Next Article in Journal
Differential Growth in Purslane Species Grown in Two Different Seasons
Previous Article in Journal
Effects of Berry, Cluster Thinning and No-Sulfites Addition on the Sensory Quality of ‘Monastrell’ Organic Wines
Previous Article in Special Issue
Foliar Application of Salicylic Acid Stimulates Phenolic Compound Accumulation and Antioxidant Potential in Saposhnikovia divaricata Herb
 
 
Font Type:
Arial Georgia Verdana
Font Size:
Aa Aa Aa
Line Spacing:
Column Width:
Background:
Article

Dynamic Changes in Lignan Content and Antioxidant Capacity During the Development of Three Cultivars of Schisandra chinensis Seeds

1
College of Horticulture, Jilin Agricultural University, Changchun 130118, China
2
College of Life Science, Jilin Agricultural University, Changchun 130118, China
*
Authors to whom correspondence should be addressed.
These authors contributed equally to this work.
Horticulturae 2025, 11(9), 1106; https://doi.org/10.3390/horticulturae11091106
Submission received: 20 August 2025 / Revised: 11 September 2025 / Accepted: 11 September 2025 / Published: 12 September 2025

Abstract

Schisandra chinensis (Turcz.) Baill. is an important traditional medicinal plant. Lignans, the main active components of S. chinensis, have pharmacological effects, including liver protection, antioxidant, and anticancer properties. In this study, we investigated the dynamic changes and differences in appearance quality, contents of key lignan compounds, and antioxidant capacity of three S. chinensis varieties during the ripening of fruits and seeds. The lignan content in the seeds of the three varieties reached up to 91.9%, it showed an ‘M’-type trend of ‘increase–decrease–increase–decrease’ during fruit ripening; this lignan content was significantly higher than that measured in the fruit. The antioxidant capacity of the seeds surpassed that of the grains, and the maturation trends of the grains and seeds remained relatively aligned. The overall change in free radical (DPPH)-scavenging ability in the seeds during ripening exhibited an inverted ‘N’-type trend of ‘decrease–increase–decrease’. The trends in TFC and TPC were consistent with this ‘N’-type pattern of ‘increase–decrease–increase’. In summary, our results suggest 104 days after flowering as the best harvesting period for S. chinensis. Additionally, this study elucidates the synthesis patterns of lignan content and the corresponding changes in antioxidant capacity in S. chinensis, thereby providing a foundation for the evaluation and screening of germplasm resources.

1. Introduction

Schisandra chinensis (Turcz.) Baill. is a deciduous woody vine belonging to the Schisandraceae family. This plant is recognized as an important medicinal resource, containing a wealth of bioactive components exhibiting various pharmacological effects [1]. S. chinensis grains contain polysaccharides, lignans, amino acids, volatile oils, and other chemical components [2]. As the main active ingredients [3], lignans have a variety of pharmacological effects, including liver protection [4], anti-inflammation [5], anti-oxidation [6], anti-virus, and anticancer properties [7]. Up to 150 lignans have been identified to date. Among them, biphenyl cyclooctadiene lignans are unique compounds of Schisandra plants, including schisandrin, schisandrol B, schisantherin A, deoxyschizandrin, γ-schisandrin, and schisandrin, which constitute the main bioactive components contributing to these observed effects [8].
Lignans are most abundant in the grains of S. chinensis compared to other parts of the plant, such as the stems, leaves, and roots [9]. The grains of S. chinensis exhibit five flavors: the peel and pulp are characterized by sweet and sour tastes, whereas the other parts are characterized by bitter, pungent, and salty flavors. This variation in taste may be attributed to differences in the concentrations of active compounds in each part of the grain. Moreover, the contents of each flavor component and active substance change during the process of grain ripening to varying degrees. Sun et al. [10] utilized high-performance liquid chromatography (HPLC) to analyze the contents of lignans and organic acids in S. chinensis grains at different harvest stages. Their findings revealed that the lignan content peaked in late July, whereas the levels of organic acids peaked in early September. However, there is limited research on the variation in lignan content in different parts of S. chinensis grains and their dynamic changes in the seeds during ripening. As a crucial component for the reproduction and growth of S. chinensis, fluctuations in lignan content in S. chinensis seeds may significantly impact the plant’s growth, medicinal quality, and subsequent reproduction.
chinensis is rich in a variety of biologically active compounds with strong antioxidant capacity [1,6]. These include lignans, polysaccharides, phenolic compounds, etc., which exert antioxidant effects by directly scavenging free radicals or enhancing endogenous antioxidant enzyme systems, offering a natural resource to help alleviate oxidative stress and promote overall health. The lignan compounds in S. chinensis have been shown to effectively inhibit oxidative stress and protect cells from free radical attack [11]. These lignans exert antioxidant effects through a variety of mechanisms, including scavenging free radicals, inhibiting lipid peroxidation, and enhancing the activity of endogenous antioxidant enzymes. They can significantly reduce the activity of DPPH free radicals and ABTS free radicals, showing strong free radical scavenging ability [12]. Its extracts are also widely used in skin care products due to their strong antioxidant and anti-tyrosinase activities. It can neutralize free radicals, promote keratinocyte growth, and inhibit melanin production, thereby delaying skin aging and improving skin color [13]. Kim et al. [14] verified that S. chinensis grains had antioxidant capacity and concluded that the effect of schisandrin B on scavenging reactive oxygen species was similar to that of vitamin C. In addition, Polat Kose et al. [15] found that plant lignans, as secondary metabolites, showed higher antioxidant activity than mammalian lignans. In addition to lignans, phenolic acids and flavonoids are among the main contributors to the high antioxidant activity of S. chinensis [1]. Park et al. [16] demonstrated that the antioxidant capacity of S. chinensis is largely determined by the content of total flavonoids and total phenolic acids in the grains. Despite evidence that the antioxidant capacity of S. chinensis changes with the progression of grain development, the dynamic changes in the antioxidant capacity of S. chinensis seeds require further exploration, particularly in consideration of variations in different parts of the grain (seed, pupl).
In recent years, research efforts on S. chinensis have largely focused on the stages of fruit development and lignans content. However, understanding of the dynamic changes in lignan content and antioxidant capacity of S. chinensis seeds remains insufficient. To address this gap, in this study, we investigated the dynamic changes in lignans, total flavonoids, total polyphenols, and other active ingredients, along with the overall antioxidant capacity of three varieties of S. chinensis, which were compared at different growth periods in the pulp, seeds, and grains. The key period of lignan synthesis and accumulation was further determined. Overall, these findings can provide solid theoretical support for the evaluation and screening of Schisandra germplasm resources, the breeding of excellent resources, and the development of functional foods and new drugs, ultimately promoting the efficient utilization of Schisandra resources and the sustainable development of the industry.

2. Materials and Methods

2.1. Plant Materials

The experimental materials consisted of three varieties of S. chinensis (Ruizhu, Ruihong, and Yanhong), which were collected from the germplasm resource nursery of S. chinensis at Jilin Agricultural University in Changchun City, Jilin Province (43°48′05″ N, 125°24′15″ E). The garden’s soil is classified as chestnut soil, and the region experiences a temperate continental monsoon climate. The lowest temperature appeared at 19.9 °C in January, the highest rainfall is up to 161.1 mm in July (Figure 1). The frost-free period is 140–150 days, and the annual effective accumulated temperature is 2900–3100 °C. The average sunshine duration is 218 h. The cultivation framework is a cross-shaped design, with a spacing of 1.0 m × 2.0 m, and the plants are oriented in an east–west direction. Five 6-year-old S. chinensis plants exhibiting strong growth potential were randomly selected from each variety to serve as test materials. A total of nine samples were collected at various intervals from 25 days after flowering (S1) to 111 days after flowering (S9). Early fruit (spike-like) growth and development is slow, every 15 days sampling; the fruit began to turn color at 70 days after flowering, and samples were collected every 10 days; the fruit gradually matured at 90 days after flowering and sampled once every 7 days, as detailed in Table 1. The samples were promptly placed in an icebox and transported to the laboratory for subsequent measurements of grain (single) appearance quality, lignans content, and antioxidant capacity.

