A New Organic Conductor of Tetramethyltetraselenafulvalene (TMTSF) with a Magnetic Dy(III) Complex
Abstract
1. Introduction
2. Materials and Methods
2.1. Synthesis
2.2. Physical Measurements
2.3. Computational Methodology
3. Results and Discussion
3.1. Crystal Structures
3.2. Conductivity Properties
3.3. Optical Properties
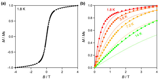
3.4. Magnetic Properties
3.5. Band Structure Calculations
4. Conclusions
Supplementary Materials
Author Contributions
Funding
Acknowledgments
Conflicts of Interest
References
- Jérome, D.; Mazaud, A.; Ribault, M.; Bechgaard, K. Superconductivity in a synthetic organic conductor (TMTSF)2PF6. J. Phys. Lett. 1980, 41, 95–98. [Google Scholar] [CrossRef]
- Mori, H. Materials viewpoint of organic superconductors. J. Phys. Soc. Jpn. 2006, 75, 051003. [Google Scholar] [CrossRef]
- Ardavan, A.; Brown, S.; Kagoshima, S.; Kanoda, K.; Kuroki, K.; Mori, H.; Ogata, M.; Uji, S.; Wosnitza, J. Recent topics of organic superconductors. J. Phys. Soc. Jpn. 2011, 81, 011004. [Google Scholar] [CrossRef]
- Williams, J.M.; Schultz, A.J.; Geiser, U.; Carlson, K.D.; Kini, A.M.; Wang, H.G.; Kwok, W.-K.; Whangbo, M.-H.; Schirber, J.E. Organic superconductors—New benchmarks. Science 1991, 252, 1501–1508. [Google Scholar] [CrossRef]
- Enoki, T.; Miyazaki, A. Magnetic TTF-based charge-transfer complexes. Chem. Rev. 2004, 104, 5449–5478. [Google Scholar] [CrossRef]
- Taniguchi, H.; Miyashita, M.; Uchiyama, K.; Satoh, K.; Môri, N.; Okamoto, H.; Miyagawa, K.; Kanoda, K.; Hedo, M.; Uwatoko, Y. Superconductivity at 14.2 K in layered organics under extreme pressure. J. Phys. Soc. Jpn. 2003, 72, 468–471. [Google Scholar] [CrossRef]
- Liu, W.; Lin, H.; Kang, R.; Zhu, X.; Zhang, Y.; Zheng, S.; Wen, H.-H. Magnetization of potassium-doped p-terphenyl and p-quaterphenyl by high-pressure synthesis. Phys. Rev. B 2017, 96, 224501. [Google Scholar] [CrossRef]
- Kobayashi, H.; Kobayashi, A.; Cassoux, P. BETS as a source of molecular magnetic superconductors (BETS = bis (ethylenedithio) tetraselenafulvalene). Chem. Soc. Rev. 2000, 29, 325–333. [Google Scholar] [CrossRef]
- Enomoto, M.; Miyazaki, A.; Enoki, T. Magnetic Properties of (C1TEX-TTF) FeBr4 (X=S, Se). Mol. Cryst. Liq. Cryst. Sci. Technol. Sect. A Mol. Cryst. Liq. Cryst. 1999, 335, 293–302. [Google Scholar] [CrossRef]
- Anderson, P.; Lee, P.; Saitoh, M. Remarks on giant conductivity in TTF-TCNQ. Solid State Commun. 1973, 13, 595–598. [Google Scholar] [CrossRef]
- Cui, H.; Otsuka, T.; Kobayashi, A.; Takeda, N.; Ishikawa, M.; Misaki, Y.; Kobayashi, H. Structural, electrical, and magnetic properties of a series of molecular conductors based on BDT-TTP and lanthanoid nitrate complex anions (BDT-TTP = 2, 5-bis (1,3-dithiol-2-ylidene)-1,3,4,6-tetrathiapentalene). Inorg. Chem. 2003, 42, 6114–6122. [Google Scholar] [CrossRef]
