Phototransistors Based on hBN-Encapsulated NiPS3
Abstract
:1. Introduction
2. Materials and Methods
2.1. Materials
2.2. Methods
2.3. Characterization
3. Results
3.1. Characterization of Few-Layered NiPS Flakes
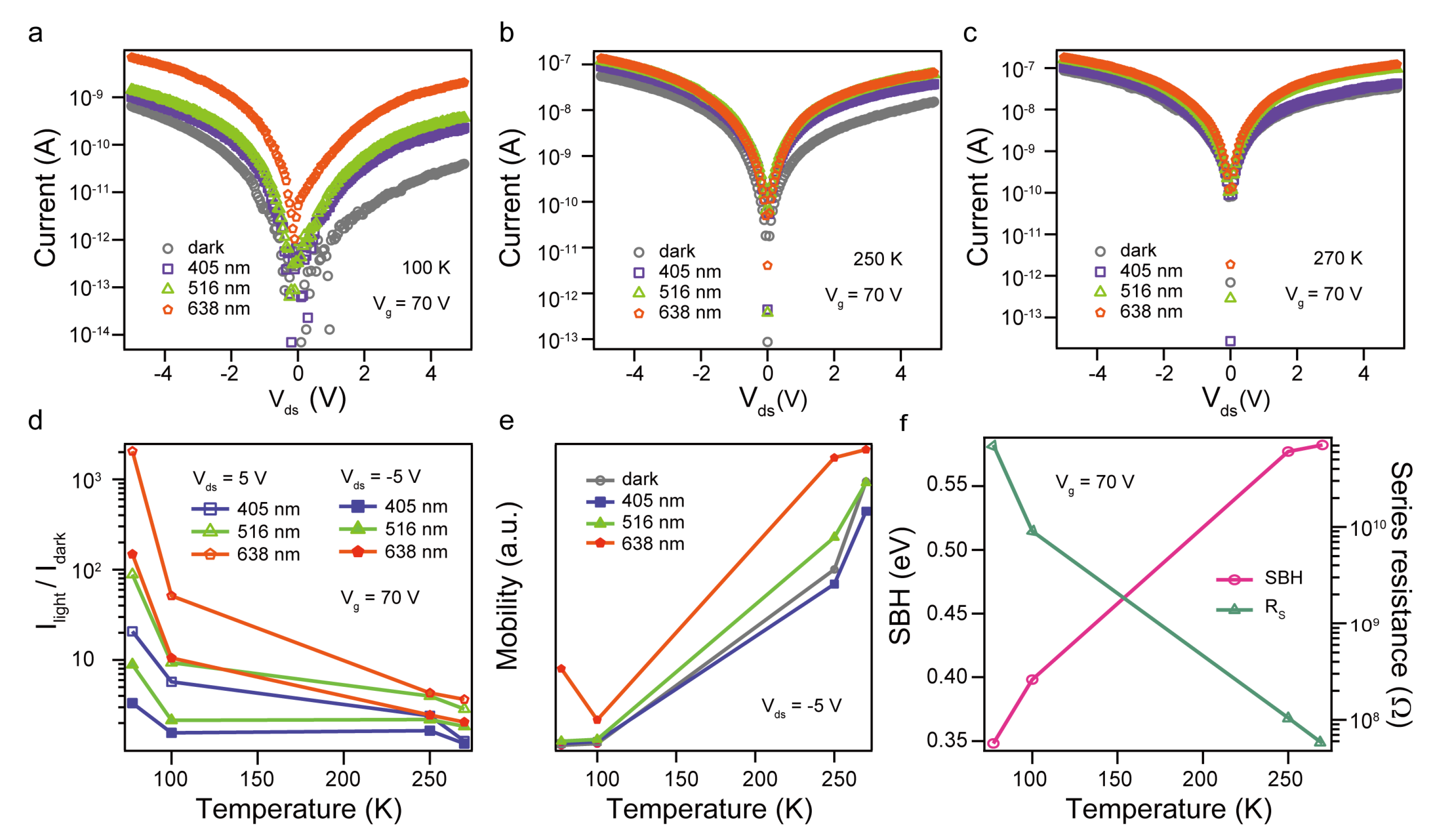
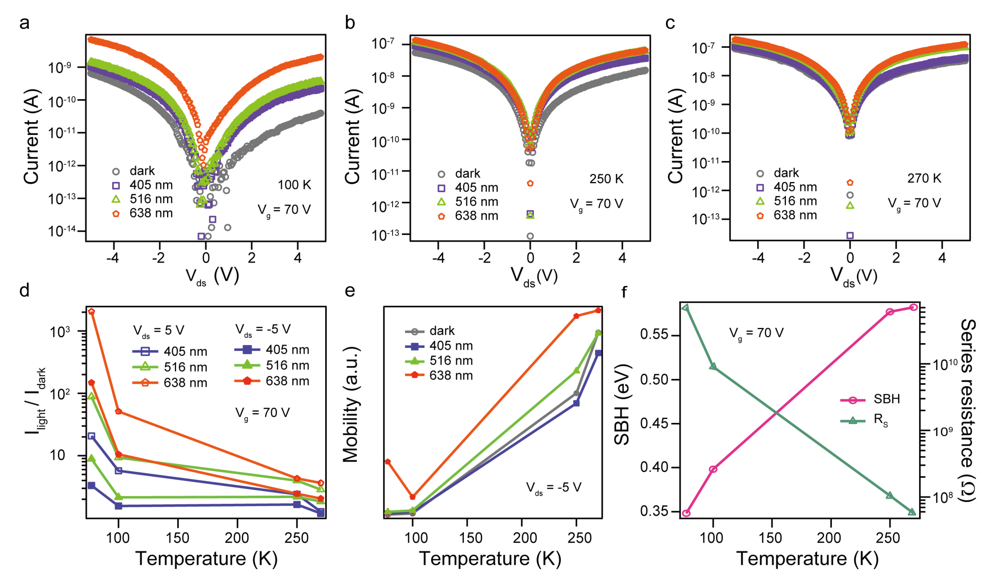
3.2. Photoresponses at Different Temperatures
4. Discussion
5. Conclusions
Author Contributions
Funding
Institutional Review Board Statement
Informed Consent Statement
Data Availability Statement
Acknowledgments
Conflicts of Interest
Sample Availability
References
- Omnès, F.; Monroy, E.; Muñoz, E.; Reverchon, J.L. Wide bandgap UV photodetectors: A short review of devices and applications. Gallium Nitride Mater. Devices II 2007, 6473, 111–125. [Google Scholar]
- Zhu, X.; Zhong, C.; Zhe, J. Lubricating oil conditioning sensors for online machine health monitoring—A review. Tribol. Int. 2017, 109, 473–484. [Google Scholar] [CrossRef]
- Sang, L.; Liao, M.; Sumiya, M. A comprehensive review of semiconductor ultraviolet photodetectors: From thin film to one-dimensional nanostructures. Sensors 2013, 13, 10482–10518. [Google Scholar] [CrossRef]
- Rabinovich, O.; Savchuk, A.; Didenko, S.; Orlova, M.; Marenkin, S.; Ril, A.; Podgornaya, S. AlGaN optimization for photodetectors. Opt. Quantum Electron. 2019, 51, 1–10. [Google Scholar] [CrossRef]
- Gong, C.; Chu, J.; Qian, S.; Yin, C.; Hu, X.; Wang, H.; Wang, Y.; Ding, X.; Jiang, S.; Li, A.; et al. Large-Scale Ultrathin 2D Wide-Bandgap BiOBr Nanoflakes for Gate-Controlled Deep-Ultraviolet Phototransistors. Adv. Mater. 2020, 32, 1908242. [Google Scholar] [CrossRef]
- Oshima, T.; Okuno, T.; Fujita, S. Ga2O3 thin film growth on c-plane sapphire substrates by molecular beam epitaxy for deep-ultraviolet photodetectors. Jpn. J. Appl. Phys. 2007, 46, 7217. [Google Scholar] [CrossRef]
- Chen, Y.; Yang, X.; Zhang, Y.; Chen, X.; Sun, J.; Xu, Z.; Li, K.; Dong, L.; Shan, C. Ultra-sensitive flexible Ga2O3 solar-blind photodetector array realized via ultra-thin absorbing medium. Nano Res. 2022, 15, 3711–3719. [Google Scholar] [CrossRef]