2.2. Determination of Grain and Seed Morphological Traits

Ten spikes fruit from each variety were randomly selected to measure ear weight, ear length, stalk length, and the number of grains per ear. Thirty grains were randomly selected to measure their transverse diameter, longitudinal diameter, and weight. Healthy grains were selected to extract the seeds, and their transverse diameter, longitudinal diameter, and weight of 100 grains were measured. Each measurement was taken three times.

2.3. Lignans Content Determination

The contents of six lignans (schisandrin, schisandrol B, schisantherin A, deoxyschizandrin, schisandrin B, and schisandrin C) in S. chinensis were determined by the area external standard method following a previously reported HPLC protocol [16] with slight modifications.
In brief, the grains, seeds, and pulp of S. chinensis were dried in an oven at 55 °C to constant weight, crushed, and passed through a 40-mesh sieve. Subsequently, 0.5 g of the dried powder was placed in a 10 mL centrifuge tube to which 5 mL of methanol was added, and ultrasonic extraction was performed at 30 °C for 30 min. The sample solution was then filtered using a 0.22 μm microporous membrane.
High performance liquid chromatography for Agilent 1260 Infinity III (Agilent Technologies, Santa Clara, CA, USA). The chromatographic conditions were as follows: C18 Superb 5 nm chromatography column (4.6 × 250 mm (W); Shimaduz Co., Ltd., Shanghai, China), flow rate of 1 mL/min, injection volume of 10 μL. detection wavelength of 254 nm, and column temperature of 30 °C. The mobile phase was methanol (A) and water (B). Gradient elution was performed as follows: 0–10 min, 60–70% A; 10–15 min, 70–80% A; 15–20 min, 60–70% A; 20–30 min, 70–80% A; 30–35 min, 80–90% A; and 35–40 min, 60–70% A. Measurements for each group were repeated three times.

2.4. Determination of the Antioxidant Capacity of S. chinensis Seeds

2.4.1. Free Radical-Scavenging Activity

The DPPH and ABTS free radical-scavenging ability of the seeds of the three S. chinensis varieties at different maturation periods was determined with corresponding kits (Beijing Boxbio Science Co., Ltd., Beijing, China) according to the manufacturer instructions [17].
The determination of DPPH free radical scavenging ability, take sample solution (Section 2.3) 50 μL and 950 μL DPPH working solution as the determination tube (A1), 50 μL sample solution and 950 μL anhydrous ethanol as the control tube (A2), 50 μL methanol solution and 950 μL DPPH working solution as the blank tube (A), fully mixed with room temperature and dark reaction for 30 min, the absorbance value at 515 nm was measured, DPPH free radical scavenging rate (DS%) = [A − (A1 − A2)]/A × 100%. Determination of ABTS free radical scavenging ability, 50 μL sample solution in Section 2.3 was added with 950 μL ABTS working solution as the determination tube (A1), 50 μL sample solution was added with 950 μL reagent one as the control tube (A2), 50 μL distilled water was added with 950 μL ABTS working solution as the blank tube (A), fully mixed, reacted at room temperature in the dark for 6 min, and the absorbance at 406 nm was measured. ABTS free radical scavenging rate (DS%) = (A − A1 + A2)/A × 100%. Three repeated measurements were taken for each group.

2.4.2. Determination of Total Flavonoids

The content of total flavonoids was determined by the Al(NO3)3-NaNO2 chromogenic method as reported previously [15]. The standard was rutin. In 1 mL sample solution (Section 2.3) test tube, 0.4 mL of 5% NaNO3 was added to incubate for 6 min, then 0.4 mL of 10% AlCl3 was added, and the solution was fully mixed to react at room temperature for 6 min. Then 4 mL of 4% NaOH was added, and methanol was added to make the volume reach 10 mL. After the solution was fully mixed, the solution was incubated for 15 min, and the absorbance at 510 nm was measured. The content of total flavonoids is expressed in milligrams of rutin per gram of dry matter (mg Ru/g). Three repeated measurements were taken for each group.

2.4.3. Determination of Total Phenol Content

The total phenol content of S. chinensis seeds was determined by the Folin–Ciocalteu method as reported by Natalia et al. [18]. The standard was gallic acid. In a 10 mL volumetric flask, 0.1 mL of sample solution (Section 2.3), 0.5 mL of Folin–Ciocalteu reagent, and 1.5 mL of 20% Na2CO3 solution were combined, diluted with distilled water, and incubated for two hours at room temperature. Using distilled water as a blank control, the absorbance was measured at a wavelength of 765 nm. Milligrams of gallic acid per gram of dry matter was used to represent the amount of total phenolic acids present (mg GAE/g). Three measurements were taken for each group.

2.5. Data Analysis

Excel 2013 was used to organize the data, while SPSS 20.0 was employed to assess the significance of differences within the data. GraphPad Prism 8.0.2 was used to analyze the difference in lignan content in different parts of S. chinensis fruit. RStudio 4.3.3 was used to analyze the correlations of lignans in different parts of S. chinensis fruit.

3. Results

3.1. Variation in Lignans Content in Different Parts of S. chinensis Grains

Plants at two stages of maturity (green stage and dark red stage) were randomly selected to determine the contents of six lignans (schisandrin, schisandrol B, schisantherin A, deoxyschizandrin, γ-schisandrin, and schisandrin C) in the grains, seeds, and pulp of the three S. chinensis varieties (Figure 2). The results indicated significant differences in the contents of the six lignans in the seeds, pulp, and grains of Ruizhu, Ruihong, and Yanhong plants (p < 0.01). Schisandrin was identified as the predominant lignan in S. chinensis [1]. The concentration of schisandrin in the seeds was 2.14, 1.86, and 2.04 times higher than that in the grains, and was 6, 8.75, and 10.5 times higher than that in the pulp for the Ruizhu, Ruihong, and Yanhong variety, respectively. The content of schisandrin in mature seeds was 1.81–2.62 times that of the grains and was 11.36–16 times that of the pulp. These findings confirmed that the seeds of S. chinensis are the main source of the lignans distribution.

