CND and DRIS Methods for Nutritional Diagnosis in ‘Hass’ Avocado Production
Abstract
1. Introduction
2. Materials and Methods
2.1. Data Collection
2.2. DRIS—Calculations and Statistical Analyses
2.3. CND—Calculations and Statistical Analyses
2.4. Statistical Analysis
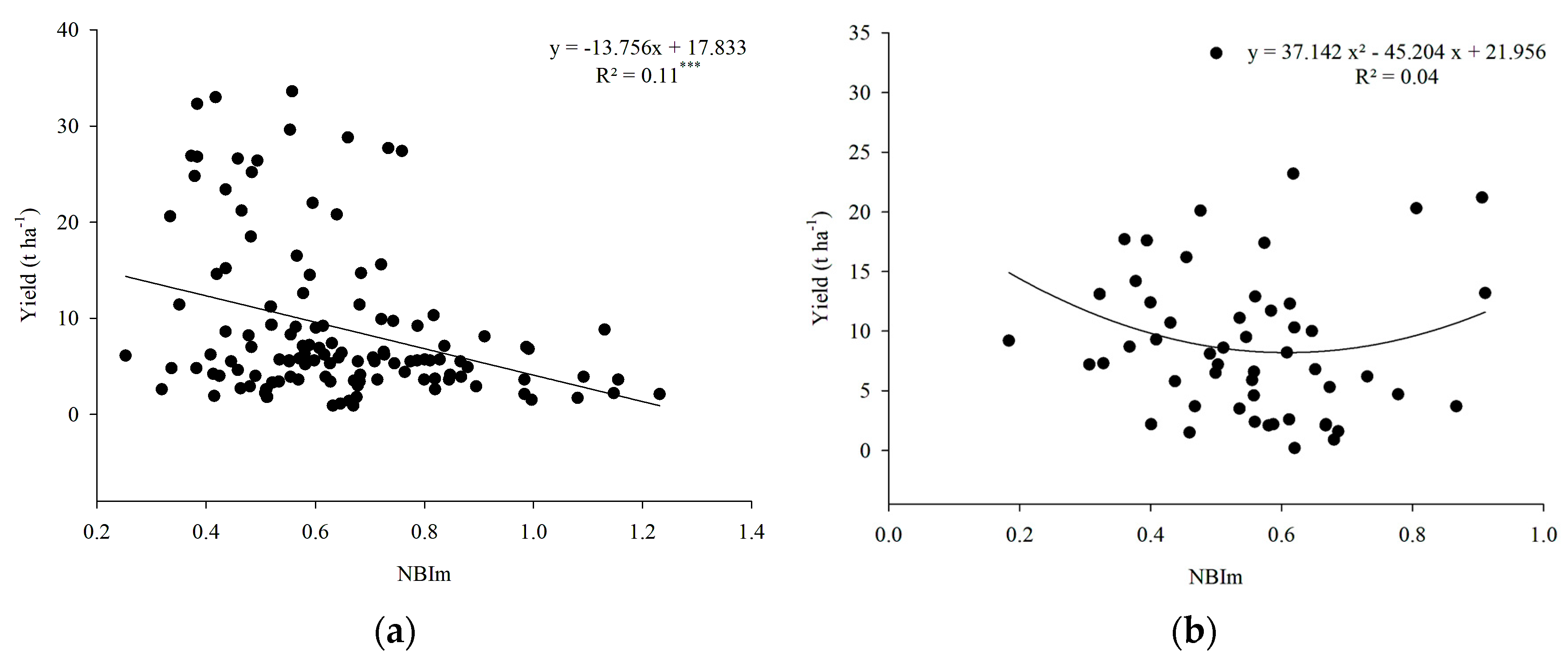
3. Results
3.1. T-Test of the Multivariate Nutrient Relationships
3.2. Correlation Analysis
3.3. DRIS Standards Establishment
3.4. CND Standards Establishment
3.5. Sufficiency Range (SR) and Critical Level (CL) Development
4. Discussion
5. Conclusions
Author Contributions
Funding
Data Availability Statement
Acknowledgments
Conflicts of Interest
References
- Zacharias, A.O.; Faleiro, F.G.; Almeida, G.Q. Producers profile and the adoption of technologies in passion fruit cultivation in the Triângulo Mineiro region. Rev. Bras. Frutic. 2020, 42, e-058. [Google Scholar] [CrossRef]
- Kist, B.B.; Carvalho, C.; Beling, R.R. Anuário Brasileiro de Horti & Fruti 2022; Gazeta Santa Cruz: Santa Cruz do Sul, Brazil, 2022; pp. 1–51. [Google Scholar]
- Top 10 Country Production and Gross Production Value of Avocados. FAOSTAT. Available online: https://www.fao.org/faostat/en/#rankings/countries_by_commodity (accessed on 16 December 2024).