- Yoon, Y.; Hwang, W.S.; Shin, M. Solar-Blind Ultrathin Sn-Doped Polycrystalline Ga2O3 UV Phototransistor for Normally Off Operation. Adv. Photonics Res. 2022, 3, 2100316. [Google Scholar] [CrossRef]
- Wu, C.; Wu, F.; Ma, C.; Li, S.; Liu, A.; Yang, X.; Chen, Y.; Wang, J.; Guo, D. A general strategy to ultrasensitive Ga2O3 based self-powered solar-blind photodetectors. Mater. Today Phys. 2022, 23, 100643. [Google Scholar] [CrossRef]
- Fernández-Serra, M.V.; Adessi, C.; Blase, X. Conductance, surface traps, and passivation in doped silicon nanowires. Nano Lett. 2006, 6, 2674–2678. [Google Scholar] [CrossRef]
- Johnston, M.B.; Herz, L.M. Hybrid perovskites for photovoltaics: Charge-carrier recombination, diffusion, and radiative efficiencies. Acc. Chem. Res. 2016, 49, 146–154. [Google Scholar] [CrossRef] [PubMed] [Green Version]
- Li, Z.; Du, B.; Han, C.; Xu, H. Trap modulated charge carrier transport in polyethylene/graphene nanocomposites. Sci. Rep. 2017, 7, 1–8. [Google Scholar] [CrossRef] [PubMed]
- Dong, B.; Yang, T.; Han, Z. Flattening is flattering: The revolutionizing 2D electronic systems. Chin. Phys. B 2020, 29, 097307. [Google Scholar] [CrossRef]
- Long, M.; Wang, P.; Fang, H.; Hu, W. Progress, challenges, and opportunities for 2D material based photodetectors. Adv. Funct. Mater. 2019, 29, 1803807. [Google Scholar] [CrossRef]
- Qiao, H.; Huang, Z.; Ren, X.; Liu, S.; Zhang, Y.; Qi, X.; Zhang, H. Self-powered photodetectors based on 2D materials. Adv. Opt. Mater. 2020, 8, 1900765. [Google Scholar] [CrossRef]
- Shen, C.; Liu, Y.; Wu, J.; Xu, C.; Cui, D.; Li, Z.; Liu, Q.; Li, Y.; Wang, Y.; Cao, X.; et al. Tellurene photodetector with high gain and wide bandwidth. ACS Nano 2019, 14, 303–310. [Google Scholar] [CrossRef]
- Li, X.; Dong, B.; Sun, X.; Wang, H.; Yang, T.; Yu, G.; Han, Z.V. Perspectives on exfoliated two-dimensional spintronics. J. Semicond. 2019, 40, 081508. [Google Scholar] [CrossRef]
