Tuning of Structural, Dielectric, and Electronic Properties of Cu Doped Co–Zn Ferrite Nanoparticles for Multilayer Inductor Chip Applications
Abstract
1. Introduction
2. Materials and Method
2.1. Materials
2.2. Method
2.3. Characterization
3. Results and Discussion
3.1. XRD
3.2. Morphology and EDX Analysis
3.3. FTIR
3.4. XPS and Cationic Distribution
- (I)
- Co 0.5 Zn0.5Fe2O4 = [Zn2+ 0.5Co2+0.15Fe3+0.86]T[Co2+0.11Co3+0.24Fe2+0.86Fe3+0.46]O
- (II)
- Cu0.05Co0.5Zn0.5Fe1.95O4 = [Cu1+0.05Zn2+0.5Co2+0.7Fe3+0.65]T [Co2+0.12Co3+0.31Fe2+0.8Fe3+0.5]O
- (III)
- Cu0.1Co0.5Zn0.5Fe1.90O4 = [Cu2+0.1Zn2+0.5Co2+0.15Fe3+0.66]T [Co2+0.12Co3+0.33Fe2+0.74Fe3+0.5]O
- (IV)
- Cu0.15Co0.5Zn0.5Fe1.90O4 = [Cu2+0.15Zn2+0.5Co2+0.16Fe3+0.63]T [Co2+0.13Co3+0.33Fe2+0.74Fe3+0.63]O
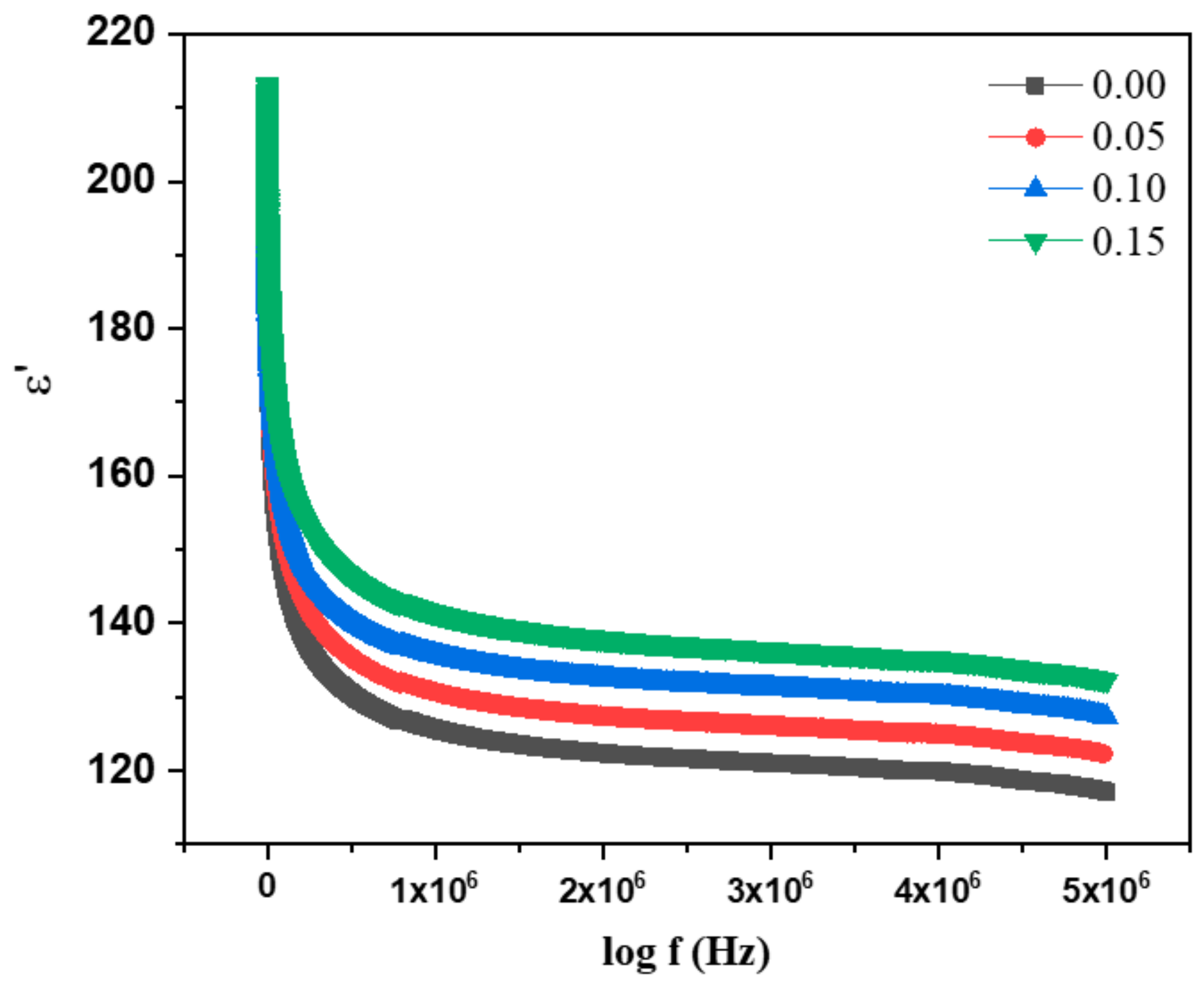
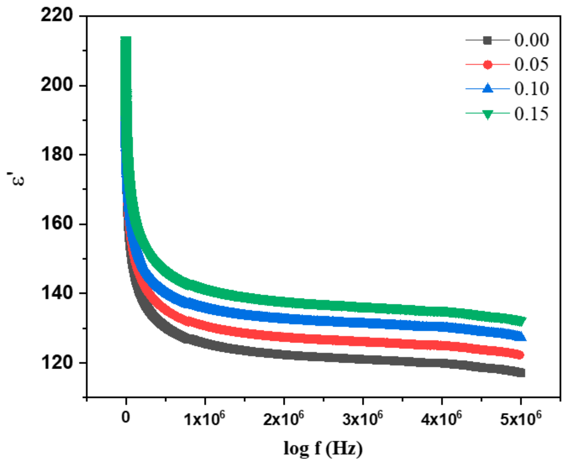
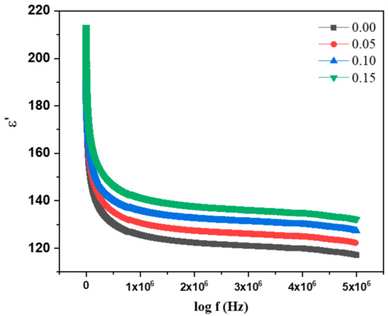
3.5. Dielectric Measurement
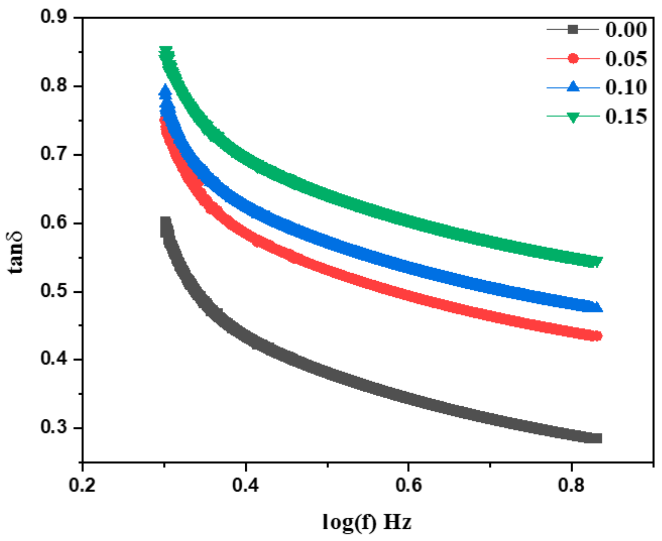
3.6. Dielectric Loss (tanδ)
3.7. AC Conductivity (σac)
3.8. Magnetic Properties
4. Conclusions
Author Contributions
Funding
Data Availability Statement
Acknowledgments
Conflicts of Interest
References
- Lisiecki, I.; Pileni, M.P. Synthesis of copper metallic clusters using reverse micelles as microreactors. J. Am. Chem. Soc. 1993, 115, 3887–3896. [Google Scholar] [CrossRef]
- Petit, C.; Lixon, P.; Pileni, M.P. In situ synthesis of silver nanocluster in AOT reverse micelles. J. Phys. Chem. 1993, 97, 12974–12983. [Google Scholar] [CrossRef]
- Gubbala, S.; Nathani, H.; Koizol, K.; Misra, R.D.K. Magnetic properties of nanocrystalline Ni–Zn, Zn–Mn, and Ni–Mn ferrites synthesized by reverse micelle technique. Phys. B Condens. Matter 2004, 348, 317–328. [Google Scholar] [CrossRef]
- Berkowitz, E.A.; Schuele, J.W. Magnetic properties of some ferrite micropowders. J. Appl. Phys. 1959, 30, S134–S135. [Google Scholar] [CrossRef]
- Lee, J.G.; Park, J.Y.; Oh, Y.J.; Kim, C.S. Magnetic properties of CoFe 2 O 4 thin films prepared by a sol-gel method. J. Appl. Phys. 1998, 84, 2801–2804. [Google Scholar] [CrossRef]
- el Foulani, A.H.; Aamouche, A.; Mohseni, F.; Amaral, J.S.; Tobaldi, D.M.; Pullar, R.C. Effect of surfactants on the optical and magnetic properties of cobalt-zinc ferrite Co0. 5Zn0. 5Fe2O4. J. Alloy. Compd. 2019, 774, 1250–1259. [Google Scholar] [CrossRef]
