Study of the Magnetohydrodynamic Instability and a New Suppression Method in Liquid Metal Batteries
Abstract
1. Introduction
2. Mathematical Formulations
2.1. Numerical Model
- Both the viscous dissipation and Joule heating are neglected, which means the system temperature is fixed at 500 °C and the physical properties of all the materials remain constant;
- At all solid–liquid interfaces, the no-slip condition is adopted, and a uniform contact angle is maintained (90°);
- The surface tension at all liquid–liquid interfaces is the same and remains constant (0.07 N∙m−1);
- The side walls of LMBs are electrically insulated, while the top and bottom walls are both perfectly conducting;
- The thickness of all walls is ignored.
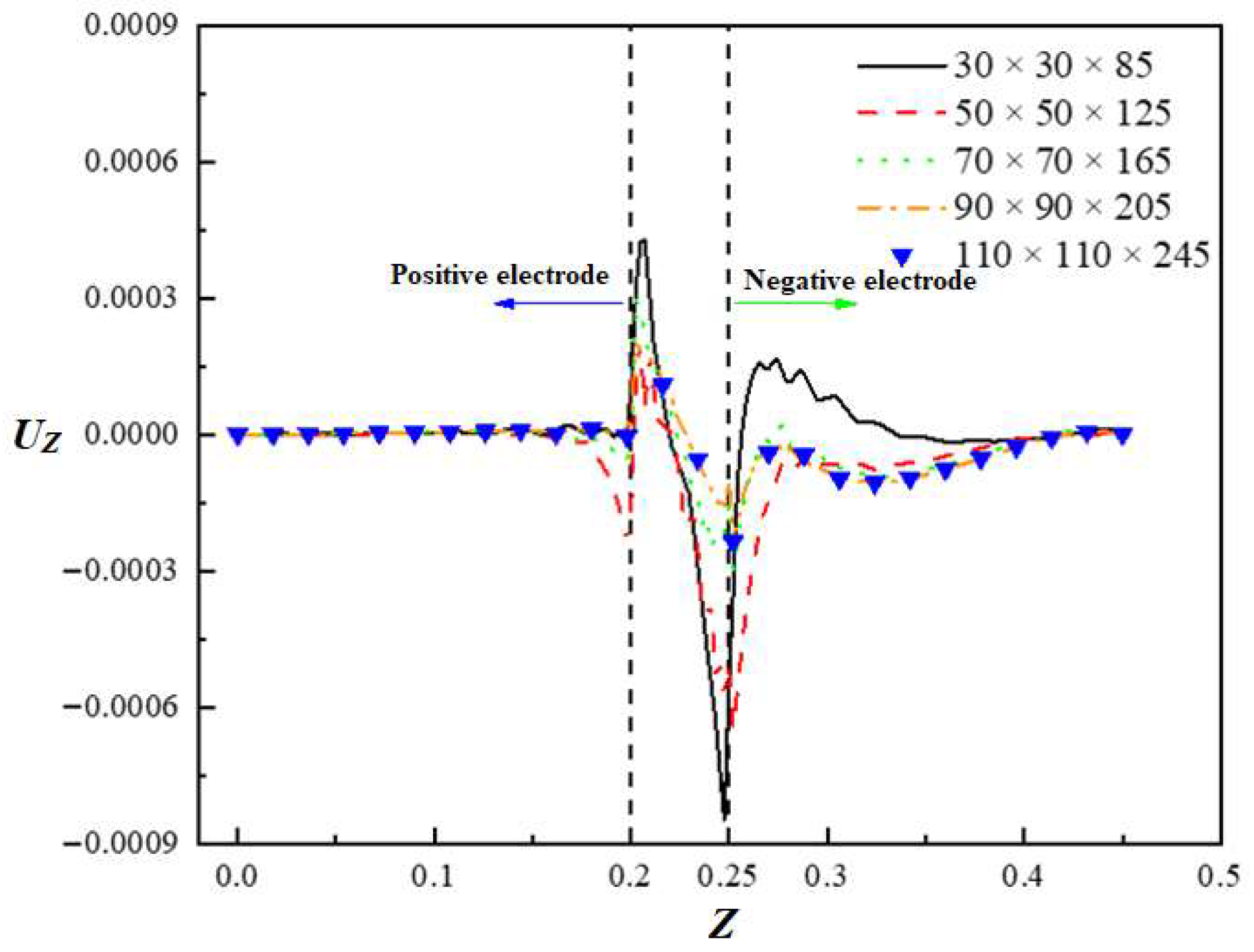
2.2. Numerical Method and Validation