3.2. Dynamic Changes in Morphological Traits in the Grains and Seeds of S. chinensis

From 25 days after flowering (S1) to 111 days after flowering (S9), the size and color of the grain clusters, grains, and seeds of S. chinensis continued to change (Figure 3). The color of the rind closely paralleled the developmental progress of S. chinensis seeds, undergoing five distinct color changes: milky white, light yellow, yellow, light brown, and brown (Figure 3). However, the shape of the seeds did not change significantly during development. The flesh of Ruizhu grains was yellow-white when mature but then began to change to yellow-green at 70 days after flowering (S4) and tended to revert to yellow-white by 104 days after flowering (S8), indicating the mature stage. The grains of Ruihong and Yanhong were red at maturity. The flesh of Ruihong started to exhibit green and slight red hues at 70 days after flowering (S4), while Yanhong only exhibited this coloration at 80 days after flowering (S5). Both varieties turned red at 97 days after flowering (S7) and turned dark red at 111 days after flowering (S9), marking the maturity of the grains.
The grain weight and the transverse and longitudinal diameters are important indicators of grain maturity during the development of S. chinensis (Table 2). The rapid growth period of Ruizhu grains was from 70 to 97 days after flowering (S4–S7). The size of the grains increased continuously, with a 36.25% and 17.70% increase in the growth rate of the transverse and longitudinal diameter, respectively; the weight of the grains increased by 71.70% and the ear weight increased by 65.84% during this period. The rapid growth period of Ruihong and Yanhong was from 80 to 104 days after flowering (S5–S8). The grain weight of Ruihong increased from 0.77 to 1.45 g, representing an increase of 88.31%, and the ear weight also increased by 6.19 g during this period. Yanhong has a relatively small grain type, and the transverse and longitudinal diameters of the grains increased by 25.20% and 26.09%, respectively; the weight of the ear also increased by 34.20% and the length of the grains stalk increased slowly.
The transverse diameter, longitudinal diameter, and 100-grain weight of the external morphology of the seeds of the three S. chinensis varieties exhibited a trend of increasing and then stabilizing. The rind color was milky white at 25 days after flowering (S1). Ruizhu experienced a rapid expansion phase from 40 to 90 days after flowering (S2–S6), during which the transverse diameter of the seeds increased by 72.77%. The rind color also transitioned from light yellow to light brown, and the rind gradually hardened. Similarly, the seeds of Ruihong and Yanhong exhibited rapid growth from 40 to 90 days after flowering (S2–S6). By 97 days after flowering (S7), the rind had turned completely brown, the seed hardness markedly increased, and there were no notable changes in external morphology, indicating that the seeds were nearly mature. A comparison of the appearance traits of the three varieties revealed that Ruizhu has a shorter growth period and can be classified as an early-maturing variety.
The ratio of the dry weight of the seeds to grains (Figure 4a) for the three varieties increased rapidly from 25 to 55 days after flowering (S1–S3). The proportion of seeds was the lowest at 25 days after flowering (S1), at which point the seeds of S. chinensis had not yet fully developed, and the pulp was growing rapidly, with a minimum proportion of 15.1%. Ruizhu reached its maximum ratio at 80 days after flowering (S5), while the ratio for Ruihong and Yanhong peaked at 97 days after flowering (S7).
The total lignans content in the seeds of the three varieties, in relation to the grain ratio (Figure 4b), was proportional to the changes in the seed-to-grain dry weight ratio. The ratio of the total lignans content in the Ruizhu seed and grains increased from 25 to 90 days after flowering (S1–S5). Ruihong and Yanhong reached their maximum ratios at 97 days after flowering (S7). The ratio of the total lignans content in Yanhong seeds and grains peaked at 91.9%, marking the period with the highest lignans content in S. chinensis seeds and an important phase for dry matter accumulation. Subsequently, the seed growth rate slowed, the seeds matured, and their water content gradually decreased, while the pulp continued to expand. The ratio of lignans content in the seeds to grains gradually decreased until the grains matured, and the lignans seed-to-grain ratio also slowly declined until maturity, eventually stabilizing.

3.3. Dynamic Changes in Lignan Content in the Grains and Seeds of S. chinensis

The contents of six lignans in the grains and seeds of three varieties of S. chinensis are presented in Figure 5. The concentrations of all types of lignans in the seeds were significantly higher than those in the grains during the ripening process. The trend in lignans content for both the grains and seeds exhibited a similar pattern, characterized by an overall ‘M’-type trend. The lowest lignan contents in both the grains and seeds for each variety were observed 25 days after flowering (S1). At this stage, schisandrin was the predominant lignan present. It is speculated that the lower levels of various lignans in the grains and seeds prior to S1 may be attributed to the incomplete development of the seeds. The highest concentrations of the six lignans in the Ruizhu variety were recorded 55 days after flowering (S3), while the peak levels for Ruihong and Yanhong were observed 70 days after flowering (S4). Notably, Ruizhu is an early-maturing variety, and the peak concentrations of each lignan occurred one period earlier than those for the other two varieties.
The content of schizandrin in Ruizhu seeds decreased rapidly from 80 to 97 days after flowering (S5–S7), representing a reduction of 34.67%. Subsequently, the schizandrin content continued to decline gradually after a slight rebound until the fruit matured. The trend in schisandrol B content (Figure 5b) was similar to that of schizandrin. The schisandrol B content of Ruizhu reached its highest value at 55 days after flowering (S3), with 0.19 mg/g in the fruit and 0.39 mg/g in the seeds. In contrast, the schisandrol B content of Ruihong and Yanhong reached its peak value at 70 days after flowering (S4), at 0.33 mg/g and 0.39 mg/g, respectively, which was 2.2 times and 1.9 times higher than that in the fruit. The content of schisantherin A (Figure 5c) in the fruit and seeds of the three varieties was consistent during the first three developmental periods, exhibiting a continuous upward trend. However, all three varieties displayed a downward trend in schisantherin A after reaching their maximum levels. Ruizhu exhibited a decline earlier than Ruihong and Yanhong, which can be attributed to the inherent characteristics of the varieties; nevertheless, the rate of decline was relatively consistent across the three varieties. The trends in γ-schisandrin (Figure 5e) and schizandrin C (Figure 5f) were similar. The changes in schisandrin B and schisandrin C content in each variety during ripening followed an ‘M’-shaped pattern. The content of schisandrin C in the seeds was relatively low throughout the growth and development process, with a concentration of only ~0.16 mg/g during fruit ripening. The variations in the contents of deoxyschizandrin (Figure 5d) and the other five lignans were minimal.
The growth rates of Ruihong and Yanhong during the first three periods were relatively consistent; however, the growth rate of Yanhong significantly accelerated from 55 to 70 days after flowering (S3–S4). Among the three varieties, Yanhong seeds exhibited the highest concentration of schisantherin A, reaching a maximum value of 0.41 mg/g, which was 0.1 mg/g higher than that of the other two varieties. Consequently, the accumulation of lignans varies among different varieties, and the levels of endogenous substances also differ.

3.4. Correlation Analysis of Lignans Content in Different Parts of S. chinensis

Pearson correlation analysis of lignan contents in different parts of S. chinensis was carried out using RStudio 4.3.3. Additionally, a Mantel correlation analysis was performed to examine the relationship between lignans content and grain and seed size (Figure 6). A strong correlation was observed between schizandrin and schisandrol B contents in both the grains and seeds, with correlation coefficients of 0.95 and 0.94, respectively. In contrast, the correlation between the content of schizandrin C in the seeds and various parts of the fruit was relatively weak, likely due to the low concentration of this lignan overall. The changes in grain and seed size during fruit ripening were significantly different from the changes in the content of schizandrin in the grains and seeds, the content of schisandrol B in the grains and seeds, and the content of schizandrin C in the fruit (p < 0.01). Among them, seed size was positively correlated with schizandrin and schisandrol B in the grains, exhibiting the strongest correlation overall (r ≥ 0.5). There was a significant difference between seed size and deoxyschizandrin content in the seeds (0.01 < p < 0.05), and the contents of schizandrin and schisandrol B were positively correlated to seed size during fruit ripening. Except for the weak correlation between grain size and deoxyschizandrin content in the grains and seeds, and between seed size and schizandrin C content in the seeds (0 < r < 0.03), there were no statistically significant correlations found between grain and seed size and the contents of various lignans in other parts.

