Spacing Dependent Mechanisms of Remagnetization in 1D System of Elongated Diamond Shaped Thin Magnetic Particles
Abstract
:1. Introduction
2. Methods, Materials and Geometry of the System
3. Results
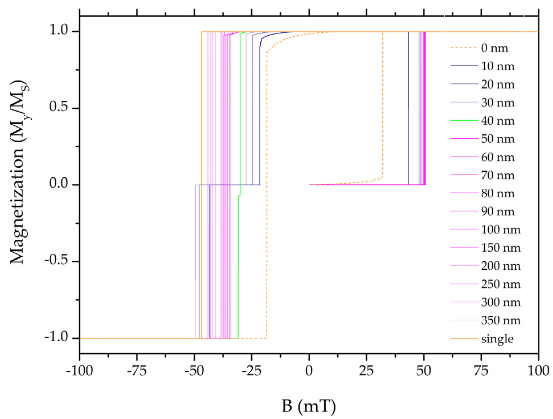
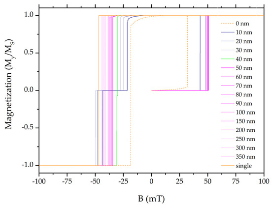
- A direct FM→rFM, i.e., “all up” into “all down” switching occurs for a large enough (starting from 50 nm and higher) distance . This is represented in Figure 4 with a magenta color. The reason for that is that the dipolar interactions of the neighboring diamonds are too weak to form the AF configuration. The value of the switching field decreases with decreasing distance . Additionally, with the decreasing distance, the shape of the hysteresis loop becomes rounded which describes an inhomogeneity of the magnetization when approaching the switching value of the field. An example of inhomogeneity is represented in Figure 5 for . The “all up” to “all down” remagnetization (FM→rFM) is preceded by a slight deviation in the central parts of the diamonds, as seen in Figure 5e,f. This is a zig-zag sequence reminiscent of but much lighter than the 360° domain walls. In contrast to the latter, there is no region of reversed spins. A similar structure has been called “S-state” in ref. [40].
- The green line in Figure 4 for corresponds to an interesting case in which the initial FM configuration exhibits a deviation of the central parts of the macrospins so that an -component of magnetization appears before switching. This contributes to a rounding of the hysteresis loop. Next, an antiferromagnetic configuration arises with a visible pair of vortices approximately halfway between the x-axis and the apex of the particle magnetized antiparallel to the field. The structure should not be confused with the “double vortex” one stabilized by ends of elongated particles