- Yousefi, M.H.; Manouchehri, S.; Arab, A.; Mozaffari, M.; Amiri, G.R.; Amighian, J. Preparation of cobalt–zinc ferrite (Co0. 8Zn0. 2Fe2O4) nanopowder via combustion method and investigation of its magnetic properties. Mater. Res. Bull. 2010, 45, 1792–1795. [Google Scholar] [CrossRef]
- Tirosh, E.; Shemer, G.; Markovich, G. Optimizing cobalt ferrite nanocrystal synthesis using a magneto-optical probe. Chem. Mater. 2006, 18, 465–470. [Google Scholar] [CrossRef]
- Iatridi, Z.; Vamvakidis, K.; Tsougos, I.; Vassiou, K.; Dendrinou-Samara, C.; Bokias, G. Multifunctional polymeric platform of magnetic ferrite colloidal superparticles for luminescence, imaging, and hyperthermia applications. ACS Appl. Mater. Interfaces 2016, 8, 35059–35070. [Google Scholar] [CrossRef]
- Gu, H.; Xu, K.; Yang, Z.; Chang, C.K.; Xu, B. Synthesis and cellular uptake of porphyrin decorated iron oxide nanoparticles—a potential candidate for bimodal anticancer therapy. Chem. Commun. 2005, 34, 4270–4272. [Google Scholar] [CrossRef]
- Lüders, U.; Barthelemy, A.; Bibes, M.; Bouzehouane, K.; Fusil, S.; Jacquet, E.; Contour, J.P.; Bobo, J.F.; Fontcuberta, J.; Fert, A. NiFe2O4: A versatile spinel material brings new opportunities for spintronics. Adv. Mater. 2006, 18, 1733–1736. [Google Scholar] [CrossRef]
- Baldi, G.; Bonacchi, D.; Innocenti, C.; Lorenzi, G.; Sangregorio, C. Cobalt ferrite nanoparticles: The control of the particle size and surface state and their effects on magnetic properties. J. Magn. Magn. Mater. 2007, 311, 10–16. [Google Scholar] [CrossRef]
- Halder, S.; Liba, S.I.; Nahar, A.; Sikder, S.S.; Hoque, S.M. To study the surface modified cobalt zinc ferrite nanoparticles for application to magnetic hyperthermia. AIP Adv. 2020, 10, 125308. [Google Scholar] [CrossRef]
- Feng, J.; Xiong, R.; Liu, Y.; Su, F.; Zhang, X. Preparation of cobalt substituted zinc ferrite nanopowders via auto-combustion route: An investigation to their structural and magnetic properties. J. Mater. Sci. Mater. Electron. 2018, 29, 18358–18371. [Google Scholar] [CrossRef]
- Köseoğlu, Y.; Baykal, A.; Gözüak, F.A.; Kavas, H.Ü. Structural and magnetic properties of CoxZn1− xFe2O4 nanocrystals synthesized by microwave method. Polyhedron 2009, 28, 2887–2892. [Google Scholar] [CrossRef]