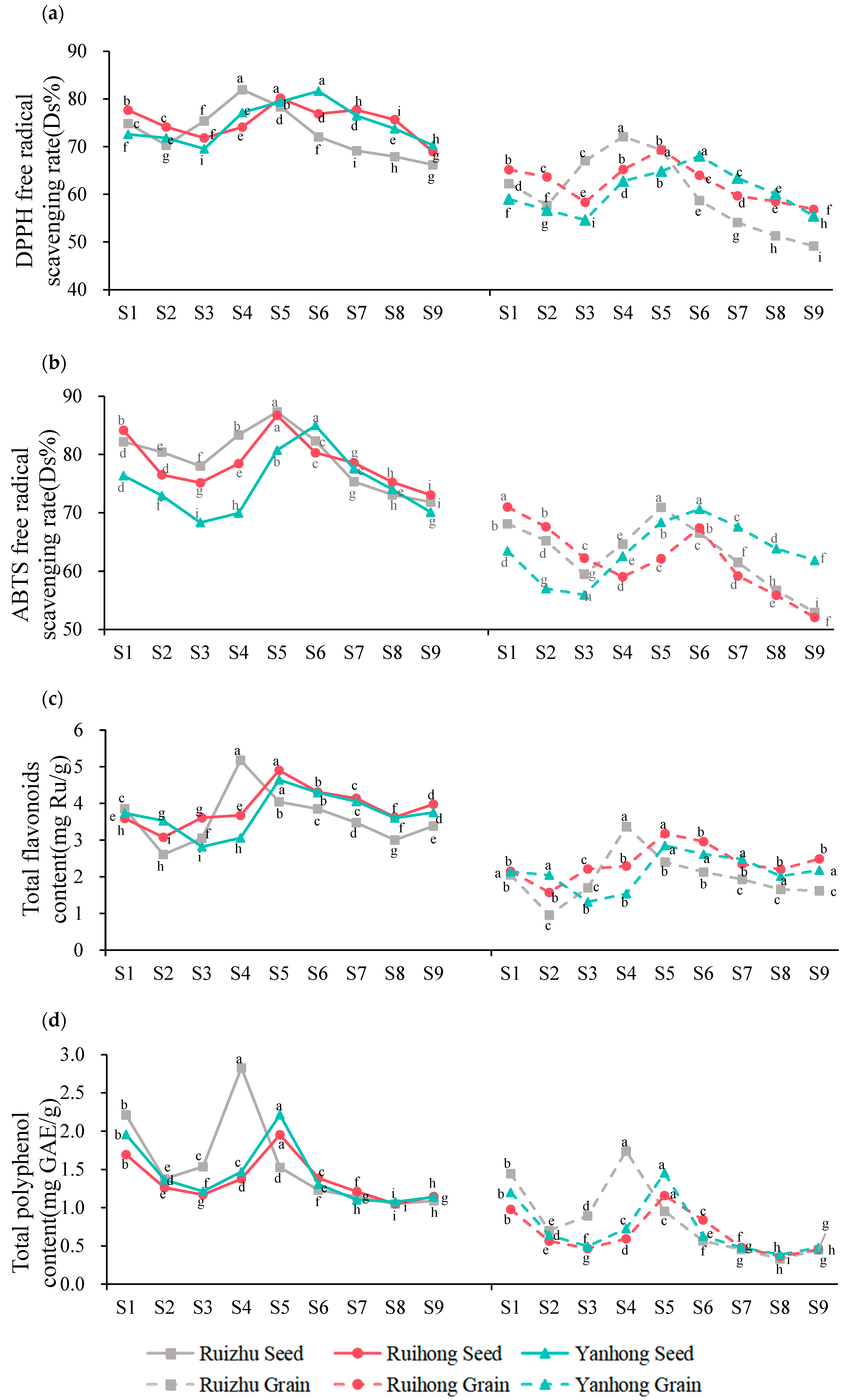
3.5. Dynamic Changes in Antioxidant Capacity in the Grains and Seeds of S. chinensis

The antioxidant capacity of S. chinensis grains and seeds was assessed by measuring the DPPH free radical-scavenging capacity, ABTS free radical-scavenging capacity, total flavonoid content, and total phenolic acid content (Figure 7). Variations were observed in the antioxidant indices across different parts during fruit ripening. Notably, the antioxidant capacity indices of the seeds were higher than those of the grains; however, the antioxidant capacities of the grains and seeds from the three varieties were relatively consistent across each index.
The overall change in the DPPH free radical-scavenging capacity exhibited an inverted ‘N’-type trend (Figure 7a). The DPPH free radical-scavenging ability of Ruizhu seeds increased to the highest value of 81.92% at 70 days after flowering (S4), which was 1.14 times that of the grains. The highest values for Ruihong and Yanhong appeared at 80 (S5) and 90 (S6) days after flowering, respectively. The DPPH free radical-scavenging capacity of the three varieties all decreased to the lowest value after reaching the highest value. The difference between the highest and the lowest values of the DPPH free radical-scavenging ability of Ruizhu seeds was 15.73%, and then the change tended to be more gradual until the fruit matured. The DPPH method is more suitable for detecting the activity of lipid-soluble antioxidants in the evaluation of antioxidant capacity [19]. Since the lipophilicity of lignans is generally high and they are typically insoluble in water, the dynamic change trend of DPPH free radical-scavenging ability with the growth and development of S. chinensis seeds was similar to the change trend of total flavonoids, total phenolic acids, and lignans content.
The overall change in ABTS free radical-scavenging ability (Figure 7b) exhibited a ‘W’-shaped trend. The three varieties demonstrated a decline from 25 to 55 days after flowering (S1–S3). The ABTS free radical-scavenging activity of Ruizhu seeds decreased gradually, by only 8.75%, while that of Ruihong and Yanhong seeds showed more significant declines of 22.77% and 16.06%, respectively. Both Ruizhu and Ruihong seeds reached their maximum values at 80 days after flowering (S5), with increases of 87.30% and 86.72%, respectively. The ABTS-scavenging activity of Yanhong seeds continued to rise until 90 days after flowering (S6), reaching a peak of 84.97%, before subsequently declining.
The TFC exhibited a ‘V’-shaped pattern, with a relatively gentle change observed in the later stages of maturation. Initially, all three varieties demonstrated a downward trend. The Ruizhu variety reached its lowest point of 2.61 mg Ru/g at 40 days after flowering (S2), with the TFC of the fruit measuring only 0.95 mg Ru/g. Subsequently, this content increased, peaking at 70 days after flowering (S4). Both the Ruihong and Yanhong varieties attained their highest values at 80 days after flowering (S5), with no significant difference between the maximum values of the two varieties. Following this peak, the TFC in all three varieties gradually decreased until 104 days after flowering (S8), after which it slowly increased during the fruit ripening stage.
The trend in TPC exhibited an inverted ‘N’ shape, with significant fluctuations observed for Ruizhu during the early stages of development. The TPC in the seeds decreased from 2.21 mg GAE/g to 1.38 mg GAE/g between 25 and 40 days after flowering (S1–S2), followed by a significant increase after 40 days (S2). The peak value of 2.83 mg GAE/g was recorded in S4, and the TPC decreased sharply from 70 to 80 days after flowering (S4–S5), decreasing by 46.00%. In contrast, the decline rate of Ruihong and Yanhong during the early stages was more gradual than that of Ruizhu. Both varieties reached their maximum TPC at 80 days after flowering (S5), with values of 1.95 mg GAE/g and 2.21 mg GAE/g, respectively. Subsequently, the TPC of these varieties also decreased significantly, leveling off at a gentler rate during the fruit ripening stage. Notably, the highest TPC in Ruizhu was significantly greater than that of the other two varieties, which may reflect the differing quality characteristics among the varieties.

