A Susceptible Scion Reduces Rootstock Tolerance to Ralstonia solanacearum in Grafted Eggplant
Abstract
1. Introduction
2. Materials and Methods
2.1. Plant Material and Ralstonia Solanacearum
2.2. Grafting Method, Grafted Plant Cultivation and R. solanacearum Inoculum
2.3. Disease Classification and Disease-Tolerance Evaluation
2.4. Measurement of Plant Growth Situation
2.5. Determination of EPS Content and Cell Wall Degrading Enzyme (CWDE) Activity of Grafted Plants
2.6. Determination of ROS and Active Oxygen Scavenging Enzymes Activity in Grafted Plants
3. Results
3.1. Susceptible Scion Grafts Showed a Weak Tolerance to R. solanacearum
3.2. Susceptible Scion Grafts Have a Worse Growth Situation Post Inoculation with R. solanacearum
3.3. High Levels of EPS and CWDEs Accumulated in Susceptible Scion Grafts
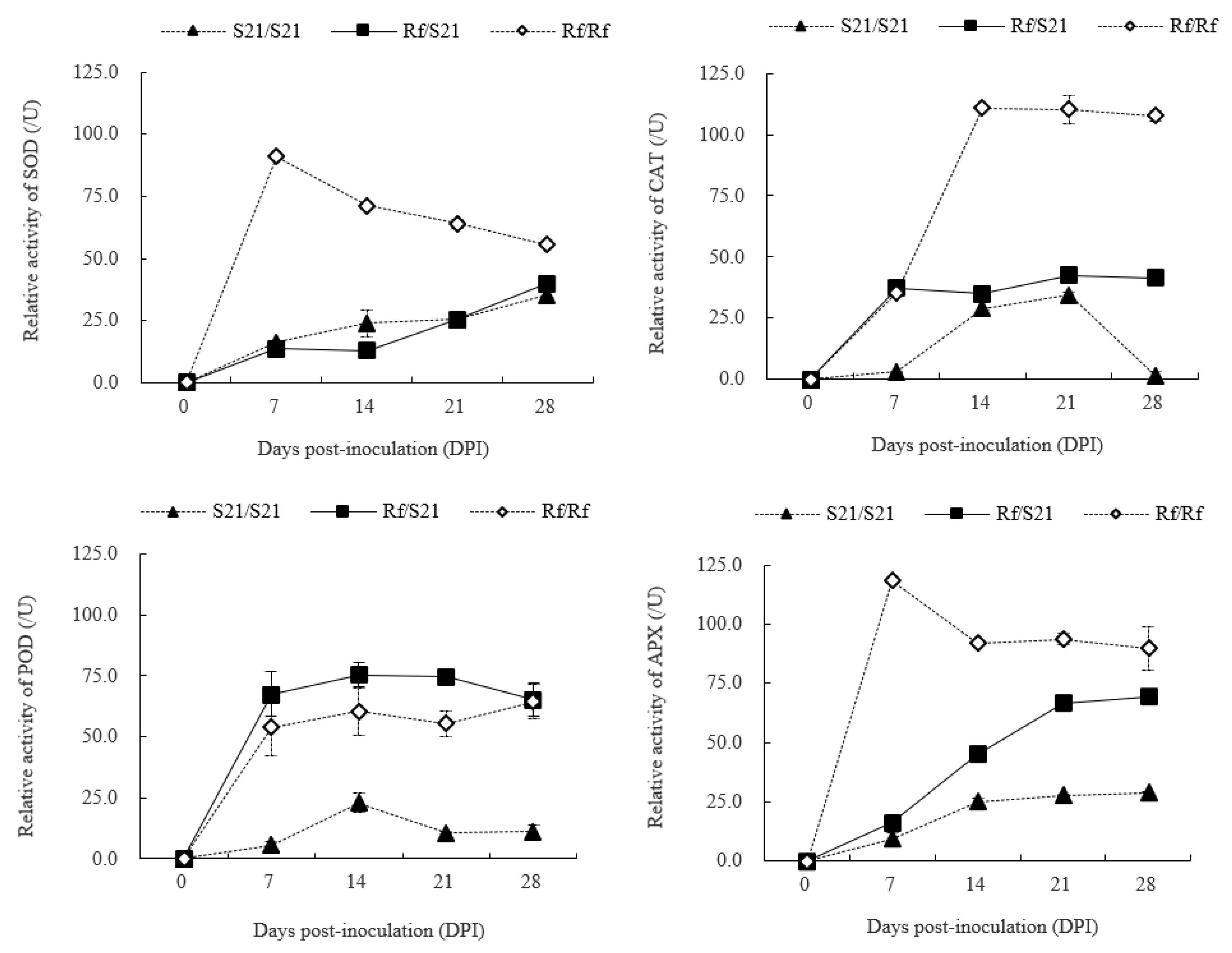
3.4. High Levels of ROS and Active Oxygen Scavenging Enzymes Accumulated in Susceptible Scion Grafts
4. Discussion
5. Conclusions
Supplementary Materials
Author Contributions
Funding
Conflicts of Interest
References
- Xu, J.Y.; Zhang, H.D.; Zhang, H.; Tong, Y.H.; Xu, Y.; Chen, X.J.; Ji, Z.L. Toxin produced by Rhizoctonia solani and its relationship with pathogenicity of the fungus. J.-Yangzhou Univ. Agric. Life Sci. Ed. 2004, 25, 61–64. [Google Scholar]
- Zhang, X.Y.; Xu, K. Effect of interaction between rootstock and scion on chilling tolerance of grafted eggplant seedlings under low temperature and light conditions. Sci. Agric. Sin. 2009, 42, 3734–3740. [Google Scholar]
- Tsuchiya, K. Molecular biological studies of Ralstonia solanacearum and related plant pathogenic bacteria. Jpn. J. Phytopathol. 2004, 70, 156–158. [Google Scholar] [CrossRef]
- Angot, A.; Peeters, N.; Lechner, E.; Vailleau, F.; Baud, C.; Gentzbittel, L.; Sartorel, E.; Genschik, P.; Boucher, C.; Genin, S. Ralstonia solanacearum requires F-box-like domain-containing type III effectors to promote disease on several host plants. Proc. Natl. Acad. Sci. USA 2006, 103, 14620–14625. [Google Scholar] [CrossRef] [PubMed]
- Wang, J.; Zhao, X.H.; Sun, S. Association between differentiation in pathogenicity and propagation & EPS production of two Ralstonia solanacearum isolates from eucalyptus. For. Pest Dis. 2008, 3, 4–6. [Google Scholar]
- Leigh, J.A.; Coplin, D.L. Exopolysaccharides in plant-bacterial interactions. Annu. Rev. Microbiol. 1992, 46, 307–346. [Google Scholar] [CrossRef]