- Kushch, N.; Bardin, A.; Buravov, L.; Glushakova, N.; Shilov, G.; Dmitriev, A.; Morgunov, R.; Kulikov, A. Synthesis particularities, structure and properties of the radical cation salts ω-(BEDT-TTF)5M (SCN)6·C2H5OH, M=Mn, Ni. Synth. Met. 2014, 195, 75–82. [Google Scholar] [CrossRef]
- Kushch, N.D.; Buravov, L.I.; Kushch, P.P.; Shilov, G.V.; Yamochi, H.; Ishikawa, M.; Otsuka, A.; Shakin, A.A.; Maximova, O.V.; Volkova, O.S. Multifunctional compound combining conductivity and single-molecule magnetism in the same temperature range. Inorg. Chem. 2018, 57, 2386–2389. [Google Scholar] [CrossRef] [PubMed]
- Zhang, X.; Xie, H.; Ballesteros-Rivas, M.; Woods, T.J.; Dunbar, K.R. Conducting Molecular Nanomagnet of DyIII with Partially Charged TCNQ Radicals. Chem.–A Eur. J. 2017, 23, 7448–7452. [Google Scholar] [CrossRef] [PubMed]
- Sato, T.; Breedlove, B.K.; Yamashita, M.; Katoh, K. Electro-Conductive Single-Molecule Magnet Composed of a Dysprosium (III)-Phthalocyaninato Double-Decker Complex with Magnetoresistance. Angew. Chem. Int. Ed. 2021, 60, 21179–21183. [Google Scholar] [CrossRef]
- Mroweh, N.; Mézière, C.; Pop, F.; Auban-Senzier, P.; Alemany, P.; Canadell, E.; Avarvari, N. In Search of Chiral Molecular Superconductors: κ-[(S, S)-DM-BEDT-TTF]2ClO4 Revisited. Adv. Mater. 2020, 32, 2002811. [Google Scholar] [CrossRef]
- Pop, F.; Auban-Senzier, P.; Canadell, E.; Avarvari, N. Anion size control of the packing in the metallic versus semiconducting chiral radical cation salts (DM-EDT-TTF)2XF6 (X=P, As, Sb). Chem. Commun. 2016, 52, 12438–12441. [Google Scholar] [CrossRef]
- Kushch, N.; Kazheva, O.; Gritsenko, V.; Buravov, L.; Van, K.; Dyachenko, O. Novel packing type of ET radical cation layers in a new organic conductor (ET)5[Dy(NCS)6NO3]·C2H5OH with a metal-complex lanthanide anion. Synth. Met. 2001, 123, 171–177. [Google Scholar] [CrossRef]
- Shvachko, Y.N.; Starichenko, D.; Korolyov, A.; Kushch, N. Temperature evolution of BEDT-TTF+1/2 and Dy3+ spin systems in novel organic conductor (BEDT-TTF)2Dy(NO3)4: EPR and SQUID studies. Synth. Met. 2008, 158, 315–319. [Google Scholar] [CrossRef]
- Shen, Y.; Cosquer, G.; Zhang, H.; Breedlove, B.K.; Cui, M.; Yamashita, M. 4f-π Molecular Hybrid Exhibiting Rich Conductive Phases and Slow Relaxation of Magnetization. J. Am. Chem. Soc. 2021, 143, 9543–9550. [Google Scholar] [CrossRef]
- Shen, Y.; Ito, H.; Zhang, H.; Yamochi, H.; Cosquer, G.; Herrmann, C.; Ina, T.; Yoshina, S.K.; Breedlove, B.K.; Otsuka, A. Emergence of metallic conduction and cobalt (II)-based single-molecule magnetism in the same temperature range. J. Am. Chem. Soc. 2021, 143, 4891–4895. [Google Scholar] [CrossRef]
- Shen, Y.; Cosquer, G.; Ito, H.; Izuogu, D.C.; Thom, A.J.; Ina, T.; Uruga, T.; Yoshida, T.; Takaishi, S.; Breedlove, B.K. An Organic-Inorganic Hybrid Exhibiting Electrical Conduction and Single-Ion Magnetism. Angew. Chem. 2020, 132, 2420–2427. [Google Scholar] [CrossRef]
- Hiraga, H.; Miyasaka, H.; Nakata, K.; Kajiwara, T.; Takaishi, S.; Oshima, Y.; Nojiri, H.; Yamashita, M. Hybrid molecular material exhibiting single-molecule magnet behavior and molecular conductivity. Inorg. Chem. 2007, 46, 9661–9671. [Google Scholar] [CrossRef]