4. Discussion

Lignans are one of the main effective components of S. chinensis; however, there are differences in the distribution of lignans in different parts of the plant. Schwarzinger et al. [20] determined the distribution of lignans in different parts (fruits, leaves, and buds) of S. chinensis by a pyrolysis–gas chromatography–mass spectrometry method, demonstrating the highest content in the fruits. The grains of S. chinensis have five key flavor characteristics, including sour, sweet, bitter, pungent, and salty, which may be related to the difference in lignan content in different parts of the grain. The present study further analyzed the differences in the contents of various lignans among the grain, pulp, and seed, showing that the content of each lignan in the seed was significantly higher than that in the pulp and grain. Specifically, the content of lignans in the seeds was the highest, followed by the grains, and the content of the lignans in the pulp was the lowest. This difference not only affects the medicinal value of the plant but also provides a scientific basis for its further development and application.
The fruit of S. chinensis undergoes complex physiological and chemical changes during growth and development. These changes not only affect the overall appearance but also determine the medicinal value and nutrient accumulation of the fruit. The appearance traits of the fruit showed significant differences at different growth stages, including changes in size and color. The change in color is caused by the changes in chlorophyll and anthocyanin contents [21,22], and these changes are particularly evident during the fruit development period from S5 (80 days after flowering) to S9 (111 days after flowering). In addition, there were differences in the phenotypic traits and growth rate of the pulp of the three varieties of S. chinensis, such as the color conversion period and maturity period, which were attributed to the inherent characteristics of different varieties.
With respect to the pharmacodynamic components, the contents of six lignans in the grains and seeds of S. chinensis decreased with the progression of fruit ripening (S7–S9), and the contents of various lignans in the seeds also decreased to varying degrees. Shi et al. [23] reported that the content of most lignans showed a pattern of increase–decrease–increase–decrease during fruit ripening. It has been speculated that the change in lignan content in S. chinensis fruit is caused by the unequal growth rates of the seeds and grains. However, the results of this study indicate that the change in lignan content in the seeds is similar to that in the grains, suggesting that this variation is not caused by unequal growth rates. Alternatively, this may be due to the different physiological effects of each lignan component in the grain. Some studies have pointed out that during the ripening process of S. chinensis, the decrease in phenylalanine and tyrosine contents, the precursors of lignan synthesis, will also affect the synthesis of lignans [24]. At the same time, lignans participate in the synthesis of other medicinal components at the mature stage, resulting in a gradual decrease in their content. Studies have shown that the leaves and roots of S. chinensis also contain certain bioactive substances, but their content and types are significantly lower than those of fruits and seeds. Transcriptome analysis showed that the expression of genes related to phenylpropanoid biosynthesis pathway in leaves and roots was low, while this pathway in fruits was significantly up-regulated at the late stage of fruit development, indicating that fruits were the main accumulation site of lignans and other medicinal components [25]. This study further analyzed the content of pharmacodynamic components in different parts of the fruit. The results showed that the content of lignans in S. chinensis seeds was the highest and the antioxidant capacity was the strongest.
The contents of all six lignans measured in the seeds of the three varieties were significantly higher than those in the grains, and there were also significant differences among the varieties. During fruit ripening, the change trend of lignan content in the grains was similar to that in the seeds, but the change range was relatively small. This may be attributed to the increased number of lignan synthesis metabolic pathways in the seeds during the growth and development of S. chinensis, along with greater activity of related synthases, resulting in a larger amount of lignans that can be synthesized and accumulated in the seeds. Comparison of the seed-to-grain dry weight and lignan content ratios showed that Ruizhu reached the highest value at 80 days after flowering (S5), Ruihong and Yanhong reached the highest value at 97 days after flowering (S7), and the content of various lignans also reached the second peak. Therefore, the seed is the main part of the plant for the synthesis and accumulation of lignans, and this is the main period of dry matter accumulation in the seed. This detailed determination of the dynamic changes in various lignans in different parts of S. chinensis can help to establish the optimal harvest time to realize the effective utilization of different lignans.
A variety of active ingredients in S. chinensis can directly scavenge free radicals and have significant antioxidant capacity. The results of this study showed that the antioxidant capacity of S. chinensis seeds was significantly higher than that of the grains. The TFC in the green-fruit stage was significantly higher than that in the mature stage. The TPC also reached the highest level in the green-fruit period, which was consistent with the results of a previous study [24]. Considering the whole development process of grains, compared with mature grains, S. chinensis seeds have stronger antioxidant capacity in the middle stage of development. The accumulation of total flavonoids and total phenolic acids in the grains is affected by a variety of regulatory factors, including the ripening stage [26]. The stage with the highest DPPH and ABTS free radical-scavenging ability in the seeds was largely consistent with that of the highest total flavonoids and total phenolic acid contents. The DPPH and ABTS free radical-scavenging ability at 70–80 days after flowering (S4–S5) was significantly higher than that at the mature stage. The TFC and TPC in the grains at different harvest stages were positively correlated with antioxidant activity (DPPH and ABTS free radical-scavenging ability). Therefore, harvest time is an important factor affecting the antioxidant activity of S. chinensis seeds, highlighting the need for comprehensive analysis.
Wang et al. compared the lignan content and antioxidant capacity of S. chinensis from different habitats and evaluated its quality [16]. The results were different from those in this study in terms of lignan content and antioxidant capacity during fruit ripening, which may be caused by different climatic conditions and different growth characteristics of S. chinensis in different regions. The cultivation adaptability of S. chinensis is closely related to the climatic conditions of its distribution area. Under different climatic conditions, the growth and development of S. chinensis also changed significantly. At the same time, it has an important influence on the accumulation of active components and antioxidant capacity in S. chinensis. It mainly grows in temperate climate regions, and its lignan content and antioxidant capacity may be regulated by environmental factors such as temperature, humidity and light. Moderate sunlight and water supply can promote plant metabolism and increase lignan synthesis. Warm and humid climatic conditions are more conducive to the growth of S. chinensis, while the cultivation effect in high altitude areas is poor, and the lignan content decreases significantly with the increase in altitude [27]. Seasonal precipitation and annual precipitation also had significant effects on the accumulation of secondary metabolites (such as volatile oil and polysaccharides) of S. chinensis [28]. The climatic conditions of the cultivation sites of plant materials in this study are temperate continental monsoon climate. The annual frost-free period is 140–150 days, and the annual effective accumulated temperature is 2900–3100 °C. The average sunshine duration is 218 h. Completely meet the growth conditions of S. chinensis.

5. Conclusions

The content of lignans in the seeds of S. chinensis was significantly higher than that in the pulp and grains during fruit ripening, indicating that the seeds are the main source of lignans among various plant parts. The contents of the six measured lignans showed an ‘M’-shaped trend, representing a pattern of increase–decrease–increase–decrease during fruit ripening. The antioxidant capacity of S. chinensis seeds was significantly higher than that of the grains, although the dynamic change trend of antioxidant capacity was similar for the seeds and grains. The DPPH free radical-scavenging capacity showed an increase–decrease–increase pattern (i.e., an inverted ‘N’ shape) with the progression of fruit ripening. The change trend of total flavonoids and total phenolic acid content was consistent, showing a ‘V’-type pattern in the early stage, which gradually decreased to less fluctuations in the later stage. On the basis of comprehensive consideration of the commodity, appearance, lignan content, and antioxidant capacity of S. chinensis, it is suggested that the period S8 (104 days after flowering) represents the optimal harvest period. This study clarifies the dynamic changes in phenotypic traits, lignan content, and antioxidant capacity of S. chinensis seeds during growth and development, providing a solid basis for the efficient utilization of S. chinensis medicinal components, which can further facilitate the quality control, evaluation, and screening of germplasm resources.

Author Contributions

Z.Z. (Zitong Zhao): Conceptualization; Data curation; Formal analysis; Investigation; Methodology; Writing—original draft; Writing—review and editing. M.L.: Data curation; Formal analysis; Investigation; Project administration. B.Z.: Conceptualization; Formal analysis; Project administration. F.Z.: Investigation; Project administration. P.N.: Visualization; Investigation; Project administration. Z.Z. (Zhendong Zhang): Project administration. D.S.: Conceptualization; Investigation; Methodology; Project administration; Supervision. Z.W.: Investigation; Methodology. G.S.: Conceptualization; Data curation; Formal analysis; Funding acquisition; Investigation; Methodology. J.A.: Conceptualization; Data curation; Formal analysis; Funding acquisition; Investigation; Methodology; Resources. All authors have read and agreed to the published version of the manuscript.