3. Magnetohydrodynamic Instability in LMBs
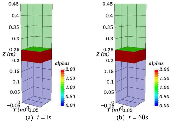
3.1. Evolution of Magnetohydrodynamic Instability
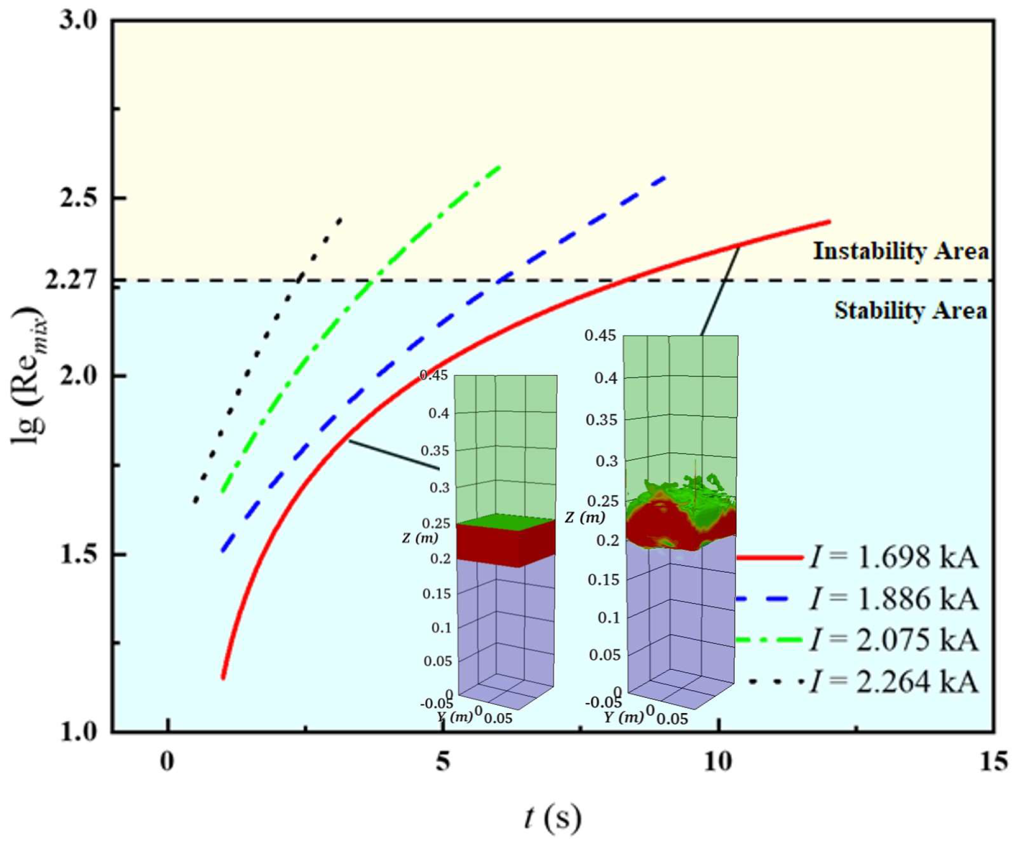
3.2. Critical Parameter
4. Instability Suppression Based on Busbar Current
4.1. Configuration of Busbar Current
4.2. Inhibition Effect of Busbar Current on MHDI
4.3. Critical Parameters for Batteries with Busbar Currents
5. Conclusions and Outlook
- Through the investigation of the instability evolution process in LMBs subjected to varying charging and discharging currents, it is found that there exists a threshold current value. Beyond this critical threshold, the electrolyte layer interface experiences significant and violent fluctuations, ultimately leading to short circuits due to the contact between the positive and negative electrodes of the battery.
