Structure, Spectra, Morphology, and Magnetic Properties of Nb5+ Ion-Substituted Sr Hexaferrites
Abstract
:1. Introduction
2. Experimental Details
2.1. Materials
2.2. Synthesis of M-Type Hexaferrites
2.3. Characterizations
3. Results and Discussion
3.1. Thermal Analysis
3.2. X-ray Diffraction Analysis
3.3. Fourier-Transform Infrared Spectroscopy Study
3.4. Raman Analysis
3.5. Morphological Analysis
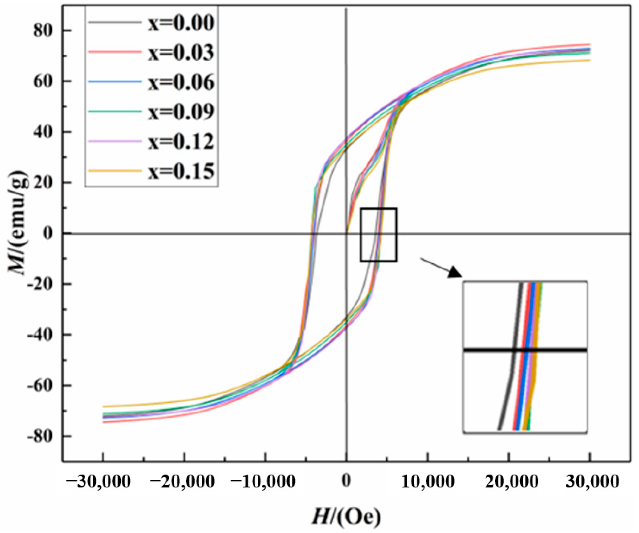
3.6. Magnetic Property Analysis
4. Conclusions
Author Contributions
Funding
Institutional Review Board Statement
Informed Consent Statement
Data Availability Statement
Acknowledgments
Conflicts of Interest
References
- Chen, N.; Yang, K.; Gu, M. Microwave absorption properties of La-substituted M-type strontium ferrites. J. Alloys Compd. 2010, 490, 609–612. [Google Scholar] [CrossRef]
- Meng, P.; Xiong, K.; Wang, L.; Li, S.; Cheng, Y.; Xu, G. Tunable complex permeability and enhanced microwave absorption properties of BaNixCo1−xTiFe10O19. J. Alloys Compd. 2015, 628, 75–80. [Google Scholar] [CrossRef]
- Kaur, T.; Kaur, B.; Bhat, B.H.; Kumar, S.; Srivastava, A.K. Effect of calcination temperature on microstructure, dielectric, magnetic and optical properties of Ba0.7La0.3Fe11.7Co0.3O19 hexaferrites. Phys. B Condens. Matter 2015, 456, 206–212. [Google Scholar] [CrossRef]
- Liu, X.; Zhong, W.; Yang, S.; Yu, Z.; Gu, B.; Du, Y. Influences of La3+ substitution on the structure and magnetic properties of M-type strontium ferrites. J. Magn. Magn. Mater. 2002, 238, 207–214. [Google Scholar] [CrossRef]
- Ustinov, A.B.; Tatarenko, A.S.; Srinivasan, G.; Balbashov, A.M. Al substituted Ba-hexaferrite single-crystal films for millimeter-wave devices. J. Appl. Phys. 2009, 105, 023908. [Google Scholar] [CrossRef]
- Tenorio-González, F.N.; Bolarín-Miró, A.M.; Jesús, F.S.; Vera-Serna, P.; Menéndez-González, N.; Sánchez-Marcos, J. Crystal structure and magnetic properties of high Mn-doped strontium hexaferrite. J. Alloys Compd. 2017, 695, 2083–2090. [Google Scholar] [CrossRef]
- Jauhar, S.; Singh, J.; Chandra, K.; Bansal, S.; Singhal, S. Structural, morphological, magnetic and optical properties of chromium substituted strontium ferrites, SrCrxFe12−xO19(x = 0.5, 1.0, 1.5, 2.0 and 2.5) annealed with potassium halides. Powder Technol. 2011, 212, 193–197. [Google Scholar] [CrossRef]
- Wang, J.F.; Ponton, C.B.; Harris, I.R. A study of Nd-substituted Sr hexaferrite prepared by hydrothermal synthesis. IEEE Trans. Magn. 2002, 38, 2928–2930. [Google Scholar] [CrossRef]
- Hua, Z.H.; Li, S.Z.; Han, Z.D.; Wang, D.H.; Lu, M.; Zhong, W.; Gu, B.X.; Du, Y.W. The effect of La–Zn substitution on the microstructure and magnetic properties of barium ferrites. Mater. Sci. Eng. A 2007, 448, 326–329. [Google Scholar] [CrossRef]
- Christy, J.N.; Rewatkar, K.G.; Sawadh, P.S. Structural and Magnetic behavior of m-type co-zr substituted calcium hexaferrites. Mater. Today Proc. 2017, 4, 11857–11865. [Google Scholar] [CrossRef]