- Yang, H.T.; Ren, X.Z.; Wang, S.J.; Wang, J.P.; Gao, Q. Study on distribution of antagonistic bacteria in root–soil system of tomato and its relation to occurrence of bacterial wilt. Chin. J. Biol. Control 1994, 10, 162–165. [Google Scholar]
- Denny, T. Plant pathogenic Ralstonia species. In Plant-Associated Bacteria; Springer: Dordrecht, The Netherlands, 2007; pp. 573–644. [Google Scholar]
- Liu, F.Z.; Lian, Y.; Feng, D.X.; Song, Y.; Chen, Y.H. Identification and Evaluation of Resistance to Bacterial Wilt in Eggplant Germplasm Resources. J. Plant Genet. Resour. 2005, 6, 381–385. [Google Scholar]
- Zhang, S.; Sun, L.; Kragler, F. The phloem-delivered RNA pool contains small noncoding RNAs and interferes with translation. Plant Physiol. 2009, 150, 378–387. [Google Scholar] [CrossRef]
- Cooper, R.M. The role of cell wall-degrading: Enzymes in infection and damage. In Plant Disease: Infection, Damage and Loss; Blackwell: Oxford, UK, 1984; pp. 13–27. [Google Scholar]
- Wanjiru, W.M.; Zhensheng, K.; Buchenauer, H. Importance of cell wall degrading enzymes produced by Fusarium graminearum during infection of wheat heads. Eur. J. Plant Pathol. 2002, 108, 803–810. [Google Scholar] [CrossRef]
- Mittler, R.; Vanderauwera, S.; Gollery, M.; Van Breusegem, F. Reactive oxygen gene network of plants. Trends Plant Sci. 2004, 9, 490–498. [Google Scholar] [CrossRef] [PubMed]
- Torres, M.A. ROS in biotic interactions. Physiol. Plant. 2010, 138, 414–429. [Google Scholar] [CrossRef] [PubMed]
- Liu, X.; Williams, C.E.; Nemacheck, J.A.; Wang, H.; Subramanyam, S.; Zheng, C.; Chen, M.S. Reactive oxygen species are involved in plant defense against a gall midge. Plant Physiol. 2010, 152, 985–999. [Google Scholar] [CrossRef] [PubMed]
- Imlay, J.A. Pathways of oxidative damage. Annu. Rev. Microbiol. 2003, 57, 395–418. [Google Scholar] [CrossRef]
- Baisak, R.; Rana, D.; Acharya, P.B.; Kar, M. Alterations in the activities of active oxygen scavenging enzymes of wheat leaves subjected to water stress. Plant Cell Physiol. 1994, 35, 489–495. [Google Scholar]
- Ella, E.S.; Kawano, N.; Ito, O. Importance of active oxygen-scavenging system in the recovery of rice seedlings after submergence. Plant Sci. 2003, 165, 85–93. [Google Scholar] [CrossRef]
- Cao, S.; Yang, Z.; Cai, Y.; Zheng, Y. Antioxidant enzymes and fatty acid composition as related to disease resistance in postharvest loquat fruit. Food Chem. 2014, 163, 92–96. [Google Scholar] [CrossRef]