- Ramos-Aguilar, A.L.; Ornelas-Paz, J.; Tapia-Vargas, L.M.; Ruiz-Cruz, S.; Gardea-Béjar, A.A.; Yahia, E.M.; Ornelas-Paz, J.J.; Pérez-Martínez, J.D.; Rios-Velasco, C.; Ibarra-Junquera, V. The importance of the bioactive compounds of avocado fruit (Persea americana Mill.) on human health. Biotecnia 2019, 21, 154–162. [Google Scholar] [CrossRef]
- Dreher, M.L.; Davenport, A.J. Hass avocado consumption and potential health effects. Crit. Rev. Food Sci. Nutr. 2013, 53, 738–750. [Google Scholar] [CrossRef] [PubMed]
- Caldas, A.P.S.; Chaves, L.O.; Silva, L.L.; Morais, D.C.; Alfenas, R.C.G. Mechanisms involved in the cardioprotective effect of avocado consumption: A systematic review. Int. J. Food Prop. 2017, 20, 1675–1685. [Google Scholar] [CrossRef][Green Version]
- Kist, B.B.; Beling, R.R. Anuário Brasileiro de Horti & Fruti 2023; Editora Gazeta Santa Cruz: Santa Cruz do Sul, Brazil, 2023; pp. 1–108. [Google Scholar]
- Brasil, H.F. Hortifruti Brasil 232; Centro de Estudos Avançados em Economia Aplicada (CEPEA): Piracicaba, SP, Brazil, 2023; pp. 1–32. Available online: https://www.hfbrasil.org.br/br/revista/acessar/completo/https-issuu-com-hfbrasil-docs-hf-232-flip.aspx (accessed on 22 June 2024).
- Instituto Brasileiro de Geografia e Estatística. Produção Agrícola Municipal: Culturas temporárias e permanentes. Available online: https://www.ibge.gov.br/estatisticas/economicas/agricultura-e-pecuaria/9117-producao-agricola-municipal-culturas-temporarias-e-permanentes.html (accessed on 16 December 2024).
- Schaffer, B.; Wolstenholme, B.N.; Whiley, A.W. (Eds.) Introduction. In The Avocado: Botany, Production and Uses, 2nd ed.; CAB International: Wallingford, UK, 2013; pp. 1–9. [Google Scholar]
- Lal, M.K.; Tiwari, R.K.; Altaf, M.A.; Kumar, A.; Kumar, R. Editorial: Abiotic and biotic stress in horticultural crops: Insight into recent advances in the underlying tolerance mechanism. Front. Plant Sci. 2023, 14, 1212982. [Google Scholar] [CrossRef]
- Williams, L.; Salt, D.E. The plant ionome coming into focus. Curr. Opin. Plant Biol. 2009, 12, 247–249. [Google Scholar] [CrossRef]
- Prado, R.M.; Rozane, D.E. Leaf analysis as a diagnostic tool for balanced fertilization in tropical fruits. In Fruit Crops: Diagnosis and Management of Nutrient Constraints; Srivastava, A.K., Hu, C., Eds.; Elsevier: Amsterdam, The Netherlands, 2020; pp. 131–143. [Google Scholar] [CrossRef]
- Teixeira, L.A.J.; Quaggio, J.A.; Mattos Junior, D.; Boaretto, R.M.; Cantarella, H. Frutíferas. In Boletim 100: Recomendações de Adubação e Calagem para o Estado de São Paulo; Cantarella, H., Quaggio, J.A., Mattos Junior, D., Boaretto, R.M., van Raij, B., Eds.; Instituto Agronômico de Campinas: Campinas, Brazil, 2022; pp. 259–308. [Google Scholar]