- Hiraga, H.; Miyasaka, H.; Takaishi, S.; Kajiwara, T.; Yamashita, M. Hybridized complexes of [MnIII2] single-molecule magnets and Ni dithiolate complexes. Inorg. Chim. Acta 2008, 361, 3863–3872. [Google Scholar] [CrossRef]
- Cosquer, G.; Shen, Y.; Almeida, M.; Yamashita, M. Conducting single-molecule magnet materials. Dalton Trans. 2018, 47, 7616–7627. [Google Scholar] [CrossRef] [PubMed]
- Yamashita, M. Next generation multifunctional nano-science of advanced metal complexes with quantum effect and nonlinearity. Bull. Chem. Soc. Jpn. 2021, 94, 209–264. [Google Scholar] [CrossRef]
- Mullica, D.F.; Bonilla, B.M.; David, M.a.C.; Farmer, J.M.; Kautz, J.A. Synthesis, characterization, and structural analyses of three high-coordination tetra-n-butylammonium lanthanide (III) complexes. Inorg. Chim. Acta 1999, 292, 137–143. [Google Scholar] [CrossRef]
- Altomare, A.; Burla, M.C.; Camalli, M.; Cascarano, G.L.; Giacovazzo, C.; Guagliardi, A.; Moliterni, A.G.; Polidori, G.; Spagna, R. SIR97: A new tool for crystal structure determination and refinement. J. Appl. Crystallogr. 1999, 32, 115–119. [Google Scholar] [CrossRef]
- Farrugia, L.J. WinGX and ORTEP for Windows: An update. J. Appl. Crystallogr. 2012, 45, 849–854. [Google Scholar] [CrossRef]
- Sheldrick, G.M. Crystal structure refinement with SHELXL. Acta Crystallogr. Sect. C Struct. Chem. 2015, 71, 3–8. [Google Scholar] [CrossRef]
- Kresse, G.; Furthmüller, J. Efficiency of ab-initio total energy calculations for metals and semiconductors using a plane-wave basis set. Comput. Mater. Sci. 1996, 6, 15–50. [Google Scholar] [CrossRef]
- Kresse, G.; Furthmüller, J. Efficient iterative schemes for ab initio total-energy calculations using a plane-wave basis set. Phys. Rev. B 1996, 54, 11169. [Google Scholar] [CrossRef] [PubMed]
- Perdew, J.P.; Burke, K.; Ernzerhof, M. Generalized gradient approximation made simple. Phys. Rev. Lett. 1996, 77, 3865. [Google Scholar] [CrossRef] [PubMed]
- Kresse, G.; Joubert, D. From ultrasoft pseudopotentials to the projector augmented-wave method. Phys. Rev. B 1999, 59, 1758. [Google Scholar] [CrossRef]
- Valeev, E.F.; Coropceanu, V.; da Silva Filho, D.A.; Salman, S.; Brédas, J.-L. Effect of electronic polarization on charge-transport parameters in molecular organic semiconductors. J. Am. Chem. Soc. 2006, 128, 9882–9886. [Google Scholar] [CrossRef]
- Frisch, M.; Trucks, G.; Schlegel, H.; Scuseria, G.; Robb, M.; Cheeseman, J.; Scalmani, G.; Barone, V.; Mennucci, B.; Petersson, G. G09; Revison D. 01; Gaussian Inc.: Wallingford, CT, USA, 2010. [Google Scholar]
- Adamo, C.; Barone, V. Toward reliable density functional methods without adjustable parameters: The PBE0 model. J. Chem. Phys. 1999, 110, 6158–6170. [Google Scholar] [CrossRef]