Funding

This work was supported by the National Key R&D Program of China (grant number 2024YFD1600601); the Jilin Province Science and Technology Department (grant number 20240305004YY); the Research Project in the Jilin Province Development and Reform Commission (grant number 2023C035–9).

Data Availability Statement

Data will be made available on request.

Conflicts of Interest

The authors declare that they have no conflicts of interest.

Abbreviations

The following abbreviations are used in this manuscript:
DAFDays after flowering
HPLCHigh-performance liquid chromatography
SDStandard deviation
TPCTotal phenolic content
TFCTotal flavonoid content

References

  1. Kopustinskiene, D.M.; Bernatoniene, J. Antioxidant Effects of Schisandra chinensis grains and Their Active Constituents. Antioxidants 2021, 10, 620. [Google Scholar] [CrossRef]
  2. Zhou, Y.; Men, L.; Sun, Y.; Wei, M.; Fan, X. Pharmacodynamic effects and molecular mechanisms of lignans from Schisandra chinensis Turcz. (Baill.), a current review. Eur. J. Pharmacol. 2021, 892, 173796. [Google Scholar] [CrossRef] [PubMed]
  3. Xue, L.; Liu, K.; Yan, C.; Dun, J.; Xu, Y.; Wu, L.; Yang, H.; Liu, H.; Xie, L.; Wang, G.; et al. Schisandra lignans ameliorate nonalcoholic steatohepatitis by regulating aberrant metabolism of phosphatidylethanolamines. Acta Pharm. Sin. B 2023, 13, 3545–3560. [Google Scholar] [CrossRef] [PubMed]
  4. Li, Z.; He, X.; Liu, F.; Wang, J.; Feng, J. A review of polysaccharides from Schisandra chinensis and Schisandra sphenanthera: Properties, functions and applications. Carbohydr. Polym. 2018, 184, 178–190. [Google Scholar] [CrossRef]
  5. Szopa, A.; Dziurka, M.; Warzecha, A.; Kubica, P.; Klimek-Szczykutowicz, M.; Ekiert, H. Targeted lignans Profiling and Anti-Inflammatory Properties of Schisandra rubriflora and Schisandra chinensis Extracts. Molecules 2018, 23, 3103. [Google Scholar] [CrossRef] [PubMed]
  6. Chen, X.; Tang, R.; Liu, T.; Dai, W.; Liu, Q.; Gong, G.; Song, S.; Hu, M.; Huang, L.; Wang, Z. Physicochemical properties, antioxidant activity and immunological effects in vitro of polysaccharides from Schisandra sphenanthera and Schisandra chinensis. Int. J. Biol. Macromol. 2019, 131, 744–751. [Google Scholar] [CrossRef]
  7. Mocan, A.; Crișan, G.; Vlase, L.; Crișan, O.; Vodnar, D.C.; Raita, O.; Gheldiu, A.M.; Toiu, A.; Oprean, R.; Tilea, I. Comparative studies on polyphenolic composition, antioxidant and antimicrobial activities of Schisandra chinensis leaves and grains. Molecules 2014, 19, 15162–15179. [Google Scholar] [CrossRef]
  8. Ren, R.; Ci, X.X.; Li, H.Z.; Luo, G.J.; Li, R.T.; Deng, X.M. New Dibenzocyclooctadiene lignans from Schisandra sphenanthera and Their Proinflammatory Cytokine Inhibitory Activities. Z. Naturforsch. B 2010, 65, 211–218. [Google Scholar] [CrossRef]
  9. Solip, L.; Sang, W.Y.; Ayman, T.; Se, H.R.; Jiae, S.; Ki, Y.L.; Bang, Y.H.; Hanna, S.; Mi, K.L. Variation of lignans content and α-glucosidase inhibitory activity of Schisandra chinensis fruit at different maturation stages: Comparison with stem, leaf and seed. Sci. Hortic. 2022, 293, 11067. [Google Scholar] [CrossRef]
  10. Sun, B.; Yan, Y.; Ma, M.; Wen, J.; He, Y.; Sun, Y.; Yuan, P.; Xu, P.; Yang, T.; Zhao, Z.; et al. Based on HPLC and HS-GC-IMS Techniques, the Changes in the Internal Chemical Components of Schisandra chinensis (Turcz.) Baill. Fruit at Different Harvesting Periods Were Analyzed. Molecules 2024, 29, 1893. [Google Scholar] [CrossRef]
  11. Rybnikář, M.; Malaník, M.; Šmejkal, K.; Švajdlenka, E.; Shpet, P.; Babica, P.; Dall’Acqua, S.; Smištík, O.; Jurček, O.; Treml, J. Dibenzocyclooctadiene Lignans from Schisandra chinensis with Anti-Inflammatory Effects. Int. J. Mol. Sci. 2024, 25, 3465. [Google Scholar] [CrossRef]
  12. Wang, X.; Yu, J.; Li, W.; Wang, C.; Li, H.; Ju, W.; Chen, J.; Sun, J. Characteristics and Antioxidant Activity of lignans in Schisandra chinensis and Schisandra sphenanthera from Different Locations. Chem. Biodivers. 2018, 15, 1800030. [Google Scholar] [CrossRef]
  13. Zagórska-Dziok, M.; Wójciak, M.; Ziemlewska, A.; Nizioł-Łukaszewska, Z.; Hoian, U.; Klimczak, K.; Szczepanek, D.; Sowa, I. Evaluation of the Antioxidant, Cytoprotective and Antityrosinase Effects of Schisandra chinensis Extracts and Their Applicability in Skin Care Product. Molecules 2022, 27, 8877. [Google Scholar] [CrossRef]
  14. Kim, S.R.; Lee, M.K.; Koo, K.A.; Kim, S.H.; Sung, S.H.; Lee, N.G.; Markelonis, G.J.; Oh, T.H.; Yang, J.H.; Kim, Y.C. Dibenzocyclooctadiene lignans from Schisandra chinensis protect primary cultures of rat cortical cells from glutamate-induced toxicity. J. Neurosci. Res. 2004, 76, 397–405. [Google Scholar] [CrossRef]
  15. Polat, K.L.; Gulcin, İ. Evaluation of the Antioxidant and Antiradical Properties of Some Phyto and Mammalian lignans. Molecules 2021, 26, 7099. [Google Scholar] [CrossRef] [PubMed]
  16. Park, M.; Lee, K.G. Effect of roasting temperature and time on volatile compounds, total polyphenols, total flavonoids, and lignans of omija (Schisandra chinensis Baillon) fruit extract. Food Chem. 2021, 338, 127836. [Google Scholar] [CrossRef] [PubMed]
  17. Konrade, D.; Gaidukovs, S.; Vilaplana, F.; Sivan, P. Pectin from Fruit- and Berry-Juice Production by-Products: Determination of Physicochemical, Antioxidant and Rheological Properties. Foods 2023, 12, 1615. [Google Scholar] [CrossRef] [PubMed]
  18. Alonso, A.C.; Sala, G.R.; Sanahuja, A.B.; García, A.V. Comprehensive study of lignocellulosic fraction, structural and chemical composition, mineral profile, in vitro antioxidant activity, and phenolic profile of papaya crop byproducts. Ind. Crop Prod. 2025, 224, 120395. [Google Scholar]
  19. Munteanu, I.G.; Apetrei, C. Analytical Methods Used in Determining Antioxidant Activity: A Review. Int. J. Mol. Sci. 2021, 22, 3380. [Google Scholar] [CrossRef]
  20. Schwarzinger, C.; Kranawetter, H. Analysis of the active compounds in different parts of the Schisandra chinensis plant by means of pyrolysis-GC/MS. Monatshefte Chem. 2004, 135, 1201–1208. [Google Scholar] [CrossRef]
  21. Mocan, A.; Schafberg, M.; Crișan, G.; Rohn, S. Determination of lignans and phenolic components of Schisandra chinensis (Turcz.) Baill. using HPLC-ESI-ToF-MS and HPLC-online TEAC: Contribution of individual components to overall antioxidant activity and comparison with traditional antioxidant assays. J. Funct. Foods 2016, 24, 579–594. [Google Scholar] [CrossRef]
  22. Kapoor, L.; Simkin, A.J.; George, P.D.C.; Siva, R. Fruit ripening: Dynamics and integrated analysis of carotenoids and anthocyanins. BMC Plant Biol. 2022, 22, 27. [Google Scholar] [CrossRef] [PubMed]
  23. Shi, G.; Zhu, B.; Ai, J.; Sun, D.; Wang, Z.; Yu, M.; Liu, Y.; Li, X.; Song, X. Changes in lignans compounds and expression of genes in lignans biosynthetic pathways during the maturation of Schisandra chinensis fruit. Ind. Crop Prod. 2023, 194, 116327. [Google Scholar] [CrossRef]
  24. Lee, D.H.; Park, Y.; Jang, J.H.; Son, Y.; Kim, J.A.; Lee, S.Y.; Kim, H.J. The growth characteristics and lignans contents of Schisandra chinensis grains from different cultivation regions. Appl. Biol. Chem. 2022, 65, 77. [Google Scholar] [CrossRef]
  25. Hong, C.P.; Kim, C.K.; Lee, D.J.; Jeong, H.J.; Lee, Y.; Park, S.G.; Kim, H.J.; Kang, J.N.; Ryu, H.; Kwon, S.J.; et al. Long-read transcriptome sequencing provides insight into lignan biosynthesis during fruit development in Schisandra chinensis. BMC Genom. 2022, 23, 17. [Google Scholar] [CrossRef]
  26. Rathod, N.B.; Kulawik, P.; Ozogul, F.; Regenstein, J.M.; Ozogul, Y. Biological activity of plant-based carvacrol and thymol and their impact on human health and food quality. Trends Food Sci. Technol. 2021, 116, 733–748. [Google Scholar] [CrossRef]
  27. Lin, H.M.; Han, H.X.; Li, Y.H.; Yang, L.M. Correlation study on lignin contents of Schisandra chinensis and ecological factors. Zhongguo Zhong Yao Za Zhi 2013, 38, 4281–4286. [Google Scholar]
  28. Shang, J.; Zhao, Q.; Yan, P.; Sun, M.; Sun, H.; Liang, H.; Zhang, D.; Qian, Z.; Cui, L. Environmental factors influencing potential distribution of Schisandra sphenanthera and its accumulation of medicinal components. Front. Plant Sci. 2023, 14, 1302417. [Google Scholar] [CrossRef]
