Magnetization, Band Gap and Specific Heat of Pure and Ion Doped MnFe2O4 Nanoparticles
Abstract
1. Introduction
2. Model and Methods
3. Numerical Results and Discussion
3.1. Size Dependence of the Magnetization and Curie Temperature
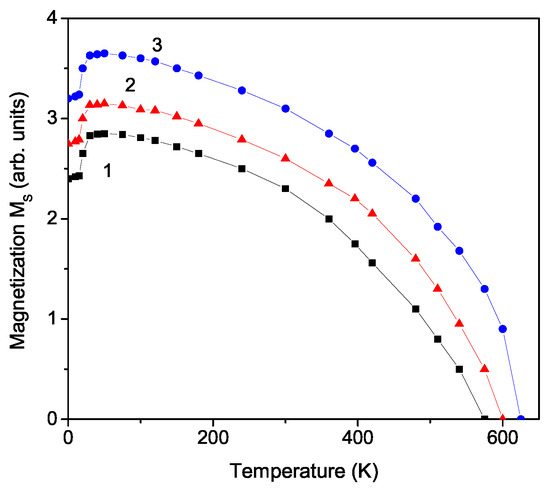
3.2. Ion Doping Dependence of the Magnetization and Curie Temperature
3.3. Ion Doping Dependence of the Band Gap Energy
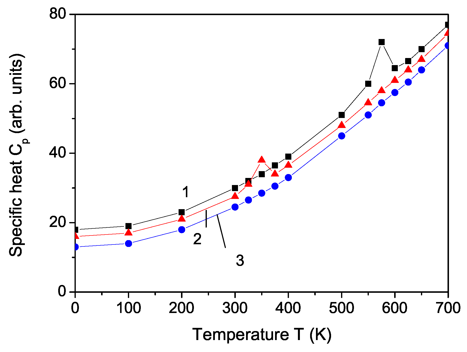
3.4. Temperature and Magnetic Field Dependence of the Specific Heat
4. Conclusions
Author Contributions
Funding
Institutional Review Board Statement
Informed Consent Statement
Data Availability Statement
Acknowledgments
Conflicts of Interest
References
- Akhlaghi, N.; Najafpour-Darzi, G. Manganese ferrite (MnFe2O4) Nanoparticles: From synthesis to application—A review. J. Ind. Eng. Chem. 2021, 103, 292. [Google Scholar] [CrossRef]
- Vamvakidis, K.; Katsikini, M.; Sakellari, D.; Paloura, E.C.; Kalogirou, O.; Dendrinou-Samara, C. Reducing the inversion degree of MnFe2O4 nanoparticles through synthesis to enhance magnetization: Evaluation of their 1H NMR relaxation and heating efficiency. Dalton Trans. 2014, 43, 12754. [Google Scholar] [CrossRef] [PubMed]
- Zuo, X.; Vittoria, C. Calculation of exchange integrals and electronic structure of manganese ferrite (MnFe2O4). J. Appl. Phys. 2003, 93, 8017. [Google Scholar] [CrossRef]
- Pereira, C.; Pereira, A.M.; Fernandes, C.; Rocha, M.; Mendes, R.; Fernandez-Garcia, M.; Guedes, A.; Tavares, P.B.; Greneche, J.-M.; Araujo, J.P.; et al. Superparamagnetic MFe2O4 (M = Fe, Co, Mn) Nanoparticles: Tuning the Particle Size and Magnetic Properties through a Novel One-Step Coprecipitation Route. Chem. Mater. 2012, 24, 1496. [Google Scholar] [CrossRef]
- Islam, K.; Haque, M.; Kumar, A.; Hoq, A.; Hyder, F.; Hoque, S.M. Manganese Ferrite Nanoparticles (MnFe2O4): Size Dependence for Hyperthermia and Negative/Positive Contrast Enhancement in MRI. Nanomaterials 2020, 10, 2297. [Google Scholar] [CrossRef]
- Chinnasamy, C.N.; Yang, A.; Yoon, S.D.; Hsu, K.; Shultz, M.D.; Carpenter, E.E.; Mukerjee, S.; Vittoria, C.; Harris, V.G. Size dependent magnetic properties and cation inversion in chemically synthesized MnFe2O4 nanoparticles. J. Appl. Phys. 2007, 101, 09M509. [Google Scholar] [CrossRef]
- Rivas, P.; Sagredo, V.; Rossi, F.; Pernechele, C.; Solzi, M.; Pena, O. Structural, Magnetic, and Optical Characterization of MnFe2O4 Nanoparticles Synthesized Via Sol-Gel Method. IEEE Trans. Magn. 2013, 49, 4568. [Google Scholar] [CrossRef]
- Yamasaki, Y.; Miyasaka, S.; Kaneko, Y.; He, J.; Arima, T.; Tokura, Y. Magnetic Reversal of the Ferroelectric Polarization in a Multiferroic Spinel Oxide. Phys. Rev. Lett. 2006, 96, 207204. [Google Scholar] [CrossRef]