- Shah, K.; Kumar, R.G.; Verma, S.; Dubey, R.S. Effect of cadmium on lipid peroxidation, superoxide anion generation and activities of antioxidant enzymes in growing rice seedlings. Plant Sci. 2001, 161, 1135–1144. [Google Scholar] [CrossRef]
- Yamaguchi, K.; Takahashi, Y.; Berberich, T.; Imai, A.; Miyazaki, A.; Takahashi, T.; Michael, A.; Kusano, T. The polyamine spermine protects against high salt stress in Arabidopsis thaliana. FEBS Lett. 2006, 580, 6783–6788. [Google Scholar] [CrossRef]
- Duan, X.; Bi, H.G.; Li, T.; Wu, G.X.; Li, Q.M.; Ai, X.Z. Root characteristics of grafted peppers and their resistance to Fusarium solani. Biol. Plant. 2017, 61, 579–586. [Google Scholar] [CrossRef]
- Zorov, D.B.; Juhaszova, M.; Sollott, S.J. Mitochondrial reactive oxygen species (ROS) and ROS-induced ROS release. Physiol. Rev. 2014, 94, 909–950. [Google Scholar] [CrossRef] [PubMed]
- King, S.R.; Davis, A.R.; Liu, W.; Levi, A. Grafting for disease resistance. HortScience 2008, 43, 1673–1676. [Google Scholar] [CrossRef]
- Louws, F.J.; Cary, L.R.; Chieri, K. Grafting fruiting vegetables to manage soilborne pathogens, foliar pathogens, arthropods and weeds. Sci. Hortic. 2010, 127, 127–146. [Google Scholar] [CrossRef]
- Martínez-Ballesta, M.C.; Alcaraz-López, C.; Muries, B.; Mota-Cadenas, C.; Carvajal, M. Physiological aspects of rootstock–scion interactions. Sci. Hortic. 2010, 127, 112–118. [Google Scholar] [CrossRef]
- Bletsos, F.A.; Christos, M. Olympios. Rootstocks and grafting of tomatoes, peppers and eggplants for soil-borne disease resistance, improved yield and quality. Eur. J. Plant Sci. Biotechnol. 2008, 2, 62–73. [Google Scholar]
- Aloni, B.; Cohen, R.; Karni, L.; Aktas, H.; Edelstein, M. Hormonal signaling in rootstock–scion interactions. Sci. Hortic. 2010, 127, 119–126. [Google Scholar] [CrossRef]
- Nakaho, K.; Inoue, H.; Takayama, T.; Miyagawa, H. Distribution and multiplication of Ralstonia solanacearum in tomato plants with resistance derived from different origins. J. Gen. Plant Pathol. 2004, 70, 115–119. [Google Scholar] [CrossRef]
- Seemüller, E.; Harries, H. Plant Resistance. Phytoplasmas: Genomes, Plant Hosts and Vectors; CAB International: Oxfordshire, UK, 2010; pp. 147–169. [Google Scholar]
- Johnson, S.J.; Kreider, P.; Miles, C.A. Vegetable Grafting: Eggplants and Tomatoes; Washington State University Extension: Pullman, WA, USA, 2011. [Google Scholar]
- Ramesh, R.; Joshi, A.A.; Ghanekar, M.P. Pseudomonads: Major antagonistic endophytic bacteria to suppress bacterial wilt pathogen, Ralstonia solanacearum in the eggplant (Solanum melongena L.). World J. Microbiol. Biotechnol. 2009, 25, 47–55. [Google Scholar] [CrossRef]