- Quaggio, J.A.; van Raij, B. Frutíferas. In Boletim 100: Recomendações de Adubação e Calagem para o Estado de São Paulo; van Raij, B., Cantarella, H., Quaggio, J.A., Furlani, Â.M.C., Eds.; Instituto Agronômico de Campinas: Campinas, Brazil, 1997; pp. 119–152. [Google Scholar]
- Embleton, T.W.; Jones, W.W. Avocado nutrition in California. In Proceedings of the Florida State Horticultural Society, Miami, FL, USA, 3–6 November 1964; Volume 77, pp. 400–407. [Google Scholar]
- Field, C.; Barros, V.; Intergovernmental Panel on Climate Change (Eds.) Climate Change 2014: Impacts, Adaptation, and Vulnerability; Working Group II Contribution to the Fifth Assessment Report of the Intergovernmental Panel on Climate Change; Cambridge University Press: Cambridge, UK, 2014; pp. 1–9. [Google Scholar]
- Wing, I.S.; De Cian, E.; Mistry, M.N. Global vulnerability of crop yields to climate change. J. Environ. Econ. Manag. 2021, 109, 102462. [Google Scholar] [CrossRef]
- Elbasiouny, H.; El-Ramady, H.; Elbehiry, F.; Rajput, V.D.; Minkina, T.; Mandzhieva, S. Plant nutrition under climate change and soil carbon sequestration. Sustainability 2022, 14, 914. [Google Scholar] [CrossRef]
- Shahzad, Z.; Rouached, H. Protecting plant nutrition from the effects of climate change. Curr. Biol. 2022, 32, R725–R727. [Google Scholar] [CrossRef]
- Wang, J.; Li, L.; Lam, S.K.; Shi, X.; Pan, G. Changes in plant nutrient status following combined elevated [CO2] and canopy warming in winter wheat. Front. Plant Sci. 2023, 14, 1132414. [Google Scholar] [CrossRef]
- Beaufils, E.R. Diagnosis and recommendation integrated system (DRIS). Soil Sci. Bull. 1973, 1, 132. [Google Scholar]
- Parent, L.E.; Dafir, M. A theoretical concept of compositional nutrient diagnosis. J. Am. Soc. Hortic. Sci. 1992, 117, 239–242. [Google Scholar] [CrossRef]
- Krug, A.V.; Marques, A.L.L.; Marques, A.C.R.; Stefanello, L.O.; Oliveira, F.N.; Berghetti, A.L.P.; Moura-Bueno, J.M. Proposition of critical levels of nutrients in citrus leaves, grown in a subtropical climate, for fresh market fruit production. Sci. Hortic. 2023, 317, 112047. [Google Scholar] [CrossRef]
- Morais, T.C.B.; Prado, R.M.; Traspadini, E.I.F.; Wadt, P.G.S.; Paula, R.C.; Rocha, A.M.S. Efficiency of the CL, DRIS and CND methods in assessing the nutritional status of Eucalyptus spp. rooted cuttings. Forests 2019, 10, 786. [Google Scholar] [CrossRef]
- Oliveira, C.T.; Rozane, D.E.; Deus, J.A.L.; Lima, J.D.; Lopes, M.D.C.; Souza, W.J.O. Establishment of DRIS standards and sufficiency range for ‘Nanica’ banana trees in Vale do Ribeira. Acta Sci. Agron. 2024, 46, e67171. [Google Scholar] [CrossRef]
- Serviço Geológico do Brasil. Programa Nacional de Solos do Brasil (PronaSolos). Available online: https://geoportal.sgb.gov.br/pronasolos/ (accessed on 16 December 2024).