- Chandunika, R.K.; Vijayaraghavan, R.; Sahu, N.K. Magnetic hyperthermia application of MnFe2O4 nanostructures processed through solvents with the varying boiling point. Mater. Res. Express 2020, 7, 064002. [Google Scholar] [CrossRef]
- Pottker, W.E.; Presa, P.d.; Gonçalves, M.A.; Ramalho, T.C.; Hernando, A.; La Porta, F.A. Nanocrystalline Spinel Manganese Ferrite MnFe2O4: Synthesis, Electronic Structure, and Evaluation of Their Magnetic Hyperthermia Applications. In Functional Properties of Advanced Engineering Materials and Biomolecules; La Porta, F.A., Taft, C.A., Eds.; Springer: Berlin/Heidelberg, Germany, 2021. [Google Scholar]
- Nguyen, L.H.; Phuc, N.X.; Manh, D.H.; Nam, N.H.; Truong, N.X.; Quynh, N.V.; Phong, P.T.; Nam, P.H.J. Size-Dependent Magnetic Heating of MnFe2O4 Nanoparticles. J. Electr. Mater. 2021, 50, 5318–5326. [Google Scholar] [CrossRef]
- Raland, R.D.; Saikia, D.; Borgohain, C.; Borah, J.P. Heating efficiency and correlation between the structural and magnetic properties of oleic acid coated MnFe2O4 nanoparticles for magnetic hyperthermia application. J. Phys. D Appl. Phys. 2017, 50, 325004. [Google Scholar] [CrossRef]
- Nepal, R.; Saghayezhian, M.; Zhang, J.; Ji, R. Observation of three magnetic states in spinel MnFe2O4 single crystals. J. Magn. Magn. Mater. 2020, 497, 165955. [Google Scholar] [CrossRef]
- Demirci, C.E.; Manna, P.K.; Wroczynskyj, Y.; Aktürk, S.; van Lierop, J. A comparison of the magnetism of cobalt-, manganese-, and nickel-ferrite nanoparticles. J. Phys. D 2018, 51, 025003. [Google Scholar] [CrossRef]
- Aslibeiki, B.; Kameli, P.; Salamati, H.; Concas, G.; Fernandez, M.S.; Talone, A.; Muscas, G.; Peddis, D. Co-doped MnFe2O4 nanoparticles: Magnetic anisotropy and interparticle interactions. Beilstein J. Nanotechnol. 2019, 10, 856. [Google Scholar] [CrossRef]
- Reddy, M.P.; Zhou, X.; Yann, A.; Dua, S.; Huang, Q.; Mohamed, A.M.A. Low temperature hydrothermal synthesis, structural investigation and functional properties of CoxMn1-xFe2O4 (0 ≤ x ≤ 1.0) nanoferrites. Superlatt. Microstr. 2015, 81, 233. [Google Scholar] [CrossRef]
- Baig, M.M.; Yousuf, M.A.; Warsi, M.F.; Agboola, P.O.; Sher, M.; Shakir, I. Surfactant assisted synthesis of rare earth Dy3+ substituted MnFe2O4 nanoparticles. Ceram. Int. 2019, 45, 18014. [Google Scholar] [CrossRef]
- Mubarokah, Z.R.; Sebayang, P.; Tetuko, A.P.; Setiadi, E.A. Synthesis of Mn1-xNixFe2O4 magnetic materials using natural iron sand prepared by co-precipitation method. AIP Conf. Proc. 2020, 2296, 020135. [Google Scholar]
- Deshmukh, V.V.; Nagaswarupa, H.P.; Raghavendra, N. Development of Co-doped MnFe2O4 nanoparticles for electrochemical supercapacitors. Ceram. Int. B 2021, 47, 10268. [Google Scholar] [CrossRef]
