Genetic Diversity and Population Structure of a Longan Germplasm in Thailand Revealed by Genotyping-By-Sequencing (GBS)
Abstract
1. Introduction
2. Materials and Methods
2.1. Plant Materials and DNA Preparation
2.2. Genotyping-By-Sequencing (GBS) and SNP Filtering
2.3. Marker Diversity Analysis
2.4. Population Structure Analysis
2.5. Analysis of Population Differentiation and Analysis of Molecular Variance (AMOVA)
3. Results
3.1. Sequencing and SNP Variant Detection in 50 Longan Accessions
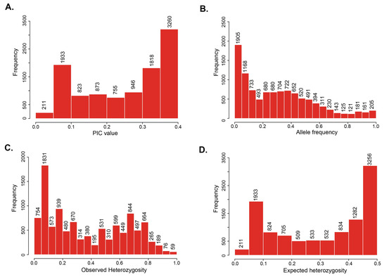
3.2. SNP Marker Properties
3.3. Population Structure and Genetic Relationships of Thai Longan Cultivars
3.4. Genetic Differentiation of Populations
3.5. Genetic Distance of the 50 Longan Accessions
4. Discussion
5. Conclusions
Supplementary Materials
Author Contributions
Funding
Data Availability Statement
Acknowledgments
Conflicts of Interest
References
- Tindall, H.D. Sapindaceous fruits: Botany and horticulture. In Horticultural Reviews; Janick, J., Ed.; John Wiley & Sons, Inc.: Oxford, UK, 1994; pp. 143–196. ISBN 9780470650561. [Google Scholar]
- Wang, J.; Li, J.; Li, Z.; Liu, B.; Zhang, L.; Guo, D.; Huang, S.; Qian, W.; Guo, L. Genomic insights into longan evolution from a chromosome-level genome assembly and population genomics of longan accessions. Hortic. Res. 2022, 9, uhac021. [Google Scholar] [CrossRef] [PubMed]
- Li, J.; Miao, S.; Jiang, Y. Changes in quality attributes of longan juice during storage in relation to effects of thermal processing. J. Food Qual. 2009, 32, 48–57. [Google Scholar] [CrossRef]
- Liu, G.; Sun, J.; He, X.; Tang, Y.; Li, J.; Ling, D.; Li, C.; Li, L.; Zheng, F.; Sheng, J.; et al. Fermentation process optimization and chemical constituent analysis on longan (Dimocarpus longan Lour.) wine. Food Chem. 2018, 256, 268–279. [Google Scholar] [CrossRef] [PubMed]
- Lithanatudom, S.K.; Chaowasku, T.; Nantarat, N.; Jaroenkit, T.; Smith, D.R.; Lithanatudom, P. A first phylogeny of the genus dimocarpus and suggestions for revision of some taxa based on molecular and morphological evidence. Sci. Rep. 2017, 7, 6716. [Google Scholar] [CrossRef]
- Menzel, C.; Waite, G.K. Litchi and Longan: Botany, Production and Uses, 1st ed.; CABI: Wallingford, Oxfordshire, UK, 2005; p. 336. ISBN 0851996965. [Google Scholar]
- Sakata, S. New Trends and Challenges for Agriculture in the Mekong Region: From Food Security to Development of Agri-Businesses; JETRO Bangkok/IDE-JETRO; Bangkok Research Center: Bangkok, Thailand, 2019. [Google Scholar]
- Subhadrabandhu, S.; Yapwattanaphun, C. Lychee and longan production in thailand. Acta Hortic. 2001, 558, 49–57. [Google Scholar] [CrossRef]
- Said, S.; Bayu Putra, W.P.; Anwar, S.; Agung, P.P.; Yuhani, H. Phenotypic, morphometric characterization and population structure of Pasundan cattle at West Java, Indonesia. Biodiversitas 2017, 18, 1638–1645. [Google Scholar] [CrossRef]