- Tang, X.X.; Manthiram, A.; Goodenough, J.B. Copper ferrite revisited. J. Solid State Chem. 1989, 79, 250–262. [Google Scholar] [CrossRef]
- Mahalakshmi, S.; Manja, K.S.; Nithiyanantham, S. Structural and morphological studies of copper-doped nickel ferrite. J. Supercond. Nov. Magn. 2015, 28, 3093–3098. [Google Scholar] [CrossRef]
- Ghosh, M.P.; Datta, S.; Sharma, R.; Tanbir, K.; Kar, M.; Mukherjee, S. Copper doped nickel ferrite nanoparticles: Jahn-Teller distortion and its effect on microstructural, magnetic and electronic properties. Mater. Sci. Eng. B 2021, 263, 114864. [Google Scholar]
- Köppel, H.; Yarkony, D.R.; Barentzen, H. (Eds.) The Jahn-Teller Effect: Fundamentals and Implications for Physics and Chemistry; Springer Science & Business Media: Berlin/Heidelberg, Germany, 2009; Volume 97. [Google Scholar]
- Villette, C.; Tailhades, P.; Rousset, A. Thermal behavior and magnetic properties of acicular copper-cobalt ferrite particles. J. Solid State Chem. 1995, 117, 64–72. [Google Scholar] [CrossRef]
- Kargar, Z.; Asgarian, S.M.; Mozaffari, M. Positron annihilation and magnetic properties studies of copper substituted nickel ferrite nanoparticles. Nucl. Instrum. Methods Phys. Res. Sect. B Beam Interact. Mater. At. 2016, 375, 71–78. [Google Scholar] [CrossRef]
- Humbe, A.V.; Nawle, A.C.; Shinde, A.B.; Jadhav, K.M. Impact of Jahn Teller ion on magnetic and semiconducting behaviour of Ni-Zn spinel ferrite synthesized by nitrate-citrate route. J. Alloy. Compd. 2017, 691, 343–354. [Google Scholar] [CrossRef]
- Batoo, K.M.; Ansari, M.S. Low temperature-fired Ni-Cu-Zn ferrite nanoparticles through auto-combustion method for multilayer chip inductor applications. Nanoscale Res. Lett. 2012, 7, 1–14. [Google Scholar] [CrossRef]
- Qindeel, R.; Alonizan, N.H. Structural, dielectric and magnetic properties of cobalt based spinel ferrites. Curr. Appl. Phys. 2018, 18, 519–525. [Google Scholar] [CrossRef]
- Sujatha, C.; Reddy, K.V.; Babu, K.S.; Reddy, A.R.; Rao, K.H. Structural and magnetic properties of Ni 0.5− X mg x cu 0.05 Zn 0.45 Fe 2 O 4 ferrites for multilayer chip inductor applications. In International Conference on Nanoscience, Engineering and Technology (ICONSET 2011); IEEE: New York, NY, USA, 2011; pp. 19–22. [Google Scholar]