- Alvares, C.A.; Stape, J.L.; Sentelhas, P.C.; Gonçalves, J.L.M.; Sparovek, G. Köppen’s climate classification map for Brazil. Meteorol. Z 2013, 22, 711–728. [Google Scholar] [CrossRef]
- Koen, T.J.; Plessis, S.F. Optimal leaf analysis norms for avocado (cv. Furter). In Proceedings of the Second World Avocado Congress, Orange, Australia, 21–26 April 1991; pp. 289–299. [Google Scholar]
- da Silva, F.C. Manual de Análises Químicas de Solos, Plantas e Fertilizantes, 2nd ed.; Embrapa Informação Tecnológica: Brasília, Brazil, 2009; p. 627. [Google Scholar]
- Hair, J.J.F.; Black, W.C.; Babin, B.J.; Tatham, R.L. Multivariate Data Analysis, 6th ed.; Grupo A-Bookman: Porto Alegre, Brazil, 2009; p. 688. [Google Scholar]
- Santos, E.M.H.; Rozane, D.E. DRIS standard and normal ranges of foliar nutrients for the culture of ‘Thompson’ atemoya. Cienc. Rural 2017, 47, e20160613. [Google Scholar] [CrossRef]
- Beverly, R.B. Modified DRIS method for simplified nutrient diagnosis of ‘Valencia’ orange. J. Plant Nutr. 1987, 10, 1401–1408. [Google Scholar] [CrossRef]
- Jones, C.A. Proposed modifications of the diagnosis and recommendation integrated system (DRIS) for interpreting plant analyses. Commun. Soil Sci. Plant Anal. 1981, 12, 785–794. [Google Scholar] [CrossRef]
- Souza, H.A.; Rozane, D.E.; Amorim, D.A.; Dias, M.J.T.; Modesto, V.C.; Natale, W. Assessment of nutritional status of guava seedlings using preliminary DRIS norms and sufficiency ranges. J. Plant Nutr. 2015, 38, 1611–1618. [Google Scholar] [CrossRef]
- Oliveira, C.T.; Rozane, D.E.; Amorim, D.A.; Souza, H.A.; Fernandes, B.S.; Natale, W. Diagnosis of the nutritional status of ‘Paluma’ guava trees using leaf and flower analysis. Rev. Bras. Frutic. 2020, 42, e-132. [Google Scholar] [CrossRef]
- Parent, L.E.; Natale, W.; Ziadi, N. Compositional nutrient diagnosis of corn using the Mahalanobis distance as nutrient imbalance index. Can. J. Soil Sci. 2009, 89, 383–390. [Google Scholar] [CrossRef]
- Khiari, L.; Parent, L.E.; Tremblay, N. Selecting the high-yield subpopulation for diagnosing nutrient imbalance in crops. Agron. J. 2001, 93, 802–808. [Google Scholar] [CrossRef]
- R Core Team. R: A Language and Environment for Statistical Computing, Version 4.3.3.; R Foundation for Statistical Computing: Vienna, Austria, 2024; Available online: https://www.R-project.org/ (accessed on 22 June 2024).
- Crowley, D.; Campisi, S.; Escalera, J.; Lovatt, C.J.; Rolshausen, P.; Arpaia, M.L. Decision support tools for avocado fertilization & salinity management: Preview to the final project report. In From the Grove: Fall 2015 Bulletin; California Avocado Commission: Irvine, CA, USA, 2015; pp. 25–28. [Google Scholar]
- Gaillard, J.-P. Nutrition—Fertilisation de l’avocatier. In L’avocatier: Sa Culture, Ses Produits; G.-P. Maisonneuve & Larose: Paris, France, 1987; pp. 216–237. [Google Scholar]
- Srivastava, A.K.; Malhotra, S.K. Nutrient use efficiency in perennial fruit crops—A review. J. Plant Nutr. 2017, 40, 1928–1953. [Google Scholar] [CrossRef]