with a circular cross-section (e.g., [41,42]). A single vortex of panels (c) and (d) of Figure 7 is reminiscent of an annihilating 360° domain wall [38]. This configuration with the pair of vortices has been given the name defected antiferromagnetic and denoted with dAF. The stage of switching corresponds to a small step on the green curve. Interestingly enough, the defect consisting of two opposite vortices shows a perfect compensation of chirality in that 180° rotation transforms it into itself (see Figure 7c,d). With further increases in the switching field, the defected antiferromagnetic configuration reverses into the rFM one with the magnetization parallel to the applied field. The consecutive stages of the switching process FM→dAF→rFM are shown in Figure 7.
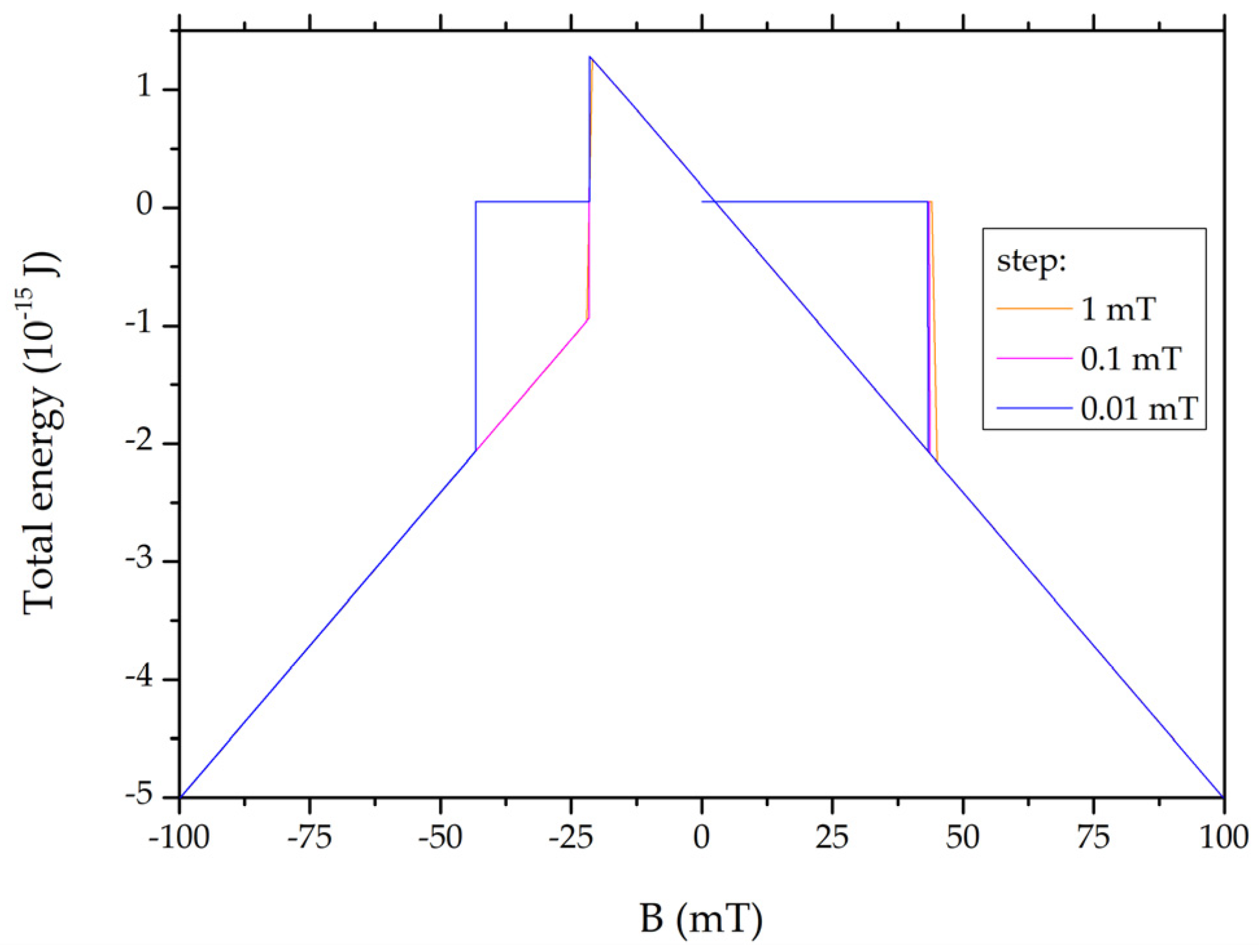
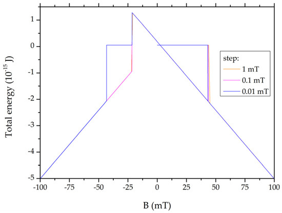
- For even shorter distances, the system shows a two-step switching FM→AF→rFM, shown in Figure 4 with the navy curves. The range of distances is 10–35 nm. The switching process is initiated by precursor deviations resulting in a rounding of the hysteresis loop. The precursors are visible in Figure 8b.
- The limiting distance corresponds to the sticking voxels belonging to neighboring particles. The configuration at depends on the initial one in the minimization process. Figure 4 depicts the evolution starting from the AF one with the dashed orange line. As shown in Figure 6, the precursor deviations from the “all up” FM configuration are rather extended and exhibit a non-zero component of magnetization. By increasing the reversal field, a gradual reversal is observed, that is, an increase in the reversed region at the expense of the initial one. Panels (e) and (f) of Figure 6 show developing coupled 180° domain walls that dissociate into decoupled 180° domain walls in each diamond [43,44].