- Radoń, A.; Hawełek, Ł.; Łukowiec, D.; Kubacki, J.; Włodarczyk, P. Dielectric and electromagnetic interference shielding properties of high entropy (Zn, Fe, Ni, Mg, Cd) Fe 2 O 4 ferrite. Sci. Rep. 2019, 9, 1–13. [Google Scholar] [CrossRef]
- Xie, J.; Han, M.; Chen, L.; Kuang, R.; Deng, L. Microwave-absorbing properties of NiCoZn spinel ferrites. J. Magn. Magn. Mater. 2007, 314, 37–42. [Google Scholar] [CrossRef]
- Gurusiddesh, M.; Madhu, B.J.; Shankaramurthy, G.J. Structural, dielectric, magnetic and electromagnetic interference shielding investigations of polyaniline decorated Co 0.5 Ni 0.5 Fe 2 O 4 nanoferrites. J. Mater. Sci. Mater. Electron. 2018, 29, 3502–3509. [Google Scholar] [CrossRef]
- Sulaiman, J.M.; Ismail, M.M.; Rafeeq, S.N.; Mandal, A. Enhancement of electromagnetic interference shielding based on Co 0.5 Zn 0.5 Fe 2 O 4/PANI-PTSA nanocomposites. Appl. Phys. A 2020, 126, 1–9. [Google Scholar] [CrossRef]
- Brinker, C.J.; Scherer, G.W. Sol.-Gel Science: The Physics and Chemistry of Sol.-Gel Processing; Academic Press: Cambridge, MA, USA, 2013. [Google Scholar]
- Patil, V.G.; Shirsath, S.E.; More, S.D.; Shukla, S.J.; Jadhav, K.M. Effect of zinc substitution on structural and elastic properties of cobalt ferrite. J. Alloy. Compd. 2009, 488, 199–203. [Google Scholar] [CrossRef]
- A.D.S. Blog, Publication: Journal of Molecular Structure Pub Date: February 2018. Available online: https://ui.adsabs.harvard.edu/abs/2017JMoSt1147..697./abstract (accessed on 1 April 2021).
- Anjum, S.; Sehar, F.; Awan, M.S.; Zia, R. Role of Bi 3+ substitution on structural, magnetic and optical properties of cobalt spinel ferrite. Appl. Phys. A 2016, 122, 436. [Google Scholar] [CrossRef]
- Zhang, C.F.; Zhong, X.C.; Yu, H.Y.; Liu, Z.W.; Zeng, D.C. Effects of cobalt doping on the microstructure and magnetic properties of Mn–Zn ferrites prepared by the co-precipitation method. Phys. B Condens. Matter 2009, 404, 2327–2331. [Google Scholar] [CrossRef]
- Yadav, R.S.; Kuřitka, I.; Vilcakova, J.; Havlica, J.; Masilko, J.; Kalina, L.; Tkacz, J.; Švec, J.; Enev, V.; Hajdúchová, M. Impact of grain size and structural changes on magnetic, dielectric, electrical, impedance and modulus spectroscopic characteristics of CoFe2O4 nanoparticles synthesized by honey mediated sol-gel combustion method. Adv. Nat. Sci. Nanosci. Nanotechnol. 2017, 8, 045002. [Google Scholar]