- Nadeem, M.A.; Nawaz, M.A.; Shahid, M.Q.; Doğan, Y.; Comertpay, G.; Yıldız, M.; Hatipoğlu, R.; Ahmad, F.; Alsaleh, A.; Labhane, N.; et al. DNA molecular markers in plant breeding: Current status and recent advancements in genomic selection and genome editing. Biotechnol. Biotechnol. Equip. 2017, 32, 261–285. [Google Scholar] [CrossRef]
- Lin, T.; Lin, Y.; Ishiki, K. Genetic diversity of Dimocarpus longan in China revealed by AFLP markers and partial rbcL gene sequences. Sci. Hortic. 2005, 103, 489–498. [Google Scholar] [CrossRef]
- Mei, Z.Q.; Fu, S.Y.; Yu, H.Q.; Yang, L.Q.; Duan, C.G.; Liu, X.Y.; Gong, S.; Fu, J.J. Genetic characterization and authentication of Dimocarpus longan Lour. using an improved RAPD technique. Genet. Mol. Res. 2014, 13, 1447–1455. [Google Scholar] [CrossRef]
- Ho, V.T.; Ngo, Q.N. Development of SCAR makers for longan (Dimocarpus longan L.) authentication in Vietnam. BioTechnologia 2018, 99, 401–407. [Google Scholar] [CrossRef]
- Zhou, J.; Fu, J.-x.; Wu, Z.-x.; Huang, S.-s.; Zhang, Y.-f.; Wang, Y.; Hu, Y.-l.; Hu, G.-b.; Liu, C.-m. Genetic diversity in litchi and longan germplasm as determined by srap markers. Acta Hortic. 2011, 918, 799–805. [Google Scholar] [CrossRef]
- Fu, J.-x.; Wang, Y.; Zhou, J.; Zhao, H.-y.; Huang, S.-s.; Hu, Y.-l.; Hu, G.-b.; Liu, C.-m. Genetic diversity of germplasm resources of litchi and longan using ssr analysis. Acta Hortic. 2011, 918, 363–370. [Google Scholar] [CrossRef]
- Wang, B.; Tan, H.-W.; Fang, W.; Meinhardt, L.W.; Mischke, S.; Matsumoto, T.; Zhang, D. Developing single nucleotide polymorphism (SNP) markers from transcriptome sequences for identification of longan (Dimocarpus longan) germplasm. Hortic. Res. 2015, 2, 14065. [Google Scholar] [CrossRef] [PubMed]
- Kumar, S.; Banks, T.W.; Cloutier, S. SNP Discovery through Next-Generation Sequencing and Its Applications. Int. J. Plant Genom. 2012, 2012, 831460. [Google Scholar] [CrossRef]
- Davey, J.W.; Hohenlohe, P.A.; Etter, P.D.; Boone, J.Q.; Catchen, J.M.; Blaxter, M.L. Genome-wide genetic marker discovery and genotyping using next-generation sequencing. Nat. Rev. Genet. 2011, 12, 499–510. [Google Scholar] [CrossRef]
- Vasumathy, S.K.; Peringottillam, M.; Sundaram, K.T.; Kumar, S.H.K.; Alagu, M. Genome- wide structural and functional variant discovery of rice landraces using genotyping by sequencing. Mol. Biol. Rep. 2020, 47, 7391–7402. [Google Scholar] [CrossRef]
- Gouesnard, B.; Negro, S.; Laffray, A.; Glaubitz, J.; Melchinger, A.; Revilla, P.; Moreno-Gonzalez, J.; Madur, D.; Combes, V.; Tollon-Cordet, C.; et al. Genotyping-by-sequencing highlights original diversity patterns within a European collection of 1191 maize flint lines, as compared to the maize USDA genebank. Theor. Appl. Genet. 2017, 130, 2165–2189. [Google Scholar] [CrossRef]