- Du, K.Z.; Wang, X.Z.; Liu, Y.; Hu, P.; Utama, M.I.B.; Gan, C.K.; Xiong, Q.; Kloc, C. Weak van der Waals stacking, wide-range band gap, and Raman study on ultrathin layers of metal phosphorus trichalcogenides. ACS Nano 2016, 10, 1738–1743. [Google Scholar] [CrossRef]
- Samal, R.; Sanyal, G.; Chakraborty, B.; Rout, C.S. Two-dimensional transition metal phosphorous trichalcogenides (MPX3): A review on emerging trends, current state and future perspectives. J. Mater. Chem. A 2021, 9, 2560–2591. [Google Scholar] [CrossRef]
- Zhang, X.; Zhao, X.; Wu, D.; Jing, Y.; Zhou, Z. MnPSe3 monolayer: A promising 2d visible-light photohydrolytic catalyst with high carrier mobility. Adv. Sci. 2016, 3, 1600062. [Google Scholar] [CrossRef]
- Kuo, C.T.; Neumann, M.; Balamurugan, K.; Park, H.J.; Kang, S.; Shiu, H.W.; Kang, J.H.; Hong, B.H.; Han, M.; Noh, T.W.; et al. Exfoliation and Raman spectroscopic fingerprint of few-layer NiPS3 van der Waals crystals. Sci. Rep. 2016, 6, 1–10. [Google Scholar] [CrossRef] [PubMed] [Green Version]
- Chu, J.; Wang, F.; Yin, L.; Lei, L.; Yan, C.; Wang, F.; Wen, Y.; Wang, Z.; Jiang, C.; Feng, L.; et al. High-performance ultraviolet photodetector based on a few-layered 2D NiPS3 nanosheet. Adv. Funct. Mater. 2017, 27, 1701342. [Google Scholar] [CrossRef]
- Liu, J.; Wang, Y.; Fang, Y.; Ge, Y.; Li, X.; Fan, D.; Zhang, H. A Robust 2D Photo-Electrochemical Detector Based on NiPS3 Flakes. Adv. Electron. Mater. 2019, 5, 1900726. [Google Scholar] [CrossRef]
- Hwangbo, K.; Zhang, Q.; Jiang, Q.; Wang, Y.; Fonseca, J.; Wang, C.; Diederich, G.M.; Gamelin, D.R.; Xiao, D.; Chu, J.H.; et al. Highly anisotropic excitons and multiple phonon bound states in a van der Waals antiferromagnetic insulator. Nat. Nanotechnol. 2021, 16, 655–660. [Google Scholar] [CrossRef] [PubMed]
- Tersoff, J. Schottky barrier heights and the continuum of gap states. Phys. Rev. Lett. 1984, 52, 465. [Google Scholar] [CrossRef]
- Tung, R.T. The physics and chemistry of the Schottky barrier height. Appl. Phys. Rev. 2014, 1, 011304. [Google Scholar]