- Liu, H.; Zhang, S.; Schell, M.A.; Denny, T.P. Pyramiding unmarked deletions in Ralstonia solanacearum shows that secreted proteins in addition to plant cell-wall-degrading enzymes contribute to virulence. Mol. Plant-Microbe Interact. 2005, 18, 1296–1305. [Google Scholar] [CrossRef]
- Cao, J.K.; Jiang, W.B.; Zhao, Y.M. Experiment Guidance of Postharvest Physiology and Biochemistry of Fruits and Vegetables; China Light Industry Press: Beijing, China, 2007; pp. 84–87. [Google Scholar]
- Li, B.; Zhou, C.; Zhao, K.; Li, F.; Chen, H. Pathogenic mechanism of scab of cucumber caused by Cladosporium cucumerinum II: The cell wall-degrading enzymes and its pathogenic action. Acta Phytopathol. Sin. 2000, 30, 13–18. [Google Scholar]
- Yoshie, Y.; Goto, K.; Takai, R.; Iwano, M.; Takayama, S.; Isogai, A.; Che, F.S. Function of the rice gp91phox homologs OsrbohA and OsrbohE genes in ROS-dependent plant immune responses. Plant Biotechnol. 2005, 22, 127–135. [Google Scholar] [CrossRef]
- Dhindsa, R.S.; Plumb-Dhindsa, P.; Thorpe, T.A. Leaf senescence: Correlated with increased levels of membrane permeability and lipid peroxidation, and decreased levels of superoxide dismutase and catalase. J. Exp. Bot. 1981, 32, 93–101. [Google Scholar] [CrossRef]
- Kochba, J.; Lavee, S.; Spiegel-Roy, P. Differences in peroxidase activity and isoenzymes in embryogenic ane non-embryogenic ‘Shamouti’orange ovular callus lines. Plant Cell Physiol. 1977, 18, 463–467. [Google Scholar] [CrossRef]
- Dalton, D.A.; Hanus, F.J.; Russell, S.A.; Evans, H.J. Purification, properties, and distribution of ascorbate peroxidase in legume root nodules. Plant Physiol. 1987, 83, 789–794. [Google Scholar] [CrossRef] [PubMed]
- Liu, Y.; Jiang, F.; Zhang, N.; Wang, H.; Ai, X. Relationship between osmoregulation and bacterial wilt resistance of grafted pepper. Acta Hortic. Sin. 2011, 38, 903–910. [Google Scholar]
- McAvoy, T.; Freeman, J.H.; Rideout, S.L.; Olson, S.M.; Paret, M.L. Evaluation of grafting using hybrid rootstocks for management of bacterial wilt in field tomato production. HortScience 2012, 47, 621–625. [Google Scholar] [CrossRef]
- Lewsey, M.G.; Hardcastle, T.J.; Melnyk, C.W.; Molnar, A.; Valli, A.; Urich, M.A.; Nery, J.R.; Baulcombe, D.C.; Ecker, J.R. Mobile small RNAs regulate genome-wide DNA methylation. Proc. Natl. Acad. Sci. USA 2016, 113, E801–E810. [Google Scholar] [CrossRef]