- Debnath, S.; Deb, K.; Saha, B.; Das, R. X-ray diffraction analysis for the determination of elastic properties of zinc-doped manganese spinel ferrite nanocrystals (Mn0. 75Zn0. 25Fe2O4), along with the determination of ionic radii, bond lengths, and hopping lengths. J. Phys. Chem. Solids 2019, 134, 105–114. [Google Scholar] [CrossRef]
- Mugutkar, A.B.; Gore, S.K.; Mane, R.S.; Batoo, K.M.; Adil, S.F.; Jadhav, S.S. Magneto-structural behaviour of Gd doped nanocrystalline Co-Zn ferrites governed by domain wall movement and spin rotations. Ceram. Int. 2018, 44, 21675–21683. [Google Scholar] [CrossRef]
- Asiri, S.; Sertkol, M.; Guner, S.; Gungunes, H.; Batoo, K.M.; Saleh, T.A.; Sozeri, H.; Almessiere, M.A.; Manikandan, A.; Baykal, A. Hydrothermal synthesis of CoyZnyMn1-2yFe2O4 nanoferrites: Magneto-optical investigation. Ceram. Int. 2018, 44, 5751–5759. [Google Scholar]
- Qamar, S.; Akhtar, M.N.; Batoo, K.M.; Raslan, E.H. Structural and magnetic features of Ce doped Co-Cu-Zn spinel nanoferrites prepared using sol gel self-ignition method. Ceram. Int. 2020, 46, 14481–14487. [Google Scholar] [CrossRef]
- Markova-Deneva, I. Infrared spectroscopy investigation of metallic nanoparticles based on copper, cobalt, and nickel synthesized through borohydride reduction method. J. Univ. Chem. Technol. Metall. 2010, 45, 351–378. [Google Scholar]
- Veverka, M.; Jirák, Z.; Kaman, O.; Knížek, K.; Maryško, M.; Pollert, E.; Závěta, K.; Lančok, A.; Dlouhá, M.; Vratislav, S. Distribution of cations in nanosize and bulk Co–Zn ferrites. Nanotechnology 2011, 22, 345701. [Google Scholar] [CrossRef]
- Murray, P.J.; Linnett, J.W. Cation distribution in the spinels CoxFe3− xO4. J. Phys. Chem. Solids 1976, 37, 1041–1042. [Google Scholar] [CrossRef]
- Bennet, J.; Tholkappiyan, R.; Vishista, K.; Jaya, N.V.; Hamed, F. Attestation in self-propagating combustion approach of spinel AFe2O4 (A= Co, Mg and Mn) complexes bearing mixed oxidation states: Magnetostructural properties. Appl. Surf. Sci. 2016, 383, 113–125. [Google Scholar] [CrossRef]