4. Discussion and Conclusions
Author Contributions
Funding
Institutional Review Board Statement
Informed Consent Statement
Data Availability Statement
Conflicts of Interest
References
- Bryan, M.T.; Atkinson, D.; Cowburn, R.P. Experimental Study of the Influence of Edge Roughness on Magnetization Switching in Permalloy Nanostructures. Appl. Phys. Lett. 2004, 85, 3510–3512. [Google Scholar] [CrossRef]
- Zhong, Z.; Gates, B.; Xia, Y.; Qin, D. Soft Lithographic Approach to the Fabrication of Highly Ordered 2D Arrays of Magnetic Nanoparticles on the Surfaces of Silicon Substrates. Langmuir 2000, 16, 10369–10375. [Google Scholar] [CrossRef]
- Pease, R.F.; Chou, S.Y. Lithography and Other Patterning Techniques for Future Electronics. Proc. IEEE 2008, 96, 248–270. [Google Scholar] [CrossRef]
- Aiempanakit, M.; Jearnkulprasert, N.; Panyajirawut, P. Patterning of Nanoparticle Arrays by Self-Assembly Lithography. Mater. Today: Proc. 2017, 4, 6009–6014. [Google Scholar] [CrossRef]
- Ovejero, J.G.; Bran, C.; Vilanova, E.; Kosel, J.; Morales, M.P.; Vazquez, M. Electrochemical Synthesis of Core—Shell Magnetic Nanowires. J. Magn. Magn. Mater. 2015, 389, 144–147. [Google Scholar] [CrossRef]
- Sulitanu, N. Electroplating and Electroless Deposition of Nanostructured Magnetic Thin Films. In Nanostructures: Synthesis, Functional Properties and Applications; Tsakalakos, T., Ovid’ko, I.A., Vasudevan, A.K., Eds.; Springer: Dordrecht, The Netherlands, 2003; pp. 511–532. ISBN 978-1-4020-1753-7. [Google Scholar]
- Schindler, W.; Hofmann, D.; Kirschner, J. Nanoscale Electrodeposition: A New Route to Magnetic Nanostructures? J. Appl. Phys. 2000, 87, 7007–7009. [Google Scholar] [CrossRef]
- Martín, J.I.; Nogués, J.; Liu, K.; Vicent, J.L.; Schuller, I.K. Ordered Magnetic Nanostructures: Fabrication and Properties. J. Magn. Magn. Mater. 2003, 256, 449–501. [Google Scholar] [CrossRef]
- Bedanta, S.; Barman, A.; Kleemann, W.; Petracic, O.; Seki, T. Synthesis, Properties, and Applications of Single-Domain Magnetic Nanoparticles. J. Nanomater. 2013, 2013, 130180. [Google Scholar] [CrossRef]
- Majidi, S.; Zeinali Sehrig, F.; Farkhani, S.M.; Soleymani Goloujeh, M.; Akbarzadeh, A. Current Methods for Synthesis of Magnetic Nanoparticles. Artif. Cells Nanomed. Biotechnol. 2016, 44, 722–734. [Google Scholar] [CrossRef]
- Bao, Y.; Wen, T.; Samia, A.C.S.; Khandhar, A.; Krishnan, K.M. Magnetic Nanoparticles: Material Engineering and Emerging Applications in Lithography and Biomedicine. J. Mater. Sci. 2016, 51, 513–553. [Google Scholar] [CrossRef] [Green Version]
- Brown, W.F. Micromagnetics; Interscience Publishers: Geneva, Switzerland; John Wiley & Sons: Hoboken, NJ, USA, 1963. [Google Scholar]
- Wu, L.; Jubert, P.-O.; Berman, D.; Imaino, W.; Nelson, A.; Zhu, H.; Zhang, S.; Sun, S. Monolayer Assembly of Ferrimagnetic CoxFe3– xO4 Nanocubes for Magnetic Recording. Nano Lett. 2014, 14, 3395–3399. [Google Scholar] [CrossRef] [PubMed]
- Nordquist, K. Process Development of Sub-0.5 Μm Nonvolatile Magnetoresistive Random Access Memory Arrays. J. Vac. Sci. Technol. B 1997, 15, 2274. [Google Scholar] [CrossRef]
- Cowburn, R.P. Room Temperature Magnetic Quantum Cellular Automata. Science 2000, 287, 1466–1468. [Google Scholar] [CrossRef] [PubMed]
- Jaccard, Y.; Guittienne, P.; Kelly, D.; Wegrowe, J.-E.; Ansermet, J.-P. Uniform Magnetization Rotation in Single Ferromagnetic Nanowires. Phys. Rev. B 2000, 62, 1141–1147. [Google Scholar] [CrossRef]