- Weigend, F.; Ahlrichs, R. Balanced basis sets of split valence, triple zeta valence and quadruple zeta valence quality for H to Rn: Design and assessment of accuracy. Phys. Chem. Chem. Phys. 2005, 7, 3297–3305. [Google Scholar] [CrossRef]
- Grimme, S. Do special noncovalent π–π stacking interactions really exist? Angew. Chem. Int. Ed. 2008, 47, 3430–3434. [Google Scholar] [CrossRef]
- Rani, P.; Rajput, G.; Srivastava, M.; Yadav, R. Structural and vibrational characteristics and vibronic coupling of tetramethyltetraselenafulvalene. J. Mol. Struct. 2019, 1175, 1–12. [Google Scholar] [CrossRef]
- Wu, L.; Coppens, P.; Bu, X. Crystal structure of tetramethyltetraselenafulvalene nitrate,(C10H12Se4)NO3. Z. Krist.-New Cryst. Struct. 1997, 212, 101–102. [Google Scholar] [CrossRef]
- Rosokha, S.V.; Stern, C.L.; Ritzert, J.T. π-Bonded molecular wires: Self-assembly of mixed-valence cation-radical stacks within the nanochannels formed by inert tetrakis [3,5-bis (trifluoromethyl) phenyl] borate anions. CrystEngComm 2013, 15, 10638–10647. [Google Scholar] [CrossRef]
- Sakata, M.; Yoshida, Y.; Maesato, M.; Saito, G.; Matsumoto, K.; Hagiwara, R. Preparation of superconducting (TMTSF)2NbF6 by electrooxidation of TMTSF using ionic liquid as electrolyte. Mol. Cryst. Liq. Cryst. 2006, 452, 103–112. [Google Scholar] [CrossRef]
- Wudl, F. Three-dimensional structure of the superconductor (TMTSF)2AsF6 and the spin-charge separation hypothesis. J. Am. Chem. Soc. 1981, 103, 7064–7069. [Google Scholar] [CrossRef]
- Beno, M.; Blackman, G.; Williams, J.M.; Bechgaard, K. Synthetic metals based on tetramethyltetraselenafulvalene (TMTSF): Synthesis, structure (T = 298 and 125 K), and novel properties of (TMTSF)2H2F3. Inorg. Chem. 1982, 21, 3860–3862. [Google Scholar] [CrossRef]
- Emge, T.J.; Beno, M.A.; Daws, C.A.; Wang, H.H.; Williams, J.M. Novel Structural Features, and their Relationship to the Electrical Properties, of the Organic Conductor (TMTSF)2NO3 at 298 K and 125 K. Mol. Cryst. Liq. Cryst. 1984, 116, 153–171. [Google Scholar] [CrossRef]
- Kazheva, O.N.; Kushch, N.D.; Dyachenko, O.A.; Canadell, E. Rare-earth elements in molecular conductors: Crystal and electronic structures. J. Solid State Chem. 2002, 168, 457–463. [Google Scholar] [CrossRef]
- Mao, L.-F.; Ning, H.; Hu, C.; Lu, Z.; Wang, G. Physical modeling of activation energy in organic semiconductor devices based on energy and momentum conservations. Sci. Rep. 2016, 6, 24777. [Google Scholar] [CrossRef] [PubMed]
- Friedel, J.; Jérome, D. Organic superconductors: The (TMTSF)2X family. Contemp. Phys. 1982, 23, 583–624. [Google Scholar] [CrossRef]
- Tamura, M.; Matsuzaki, F.; Nishio, Y.; Kajita, K.; Kitazawa, T.; Mori, H.; Tanaka, S. Novel BEDT-TTF salts containing rare earth ions, (ET)4Ln (NCS)6·CH2Cl2. Synth. Met. 1999, 102, 1716–1717. [Google Scholar] [CrossRef]
- Flakina, A.M.; Zhilyaeva, E.I.; Shilov, G.V.; Faraonov, M.A.; Torunova, S.A.; Konarev, D.V. Layered Organic Conductors Based on BEDT-TTF and Ho, Dy, Tb Chlorides. Magnetochemistry 2022, 8, 142. [Google Scholar] [CrossRef]