- Elshire, R.J.; Glaubitz, J.C.; Sun, Q.; Poland, J.A.; Kawamoto, K.; Buckler, E.S.; Mitchell, S.E. A robust, simple genotyping-by-sequencing (GBS) approach for high diversity species. PLoS ONE 2011, 6, e19379. [Google Scholar] [CrossRef]
- Alipour, H.; Bihamta, M.R.; Mohammadi, V.; Peyghambari, S.A.; Bai, G.; Zhang, G. Genotyping-by-Sequencing (GBS) Revealed Molecular Genetic Diversity of Iranian Wheat Landraces and Cultivars. Front. Plant Sci. 2017, 8, 1293. [Google Scholar] [CrossRef]
- Bastien, M.; Boudhrioua, C.; Fortin, G.; Belzile, F. Exploring the potential and limitations of genotyping-by-sequencing for SNP discovery and genotyping in tetraploid potato. Genome 2018, 61, 449–456. [Google Scholar] [CrossRef]
- Riangwong, K.; Wanchana, S.; Aesomnuk, W.; Saensuk, C.; Nubankoh, P.; Ruanjaichon, V.; Kraithong, T.; Toojinda, T.; Vanavichit, A.; Arikit, S. Mining and validation of novel genotyping-by-sequencing (GBS)-based simple sequence repeats (SSRs) and their application for the estimation of the genetic diversity and population structure of coconuts (Cocos nucifera L.) in Thailand. Hortic. Res. 2020, 7, 156. [Google Scholar] [CrossRef] [PubMed]
- Bolger, A.M.; Lohse, M.; Usadel, B. Trimmomatic: A flexible trimmer for Illumina sequence data. Bioinformatics 2014, 30, 2114–2120. [Google Scholar] [CrossRef] [PubMed]
- Lin, Y.; Min, J.; Lai, R.; Wu, Z.; Chen, Y.; Yu, L.; Cheng, C.; Jin, Y.; Tian, Q.; Liu, Q.; et al. Genome-wide sequencing of longan (Dimocarpus longan Lour.) provides insights into molecular basis of its polyphenol-rich characteristics. Gigascience 2017, 6, 1–14. [Google Scholar] [CrossRef] [PubMed]
- Langmead, B.; Salzberg, S.L. Fast gapped-read alignment with Bowtie 2. Nat. Methods 2012, 9, 357–359. [Google Scholar] [CrossRef]
- Van der Auwera, G.A.; Carneiro, M.O.; Hartl, C.; Poplin, R.; Del Angel, G.; Levy-Moonshine, A.; Jordan, T.; Shakir, K.; Roazen, D.; Thibault, J.; et al. From FastQ data to high confidence variant calls: The Genome Analysis Toolkit best practices pipeline. Curr. Protoc. Bioinform. 2013, 11, 11.10.1–11.10.33. [Google Scholar] [CrossRef] [PubMed]
- Jombart, T. adegenet: A R package for the multivariate analysis of genetic markers. Bioinformatics 2008, 24, 1403–1405. [Google Scholar] [CrossRef] [PubMed]
- Kumar, S.; Stecher, G.; Li, M.; Knyaz, C.; Tamura, K. MEGA X: Molecular evolutionary genetics analysis across computing platforms. Mol. Biol. Evol. 2018, 35, 1547–1549. [Google Scholar] [CrossRef] [PubMed]
- Evanno, G.; Regnaut, S.; Goudet, J. Detecting the number of clusters of individuals using the software STRUCTURE: A simulation study. Mol. Ecol. 2005, 14, 2611–2620. [Google Scholar] [CrossRef]
- Earl, D.A.; vonHoldt, B.M. STRUCTURE HARVESTER: A website and program for visualizing STRUCTURE output and implementing the Evanno method. Conserv. Genet. Resour. 2012, 4, 359–361. [Google Scholar] [CrossRef]
- Perrier, X. DARwin Software. 2006. Available online: http://darwin.cirad.fr/darwin (accessed on 1 May 2023).