Figure 1. Climatic conditions of cultivated land. (P: Precipitation, Tn: Minimum Temperature, Tx: Maximum Temperature).
Figure 1. Climatic conditions of cultivated land. (P: Precipitation, Tn: Minimum Temperature, Tx: Maximum Temperature).
Horticulturae 11 01106 g001
Figure 2. Comparative analysis of lignan contents in the pulp, seeds, and grains of three cultivars of (Ruizhu, Ruihong, Yanhong) S. chinensis at the green grain stage and the dark-red stage. (ns, not significant; * p < 0.05; ** p < 0.01; *** p < 0.001; **** p < 0.0001).
Figure 2. Comparative analysis of lignan contents in the pulp, seeds, and grains of three cultivars of (Ruizhu, Ruihong, Yanhong) S. chinensis at the green grain stage and the dark-red stage. (ns, not significant; * p < 0.05; ** p < 0.01; *** p < 0.001; **** p < 0.0001).
Horticulturae 11 01106 g002
Figure 3. Different stages of maturity for fruit, grains, and seeds (S1–S9) of three S. chinensis varieties: Ruizhu, Ruihong, and Yanhong (from top to bottom).
Figure 3. Different stages of maturity for fruit, grains, and seeds (S1–S9) of three S. chinensis varieties: Ruizhu, Ruihong, and Yanhong (from top to bottom).
Horticulturae 11 01106 g003
Figure 4. The ratio of seeds-to-grains dry weight and total lignans content in the three varieties. Different lowercase letters indicate significant differences (p < 0.05). (a) Dynamic changes of ratio of seed to fruit dry weight in S1–S9. (b) Dynamic changes of the ratio of total lignans content in seeds to fruit in S1–S9.
Figure 4. The ratio of seeds-to-grains dry weight and total lignans content in the three varieties. Different lowercase letters indicate significant differences (p < 0.05). (a) Dynamic changes of ratio of seed to fruit dry weight in S1–S9. (b) Dynamic changes of the ratio of total lignans content in seeds to fruit in S1–S9.
Horticulturae 11 01106 g004
Figure 5. Dynamic changes in lignan contents in the grains and seeds of three varieties of S. chinensis at different stages of ripening and development. Different lowercase letters indicate significant differences (p < 0.05). (af) refer to the dynamic trends of schisandrin, schisandrol B, schisantherin A, deoxyschizandrin, γ-schisandrin, and schisandrin C during S1–S9, respectively.
Figure 5. Dynamic changes in lignan contents in the grains and seeds of three varieties of S. chinensis at different stages of ripening and development. Different lowercase letters indicate significant differences (p < 0.05). (af) refer to the dynamic trends of schisandrin, schisandrol B, schisantherin A, deoxyschizandrin, γ-schisandrin, and schisandrin C during S1–S9, respectively.
Horticulturae 11 01106 g005
Figure 6. Correlation analysis of lignans in the pulp, seeds, and grains of S. chinensis. The color gradient and rectangular area represent the Pearson correlation coefficient, the color of the connecting lines represents statistical significance (p value range), and the width of the connecting lines represents the Mantel correlation coefficient. Note: “Grain” indicates the grain’s transverse diameter, longitudinal diameter, and grain weight; “seed” indicates the seed’s horizontal diameter, vertical diameter, and 100-seed weight.
Figure 6. Correlation analysis of lignans in the pulp, seeds, and grains of S. chinensis. The color gradient and rectangular area represent the Pearson correlation coefficient, the color of the connecting lines represents statistical significance (p value range), and the width of the connecting lines represents the Mantel correlation coefficient. Note: “Grain” indicates the grain’s transverse diameter, longitudinal diameter, and grain weight; “seed” indicates the seed’s horizontal diameter, vertical diameter, and 100-seed weight.
Horticulturae 11 01106 g006
Figure 7. Dynamic changes in antioxidant capacity, total flavonoids, and total phenol content in the grains and seeds of three varieties of S. chinensis at different developmental stages. Different lowercase letters indicate significant differences (p < 0.05). (ad) refer to the dynamic trends of DPPH free radical-scavenging capacity, ABTS free radical-scavenging capacity, total flavonoids content and total polyphenol content during S1–S9, respectively.
Figure 7. Dynamic changes in antioxidant capacity, total flavonoids, and total phenol content in the grains and seeds of three varieties of S. chinensis at different developmental stages. Different lowercase letters indicate significant differences (p < 0.05). (ad) refer to the dynamic trends of DPPH free radical-scavenging capacity, ABTS free radical-scavenging capacity, total flavonoids content and total polyphenol content during S1–S9, respectively.
Horticulturae 11 01106 g007
Table 1. Sampling information.
Table 1. Sampling information.
StageSampling Time
S125 DAF
S240 DAF
S355 DAF
S470 DAF
S580 DAF
S690 DAF
S797 DAF
S8104 DAF
S9111 DAF
DAF: days after flowering.
Table 2. Changes in the size and weight of the bunches, fruit grains, and seeds of the three S. chinensis varieties during maturation.
Table 2. Changes in the size and weight of the bunches, fruit grains, and seeds of the three S. chinensis varieties during maturation.
StageBunch Weight
(g)
Grains Transverse Diameter
(mm)
Grains Vertical Diameter
(mm)
Grains Weight
(g)
Seed Transverse Diameter
(mm)
Seed Vertical Diameter
(mm)
100-Seed Weight
(g)
S14.02 ± 0.06i5.59 ± 0.14i6.73 ± 0.05i0.16 ± 0.01i1.84 ± 0.04g3.11 ± 0.06h1.27 ± 0.02h
S27.32 ± 0.24h6.39 ± 0.07h7.41 ± 0.10h0.37 ± 0.03h2.60 ± 0.15f3.43 ± 0.08g1.73 ± 0.10g
S310.67 ± 0.34g7.10 ± 0.11f8.04 ± 0.08f0.47 ± 0.02f2.94 ± 0.05e3.53 ± 0.03fg2.01 ± 0.04f
S412.88 ± 0.39f7.45 ± 0.19f8.19 ± 0.10f0.53 ± 0.01f3.12 ± 0.05d3.65 ± 0.06f2.21 ± 0.02e
RuizhuS518.39 ± 0.12e8.56 ± 0.28e8.86 ± 0.18e0.68 ± 0.02e3.31 ± 0.06d3.93 ± 0.06e2.35 ± 0.02d
S619.54 ± 0.07d9.44 ± 0.26d9.16 ± 0.14d0.80 ± 0.02d3.43 ± 0.03c4.17 ± 0.06d2.47 ± 0.03c
S721.36 ± 0.38c10.15 ± 0.11c9.64 ± 0.07c0.91 ± 0.01c3.55 ± 0.04c4.79 ± 0.06c2.60 ± 0.01b
S824.25 ± 0.38b10.78 ± 0.18b10.02 ± 0.08b1.08 ± 0.03b3.76 ± 0.03b5.01 ± 0.09b2.71 ± 0.02b
S925.11 ± 0.13a11.81 ± 0.31a10.53 ± 0.12a1.26 ± 0.04a3.99 ± 0.01a5.23 ± 0.05a2.87 ± 0.02a
S16.35 ± 0.07h8.15 ± 0.04f8.77 ± 0.08i0.27 ± 0.03g2.06 ± 0.05i3.09 ± 0.11f1.47 ± 0.04g
S216.21 ± 0.42g11.62 ± 0.28e9.87 ± 0.15h0.48 ± 0.02f2.35 ± 0.02h3.84 ± 0.07e1.80 ± 0.05f
S322.50 ± 0.57f11.85 ± 0.08e10.95 ± 0.17g0.63 ± 0.03e3.12 ± 0.06g3.91 ± 0.02e2.19 ± 0.10e
S427.28 ± 0.12e11.90 ± 0.11e13.82 ± 0.16f0.77 ± 0.02c3.42 ± 0.04f4.19 ± 0.09d2.65 ± 0.09d
RuihongS531.17 ± 0.34d12.45 ± 0.05d11.43 ± 0.07e0.81 ± 0.02d3.67 ± 0.11e4.58 ± 0.02c3.13 ± 0.06c
S634.76 ± 0.24c13.23 ± 0.05c11.95 ± 0.05d0.90 ± 0.02c4.06 ± 0.04d4.74 ± 0.05c3.76 ± 0.09b
S736.85 ± 0.74b13.94 ± 0.09b12.31 ± 0.15c0.98 ± 0.03c4.44 ± 0.05c5.05 ± 0.04b4.17 ± 0.04a
S837.36 ± 1.12b14.54 ± 0.06a12.94 ± 0.06b1.45 ± 0.05b4.62 ± 0.05b5.24 ± 0.02a4.22 ± 0.03a
S940.94 ± 0.94a14.67 ± 0.12a13.45 ± 0.19a1.62 ± 0.05a4.91 ± 0.05a5.41 ± 0.07a4.31 ± 0.01a
S15.04 ± 0.12i6.33 ± 0.16i6.18 ± 0.09i0.21 ± 0.012i2.10 ± 0.05h2.34 ± 0.02i1.34 ± 0.02i
S26.06 ± 0.13h7.28 ± 0.12h6.55 ± 0.13h0.31 ± 0.02h2.56 ± 0.07g3.40 ± 0.08h1.45 ± 0.05h
S38.57 ± 0.30g8.05 ± 0.13f7.25 ± 0.03g0.40 ± 0.01g2.80 ± 0.06f3.80 ± 0.06g1.58 ± 0.03g
S410.19 ± 0.10f8.19 ± 0.07f7.87 ± 0.04f0.45 ± 0.01f3.01 ± 0.03e4.03 ± 0.03f1.79 ± 0.01f
YanhongS512.23 ± 0.20e8.57 ± 1.29e8.24 ± 0.08e0.51 ± 0.00e3.17 ± 0.03d4.30 ± 0.02e1.96 ± 0.02e
S614.37 ± 0.33d9.02 ± 0.13d8.91 ± 0.06d0.56 ± 0.02d3.29 ± 0.02c4.56 ± 0.03d2.16 ± 0.04d
S716.33 ± 0.32c9.84 ± 0.08c9.38 ± 0.07c0.61 ± 0.01c3.50 ± 0.03b4.71 ± 0.02c2.32 ± 0.04c
S818.04 ± 0.28b10.73 ± 0.11b10.39 ± 0.12b0.68 ± 0.02b3.58 ± 0.03b4.97 ± 0.02b2.53 ± 0.01b
S920.06 ± 0.10a11.16 ± 0.10a10.99 ± 0.05a0.72 ± 0.01a3.80 ± 0.02a5.08 ± 0.03a2.65 ± 0.02a
Data are presented as mean ± SD. Data within the same column followed by different lowercase letters indicate significant differences (p < 0.05).
Disclaimer/Publisher’s Note: The statements, opinions and data contained in all publications are solely those of the individual author(s) and contributor(s) and not of MDPI and/or the editor(s). MDPI and/or the editor(s) disclaim responsibility for any injury to people or property resulting from any ideas, methods, instructions or products referred to in the content.

