The framework creates an estimator that is resistant to parameter drift and outside perturbations by combining model-based estimation approaches with μ-analysis tools. Simulations using UDDS, US06, and HWFET driving cycles are used to verify its performance. When evaluating battery health and condition in dynamic and uncertain operating scenarios, the μ-analysis-based estimator demonstrates superior accuracy compared to conventional H∞-pole placement filter methods. The proposed approach enhances system robustness, achieving an 8 dB improvement in disturbance attenuation, as verified through MATLAB/Simulink. Stability analysis reveals the μ-analysis controller maintains robust performance up to ‖∆‖∞ = 3.5 at 10 Hz, compared to only ‖∆‖∞ = 1.5 for the H∞-pole placement controller—demonstrating significantly greater tolerance to parameter variations and unmodeled dynamics. These capabilities make the μ-analysis approach particularly suitable for electric vehicle applications requiring next-generation battery management systems. Full article
(This article belongs to the Section Storage Systems)
Show Figures

Graphical abstract

24 pages, 4118 KB  
Article
Airborne Laser Scanning for Large-Scale Forest Carbon Quantification: A Comparison of LiDAR Single-Tree and Field-Based Methods
by Mark Corrao, Logan Wimme, Josh Butler, Joel Glaze, Greg Latta and Danika Trierweiler
Remote Sens. 2026, 18(4), 547; https://doi.org/10.3390/rs18040547 - 8 Feb 2026
Viewed by 323
Abstract
This study evaluated airborne laser scanning (ALS) as a large-scale tool for forest carbon quantification by comparing ALS-derived estimates with traditional field sampling across multiple forest strata. Above-ground biomass was estimated using two different, commonly used equations, while below-ground biomass was derived from [...] Read more.
This study evaluated airborne laser scanning (ALS) as a large-scale tool for forest carbon quantification by comparing ALS-derived estimates with traditional field sampling across multiple forest strata. Above-ground biomass was estimated using two different, commonly used equations, while below-ground biomass was derived from peer-reviewed root-to-shoot ratios. ALS and field estimates differed across forest strata and carbon pools: ALS detected higher live tree carbon in harvested areas—capturing residual trees often missed in traditional cruises—but underestimated dead wood carbon, relative to field-based methods. Consistent differences were also observed between biomass equations, with Woodall estimates being 12.8% and 16.7% lower than Jenkins estimates for ALS and field methods, respectively. The study further incorporated soil organic carbon (SOC) and carbon dating data, providing additional insight into subsurface carbon stocks and the temporal dynamics of forest carbon pools. Overall, ALS proved to be an efficient, repeatable, and scalable method for carbon assessment, offering clear advantages in monitoring carbon flux over time when integrated with forest management protocols. Although further research is needed to refine biomass equations and explore emerging technologies such as Geiger Mode LiDAR, ALS has strong potential to enhance forest carbon crediting processes and support climate change mitigation goals. Full article
(This article belongs to the Special Issue Advancements in LiDAR Technology and Applications in Remote Sensing)
Show Figures

Figure 1

16 pages, 1915 KB  
Article
State-of-Charge Estimation on Lithium-Ion 18650 Under Charging and Discharging Conditions: A Statistical and Metaheuristic Approach
by Ryan Yudha Adhitya, Noorman Rinanto, Rahardhita Widyatra Sudibyo, Sapto Wibowo, Nuryanti, Fendik Eko Purnomo, Muhammad Rizani Rusli, Sarosa Castrena Abadi, Chandra Wiharya, Faisal Lutfi Afriansyah, Anif Jamaluddin and Nurul Zainal Fanani
World Electr. Veh. J. 2026, 17(2), 83; https://doi.org/10.3390/wevj17020083 - 8 Feb 2026
Viewed by 416
Abstract
Battery management systems are essential in electric vehicles and renewable energy applications, especially in terms of ensuring optimal battery health and performance and regarding the state of charge (SOC) in batteries consisting of many cells. The lifetime and efficiency of the battery depend [...] Read more.
Battery management systems are essential in electric vehicles and renewable energy applications, especially in terms of ensuring optimal battery health and performance and regarding the state of charge (SOC) in batteries consisting of many cells. The lifetime and efficiency of the battery depend on the accuracy of the SOC parameter estimation. Moreover, systems that apply active balancing technology are able to move cells with high SOC data to cells with low SOC. Many methods have been developed, but their long execution time makes them less optimal when applied. High-speed SOC estimation is required in active balancing technology, in addition to high accuracy. Therefore, this study proposes the estimation of SOC parameters using a statistical and metaheuristic approach from voltage and current input data in each battery cell. The experimental results showed that the metaheuristic-based method (ANFIS) had better RSME and R2 values compared with the polynomial and linear regression or even the machine learning-based method (recurrent neural network) for training data. Full article
Show Figures