- Zighem, F.; Maurer, T.; Ott, F.; Chaboussant, G. Dipolar Interactions in Arrays of Ferromagnetic Nanowires: A Micromagnetic Study. J. Appl. Phys. 2011, 109, 013910. [Google Scholar] [CrossRef]
- Gadbois, J.; Zhu, J.-G.; Vavra, W.; Hurst, A. The Effect of End and Edge Shape on the Performance of Pseudo-Spin Valve Memories. IEEE Trans. Magn. 1998, 34, 1066–1068. [Google Scholar] [CrossRef]
- Ott, F.; Maurer, T.; Chaboussant, G.; Soumare, Y.; Piquemal, J.-Y.; Viau, G. Effects of the Shape of Elongated Magnetic Particles on the Coercive Field. J. Appl. Phys. 2009, 105, 013915. [Google Scholar] [CrossRef]
- Berkov, D.V.; Gorn, N.L. Numerical Simulation of Remagnetization Processes in Extended Thin Films and Periodic Nanodot Arrays. IEEE Trans. Magn. 2002, 38, 2474–2476. [Google Scholar] [CrossRef]
- Kuźma, D.; Laskowski, Ł.; Kłos, J.W.; Zieliński, P. Effects of Shape on Magnetization Switching in Systems of Magnetic Elongated Nanoparticles. J. Magn. Magn. Mater. 2022, 545, 168685. [Google Scholar] [CrossRef]
- Sampaio, L.C.; Sinnecker, E.H.C.P.; Cernicchiaro, G.R.C.; Knobel, M.; Vázquez, M.; Velázquez, J. Magnetic Microwires as Macrospins in a Long-Range Dipole-Dipole Interaction. Phys. Rev. B 2000, 61, 8976–8983. [Google Scholar] [CrossRef] [Green Version]
- Ivanov, Y.P.; Chuvilin, A.; Vivas, L.G.; Kosel, J.; Chubykalo-Fesenko, O.; Vázquez, M. Single Crystalline Cylindrical Nanowires—Toward Dense 3D Arrays of Magnetic Vortices. Sci. Rep. 2016, 6, 23844. [Google Scholar] [CrossRef] [PubMed]
- Fidler, J.; Schrefl, T. Micromagnetic Modelling—The Current State of the Art. J. Phys. D Appl. Phys. 2000, 33, R135–R156. [Google Scholar] [CrossRef]
- Kronmüller, H.; Fähnle, M. Micromagnetism and the Microstructure of Ferromagnetic Solids; Cambridge University Press: Cambridge, NY, USA, 2003. [Google Scholar]
- Kuźma, D.; Kowalczyk, P.; Cpałka, K.; Laskowski, Ł. A Low-Dimensional Layout of Magnetic Units as Nano-Systems of Combinatorial Logic: Numerical Simulations. Materials 2021, 14, 2974. [Google Scholar] [CrossRef] [PubMed]
- Muratov, C.B.; Osipov, V.V. Bit Storage by 360° Domain Walls in Ferromagnetic Nanorings. IEEE Trans. Magn. 2009, 45, 3207–3209. [Google Scholar] [CrossRef]
- Dudek, K.K.; Marć, M.; Wolak, W.; Drzewiński, A.; Dudek, M.R. Theoretical Concept Describing a Use of Magnetic Nanoparticles in a Thin Elastic Film for the Detection of Mechanical Deformation. Phys. Status Solidi B 2021, 258, 2100162. [Google Scholar] [CrossRef]
- Seifert, J.; Roitsch, S.; Schmidt, A.M. Covalent Hybrid Elastomers Based on Anisotropic Magnetic Nanoparticles and Elastic Polymers. ACS Appl. Polym. Mater. 2021, 3, 1324–1337. [Google Scholar] [CrossRef]
- Vansteenkiste, A.; Leliaert, J.; Dvornik, M.; Helsen, M.; Garcia-Sanchez, F.; Waeyenberge, B.V. The Design and Verification of MuMax3. AIP Adv. 2014, 4, 107133. [Google Scholar] [CrossRef]
- Exl, L.; Bance, S.; Reichel, F.; Schrefl, T.; Stimming, H.P.; Mauser, N.J. LaBonte’s Method Revisited: An Effective Steepest Descent Method for Micromagnetic Energy Minimization. J. Appl. Phys. 2014, 115, 17D118. [Google Scholar] [CrossRef]
- Venkat, G.; Franchin, M.; Fangohr, H.; Prabhakar, A. Mesh Size and Damped Edge Effects in FEM Simulations of Spin Waves. arXiv 2014, arXiv:physics/1405.4615. Available online: https://arxiv.org/abs/1405.4615 (accessed on 11 August 2022).