- Vinuthna, C.H.; Chandra Babu Naidu, K.; Dachepalli, R. Magnetic and antimicrobial properties of cobalt-zinc ferrite nanoparticles synthesized by citrate-gel method. Int. J. Appl. Ceram. Technol. 2019, 16, 1944–1953. [Google Scholar]
- Wang, W.P.; Yang, H.; Xian, T.; Jiang, J.L. XPS and magnetic properties of CoFe2O4 nanoparticles synthesized by a polyacrylamide gel route. Mater. Trans. 2012, 53, 1586–1589. [Google Scholar] [CrossRef]
- Shannon, R.T.; Prewitt, C.T. Revised values of effective ionic radii. Acta Crystallogr. Sect. B Struct. Crystallogr. Cryst. Chem. 1970, 26, 1046–1048. [Google Scholar] [CrossRef]
- Zhang, H.; Li, C.; Lyu, L.; Hu, C. Surface oxygen vacancy inducing peroxymonosulfate activation through electron donation of pollutants over cobalt-zinc ferrite for water purification. Appl. Catal. B Environ. 2020, 270, 118874. [Google Scholar] [CrossRef]
- Muthukumar, K.; Lakshmi, D.S.; Acharya, S.D.; Natarajan, S.; Mukherjee, A.; Bajaj, H.C. Solvothermal synthesis of magnetic copper ferrite nano sheet and its antimicrobial studies. Mater. Chem. Phys. 2018, 209, 172–179. [Google Scholar] [CrossRef]
- Jauhar, S.; Singhal, S. Substituted cobalt nano-ferrites, CoMxFe2− xO4 (M= Cr3+, Ni2+, Cu2+, Zn2+; 0.2≤ x≤ 1.0) as heterogeneous catalysts for modified Fenton’s reaction. Ceram. Int. 2014, 40, 11845–11855. [Google Scholar] [CrossRef]
- Yu, R.; Zhao, J.; Zhao, Z.; Cui, F. Copper substituted zinc ferrite with abundant oxygen vacancies for enhanced ciprofloxacin degradation via peroxymonosulfate activation. J. Hazard. Mater. 2020, 390, 121998. [Google Scholar] [CrossRef]
- Batoo, K.M.; Kumar, S.; Lee, C.G. Influence of Al doping on electrical properties of Ni–Cd nano ferrites. Curr. Appl. Phys. 2009, 9, 826–832. [Google Scholar] [CrossRef]
- Hashim, M.; Kumar, S.; Koo, B.H.; Shirsath, S.E.; Mohammed, E.M.; Shah, J.; Kotnala, R.K.; Choi, H.K.; Chung, H.; Kumar, R. Structural, electrical and magnetic properties of Co–Cu ferrite nanoparticles. J. Alloy. Compd. 2012, 518, 11–18. [Google Scholar] [CrossRef]
- Batoo, K.M.; Kumar, G.; Yang, Y.; Al-Douri, Y.; Singh, M.; Jotania, R.B.; Imran, A. Structural, morphological and electrical properties of Cd2+ doped MgFe2-xO4 ferrite nanoparticles. J. Alloy. Compd. 2017, 726, 179–186. [Google Scholar] [CrossRef]