- Oh, E.; Pil, J.S.; Jungmook, K. Signaling peptides and receptors coordinating plant root development. Trends Plant Sci. 2018, 23, 337–351. [Google Scholar] [CrossRef]
- Notaguchi, M.; Satoru, O. Dynamics of long-distance signaling via plant vascular tissues. Front. Plant Sci. 2015, 6, 161. [Google Scholar] [CrossRef]
- Noctor, G.; Gomez, L.; Vanacker, H.; Foyer, C.H. Interactions between biosynthesis, compartmentation and transport in the control of glutathione homeostasis and signaling. J. Exp. Bot. 2002, 53, 1283–1304. [Google Scholar] [CrossRef]
- Jiang, F.; Liu, Y.; Ai, X.; Zheng, N.; Wang, H. Study on relationship among microorganism, enzymes’ activity in rhizosphere soil and root rot resistance of grafted capsicum. Sci. Agric. Sin. 2010, 43, 3367–3374. [Google Scholar]
- Chattopadhyay, C.; Kolte, S.J.; Waliyar, F. Diseases of Edible Oilseed Crops; CRC Press: Boca Raton, FL, USA, 2015. [Google Scholar]











| Grafted Combination (Scion/Rootstock) | No. Inoculated Plants | No. Infected Plants | Incidence Rate (IR) (%) | Disease Index (DI) | Tolerance Level |
|---|---|---|---|---|---|
| S21/S21 | 60 | 5 | 8.33a z | 7.23a | HT y |
| Rf/S21 | 60 | 16 | 26.67b | 22.64b | T |
| Rf/Rf | 60 | 60 | 100c | 97.08c | HS |
| Rf (non-grafted) | 60 | 60 | 100c | 96.25c | HS |
© 2019 by the authors. Licensee MDPI, Basel, Switzerland. This article is an open access article distributed under the terms and conditions of the Creative Commons Attribution (CC BY) license (http://creativecommons.org/licenses/by/4.0/).
Share and Cite
Huang, C.; Wang, Y.; Yang, Y.; Zhong, C.; Notaguchi, M.; Yu, W. A Susceptible Scion Reduces Rootstock Tolerance to Ralstonia solanacearum in Grafted Eggplant. Horticulturae 2019, 5, 78. https://doi.org/10.3390/horticulturae5040078
Huang C, Wang Y, Yang Y, Zhong C, Notaguchi M, Yu W. A Susceptible Scion Reduces Rootstock Tolerance to Ralstonia solanacearum in Grafted Eggplant. Horticulturae. 2019; 5(4):78. https://doi.org/10.3390/horticulturae5040078
Chicago/Turabian StyleHuang, Chaokun, Yuexia Wang, Yanjuan Yang, Chuan Zhong, Michitaka Notaguchi, and Wenjin Yu. 2019. "A Susceptible Scion Reduces Rootstock Tolerance to Ralstonia solanacearum in Grafted Eggplant" Horticulturae 5, no. 4: 78. https://doi.org/10.3390/horticulturae5040078
APA StyleHuang, C., Wang, Y., Yang, Y., Zhong, C., Notaguchi, M., & Yu, W. (2019). A Susceptible Scion Reduces Rootstock Tolerance to Ralstonia solanacearum in Grafted Eggplant. Horticulturae, 5(4), 78. https://doi.org/10.3390/horticulturae5040078