- The instability growth rate γ is defined in terms of the temporal evolution of the characteristic velocity. The critical Hartmann number, at which instability occurs, can be deduced from the extrapolation point where . Furthermore, a novel critical parameter, termed the mixed Reynolds number Remix, has been introduced to assess the stable operation duration of batteries under various charging and discharging currents, even when these currents exceed the recommended safe limits.
- A method has been proposed to mitigate MHDI in LMBs by strategically configuring the bus current. A comparison of LMB operation with and without this bus current configuration reveals that, when the bus current is appropriately configured, the magnetic field strength within the battery is markedly decreased by approximately 40%, thereby effectively suppressing the instability.
Author Contributions
Funding
Institutional Review Board Statement
Informed Consent Statement
Data Availability Statement
Conflicts of Interest
Abbreviations
| a | Distance between battery centers | m |
| A | Magnetic vector potential | kg·m·s−2·A−1 |
| B | Induced magnetic field | kg·s−2·A−1 |
| E | Electric potential | kg·m2·s−3·A−1 |
| FL | Lorentz force | kg·m−2·s−2 |
| g | Gravitational acceleration | m·s−2 |
| h | Height of the model | m |
| Ha | Hartmann number | - |
| I | Electric current | A |
| Ich | Charging current | A |
| Icr | Critical charging current | A |
| J | Electric current density | A·m−2 |
| lx, ly | Horizontal dimensions of the model | m |
| n | Unit normal vectors | - |
| p | Pressure | kg·m−1·s−2 |
| r | Positional vectors | m |
| Remix | Mixed Reynold number | - |
| Sf | Normal vector of grid face | m2 |
| t | Time | s |
| u, U | Velocity | m·s−1 |
| Root mean square velocity | m·s−1 | |
| Greek symbols | ||
| α | Volume fraction | - |
| γ | Growth rate of MHDI | - |
| Γ | Aspect ratio | - |
| μmag | Magnetic permeability | kg−1·m−3·s3·A2 |
| μ0 | Magnetic permeability of vacuum | kg−1·m−3·s3·A2 |
| ν | Kinematic viscosity | m2·s−1 |
| ρ | Density | kg·m−3 |
| σ | Electrical conductivity | kg−1·m−3·s3·A2 |
| Cell volume | m3 | |
References
- Sang, X.C.; Xu, X.X.; Bu, Z.Y.; Zhai, S.H.; Sun, Y.M.; Ruan, M.Y.; Li, Q. Application of Electron Paramagnetic Resonance in an Electrochemical Energy Storage System. Magnetochemistry 2023, 9, 63. [Google Scholar] [CrossRef]
- Alburaih, H.A.; Haq, M.A.U.; Jabbar, A.; Rehman, A.U.; Laref, A.; Elkhalig, M.; Noor, N.A. Structural, Morphological and Ferroelectric Properties of Sr-Cd Co-Doped Nickel Ferrite for Energy Storage Devices. Magnetochemistry 2024, 10, 48. [Google Scholar] [CrossRef]
- Wang, K.L.; Jiang, K.; Chung, B.; Ouchi, T.; Burke, P.J.; Boysen, D.A.; Bradwell, D.J.; Kim, H.; Muecke, U.; Sadoway, D.R. Lithium-Antimony-Lead Liquid Metal Battery for Grid-Level Energy Storage. Nature 2014, 514, 348–350. [Google Scholar] [CrossRef] [PubMed]
- Liu, K.; Chen, L.; Guo, J.R.; Li, B.W.; Huang, L.Y. A New Method to Improve the Efficiency of Liquid Metal Batteries Based on Magnetohydrodynamic Instability Analysis. J. Power Sources 2021, 495, 229813. [Google Scholar] [CrossRef]