- Li, Z.; Liu, Z.; Zhou, S.; Zhong, X.; Yu, H.; Chen, X.; Zhang, Y.; Wang, K. Effects of Rare Earth Doping on Microstructure and Magnetic Properties of MnZn Ferrites. J. Magn. Mater. Devices 2019, 50, 1–6. [Google Scholar]
- Auwal, I.A.; Güngüneş, H.; Güner, S.; Shirsath, S.E.; Sertkol, M.A. Baykal, Structural, magneto-optical properties and cation distribution of SrBixLaxYxFe12−3xO19 (0.0 ≤ x ≤ 0.33) hexaferrites. Mater. Res. Bull. 2016, 80, 263–272. [Google Scholar] [CrossRef]
- Zhang, W.; Bai, Y.; Han, X.; Wang, L.; Lu, X.; Qiao, L.; Cao, J.; Guo, D. Phase formation, sintering behavior and magnetic property of Bi-Co-Ti substituted M-type barium hexaferrite. J. Alloys Compd. 2013, 556, 20–25. [Google Scholar] [CrossRef]
- Han, M.; Ou, Y.; Chen, W.; Deng, L. Magnetic properties of Ba-M-type hexagonal ferrites prepared by the sol–gel method with and without polyethylene glycol added. J. Alloys Compd. 2009, 474, 185–189. [Google Scholar] [CrossRef]
- Auwal, I.A.; Baykal, A.; Güngüneş, H.; Shirsath, S.E. Structural investigation and hyperfine interactions of BaBixLaxFe12−2xO19 (0.0 ≤ x ≤ 0.5) hexaferrites. Ceram. Int. 2016, 42, 3380–3387. [Google Scholar] [CrossRef]
- Iqbal, M.J.; Ashiq, M.N.; Gul, I.H. Physical, electrical and dielectric properties of Ca-substituted strontium hexaferrite (SrFe12O19) nanoparticles synthesized by co-precipitation method. J. Magn. Magn. Mater. 2010, 322, 1720–1726. [Google Scholar] [CrossRef]
- Makovec, D.; Primc, D.; Šturm, S.; Kodre, A.; Hanžel, D.; Drofenik, M. Structural properties of ultrafine Ba-hexaferrite nanoparticles. J. Solid State Chem. 2012, 196, 63–71. [Google Scholar] [CrossRef]
- Bsoul, I.; Mahmood, S.H. Magnetic and structural properties of BaFe12−xGaxO19 nanoparticles. J. Alloys Compd. 2010, 489, 110–114. [Google Scholar] [CrossRef]
- Fang, Q.Q.; Bao, H.W.; Fang, D.M.; Wang, J.Z.; Li, X.G. The effect of Zn-Nb substitution on magnetic properties of strontium hexaferrite nanoparticles. J. Magn. Magn. Mater. 2004, 278, 122–126. [Google Scholar] [CrossRef]
- Yang, Y.; Wang, F.; Shao, J.; Huang, D.; He, H.; Trukhanov, A.V.; Trukhanov, S.V. Influence of Nd-NbZn co-substitution on structural, spectral and magnetic properties of M-type calcium-strontium hexaferrites Ca0.4Sr0.6-xNdxFe12.0-x(Nb0.5Zn0.5)xO19. J. Alloys Compd. 2018, 765, 616–623. [Google Scholar] [CrossRef]
- Güner, S.; Almessiere, M.A.; Slimani, Y.; Baykal, A.; Ercan, I. Microstructure, magnetic and optical properties of Nb3+ and Y3+ ions co-substituted Sr hexaferrites. Ceram. Int. 2020, 46, 4610–4618. [Google Scholar] [CrossRef]
- Rana, K.; Thakur, P.; Tomar, M.; Gupta, V.; Thakur, A. Investigation of cobalt substituted M-type barium ferrite synthesized via co-precipitation method for radar absorbing material in Ku-band (12–18 GHz). Ceram. Int. 2018, 44, 6370–6375. [Google Scholar] [CrossRef]
- Auwal, I.A.; Güner, S.; Güngüneş, H.; Baykal, A. Sr1−xLaxFe12O19 (0.0 ≤ x ≤ 0.5) hexaferrites: Synthesis, characterizations, hyperfine interactions and magneto-optical properties. Ceram. Int. 2016, 42, 12995–13003. [Google Scholar] [CrossRef]