- Zhao, B.; Hu, X.; Dong, F.; Wang, Y.; Wang, H.; Tan, W.; Huo, D. The Magnetic Properties and Magnetocaloric Effect of Pr0.7Sr0.3MnO3 Thin Film Grown on SrTiO3 Substrate. Materials 2023, 16, 75. [Google Scholar] [CrossRef]
- Singh, D.J.; Gupta, M.; Gupta, R. First-principles investigation of MnFe2O4. Phys. Rev. B 2002, 65, 064432. [Google Scholar] [CrossRef]
- Elfalaky, A.; Soliman, S.J. Theoretical investigation of MnFe2O4. J. Alloys Compd. 2013, 580, 401. [Google Scholar] [CrossRef]
- Huang, J.-R.; Cheng, C. Cation and magnetic orders in MnFe2O4 from density functional calculations. J. Appl. Phys. 2013, 113, 033912. [Google Scholar] [CrossRef]
- Rafiq, M.A.; Javed, A.; Rasul, M.N.; Khan, M.A.; Hussain, A. Understanding the structural, electronic, magnetic and optical properties of spinel MFe2O4 (M = Mn, Co, Ni) ferrites. Ceram. Int. 2020, 46, 4976. [Google Scholar] [CrossRef]
- Islam, R.; Jami, J.; Borah, J.P. Strain-Induced Electronic Structure and Magnetocrystalline Anisotropy Energy in MnFe2O4 from First-Principles Calculations. IEEE Trans. Magn. 2021, 57. [Google Scholar] [CrossRef]
- Mounkachi, O.; Lamouri, R.; Salmani, E.; Hamedoun, M.; Benyoussef, A.; Ez-Zahraouy, H. Origin of the magnetic properties of MnFe2O4 spinel ferrite: Ab initio and Monte Carlo simulation. J. Magn. Magn. Mater. 2021, 533, 168016. [Google Scholar] [CrossRef]
- Apostolova, I.N.; Apostolov, A.T.; Wesselinowa, J.M. Multiferroic and phonon properties of pure and ion doped CoCr2O4—Bulk and nanoparticles. J. Alloy. Compd. 2021, 852, 156885. [Google Scholar] [CrossRef]
- Tserkovnikov, Y.A. Decoupling of chains of equations for two-time Green’s functions. Teor. Mat. Fiz. 1971, 7, 250. [Google Scholar] [CrossRef]
- Rondinone, A.; Liu, C.; Zhang, Z.J. Determination of Magnetic Anisotropy Distribution and Anisotropy Constant of Manganese Spinel Ferrite Nanoparticles. J. Phys. Chem. B 2001, 105, 7967. [Google Scholar] [CrossRef]
- Yang, A.; Chinnasamy, C.N.; Greneche, J.M.; Chen, Y.; Yoon, S.D.; Hsu, K.; Vittoria, C.; Harris, V.G. Large tunability of Néel temperature by growth-rate-induced cation inversion in Mn-ferrite nanoparticles. Appl. Phys. Lett. 2009, 94, 113109. [Google Scholar] [CrossRef]
- Kulkarni, G.U.; Kannan, K.R.; Arunarkavalli, T.; Rao, C.N.R. Particle-size effects on the value of Tc of MnFe2O4: Evidence for finite-size scaling. Phys. Rev. B 1994, 49, 724. [Google Scholar] [CrossRef]
- Zaag, P.J.v.; Brabers, V.A.M.; Johnson, M.T.; Noordermeer, A.; Bongers, P.F. Comment on “Particle-size effects on the value of TC of MnFe2O4: Evidence for finite-size scaling”. Phys. Rev. B 1995, 51, 12009. [Google Scholar] [CrossRef]