- Chilton, N.F.; Anderson, R.P.; Turner, L.D.; Soncini, A.; Murray, K.S. PHI: A powerful new program for the analysis of anisotropic monomeric and exchange-coupled polynuclear d- and f-block complexes. J. Comput. Chem. 2013, 34, 1164–1175. [Google Scholar] [CrossRef] [PubMed]
- Feltham, H.L.; Brooker, S. Review of purely 4f and mixed-metal nd-4f single-molecule magnets containing only one lanthanide ion. Coord. Chem. Rev. 2014, 276, 1–33. [Google Scholar] [CrossRef]
- Liu, J.-L.; Chen, Y.-C.; Tong, M.-L. Symmetry strategies for high performance lanthanide-based single-molecule magnets. Chem. Soc. Rev. 2018, 47, 2431–2453. [Google Scholar] [CrossRef] [PubMed]








| Bond Length | TMTSF-a | TMTSF-b1 | TMTSF-b2 |
|---|---|---|---|
| C1-C2 | 1.31(2) Å | 1.385(11) Å | 1.392(10) Å |
| C1-Se1 | 1.915(13) Å | 1.867(7) Å | 1.865(7) Å |
| C1-Se2 | 1.923(18) Å | 1.867(8) Å | 1.879(8) Å |
| C2-Se3 | 1.917(12) Å | 1.885(7) Å | 1.871(8) Å |
| C2-Se4 | 1.919(19) Å | 1.866(8) Å | 1.877(7) Å |
| C3-C4 | 1.34(3) Å | 1.336(13) Å | 1.354(12) Å |
| C5-C6 | 1.39(2) Å | 1.339(13) Å | 1.368(13) Å |
Disclaimer/Publisher’s Note: The statements, opinions and data contained in all publications are solely those of the individual author(s) and contributor(s) and not of MDPI and/or the editor(s). MDPI and/or the editor(s) disclaim responsibility for any injury to people or property resulting from any ideas, methods, instructions or products referred to in the content. |
© 2023 by the authors. Licensee MDPI, Basel, Switzerland. This article is an open access article distributed under the terms and conditions of the Creative Commons Attribution (CC BY) license (https://creativecommons.org/licenses/by/4.0/).
Share and Cite
Wan, Q.; Wakizaka, M.; Zhang, H.; Shen, Y.; Funakoshi, N.; Che, C.-M.; Takaishi, S.; Yamashita, M. A New Organic Conductor of Tetramethyltetraselenafulvalene (TMTSF) with a Magnetic Dy(III) Complex. Magnetochemistry 2023, 9, 77. https://doi.org/10.3390/magnetochemistry9030077
Wan Q, Wakizaka M, Zhang H, Shen Y, Funakoshi N, Che C-M, Takaishi S, Yamashita M. A New Organic Conductor of Tetramethyltetraselenafulvalene (TMTSF) with a Magnetic Dy(III) Complex. Magnetochemistry. 2023; 9(3):77. https://doi.org/10.3390/magnetochemistry9030077
Chicago/Turabian StyleWan, Qingyun, Masanori Wakizaka, Haitao Zhang, Yongbing Shen, Nobuto Funakoshi, Chi-Ming Che, Shinya Takaishi, and Masahiro Yamashita. 2023. "A New Organic Conductor of Tetramethyltetraselenafulvalene (TMTSF) with a Magnetic Dy(III) Complex" Magnetochemistry 9, no. 3: 77. https://doi.org/10.3390/magnetochemistry9030077
APA StyleWan, Q., Wakizaka, M., Zhang, H., Shen, Y., Funakoshi, N., Che, C.-M., Takaishi, S., & Yamashita, M. (2023). A New Organic Conductor of Tetramethyltetraselenafulvalene (TMTSF) with a Magnetic Dy(III) Complex. Magnetochemistry, 9(3), 77. https://doi.org/10.3390/magnetochemistry9030077