- Batoo, K.M.; Raslan, E.H.; Yang, Y.; Adil, S.F.; Khan, M.; Imran, A.; Al-Douri, Y. Structural, dielectric and low temperature magnetic response of Zn doped cobalt ferrite nanoparticles. AIP Adv. 2019, 9, 055202. [Google Scholar] [CrossRef]
- Rao, P.A.; Rao, K.S.; Raju, T.P.; Kapusetti, G.; Choppadandi, M.; Varma, M.C.; Rao, K.H. A systematic study of cobalt-zinc ferrite nanoparticles for self-regulated magnetic hyperthermia. J. Alloy. Compd. 2019, 794, 60–67. [Google Scholar]
- Asgarian, S.M.; Pourmasoud, S.; Kargar, Z.; Sobhani-Nasab, A.; Eghbali-Arani, M. Investigation of positron annihilation lifetime and magnetic properties of Co1− xCuxFe2O4 nanoparticles. Mater. Res. Express 2018, 6, 015023. [Google Scholar] [CrossRef]
- Tedjieukeng, H.M.K.; Tsobnang, P.K.; Fomekong, R.L.; Etape, E.P.; Joy, P.A.; Delcorte, A.; Lambi, J.N. Structural characterization and magnetic properties of undoped and copper-doped cobalt ferrite nanoparticles prepared by the octanoate coprecipitation route at very low dopant concentrations. RSC Adv. 2018, 8, 38621–38630. [Google Scholar] [CrossRef]
- Baykal, A.; Guner, S.; Gungunes, H.; Batoo, K.M.; Amir, M.; Manikandan, A. Magneto optical properties and hyperfine interactions of Cr 3+ ion substituted copper ferrite nanoparticles. J. Inorg. Organomet. Polym. Mater. 2018, 28, 2533–2544. [Google Scholar] [CrossRef]
- Jiang, N.N.; Yang, Y.; Zhang, Y.X.; Zhou, J.P.; Liu, P.; Deng, C.Y. Influence of zinc concentration on structure, complex permittivity and permeability of Ni–Zn ferrites at high frequency. J. Magn. Magn. Mater. 2016, 401, 370–377. [Google Scholar] [CrossRef]














| Co0.5Zn0.5Fe2−xCuxO4 | x = 0.0 | x = 0.05 | x = 0.1 | x = 0.15 |
|---|---|---|---|---|
| Lattice constant “a” (Å) | 8.4032 | 8.3961 | 8.4024 | 8.3651 |
| Crystallite size Dscherrer (nm) | 24.43 | 23.19 | 22.6 | 22.23 |
| Strain(ε) | 0.00187 | 0.0036 | 0.0036 | 0.0036 |
| Volume (Å)3 | 593.38 | 591.87 | 593.21 | 585.34 |
| dAX (Å) | 1.9064 | 1.905 | 1.9064 | 1.8979 |
| dBX (Å) | 2.052 | 2.0503 | 2.0518 | 2.0427 |
| dAXE (Å) | 2.9801 | 3.1109 | 3.1132 | 3.0994 |
| dBXE (Å) | 2.8283 | 2.8259 | 2.828 | 2.8155 |
| dBXEU (Å) | 2.9726 | 2.9701 | 2.7809 | 2.9592 |
| rA (Å) | 0.5866 | 0.5850 | 0.5864 | 0.5780 |
| rB (Å) | 0.7303 | 0.7286 | 0.7301 | 0.721 |