- Mdlalose, W.B.; Mokhosi, S.R.; Dlamini, S.; Moyo, T.; Singh, M. Effect of chitosan coating on the structural and magnetic properties of MnFe2O4 and Mn0.5Co0.5Fe2O4 nanoparticles. AIP Adv. 2018, 8, 056726. [Google Scholar] [CrossRef]
- Zheng, M.; Wu, X.C.; Zou, B.S.; Wang, Y.J. Magnetic properties of nanosized MnFe2O4 particles. J. Magn. Magn. Mater. 1998, 183, 152. [Google Scholar] [CrossRef]
- Tang, Z.X.; Sorensen, C.M.; Klabunde, K.J.; Hadjipanayis, G.C. Size-dependent Curie temperature in nanoscale MnFe2O4 particles. Phys. Rev. Lett. 1991, 67, 3602. [Google Scholar] [CrossRef]
- Thirupathi, G.; Suresh, S.; Singh, R. Synthesis and magnetic properties of MnFe2O4 nanoparticles. AIP Conf. Proc. 2012, 1447, 1129. [Google Scholar]
- Chen, J.P.; Sorensen, C.M.; Klabunde, K.J.; Hadjipanayis, G.C.; Devlin, E.; Kostikas, A. Size-dependent magnetic properties of MnFe2O4 fine particles synthesized by coprecipitation. Phys. Rev. B 1996, 54, 9288. [Google Scholar] [CrossRef]
- Li, S.; Huang, Z.; Zhao, G.; Zou, W.; Zheng, Y.; Du, Y. Effect of Crystal Size on the Magnetic Entropy Change in CoCr2O4. Solid State Phenom. 2007, 121–123, 889. [Google Scholar] [CrossRef]
- Vazquez-Vazquez, C.; Lopez-Quintela, M.A.; Bujan-Nunez, M.C.; Rivas, J. Finite size and surface effects on the magnetic properties of cobalt ferrite nanoparticles. J. Nanopart. Res. 2011, 13, 1663. [Google Scholar] [CrossRef]
- Dutta, D.P.; Manjanna, J.; Tyagi, A.K. Magnetic properties of sonochemically synthesized CoCr2O4 nanoparticles. J. Appl. Phys. 2009, 106, 043915. [Google Scholar] [CrossRef]
- Galivarapu, J.K.; Kumar, D.; Banerjee, A.; Sathe, V.; Aquilantic, G.; Rath, C. Effect of size reduction on cation distribution and magnetic transitions in CoCr2O4 multiferroic: EXAFS, magnetic and diffused neutron scattering measurements. RSC Adv. 2016, 6, 63809. [Google Scholar] [CrossRef]
- Ptak, M.; Maczka, M.; Hermanowicz, K.; Pikul, A.; Hanuza, J. Particle size effects on the magnetic and phonon properties of multiferroic CoCr2O4. J. Solid State Chem. 2013, 199, 295. [Google Scholar] [CrossRef]
- Rani, B.J.; Ravina, M.; Saravanakumar, B.; Ravi, G.; Ganesh, V.; Ravichandran, S.; Yuvakkumar, R. Ferrimagnetism in cobalt ferrite (CoFe2O4) nanoparticles. Nano-Struct. Nano-Objects 2018, 14, 84. [Google Scholar] [CrossRef]
- Lopez-Dominguez, V.; Hernandez, J.M.; Tejada, J.; Ziolo, R.F. Colossal Reduction in Curie Temperature Due to Finite-Size Effects in CoFe2O4 Nanoparticles. Chem. Mater. 2013, 25, 6. [Google Scholar] [CrossRef]
- Ansari, M.M.N.; Khan, S. Structural, electrical and optical properties of sol-gel synthesized cobalt substituted MnFe2O4 nanoparticles. Physica B 2017, 520, 21. [Google Scholar] [CrossRef]