- Wickham, H. ggplot2-Elegant Graphics for Data Analysis; Springer: New York, NY, USA, 2016; ISBN 978-0-387-98140-6. [Google Scholar]
- Peakall, R.O.D.; Smouse, P.E. GenAlEx 6: Genetic analysis in Excel. Population genetic software for teaching and research. Mol. Ecol. Notes 2006, 6, 288–295. [Google Scholar] [CrossRef]
- Ghosh, S.N. Breeding of Underutilized Fruit Crops; JAYA Publishing House: Delhi, India, 2015; ISBN 9384337404. [Google Scholar]
- Kagale, S.; Koh, C.; Clarke, W.E.; Bollina, V.; Parkin, I.A.P.; Sharpe, A.G. Analysis of Genotyping-by-Sequencing (GBS) Data. Methods Mol. Biol. 2016, 1374, 269–284. [Google Scholar] [CrossRef] [PubMed]
- Botstein, D.; White, R.L.; Skolnick, M.; Davis, R.W. Construction of a genetic linkage map in man using restriction fragment length polymorphisms. Am. J. Hum. Genet. 1980, 32, 314–331. [Google Scholar] [PubMed]
- Mammadov, J.; Aggarwal, R.; Buyyarapu, R.; Kumpatla, S. SNP markers and their impact on plant breeding. Int. J. Plant Genom. 2012, 2012, 728398. [Google Scholar] [CrossRef] [PubMed]




| Accession | Name | Raw Reads (Million) | Raw Base (Gb) | Clean Reads (Million) | Clean Base (Gb) | Mapped Read (Million) | Average Read Depth |
|---|---|---|---|---|---|---|---|
| ACC01 | Daw Kathi | 3.73 | 0.55 | 3.71 | 0.55 | 3.16 | 23.86 |
| ACC02 | E-daw #1 | 6.05 | 0.89 | 6.03 | 0.89 | 2.92 | 23.92 |
| ACC03 | E-daw #2 | 4.81 | 0.71 | 4.79 | 0.71 | 2.35 | 21.59 |
| ACC04 | Biew Khiew #1 | 2.87 | 0.42 | 2.86 | 0.42 | 2.47 | 22.33 |
| ACC05 | Puang Thong #1 | 4.80 | 0.71 | 4.78 | 0.70 | 3.55 | 24.81 |
| ACC06 | E-daw #3 | 3.00 | 0.44 | 2.99 | 0.44 | 2.12 | 19.33 |
| ACC07 | E-daw #4 | 2.78 | 0.41 | 2.76 | 0.41 | 2.21 | 21.51 |
| ACC08 | E-daw #5 | 5.31 | 0.78 | 5.29 | 0.78 | 4.51 | 30.96 |
| ACC09 | Biew Khiew #2 | 4.88 | 0.72 | 4.85 | 0.72 | 4.23 | 32.87 |
| ACC10 | Kaew Yee | 6.76 | 1.00 | 6.73 | 0.99 | 5.73 | 36.61 |
| ACC11 | E-daw #6 | 5.74 | 0.85 | 5.72 | 0.84 | 3.57 | 24.96 |
| ACC12 | E-daw #7 | 4.00 | 0.59 | 3.98 | 0.59 | 2.99 | 23.90 |
| ACC13 | E-daw #8 | 3.95 | 0.58 | 3.93 | 0.58 | 3.32 | 25.29 |
| ACC14 | Kohala | 4.54 | 0.67 | 4.52 | 0.66 | 3.52 | 24.13 |
| ACC15 | E-daw #9 | 3.85 | 0.57 | 3.84 | 0.56 | 3.24 | 25.09 |
| ACC16 | E-daw #10 | 4.63 | 0.68 | 4.61 | 0.68 | 3.04 | 24.67 |
| ACC17 | E-daw #11 | 4.98 | 0.73 | 4.96 | 0.73 | 4.03 | 28.30 |
| ACC18 | E-daw #12 | 5.49 | 0.81 | 5.46 | 0.80 | 4.36 | 31.90 |
| ACC19 | E-daw #13 | 4.85 | 0.71 | 4.83 | 0.71 | 3.80 | 27.24 |