- Zhang, Y.; Fan, L.; Li, H.M.; Li, B.; Wang, K.L.; Zhou, M.; Jiang, K. Investigation on electro-thermal behavior of liquid metal batteries under various abusive conditions. Appl. Energy 2025, 377, 124715. [Google Scholar] [CrossRef]
- Zhou, X.B.; Fan, L.; Ning, J.; Zhou, H.; Zhang, W.X.; Li, B.; Li, H.M.; Wang, K.L.; Jiang, K. Regulating the discharge performance and electrode interface of liquid metal batteries through external magnetic fields. Appl. Energy 2025, 383, 125408. [Google Scholar] [CrossRef]
- Ouchi, T.; Kim, H.; Spatocco, B.L.; Sadoway, D.R. Calcium-Based Multi-element Chemistry for Grid-Scale Electrochemical Energy Storage. Nat. Commun. 2016, 7, 10999. [Google Scholar] [CrossRef]
- Personnettaz, P.; Beckstein, P.; Landgraf, S.; Köllner, T.; Nimtz, M.; Weber, N.; Weier, T. Thermally Driven Convection in Li||Bi Liquid Metal Batteries. J. Power Sources 2018, 401, 362–374. [Google Scholar] [CrossRef]
- Selimefendigil, F.; Öztop, H.F. MHD Nanofluid Convection and Phase Change Dynamics in a Multi-Port Vented Cavity Equipped with a Sinusoidal PCM-Packed Bed System. Magnetochemistry 2022, 8, 190. [Google Scholar] [CrossRef]
- Liu, K.; Stefani, F.; Weber, N.; Weier, T.; Li, B.W. Numerical and Experimental Investigation of Electro-Vortex Flow in a Cylindrical Container. Magnetohydrodynamics 2020, 56, 27–41. [Google Scholar] [CrossRef]
- Liu, K.; Stefani, F.; Weber, N.; Weier, T.; Li, B.W. Transient Behaviour of Electrovortex Flow in a Cylindrical Container. Magnetohydrodynamics 2021, 57, 437–448. [Google Scholar]
- Song, J.J.; Li, P.X.; Chen, L.; Li, C.H.; Li, B.W.; Huang, L.Y. A Review on Rayleigh-Benard Convection Influenced by the Complicating Factors. Int. Commun. Heat Mass Transf. 2023, 144, 106784. [Google Scholar] [CrossRef]
- Li, P.X.; Luo, X.H.; Chen, L.; Song, J.J.; Li, B.W.; Karcher, C. Numerical Research for the Effect of Magnetic Field on Convective Transport Process of Molten Salt in Rayleigh-Benard System. Int. J. Therm. Sci. 2024, 195, 108605. [Google Scholar] [CrossRef]
- Song, J.J.; Li, P.X.; Chen, L.; Zhao, Y.H.; Tian, F.S.; Li, B.W. Scaling Law of Flow and Heat Transfer Characteristics in Turbulent Radiative Rayleigh-Bénard Convection of Optically Thick Media. Energies 2024, 17, 5009. [Google Scholar] [CrossRef]
- Rüdiger, G.; Schultz, M.; Shalybkov, D.; Hollerbach, R. Theory of Current-Driven Instability Experiments in Magnetic Taylor-Couette Flows. Phys. Rev. E 2007, 76, 056309. [Google Scholar] [CrossRef] [PubMed]
- Rüdiger, G.; Schultz, M. Tayler Instability of Toroidal Magnetic Fields in Mhd Taylor-Couette Flows. Astron. Nachrichten 2010, 331, 121–129. [Google Scholar] [CrossRef]
- Tayler, R.J. Adiabatic Stability of Stars Containing Magnetic-Fields—1. Toroidal Fields. Mon. Not. R. Astron. Soc. 1973, 161, 365–380. [Google Scholar] [CrossRef]
- Weier, T.; Bund, A.; El-Mofid, W.; Horstmann, G.M.; Lalau, C.C.; Landgraf, S.; Nimtz, M.; Starace, M.; Stefani, F.; Weber, N. Liquid Metal Batteries-Materials Selection and Fluid Dynamics. In Proceedings of the Final LIMTECH Colloquium and International Symposium on Liquid Metal Technologies, Dresden, Germany, 19–20 September 2017; p. 012013. [Google Scholar]