- Kombaiah, K.; Vijaya, J.J.; Kennedy, L.J.; Bououdina, M.; Kaviyarasu, K.; Ramalingam, R.J.; Lohedan, H.A.A.; Munusamy, M.A. A Green approach: Synthesis, characterization and opto-magnetic properties of MgxMn1-xFe2O4 spinel nanoparticles. J. Mater. Sci. Mater. Electron. 2017, 28, 10321. [Google Scholar] [CrossRef]
- Mathubala, G.; Manikandan, A.; Antony, S.A.; Ramar, P. Photocatalytic degradation of methylene blue dye and magneto-optical studies of magnetically recyclable spinel NixMn1-xFe2O4 (x = 0.0–1.0) nanoparticles. J. Mol. Str. 2016, 1113, 79. [Google Scholar] [CrossRef]
- Apostolova, I.N.; Wesselinowa, J.M. Possible low-TC nanoparticles for use in magnetic hyperthermia treatments. Solid State Commun. 2009, 149, 986. [Google Scholar] [CrossRef]
- Tahar, L.B.; Artus, M.; Ammar, S.; Smiri, L.S.; Herbst, F.; Vaulay, M.-J.; Richard, V.; Greneche, J.-M.; Villain, F.; Fievet, F. Magnetic properties of CoFe1.9RE0.1O4 nanoparticles (RE = La, Ce, Nd, Sm, Eu, Gd, Tb, Ho) prepared in polyol. J. Magn. Magn. Mater. 2008, 320, 3242. [Google Scholar] [CrossRef]
- D’souza, A.; Kumar, M.D.; Chatim, M.; Naik, V.; Naik, P.P.; Tangsali, R.B. Effect of Rare-Earth Doping on Magnetic and Electrical Transport Properties of Nanoparticle Mn-Zn Ferrite. Adv. Sc. Lett. 2016, 22, 773. [Google Scholar] [CrossRef]
- Zhang, L.Y.; Zheng, G.H.; Dai, Z.X. Structural, magnetic, and photoluminescence of MnFe2O4:xEu3+ nanostructures. J. Mater. Sci. Mater. Electron. 2016, 27, 8138. [Google Scholar] [CrossRef]
- Shahid, M.; Shafi, S.; Aboud, M.F.A.; Warsi, M.F.; Asghar, M.; Shakir, I. Impacts of Co2+ and Gd3+ co-doping on structural, dielectric and magnetic properties of MnFe2O4 nanoparticles synthesized via micro-emulsion route. Ceram. Int. 2017, 43, 14096. [Google Scholar] [CrossRef]
- Guragain, D.; Rai, B.K.; Yoon, S.; Poudel, T.P.; Bhandari, S.C.; Mishra, S.R. Effect of Terbium Ion Substitution in Inverse Spinel Nickel Ferrite: Structural and Magnetic Study. Magnetochemistry 2020, 6, 14. [Google Scholar] [CrossRef]
- Hashim, M.; Raghasudha, M.; Meena, S.S.; Shah, J.; Shirsath, S.E.; Kumar, S.; Ravinder, D.; Bhatt, P.; Alimuddin; Kumar, R.; et al. Influence of rare earth ion doping (Ce and Dy) on electrical and magnetic properties of cobalt ferrites. J. Magn. Magn. Mater. 2018, 449, 319. [Google Scholar] [CrossRef]
- Shirsath, S.E.; Mane, M.L.; Yasukawa, Y.; Liu, X.; Morisako, A. Self-ignited high temperature synthesis andenhanced super-exchange interactions of Ho3+–Mn2+–Fe3+–O2-ferromagnetic nanoparticles. Phys. Chem. Chem. Phys. 2014, 16, 2347. [Google Scholar] [CrossRef]