- Ahmad, S.I.; Ansari, S.A.; Kumar, D.R. Structural, morphological, magnetic properties and cation distribution of Ce and Sm co-substituted nano crystalline cobalt ferrite. Mater. Chem. Phys. 2018, 208, 248–257. [Google Scholar] [CrossRef]
- Yang, Y.; Liu, X.; Jin, D.; Ma, Y. Structural and magnetic properties of La-Co substituted Sr-Ca hexaferrites synthesized by the solid state reaction method. Mater. Res. Bull. 2014, 59, 37–41. [Google Scholar] [CrossRef]
- Guan, Y.; Tu, Y.; Wang, X.; Wu, L. Preparation of cordyceps sinensis-like barium carbonate microrod by ultrasonic-assisted heating. Bull. Chin. Ceram. Soc. 2018, 37, 1605–1609. [Google Scholar]
- Dhruv, P.N.; Pullar, R.C.; Singh, C.; Carvalho, F.E.; Jotania, R.B.; Meena, S.S.; Singh, J. Design and development of Ga-substituted Z-type hexaferrites for microwave absorber applications: Mössbauer, static and dynamic properties. Ceram. Int. 2021, 47, 1145–1162. [Google Scholar] [CrossRef]
- Zhao, W.Y.; Wei, P.; Wu, X.Y.; Wang, W.; Zhang, Q.J. Lattice vibration characterization and magnetic properties of M-type barium hexaferrite with excessive iron. J. Appl. Phys. 2008, 103, 063902. [Google Scholar] [CrossRef]
- Anbarasu, V.; Md Gazzali, P.M.; Karthik, T.; Manigandan, A.; Sivakumar, K. Effect of divalent cation substitution in the magnetoplumbite structured BaFe12O19 system. J. Mater. Sci. Mater. Electron. 2013, 24, 916–926. [Google Scholar] [CrossRef]
- Buzinaro, M.A.P.; Ferreira, N.S.; Cunha, F.; Macêdo, M.A. Hopkinson effect, structural and magnetic properties of M-type Sm3+ doped SrFe12O19 nanoparticles produced by a proteic sol-gel process. Ceram. Int. 2016, 42, 5865–5872. [Google Scholar] [CrossRef]
- Katlakunta, S.; Meena, S.S.; Srinath, S.; Bououdina, M.; Sandhya, R.; Praveena, K. Improved magnetic properties of Cr3+ doped SrFe12O19 synthesized via microwave hydrothermal route. Mater. Res. Bull. 2015, 63, 58–66. [Google Scholar] [CrossRef]
- Almessiere, M.A.; Slimani, Y.; Gungunes, H.; Manikandan, A.; Baykal, A. Investigation of the effects of Tm3+ on the structural, microstructural, optical, and magnetic properties of Sr hexaferrites. Results Phys. 2019, 13, 102166. [Google Scholar] [CrossRef]
- Belous, A.G.; V’Yunov, O.I.; Pashkova, E.V.; Ivanitskii, V.P.; Gavrilenko, O.N. Mössbauer Study and Magnetic Properties of M-Type Barium Hexaferrite Doped with Co+Ti and Bi+Ti Ions. J. Phys. Chem. B 2006, 110, 26477–26481. [Google Scholar] [CrossRef] [PubMed]
- Liu, C.; Kan, X.; Liu, X.; Feng, S.; Hu, J.; Wang, W.; Rehman, K.M.U.; Shezad, M. Influence of the Eu substitution on the structure and magnetic properties of the Sr-hexaferrites. Ceram. Int. 2020, 46, 171–179. [Google Scholar] [CrossRef]
- Zhang, W.; Li, J.; Yi, S.; Zu, P.; Wu, J.; Lin, J.; Li, M.; Su, W. Influence of La-Nb co-substituted Sr ferrite on microstructure, spectrum and magnetic properties of hexaferrites. J. Alloys Compd. 2021, 871, 159563. [Google Scholar] [CrossRef]