- Guan, D.-X.; Menezes-Blackburn, D.; Li, G. The importance of mineral elements for sustainable crop production. Agronomy 2024, 14, 209. [Google Scholar] [CrossRef]
- Brdar-Jokanović, M. Boron toxicity and deficiency in agricultural plants. Int. J. Mol. Sci. 2020, 21, 1424. [Google Scholar] [CrossRef]
- Kumar, S.; Kumar, S.; Mohapatra, T. Interaction between macro- and micro-nutrients in plants. Front. Plant Sci. 2021, 12, 665583. [Google Scholar] [CrossRef]
- Ayres, G.; Brunetto, G.; Simões, F.; Rozane, D.E.; Moura-Bueno, J.M.; Berghetti, A.L.P.; Dotto, L.; Oliveira, F.N.; Marques, A.C.R.; Stefanello, L.O.; et al. Proposition of critical levels and nutrient sufficiency ranges in leaves of ‘White Moscato’ (Vitis vinifera ‘Muscat’) and ‘Bordeaux’ (Vitis labrusca ‘Ives’). Vitis 2023, 62, 125–135. [Google Scholar] [CrossRef]
- Zhao, N.; Yu, G.; He, N.; Wang, Q.; Guo, D.; Zhang, X.; Wang, R.; Xu, Z.; Jiao, C.; Li, N.; et al. Coordinated pattern of multi-element variability in leaves and roots across Chinese forest biomes. Glob. Ecol. Biogeogr. 2016, 25, 359–367. [Google Scholar] [CrossRef]
- Han, W.X.; Fang, J.Y.; Reich, P.B.; Woodward, F.I.; Wang, Z.H. Biogeography and variability of eleven mineral elements in plant leaves across gradients of climate, soil and plant functional type in China. Ecol. Lett. 2011, 14, 788–796. [Google Scholar] [CrossRef]
- Lima-Neto, A.J.; Natale, W.; Rozane, D.E.; Lima de Deus, J.A.; Rodrigues Filho, V.A. Establishment of DRIS and CND standards for fertigated ‘Prata’ banana in the Northeast, Brazil. J. Soil Sci. Plant Nutr. 2022, 22, 765–777. [Google Scholar] [CrossRef]
- Amorim, D.A.; Favero, A.C.; Conceição, M.P.; Rodrigues, M.G.V.; Rodrigues, J.B.B.; Natale, W.; Rozane, D.E. DRIS nutritional norms and sufficiency range for the Pérola pineapple cultivation. J. Plant Nutr. 2024, 47, 3998–4007. [Google Scholar] [CrossRef]
- Sedgley, M. The effect of temperature on floral behaviour, pollen tube growth and fruit set in the avocado. J. Hort. Sci. 1977, 52, 135–141. [Google Scholar] [CrossRef]
- Guest, D.; Grant, B. The complex action of phosphonates as antifungal agents. Biol. Rev. 1991, 66, 159–187. [Google Scholar] [CrossRef]
- Bonomelli, C.; Celis, V.; Lombardi, G.; Mártiz, J. Salt stress effects on avocado (Persea americana Mill.) plants with and without seaweed extract (Ascophyllum nodosum) application. Agronomy 2018, 8, 64. [Google Scholar] [CrossRef]
- Arioli, T.; Villalta, O.N.; Hepworth, G.; Farnsworth, B.; Mattner, S.W. Effect of seaweed extract on avocado root growth, yield and post-harvest quality in far north Queensland, Australia. J. Appl. Phycol. 2024, 36, 745–755. [Google Scholar] [CrossRef]
- Meena, R.; Senthilkumar, S.; Manivannan, S. Senile orchard management system in tropical fruit production. Int. J. Agric. Environ. Biotechnol. 2022, 15, 861–866. [Google Scholar] [CrossRef]