Figure 1

26 pages, 5552 KB  
Article
SOH- and Temperature-Aware Adaptive SOC Boundaries for Second-Life Li-Ion Batteries in Off-Grid PV–BESSs
by Hongyan Wang, Atthapol Ngaopitakkul and Suntiti Yoomak
Computation 2026, 14(2), 47; https://doi.org/10.3390/computation14020047 - 7 Feb 2026
Viewed by 291
Abstract
In this study, an adaptive state-of-charge (SOC) boundary strategy (ASBS) is proposed that dynamically adjusts the admissible upper and lower SOC limits of second-life lithium-ion batteries in off-grid photovoltaic battery energy storage systems (PV-BESSs) based on real-time state of health (SOH) and temperature [...] Read more.
In this study, an adaptive state-of-charge (SOC) boundary strategy (ASBS) is proposed that dynamically adjusts the admissible upper and lower SOC limits of second-life lithium-ion batteries in off-grid photovoltaic battery energy storage systems (PV-BESSs) based on real-time state of health (SOH) and temperature feedback. The strategy is formulated using a unified electrical–thermal–aging model with an online state estimator and ensures both electrical safety and power feasibility while remaining fully compatible with standard energy management functions. Two representative simulations—a single-day operating profile and a continuous thirty-day sequence—demonstrate the effectiveness of the ASBS. In the twenty-four-hour case, the duration spent in high state-of-charge conditions is reduced by approximately 0.30–0.50 h, the abrupt end-of-charging transition is eliminated, and the temperature rise is slightly moderated, all without any loss of energy supply. Over thirty days, the difference between the ASBS and a fixed state-of-charge window remains effectively zero for almost all hours, with only a brief midday deviation of −4 to −5 percentage points and no cumulative drift. Indicators of electrical and thermal stress improve substantially, including an approximate 70% reduction in the root mean square charging current. These results confirm that the ASBS provides a practical and non-intrusive means of mitigating stress on second-life lithium-ion batteries while preserving full energy autonomy in off-grid photovoltaic systems. Full article
(This article belongs to the Section Computational Engineering)
Show Figures

Figure 1

19 pages, 3201 KB  
Article
Detecting Drivers and Predicting Spatial Distribution of Soil Organic Carbon in an Arid Region Using Machine Learning
by Guiren Chen, Xianghe Ge, Zipeng Zhang and Lijing Han
Remote Sens. 2026, 18(4), 535; https://doi.org/10.3390/rs18040535 - 7 Feb 2026
Viewed by 302
Abstract
Soil organic carbon (SOC) plays a critical role in the terrestrial carbon cycle, yet its spatial patterns and drivers in arid regions remain poorly understood. This study aims to clarify SOC distribution mechanisms in the Akesai region, where limited water–heat conditions and land [...] Read more.
Soil organic carbon (SOC) plays a critical role in the terrestrial carbon cycle, yet its spatial patterns and drivers in arid regions remain poorly understood. This study aims to clarify SOC distribution mechanisms in the Akesai region, where limited water–heat conditions and land use create high environmental heterogeneity. Four machine learning models were applied to predict SOC content and produce high-resolution spatial maps, and SHAP analysis was used to quantify the contributions of key environmental variables. The Gradient Boosting model had the best performance (R2 = 0.675; RMSE = 1.304 g kg−1), followed by XGBoost, LightGBM, and Random Forest. The results indicated that the main factors controlling SOC variation were NDVI, DEM, sand, clay, mean temperature, and ERVI. Furthermore, NDVI and clay parameters were positively associated with promoted SOC accumulation, while sand showed a negative effect. Spatially, higher SOC values were found in mountainous zones and vegetated valleys, while low SOC values were observed in flat, arid plains. These findings demonstrate that incorporating vegetation-type indicators substantially improves large-scale SOC estimation and enhances our understanding of SOC spatial dynamics and the driving mechanisms in arid environments. This provides a scientific basis for carbon-stock assessment and sustainable land management. Full article
Show Figures

Figure 1

Back to TopTop