| ACC20 | E-daw #14 | 3.50 | 0.51 | 3.49 | 0.51 | 3.03 | 23.44 |
| ACC21 | Biew Khiew #3 | 4.86 | 0.71 | 4.84 | 0.71 | 4.04 | 30.51 |
| ACC22 | E-daw #15 | 3.61 | 0.53 | 3.60 | 0.53 | 3.08 | 23.59 |
| ACC23 | E-daw #16 | 4.04 | 0.59 | 4.03 | 0.59 | 3.31 | 24.92 |
| ACC24 | Chompoo #1 | 5.56 | 0.82 | 5.53 | 0.81 | 4.37 | 29.65 |
| ACC25 | Chuliang | 3.73 | 0.55 | 3.71 | 0.55 | 2.61 | 24.68 |
| ACC26 | E-daw #17 | 5.78 | 0.85 | 5.75 | 0.85 | 4.80 | 32.14 |
| ACC27 | Krob Kathi #1 | 4.44 | 0.65 | 4.42 | 0.65 | 3.71 | 27.91 |
| ACC28 | E-daw #18 | 4.03 | 0.59 | 4.01 | 0.59 | 2.91 | 21.74 |
| ACC29 | Biew Khiew #4 | 6.11 | 0.90 | 6.08 | 0.89 | 5.25 | 32.76 |
| ACC30 | E-daw #19 | 4.40 | 0.64 | 4.38 | 0.64 | 3.55 | 25.99 |
| ACC31 | Puang Thong #2 | 4.00 | 0.59 | 3.98 | 0.58 | 3.04 | 23.28 |
| ACC32 | Krob Kathi #2 | 1.36 | 0.20 | 1.35 | 0.20 | 1.05 | 11.74 |
| ACC33 | Chompoo #2 | 3.69 | 0.54 | 3.68 | 0.54 | 2.96 | 23.17 |
| ACC34 | Biew Khiew #5 | 4.58 | 0.67 | 4.55 | 0.67 | 2.30 | 21.46 |
| ACC35 | Haew Yod Daeng | 3.80 | 0.56 | 3.78 | 0.55 | 3.03 | 23.01 |
| ACC36 | E-daw #20 | 3.12 | 0.46 | 3.11 | 0.45 | 2.65 | 21.84 |
| ACC37 | Biew Khiew #6 | 5.73 | 0.84 | 5.70 | 0.83 | 3.56 | 26.24 |
| ACC38 | Puang Thong #3 | 4.83 | 0.71 | 4.79 | 0.70 | 3.86 | 25.26 |
| ACC39 | Puang Thong #4 | 3.55 | 0.52 | 3.53 | 0.52 | 2.81 | 22.25 |
| ACC40 | Chompoo #3 | 2.97 | 0.44 | 2.96 | 0.43 | 2.40 | 19.92 |
| ACC41 | E-daw #21 | 4.00 | 0.59 | 3.98 | 0.58 | 3.47 | 26.19 |
| ACC42 | Krob Kathi #3 | 2.47 | 0.36 | 2.46 | 0.36 | 1.99 | 18.17 |
| ACC43 | Chompoo #4 | 4.61 | 0.68 | 4.59 | 0.67 | 3.82 | 26.45 |
| ACC44 | E-daw #22 | 4.67 | 0.68 | 4.65 | 0.68 | 3.89 | 27.07 |
| ACC45 | E-daw #23 | 4.21 | 0.61 | 4.19 | 0.61 | 1.56 | 13.09 |
| ACC46 | E-daw #24 | 5.65 | 0.83 | 5.63 | 0.82 | 1.80 | 14.52 |
| ACC47 | Chompoo #5 | 4.90 | 0.72 | 4.88 | 0.71 | 1.94 | 14.13 |
| ACC48 | E-daw #25 | 5.12 | 0.75 | 5.10 | 0.74 | 2.23 | 15.26 |
| ACC49 | Biew Khiew #7 | 6.30 | 0.92 | 6.27 | 0.91 | 2.55 | 18.53 |
| ACC50 | E-daw #26 | 3.49 | 0.51 | 3.47 | 0.51 | 1.57 | 11.11 |
| Avg | 4.40 | 0.65 | 4.38 | 0.64 | 3.17 | 23.87 | |
| Min | 1.36 | 0.20 | 1.35 | 0.20 | 1.05 | 11.11 | |
| Max | 6.76 | 1.00 | 6.73 | 0.99 | 5.73 | 36.61 | |
| Total | 220.12 | 32.33 | 219.09 | 32.17 | 158.29 | 1193.27 |
| Source of Variation | df | SS | MS | Variance Components | Percentage of Total Variance | Probability (p) |
|---|---|---|---|---|---|---|
| Among Pops | 3 | 48,126.59 | 16,042.19 | 1784.43 | 74% | <0.001 |