Share and Cite

MDPI and ACS Style

Zhao, Z.; Liu, M.; Zhu, B.; Zhang, F.; Ni, P.; Zhang, Z.; Sun, D.; Wang, Z.; Shi, G.; Ai, J. Dynamic Changes in Lignan Content and Antioxidant Capacity During the Development of Three Cultivars of Schisandra chinensis Seeds. Horticulturae 2025, 11, 1106. https://doi.org/10.3390/horticulturae11091106

AMA Style

Zhao Z, Liu M, Zhu B, Zhang F, Ni P, Zhang Z, Sun D, Wang Z, Shi G, Ai J. Dynamic Changes in Lignan Content and Antioxidant Capacity During the Development of Three Cultivars of Schisandra chinensis Seeds. Horticulturae. 2025; 11(9):1106. https://doi.org/10.3390/horticulturae11091106

Chicago/Turabian Style

Zhao, Zitong, Manqun Liu, Binhong Zhu, Fan Zhang, Peijin Ni, Zhendong Zhang, Dan Sun, Zhenxing Wang, Guangli Shi, and Jun Ai. 2025. "Dynamic Changes in Lignan Content and Antioxidant Capacity During the Development of Three Cultivars of Schisandra chinensis Seeds" Horticulturae 11, no. 9: 1106. https://doi.org/10.3390/horticulturae11091106

APA Style

Zhao, Z., Liu, M., Zhu, B., Zhang, F., Ni, P., Zhang, Z., Sun, D., Wang, Z., Shi, G., & Ai, J. (2025). Dynamic Changes in Lignan Content and Antioxidant Capacity During the Development of Three Cultivars of Schisandra chinensis Seeds. Horticulturae, 11(9), 1106. https://doi.org/10.3390/horticulturae11091106

Note that from the first issue of 2016, this journal uses article numbers instead of page numbers. See further details here.

Article Metrics

Back to TopTop