- Stefani, F.; Galindo, V.; Giesecke, A.; Weber, N.; Weier, T. The Tayler Instability at Low Magnetic Prandtl Numbers: Chiral Symmetry Breaking and Synchronizable Helicity Oscillations. Magnetohydrodynamics 2017, 53, 169–178. [Google Scholar] [CrossRef]
- Weber, N.; Galindo, V.; Stefani, F.; Weier, T. The Tayler Instability at Low Magnetic Prandtl Numbers: Between Chiral Symmetry Breaking and Helicity Oscillations. New J. Phys. 2015, 17, 113013. [Google Scholar] [CrossRef]
- Weber, N.; Galindo, V.; Stefani, F.; Weier, T.; Wondrak, T. Numerical Simulation of the Tayler Instability in Liquid Metals. New J. Phys. 2013, 15, 043034. [Google Scholar] [CrossRef]
- Ruediger, G.; Schultz, M.; Gellert, M. The Tayler Instability of Toroidal Magnetic Fields in a Columnar Gallium Experiment. Astron. Nachrichten 2011, 332, 17–23. [Google Scholar] [CrossRef]
- Stefani, F.; Galindo, V.; Kasprzyk, C.; Landgraf, S.; Seilmayer, M.; Starace, M.; Weber, N.; Weier, T. Magnetohydrodynamic Effects in Liquid Metal Batteries. In Proceedings of the International Symposium on Liquid Metal Processing & Casting 2015 (LMPC2015), Leoben, Austria, 20–24 September 2015; p. 012024. [Google Scholar]
- Stefani, F.; Weier, T.; Gundrum, T.; Gerbeth, G. How to Circumvent the Size Limitation of Liquid Metal Batteries Due to the Tayler Instability. Energy Convers. Manag. 2011, 52, 2982–2986. [Google Scholar] [CrossRef]
- Weber, N.; Galindo, V.; Stefani, F.; Weier, T. Current-Driven Flow Instabilities in Large-Scale Liquid Metal Batteries, And How to Tame Them. J. Power Sources 2014, 265, 166–173. [Google Scholar] [CrossRef]
- Weber, N.; Galindo, V.; Priede, J.; Stefani, F.; Weier, T. The Influence of Current Collectors on Tayler Instability and Electro-Vortex Flows in Liquid Metal Batteries. Phys. Fluids 2015, 27, 014103. [Google Scholar] [CrossRef]
- Herreman, W.; Nore, C.; Cappanera, L.; Guermond, J.L. Tayler Instability in Liquid Metal Columns and Liquid Metal Batteries. J. Fluid Mech. 2015, 771, 79–114. [Google Scholar] [CrossRef]
- Herreman, W.; Nore, C.; Guermond, J.L.; Cappanera, L.; Weber, N.; Horstmann, G.M. Perturbation Theory for Metal Pad Roll Instability in Cylindrical Reduction Cells. J. Fluid Mech. 2019, 878, 598–646. [Google Scholar] [CrossRef]
- Herreman, W.; Wierzchalek, L.; Horstmann, G.M.; Cappanera, L.; Nore, C. Stability Theory for Metal Pad Roll in Cylindrical Liquid Metal Batteries. J. Fluid Mech. 2023, 962, A6. [Google Scholar] [CrossRef]
- Ruediger, G.; Gellert, M.; Schultz, M.; Strassmeier, K.G.; Stefani, F.; Gundrum, T.; Seilmayer, M.; Gerbeth, G. Critical Fields and Growth Rates of the Tayler Instability as Probed by a Columnar Gallium Experiment. Astrophys. J. 2012, 755, 181. [Google Scholar] [CrossRef][Green Version]
- Ruediger, G.; Schultz, M.; Hollerbach, R. Destabilization of Super-Rotating Taylor-Couette Flows by Current-Free Helical Magnetic Fields. J. Plasma Phys. 2021, 87, 905870227. [Google Scholar] [CrossRef]