- Kour, S.; Jasrotia, R.; Puri, P.; Verma, A.; Sharma, B.; Singh, V.P.; Kumar, R.; Kalia, S. Improving photocatalytic efficiency of MnFe2O4 ferrites via doping with Zn2+/La3+ ions: Photocatalytic dye degradation for water remediation. Environ. Sci. Pollut. Res. 2021. [Google Scholar] [CrossRef] [PubMed]
- Yao, H.; Ning, X.; Zhao, H.; Hao, A.; Ismail, M. Effect of Gd-Doping on Structural, Optical, and Magnetic Properties of NiFe2O4 As-prepared Thin Films via Facile Sol-Gel Approach. ACS Omega 2021, 6, 6305. [Google Scholar] [CrossRef]
- Baig, M.M.; Zulfiqar, S.; Yousuf, M.A.; Shakir, I.; Aboud, M.F.A.; Warsia, M.F. DyxMnFe2-xO4 nanoparticles decorated over mesoporous silica for environmental remediation applications. J. Haz. Mater. 2021, 402, 123526. [Google Scholar] [CrossRef]
- Al-Mokdad, F.; Hassan, R.S.; Awad, R. Functionalized Cellulose Nanocrystal Nanocomposite Membranes with Controlled Interfacial Transport for Improved Reverse Osmosis Performance. Curr. Nanomater. 2019, 4, 125. [Google Scholar] [CrossRef]
- Balaji, G.; Gajbhiye, N.S.; Wilde, G.; Weissmueller, J. Magnetic properties of MnFe2O4 nanoparticles. J. Magn. Magn. Mater. 2002, 242–245, 617. [Google Scholar] [CrossRef]





Disclaimer/Publisher’s Note: The statements, opinions and data contained in all publications are solely those of the individual author(s) and contributor(s) and not of MDPI and/or the editor(s). MDPI and/or the editor(s) disclaim responsibility for any injury to people or property resulting from any ideas, methods, instructions or products referred to in the content. |
© 2023 by the authors. Licensee MDPI, Basel, Switzerland. This article is an open access article distributed under the terms and conditions of the Creative Commons Attribution (CC BY) license (https://creativecommons.org/licenses/by/4.0/).
Share and Cite
Apostolova, I.N.; Apostolov, A.T.; Wesselinowa, J.M. Magnetization, Band Gap and Specific Heat of Pure and Ion Doped MnFe2O4 Nanoparticles. Magnetochemistry 2023, 9, 76. https://doi.org/10.3390/magnetochemistry9030076
Apostolova IN, Apostolov AT, Wesselinowa JM. Magnetization, Band Gap and Specific Heat of Pure and Ion Doped MnFe2O4 Nanoparticles. Magnetochemistry. 2023; 9(3):76. https://doi.org/10.3390/magnetochemistry9030076
Chicago/Turabian StyleApostolova, I. N., A. T. Apostolov, and J. M. Wesselinowa. 2023. "Magnetization, Band Gap and Specific Heat of Pure and Ion Doped MnFe2O4 Nanoparticles" Magnetochemistry 9, no. 3: 76. https://doi.org/10.3390/magnetochemistry9030076
APA StyleApostolova, I. N., Apostolov, A. T., & Wesselinowa, J. M. (2023). Magnetization, Band Gap and Specific Heat of Pure and Ion Doped MnFe2O4 Nanoparticles. Magnetochemistry, 9(3), 76. https://doi.org/10.3390/magnetochemistry9030076