- Yang, Y.; Shao, J.; Wang, F.; Batoo, K.M.; Adil, S.F.; Bhat, B.H.; Want, B.A. A study on structural, spectral, and magnetic properties of Pr–Bi co-doped M-type barium–strontium hexaferrites via the solid-state reaction method. Appl. Phys. A 2018, 124, 854. [Google Scholar] [CrossRef]
- Ashiq, M.N.; Iqbal, M.J.; Gul, I.H. Effect of Al-Cr doping on the structural, magnetic and dielectric properties of strontium hexaferrite nanomaterials. J. Magn. Magn. Mater. 2011, 323, 259–263. [Google Scholar] [CrossRef]










| x | a (nm) | c (nm) | c/a | vcell | D (nm) | χ2 | 
|---|---|---|---|---|---|---|
| x = 0.00 | 5.891 | 23.079 | 3.917 | 693.63 | 46.20 | 1.39 | 
| x = 0.03 | 5.886 | 23.058 | 3.917 | 693.54 | 45.18 | 1.16 | 
| x = 0.06 | 5.887 | 23.060 | 3.917 | 692.02 | S | 1.14 | 
| x = 0.09 | 5.884 | 23.067 | 3.920 | 693.27 | 47.66 | 1.20 | 
| x = 0.12 | 5.884 | 23.069 | 3.921 | 690.72 | 49.24 | 1.23 | 
| x = 0.15 | 5.886 | 23.082 | 3.922 | 691.01 | 44.21 | 1.14 | 
| x | MS/(emu/g) | Mr/(emu/g) | Mr/Ms | Hc (Oe) | K1 (×105 emu/cm3) | Ha (kOe) | nB | 
|---|---|---|---|---|---|---|---|
| 0.00 | 74.68 | 33.52 | 0.449 | 3622.9 | 7.02 | 1.88 | 14.19 | 
| 0.03 | 76.76 | 36.52 | 0.476 | 3926.1 | 6.77 | 1.76 | 14.61 | 
| 0.06 | 75.24 | 37.59 | 0.499 | 4037.9 | 6.68 | 1.78 | 14.35 | 
| 0.09 | 73.20 | 35.09 | 0.479 | 4277.3 | 6.12 | 1.67 | 13.96 | 
| 0.12 | 74.49 | 37.79 | 0.507 | 4197.5 | 6.08 | 1.63 | 14.22 | 
| 0.15 | 70.18 | 33.82 | 0.482 | 4309.2 | 5.59 | 1.59 | 13.41 | 
| Publisher’s Note: MDPI stays neutral with regard to jurisdictional claims in published maps and institutional affiliations. | 
© 2022 by the authors. Licensee MDPI, Basel, Switzerland. This article is an open access article distributed under the terms and conditions of the Creative Commons Attribution (CC BY) license (https://creativecommons.org/licenses/by/4.0/).
Share and Cite
Zhang, W.; Li, P.; Wang, Y.; Guo, J.; Li, J.; Shan, S.; Ma, S.; Suo, X. Structure, Spectra, Morphology, and Magnetic Properties of Nb5+ Ion-Substituted Sr Hexaferrites. Magnetochemistry 2022, 8, 51. https://doi.org/10.3390/magnetochemistry8050051
Zhang W, Li P, Wang Y, Guo J, Li J, Shan S, Ma S, Suo X. Structure, Spectra, Morphology, and Magnetic Properties of Nb5+ Ion-Substituted Sr Hexaferrites. Magnetochemistry. 2022; 8(5):51. https://doi.org/10.3390/magnetochemistry8050051
Chicago/Turabian StyleZhang, Wenhao, Pengwei Li, Yonglun Wang, Jing Guo, Jie Li, Shuo Shan, Saisai Ma, and Xing Suo. 2022. "Structure, Spectra, Morphology, and Magnetic Properties of Nb5+ Ion-Substituted Sr Hexaferrites" Magnetochemistry 8, no. 5: 51. https://doi.org/10.3390/magnetochemistry8050051
APA StyleZhang, W., Li, P., Wang, Y., Guo, J., Li, J., Shan, S., Ma, S., & Suo, X. (2022). Structure, Spectra, Morphology, and Magnetic Properties of Nb5+ Ion-Substituted Sr Hexaferrites. Magnetochemistry, 8(5), 51. https://doi.org/10.3390/magnetochemistry8050051
 
         
                                                
 
       