- Weber, N.; Beckstein, P.; Herreman, W.; Horstmann, G.M.; Nore, C.; Stefani, F.; Weier, T. Sloshing instability and electrolyte layer rupture in liquid metal batteries. Phys. Fluids 2017, 29, 054101. [Google Scholar] [CrossRef]
- Zikanov, O. Metal pad instabilities in liquid metal batteries. Phys. Rev. E 2015, 92, 063021. [Google Scholar] [CrossRef]
- Zikanov, O. Shallow water modeling of rolling pad instability in liquid metal batteries. Theor. Comput. Fluid Dyn. 2018, 32, 325–347. [Google Scholar] [CrossRef]
- Weber, N.; Beckstein, P.; Galindo, V.; Herreman, W.; Nore, C.; Stefani, F.; Weier, T. Metal Pad Roll Instability in Liquid Metal Batteries. Magnetohydrodynamics 2017, 53, 129–139. [Google Scholar] [CrossRef]
- Köllner, T.; Boeck, T.; Schumacher, J. Thermal Rayleigh-Marangoni Convection in a Three-Layer Liquid-Metal-Battery Model. Phys. Rev. E 2017, 95, 053114. [Google Scholar] [CrossRef] [PubMed]
- Shen, Y.X.; Zikanov, O. Thermal Convection in a Liquid Metal Battery. Theor. Comput. Fluid Dyn. 2016, 30, 275–294. [Google Scholar] [CrossRef]
















| Physical Quantity | Symbol | Value | Unit |
|---|---|---|---|
| Mass density | 1.0065 × 104 | kg·m−3 | |
| 1597.9 | kg·m−3 | ||
| 484.7 | kg·m−3 | ||
| Kinematic viscosity | 1.29 × 10−7 | m2·s−1 | |
| 1.38 × 10−6 | m2·s−1 | ||
| 6.64 × 10−7 | m2·s−1 | ||
| Electrical conductivity | 7.81 × 10−7 | kg−1·m−3·s3·A2 | |
| 187.1 | kg−1·m−3·s3·A2 | ||
| 3.0 × 106 | kg−1·m−3·s3·A2 | ||
| Magnetic permeability | 4π × 10−7 | kg−1·m−3·s3·A2 |
Disclaimer/Publisher’s Note: The statements, opinions and data contained in all publications are solely those of the individual author(s) and contributor(s) and not of MDPI and/or the editor(s). MDPI and/or the editor(s) disclaim responsibility for any injury to people or property resulting from any ideas, methods, instructions or products referred to in the content. |
© 2025 by the authors. Licensee MDPI, Basel, Switzerland. This article is an open access article distributed under the terms and conditions of the Creative Commons Attribution (CC BY) license (https://creativecommons.org/licenses/by/4.0/).
Share and Cite
Song, J.-J.; Zuo, X.-Z.; Zhu, E.-Q.; Li, Q.-G.; Chen, B.-Z.; Li, B.-W. Study of the Magnetohydrodynamic Instability and a New Suppression Method in Liquid Metal Batteries. Magnetochemistry 2025, 11, 84. https://doi.org/10.3390/magnetochemistry11100084
Song J-J, Zuo X-Z, Zhu E-Q, Li Q-G, Chen B-Z, Li B-W. Study of the Magnetohydrodynamic Instability and a New Suppression Method in Liquid Metal Batteries. Magnetochemistry. 2025; 11(10):84. https://doi.org/10.3390/magnetochemistry11100084
Chicago/Turabian StyleSong, Jia-Jun, Xiao-Zhong Zuo, En-Qi Zhu, Qi-Guang Li, Bao-Zhi Chen, and Ben-Wen Li. 2025. "Study of the Magnetohydrodynamic Instability and a New Suppression Method in Liquid Metal Batteries" Magnetochemistry 11, no. 10: 84. https://doi.org/10.3390/magnetochemistry11100084
APA StyleSong, J.-J., Zuo, X.-Z., Zhu, E.-Q., Li, Q.-G., Chen, B.-Z., & Li, B.-W. (2025). Study of the Magnetohydrodynamic Instability and a New Suppression Method in Liquid Metal Batteries. Magnetochemistry, 11(10), 84. https://doi.org/10.3390/magnetochemistry11100084