| LA (Å) | 3.6380 | 3.6356 | 3.6391 | 3.6221 |
| LB (Å) | 2.9709 | 2.9684 | 2.9706 | 2.9575 |
| Composition | Grain Size | Vibrational Modes (υ1) | Vibrational Modes (υ2) |
|---|---|---|---|
| x | nm | cm−1 | cm−1 |
| x = 0.0 | 32.69 | 424 | 580 |
| x= 0.05 | 21.90 | 421 | 583 |
| x = 0.1 | 24.29 | 420 | 584 |
| x = 0.15 | 23.72 | 419 | 586 |
| Cu2+ | K (erg/cm3) | SQR | ||||
|---|---|---|---|---|---|---|
| 0.0 | 52.03 | 82.71 | 8.03 | 4482.7 | 0.154 | 2.2 |
| 0.05 | 46.41 | 79.51 | 7.2 | 3890.1 | 0.155 | 1.97 |
| 0.1 | 55.61 | 78.64 | 8.81 | 4555.3 | 0.112 | 2.37 |
| 0.15 | 49.47 | 79.39 | 7.81 | 40861.1 | 0.157 | 2.1 |
Publisher’s Note: MDPI stays neutral with regard to jurisdictional claims in published maps and institutional affiliations. |
© 2021 by the authors. Licensee MDPI, Basel, Switzerland. This article is an open access article distributed under the terms and conditions of the Creative Commons Attribution (CC BY) license (https://creativecommons.org/licenses/by/4.0/).
Share and Cite
Hadi, M.; Batoo, K.M.; Chauhan, A.; Aldossary, O.M.; Verma, R.; Yang, Y. Tuning of Structural, Dielectric, and Electronic Properties of Cu Doped Co–Zn Ferrite Nanoparticles for Multilayer Inductor Chip Applications. Magnetochemistry 2021, 7, 53. https://doi.org/10.3390/magnetochemistry7040053
Hadi M, Batoo KM, Chauhan A, Aldossary OM, Verma R, Yang Y. Tuning of Structural, Dielectric, and Electronic Properties of Cu Doped Co–Zn Ferrite Nanoparticles for Multilayer Inductor Chip Applications. Magnetochemistry. 2021; 7(4):53. https://doi.org/10.3390/magnetochemistry7040053
Chicago/Turabian StyleHadi, Muhammad, Khalid Mujasam Batoo, Ankush Chauhan, Omar M. Aldossary, Ritesh Verma, and Yujie Yang. 2021. "Tuning of Structural, Dielectric, and Electronic Properties of Cu Doped Co–Zn Ferrite Nanoparticles for Multilayer Inductor Chip Applications" Magnetochemistry 7, no. 4: 53. https://doi.org/10.3390/magnetochemistry7040053
APA StyleHadi, M., Batoo, K. M., Chauhan, A., Aldossary, O. M., Verma, R., & Yang, Y. (2021). Tuning of Structural, Dielectric, and Electronic Properties of Cu Doped Co–Zn Ferrite Nanoparticles for Multilayer Inductor Chip Applications. Magnetochemistry, 7(4), 53. https://doi.org/10.3390/magnetochemistry7040053