- Cano-Gallego, L.E.; Bedoya-Ramírez, S.I.; Bernal-Estrada, J.A.; Barrera-Sánchez, C.F.; Córdoba-Gaona, O.d.J. Yield and fruit quality of avocado grown at different planting densities in Colombia. Pesqui. Agropecu. Bras. 2023, 58, e03146. [Google Scholar] [CrossRef]
- Nachtigall, G.R.; Dechen, A.R. DRIS norms for evaluating the nutritional state of apple tree. Sci. Agric. 2007, 64, 282–287. [Google Scholar] [CrossRef]
- Maldonado-Torres, R.; Álvarez-Sánchez, M.E.; Almaguer-Vargas, G.; Barrientos-Priego, A.F.; García-Mateos, R. Estándares nutrimentales para aguacatero ‘Hass’. Rev. Chapingo Ser. Hortic. 2007, 13, 103–108. [Google Scholar] [CrossRef]
- Rebolledo-Roa, A.; Burbano-Diaz, R.A. Nutrient balance in Hass avocado trees as a tool to optimize crop fertilization management. Agronomy 2023, 13, 1956. [Google Scholar] [CrossRef]
- Ferreira, E.; Medeiros, F.C.; Rozane, D.E.; Lindsey, L.; Amadori, C.; Rocha, C.S. Assessment of nutritional status of soybean by the DRIS method in western Bahia State. Rev. Bras. Cienc. Solo 2024, 48, e0230099. [Google Scholar] [CrossRef]
- Davee, D.E.; Righetti, T.L.; Fallahi, E.; Robbins, S. An evaluation of the DRIS approach for identifying mineral limitations on yield in ‘Napoleon’ sweet cherry. J. Am. Soc. Hortic. Sci. 1986, 111, 988–993. [Google Scholar] [CrossRef]
- Fallahi, E.; Righetti, T.L. Use of Diagnosis and Recommendation Integrated System (DRIS) in apple. HortScience 1984, 19, 592. [Google Scholar]
- Taniguchi, C.A.K.; Rozane, D.E.; Serrano, L.A.L.; Artur, A.G.; Natale, W. DRIS norms for nutritional diagnosis of dwarf cashew. J. Plant Nutr. 2025, 48, 1–10. [Google Scholar] [CrossRef]
- Tullio, L.; Rozane, D.E. DRIS norms for ‘Keitt’ mango in the Brazilian semiarid region: Diagnosis and validation. Rev. Bras. Frutic. 2022, 44, e-117. [Google Scholar] [CrossRef]
- Walworth, J.L.; Sumner, M.E. The Diagnosis and Recommendation Integrated System (DRIS). In Advances in Soil Science; Stewart, B.A., Ed.; Springer: New York, NY, USA, 1987; Volume 6, pp. 149–188. [Google Scholar] [CrossRef]
- Parent, S.-É.; Parent, L.E.; Rozane, D.E.; Natale, W. Plant ionome diagnosis using sound balances: Case study with mango (Mangifera indica). Front. Plant Sci. 2013, 4, 449. [Google Scholar] [CrossRef]
- Zhou, Q.; Melgar, J.C. Tree age influences nutrient partitioning among annually removed aboveground organs of peach. HortScience 2020, 55, 560–564. [Google Scholar] [CrossRef]
- Rozane, D.E.; Toselli, M.; Brunetto, G.; Baldi, E.; Natale, W.; Paula, B.V.d.; Lima, J.D.; Medeiros, F.C.; Ayres, G.; Gobi, S.F. Proposal of nutritional standards for the assessment of the nutritional status of grapevines in subtropical and temperate regions. Plants 2025, 14, 698. [Google Scholar] [CrossRef]
- Spann, T.; Lovatt, C.J. Optimum leaf nutrient concentration ranges for the ‘Hass’ avocado in California. In From the Grove: Summer 2020 Bulletin; California Avocado Commission: Irvine, CA, USA, 2020; pp. 40–41. [Google Scholar]