- Novoselov, K.S.; Geim, A.K.; Morozov, S.V.; Jiang, D.e.; Zhang, Y.; Dubonos, S.V.; Grigorieva, I.V.; Firsov, A.A. Electric field effect in atomically thin carbon films. Science 2004, 306, 666–669. [Google Scholar] [CrossRef]
- Pizzocchero, F.; Gammelgaard, L.; Jessen, B.S.; Caridad, J.M.; Wang, L.; Hone, J.; Bøggild, P.; Booth, T.J. The hot pick-up technique for batch assembly of van der Waals heterostructures. Nat. Commun. 2016, 7, 1–10. [Google Scholar] [CrossRef]
- Kim, K.; Choi, J.Y.; Kim, T.; Cho, S.H.; Chung, H.J. A role for graphene in silicon-based semiconductor devices. Nature 2011, 479, 338–344. [Google Scholar] [CrossRef]
- Koppens, F.; Mueller, T.; Avouris, P.; Ferrari, A.; Vitiello, M.; Polini, M. Photodetectors based on graphene, other two-dimensional materials and hybrid systems. Nat. Nanotechnol. 2014, 9, 780–793. [Google Scholar] [CrossRef]
- Ramos, M.; Carrascoso, F.; Frisenda, R.; Gant, P.; Mañas-Valero, S.; Esteras, D.L.; Baldoví, J.J.; Coronado, E.; Castellanos-Gomez, A.; Calvo, M.R. Ultra-broad spectral photo-response in FePS3 air-stable devices. npj 2D Mater. Appl. 2021, 5, 1–9. [Google Scholar] [CrossRef]
- van Dijken, A.; Meulenkamp, E.A.; Vanmaekelbergh, D.E.; Meijerink, A. The kinetics of the radiative and nonradiative processes in nanocrystalline ZnO particles upon photoexcitation. J. Phys. Chem. B 2000, 104, 1715–1723. [Google Scholar] [CrossRef]
- Nayfeh, M.H.; Rigakis, N.; Yamani, Z. Photoexcitation of Si-Si surface states in nanocrystallites. Phys. Rev. B 1997, 56, 2079. [Google Scholar] [CrossRef]
- Jenjeti, R.N.; Kumar, R.; Austeria, M.P.; Sampath, S. Field effect transistor based on layered NiPS3. Sci. Rep. 2018, 8, 1–9. [Google Scholar] [CrossRef] [PubMed]
- Cheung, S.; Cheung, N. Extraction of Schottky diode parameters from forward current-voltage characteristics. Appl. Phys. Lett. 1986, 49, 85–87. [Google Scholar] [CrossRef]
- Eftekhari, G. Variation in the effective Richardson constant of metal—GaAs and Metal—InP contacts due to the effect of processing parameters. Phys. Status Solidi (a) 1993, 140, 189–194. [Google Scholar] [CrossRef]