- Jamet, S.; Rougemaille, N.; Toussaint, J.C.; Fruchart, O. Head-to-head domain walls in one-dimensional nanostructures: An extended phase diagram ranging from strips to cylindrical wires. In Woodhead Publishing Series in Electronic and Optical Materials, Magnetic Nano- and Microwires; Woodhead Publishing: Sawston, UK, 2015; pp. 783–811. [Google Scholar] [CrossRef]
- Yin, L.F.; Wei, D.H.; Lei, N.; Zhou, L.H.; Tian, C.S.; Dong, G.S.; Jin, X.F.; Guo, L.P.; Jia, Q.J.; Wu, R.Q. Magnetocrystalline Anisotropy in Permalloy Revisited. Phys. Rev. Lett. 2006, 97, 067203. [Google Scholar] [CrossRef] [Green Version]
- Shinjo, T. Magnetic Vortex Core Observation in Circular Dots of Permalloy. Science 2000, 289, 930–932. [Google Scholar] [CrossRef] [PubMed]
- Schneider, M.; Hoffmann, H.; Zweck, J. Magnetic Switching of Single Vortex Permalloy Elements. Appl. Phys. Lett. 2001, 79, 3113–3115. [Google Scholar] [CrossRef]
- Janutka, A.; Brzuszek, K. Double-Vortex-Assisted Asymmetric Magnetoreactance in H-Shaped Nanomagnets. IEEE Magn. Lett. 2019, 10, 6103105. [Google Scholar] [CrossRef]
- Zhang, J.; Siddiqui, S.A.; Ho, P.; Currivan-Incorvia, J.A.; Tryputen, L.; Lage, E.; Bono, D.C.; Baldo, M.A.; Ross, C.A. 360° Domain Walls: Stability, Magnetic Field and Electric Current Effects. New J. Phys. 2016, 18, 053028. [Google Scholar] [CrossRef]
- Morini, M.; Muratov, C.B.; Novaga, M.; Slastikov, V.V. Transverse Domain Walls in Thin Ferromagnetic Strips. arXiv 2021. [Google Scholar] [CrossRef]
- Ignat, R.; Knüpfer, H. Vortex Energy and 360° Néel Walls in Thin-Film Micromagnetics. Comm. Pure Appl. Math. 2010, 63, 1677–1724. [Google Scholar] [CrossRef]
- Cherepov, S.S.; Koop, B.C.; Galkin, A.Y.; Khymyn, R.S.; Ivanov, B.A.; Worledge, D.C.; Korenivski, V. Core-Core Dynamics in Spin Vortex Pairs. Phys. Rev. Lett. 2012, 109, 097204. [Google Scholar] [CrossRef]
- Hata, H.; Goto, M.; Yamaguchi, A.; Sato, T.; Nakatani, Y.; Nozaki, Y. Coupled Oscillations of Vortex Cores Confined in a Ferromagnetic Elliptical Disk. Phys. Rev. B 2014, 90, 104418. [Google Scholar] [CrossRef]
- Kunz, A. Field Induced Domain Wall Collisions in Thin Magnetic Nanowires. Appl. Phys. Lett. 2009, 94, 132502. [Google Scholar] [CrossRef]
- Djuhana, D.; Piao, H.-G.; Yu, S.-C.; Oh, S.K.; Kim, D.-H. Magnetic Domain Wall Collision around the Walker Breakdown in Ferromagnetic Nanowires. J. Appl. Phys. 2009, 106, 103926. [Google Scholar] [CrossRef]








Publisher’s Note: MDPI stays neutral with regard to jurisdictional claims in published maps and institutional affiliations. |
© 2022 by the authors. Licensee MDPI, Basel, Switzerland. This article is an open access article distributed under the terms and conditions of the Creative Commons Attribution (CC BY) license (https://creativecommons.org/licenses/by/4.0/).
Share and Cite
Kuźma, D.; Pastukh, O.; Zieliński, P. Spacing Dependent Mechanisms of Remagnetization in 1D System of Elongated Diamond Shaped Thin Magnetic Particles. Magnetochemistry 2022, 8, 102. https://doi.org/10.3390/magnetochemistry8090102
Kuźma D, Pastukh O, Zieliński P. Spacing Dependent Mechanisms of Remagnetization in 1D System of Elongated Diamond Shaped Thin Magnetic Particles. Magnetochemistry. 2022; 8(9):102. https://doi.org/10.3390/magnetochemistry8090102
Chicago/Turabian StyleKuźma, Dominika, Oleksandr Pastukh, and Piotr Zieliński. 2022. "Spacing Dependent Mechanisms of Remagnetization in 1D System of Elongated Diamond Shaped Thin Magnetic Particles" Magnetochemistry 8, no. 9: 102. https://doi.org/10.3390/magnetochemistry8090102
APA StyleKuźma, D., Pastukh, O., & Zieliński, P. (2022). Spacing Dependent Mechanisms of Remagnetization in 1D System of Elongated Diamond Shaped Thin Magnetic Particles. Magnetochemistry, 8(9), 102. https://doi.org/10.3390/magnetochemistry8090102