- Trapp, T.; Moura-Bueno, J.M.; de Siqueira, G.N.; Hahn, L.; Rozane, D.E.; Lima Neto, A.J.; Natale, W.; Loss, A.; Brunetto, G. Nutrients’ critical level propositions and sufficiency ranges aimed at high apple yield under subtropical climate. Eur. J. Agron. 2025, 164, 127523. [Google Scholar] [CrossRef]
- Fang, Z.; Han, X.; Xie, M.; Jiao, F. Spatial distribution patterns and driving factors of plant biomass and leaf N, P stoichiometry on the Loess Plateau of China. Plants 2021, 10, 2420. [Google Scholar] [CrossRef] [PubMed]
- Hofhansl, F.; Chacón-Madrigal, E.; Brännström, Å.; Dieckmann, U.; Franklin, O. Mechanisms driving plant functional trait variation in a tropical forest. Ecol. Evol. 2021, 11, 3856–3870. [Google Scholar] [CrossRef] [PubMed]
- Li, J.; Prentice, I.C. Global patterns of plant functional traits and their relationships to climate. Commun. Biol. 2024, 7, 1136. [Google Scholar] [CrossRef] [PubMed]
- Veldhuis, M.P.; Hulshof, A.; Fokkema, W.; Berg, M.P.; Olff, H. Understanding nutrient dynamics in an African savanna: Local biotic interactions outweigh a major regional rainfall gradient. J. Ecol. 2016, 104, 913–923. [Google Scholar] [CrossRef]
- Oldroyd, G.E.D.; Leyser, O. A plant’s diet: Surviving in a variable nutrient environment. Science 2020, 368, eaba0196. [Google Scholar] [CrossRef] [PubMed]
- Muller, C.T.; Cera, A.; Palacio, S.; Moore, M.J.; Tejero, P.; Mota, J.F.; Drenovsky, R.E. Nutritional convergence in plants growing on gypsum soils in two distinct climatic regions. Ann. Bot. 2024, 134, 1003–1012. [Google Scholar] [CrossRef]
- Rozane, D.E.; Natale, W.; Parent, L.E.; dos Santos, E.M.H. The CND-Goiaba 1.0 software for nutritional diagnosis of guava (Psidium guajava L.) ‘Paluma’, in Brazil. Acta Hortic. 2012, 959, 161–166. [Google Scholar] [CrossRef]




| Variables | 4–9-Year-Old (n = 120) | 10–26-Year-Old (n = 45) | t-Test |
|---|---|---|---|
| Mean ± SD | Mean ± SD | p-Value | |
| VN | 2.94 ± 0.18 | 2.83 ± 0.20 | 0.0005 *** |
| VP | 0.22 ± 0.12 | 0.08 ± 0.20 | <0.0001 *** |
| VK | 1.91 ± 0.27 | 1.92 ± 0.26 | 0.8013 ns |
| VCa | 2.87 ± 0.25 | 2.64 ± 0.29 | <0.0001 *** |
| VMg | 1.69 ± 0.20 | 1.36 ± 0.21 | <0.0001 *** |
| VS | 0.67 ± 0.20 | 0.60 ± 0.16 | 0.0405 * |
| VB | −3.48 ± 0.31 | −3.31 ± 0.44 | 0.0087 ** |
| VCu | −3.08 ± 0.56 | −2.84 ± 0.59 | 0.0148 * |
| VFe | −2.22 ± 0.23 | −2.25 ± 0.27 | 0.4923 ns |
| VMn | −1.04 ± 0.49 | −1.21 ± 0.62 | 0.0760 ns |
| VZn | −3.86 ± 0.20 | −3.44 ± 0.44 | <0.0001 *** |
| VR | 3.38 ± 0.31 | 3.62 ± 0.32 | <0.0001 *** |
| 4–9-Year-Old—High-Yield Population (n = 37) | 10–26-Year-Old—High-Yield Population (n = 23) | ||||||||||
|---|---|---|---|---|---|---|---|---|---|---|---|
| Variables | Min. | Max. | Mean | SD | CV | Variables | Min. | Max. | Mean | SD | CV |
| Yield (t ha−1) | 9.0 | 33.6 | 19.2 | 8.0 | 41.9 | Yield (t ha−1) | 9.2 | 33.3 | 15.1 | 5.8 | 38.2 |
| N (g kg−1) | 15.6 | 33.1 | 21.5 | 4.0 | 18.6 | N (g kg−1) | 15.8 | 47.6 | 21.2 | 6.7 | 31.6 |
| P (g kg−1) | 1.1 | 1.9 | 1.5 | 0.2 | 12.5 | P (g kg−1) | 1.0 | 3.5 | 1.4 | 0.5 | 38.6 |