| Within Pops | 39 | 24,667.50 | 632.50 | 632.50 | 26% | |
| Total | 42 | 72,794.09 | 2416.93 | 100% |
| Population/Cluster | No. of Accessions | PIC | Ho | He | FIS | FST |
|---|---|---|---|---|---|---|
| G1 | 25 | 0.36 | 0.44 | 0.24 | −0.79 | 0.25 |
| G2 | 7 | 0.32 | 0.42 | 0.32 | −0.32 | |
| G3 | 6 | 0.36 | 0.4 | 0.22 | −0.81 | |
| G4 | 5 | 0.32 | 0.34 | 0.23 | −0.42 |
| Population/Cluster | G1 | G2 | G3 | G4 |
|---|---|---|---|---|
| G1 | 0 | |||
| G2 | 0.258 | 0 | ||
| G3 | 0.403 | 0.267 | 0 | |
| G4 | 0.359 | 0.246 | 0.291 | 0 |
Disclaimer/Publisher’s Note: The statements, opinions and data contained in all publications are solely those of the individual author(s) and contributor(s) and not of MDPI and/or the editor(s). MDPI and/or the editor(s) disclaim responsibility for any injury to people or property resulting from any ideas, methods, instructions or products referred to in the content. |
© 2023 by the authors. Licensee MDPI, Basel, Switzerland. This article is an open access article distributed under the terms and conditions of the Creative Commons Attribution (CC BY) license (https://creativecommons.org/licenses/by/4.0/).
Share and Cite
Riangwong, K.; Saensuk, C.; Pitaloka, M.K.; Dumhai, R.; Ruanjaichon, V.; Toojinda, T.; Wanchana, S.; Arikit, S. Genetic Diversity and Population Structure of a Longan Germplasm in Thailand Revealed by Genotyping-By-Sequencing (GBS). Horticulturae 2023, 9, 726. https://doi.org/10.3390/horticulturae9060726
Riangwong K, Saensuk C, Pitaloka MK, Dumhai R, Ruanjaichon V, Toojinda T, Wanchana S, Arikit S. Genetic Diversity and Population Structure of a Longan Germplasm in Thailand Revealed by Genotyping-By-Sequencing (GBS). Horticulturae. 2023; 9(6):726. https://doi.org/10.3390/horticulturae9060726
Chicago/Turabian StyleRiangwong, Kanamon, Chatree Saensuk, Mutiara K. Pitaloka, Reajina Dumhai, Vinitchan Ruanjaichon, Theerayut Toojinda, Samart Wanchana, and Siwaret Arikit. 2023. "Genetic Diversity and Population Structure of a Longan Germplasm in Thailand Revealed by Genotyping-By-Sequencing (GBS)" Horticulturae 9, no. 6: 726. https://doi.org/10.3390/horticulturae9060726
APA StyleRiangwong, K., Saensuk, C., Pitaloka, M. K., Dumhai, R., Ruanjaichon, V., Toojinda, T., Wanchana, S., & Arikit, S. (2023). Genetic Diversity and Population Structure of a Longan Germplasm in Thailand Revealed by Genotyping-By-Sequencing (GBS). Horticulturae, 9(6), 726. https://doi.org/10.3390/horticulturae9060726