- Crowell, C. The Richardson constant for thermionic emission in Schottky barrier diodes. Solid-State Electron. 1965, 8, 395–399. [Google Scholar] [CrossRef]
- Lane, C.; Zhu, J.X. Thickness dependence of electronic structure and optical properties of a correlated van der Waals antiferromagnetic NiPS3 thin film. Phys. Rev. B 2020, 102, 075124. [Google Scholar] [CrossRef]
- Werner, J.H.; Guttler, H.H. Barrier inhomogeneities at Schottky contacts. J. Appl. Phys. 1991, 69, 1522–1533. [Google Scholar] [CrossRef]
- Gholami, S.; Khakbaz, M. Measurement of IV characteristics of a PtSi/p-Si Schottky barrier diode at low temperatures. Int. J. Electr. Comput. Energ. Electron. Commun. Eng. 2011, 5, 1285–1288. [Google Scholar]
- Buscema, M.; Island, J.O.; Groenendijk, D.J.; Blanter, S.I.; Steele, G.A.; van der Zant, H.S.; Castellanos-Gomez, A. Photocurrent generation with two-dimensional van der Waals semiconductors. Chem. Soc. Rev. 2015, 44, 3691–3718. [Google Scholar] [CrossRef] [PubMed] [Green Version]




Publisher’s Note: MDPI stays neutral with regard to jurisdictional claims in published maps and institutional affiliations. |
© 2022 by the authors. Licensee MDPI, Basel, Switzerland. This article is an open access article distributed under the terms and conditions of the Creative Commons Attribution (CC BY) license (https://creativecommons.org/licenses/by/4.0/).
Share and Cite
Liu, Y.; Sun, X. Phototransistors Based on hBN-Encapsulated NiPS3. Magnetochemistry 2022, 8, 101. https://doi.org/10.3390/magnetochemistry8090101
Liu Y, Sun X. Phototransistors Based on hBN-Encapsulated NiPS3. Magnetochemistry. 2022; 8(9):101. https://doi.org/10.3390/magnetochemistry8090101
Chicago/Turabian StyleLiu, Yingjia, and Xingdan Sun. 2022. "Phototransistors Based on hBN-Encapsulated NiPS3" Magnetochemistry 8, no. 9: 101. https://doi.org/10.3390/magnetochemistry8090101
APA StyleLiu, Y., & Sun, X. (2022). Phototransistors Based on hBN-Encapsulated NiPS3. Magnetochemistry, 8(9), 101. https://doi.org/10.3390/magnetochemistry8090101