| K (g kg−1) | 4.7 | 13.3 | 9.1 | 2.3 | 25.8 | K (g kg−1) | 5.7 | 23.5 | 9.8 | 3.9 | 39.7 |
| Ca (g kg−1) | 13.6 | 30.0 | 20.3 | 4.1 | 20.2 | Ca (g kg−1) | 6.6 | 28.3 | 15.4 | 4.1 | 26.9 |
| Mg (g kg−1) | 4.4 | 9.5 | 7.0 | 1.3 | 18.1 | Mg (g kg−1) | 2.7 | 8.1 | 4.5 | 1.1 | 23.8 |
| S (g kg−1) | 1.3 | 3.2 | 2.5 | 0.5 | 20.2 | S (g kg−1) | 0.1 | 3.3 | 2.2 | 0.7 | 34.1 |
| B (mg kg−1) | 19.1 | 72.7 | 37.3 | 15.3 | 41.1 | B (mg kg−1) | 18.8 | 83.9 | 54.8 | 21.2 | 38.7 |
| Cu (mg kg−1) | 8.2 | 123.0 | 51.4 | 31.5 | 61.2 | Cu (mg kg−1) | 12.0 | 232.5 | 94.9 | 71.7 | 75.6 |
| Fe (mg kg−1) | 83.0 | 201.3 | 117.6 | 27.3 | 23.2 | Fe (mg kg−1) | 53.0 | 258.0 | 138.6 | 60.5 | 43.6 |
| Mn (mg kg−1) | 210.5 | 1012.0 | 427.2 | 207.7 | 48.6 | Mn (mg kg−1) | 80.0 | 870.0 | 294.3 | 164.7 | 56.0 |
| Zn (mg kg−1) | 16.9 | 57.0 | 26.1 | 7.4 | 28.4 | Zn (mg kg−1) | 20.0 | 102.7 | 49.8 | 24.0 | 48.1 |
| 4–9-year-old—Low-Yield Population (n = 86) | 10–26-year-old—Low-Yield Population (n = 30) | ||||||||||
| Variables | Min. | Max. | Mean | SD | CV | Variables | Min. | Max. | Mean | SD | CV |
| Yield (t ha−1) | 0.9 | 8.8 | 4.6 | 1.9 | 41.9 | Yield (t ha−1) | 0.2 | 8.7 | 4.6 | 2.6 | 55.5 |
| N (g kg−1) | 18.2 | 34.4 | 23.4 | 3.4 | 14.3 | N (g kg−1) | 16.2 | 30.2 | 21.0 | 3.5 | 16.7 |
| P (g kg−1) | 1.1 | 2.0 | 1.5 | 0.2 | 12.4 | P (g kg−1) | 0.9 | 2.1 | 1.3 | 0.2 | 17.6 |
| K (g kg−1) | 4.8 | 14.6 | 8.0 | 2.3 | 28.6 | K (g kg−1) | 5.1 | 18.3 | 8.5 | 2.8 | 33.5 |
| Ca (g kg−1) | 9.8 | 41.2 | 22.3 | 7.4 | 33.3 | Ca (g kg−1) | 6.2 | 30.6 | 18.5 | 6.0 | 32.7 |
| Mg (g kg−1) | 3.1 | 9.2 | 6.3 | 1.3 | 20.4 | Mg (g kg−1) | 2.4 | 7.6 | 4.9 | 1.2 | 25.2 |
| S (g kg−1) | 1.2 | 3.2 | 2.3 | 0.5 | 21.1 | S (g kg−1) | 0.6 | 3.2 | 2.0 | 0.6 | 28.0 |
| B (mg kg−1) | 21.8 | 79.5 | 39.6 | 13.6 | 34.4 | B (mg kg−1) | 20.7 | 104.2 | 44.8 | 20.7 | 46.2 |
| Cu (mg kg−1) | 2.6 | 251.0 | 69.3 | 46.9 | 67.6 | Cu (mg kg−1) | 10.3 | 150.0 | 62.9 | 33.7 | 53.6 |
| Fe (mg kg−1) | 69.0 | 263.0 | 142.2 | 38.6 | 27.1 | Fe (mg kg−1) | 58.0 | 233.6 | 130.1 | 39.9 | 30.7 |
| Mn (mg kg−1) | 142.0 | 1639.0 | 512.7 | 320.3 | 62.5 | Mn (mg kg−1) | 94.0 | 2328.0 | 499.3 | 427.4 | 85.6 |
| Zn (mg kg−1) | 14.0 | 39.0 | 25.6 | 5.5 | 21.4 | Zn (mg kg−1) | 18.0 | 109.3 | 40.8 | 25.2 | 61.7 |
| 4–9-Year-Old—High-Yield Population (n = 37) | ||||||||||
|---|---|---|---|---|---|---|---|---|---|---|
| R | N/P | N/K | N/Ca | N/Mg | N/S | N/B | N/Cu | N/Fe | N/Mn | N/Zn |
| x̅ | 1.16 | 0.38 | 0.03 | 0.49 | 0.94 | −0.21 | −0.31 | −0.73 | −1.26 | −0.08 |
| SD | 0.08 | 0.12 | 0.09 | 0.12 | 0.11 | 0.20 | 0.31 | 0.10 | 0.18 | 0.12 |
| R | P/N | P/K | P/Ca | P/Mg | P/S | P/B | P/Cu | P/Fe | P/Mn | P/Zn |
| x̅ | −1.16 | −0.78 | −1.14 | −0.67 | −0.22 | −1.37 | −1.47 | −1.90 | −2.43 | −1.24 |
| SD | 0.08 | 0.09 | 0.09 | 0.09 | 0.08 | 0.16 | 0.29 | 0.11 | 0.19 | 0.10 |
| R | K/N | K/P | K/Ca | K/Mg | K/S | K/B | K/Cu | K/Fe | K/Mn | K/Zn |
| x̅ | −0.38 | 0.78 | −0.36 | 0.11 | 0.56 | −0.60 | −0.69 | −1.12 | −1.65 | −0.46 |
| SD | 0.12 | 0.09 | 0.13 | 0.14 | 0.11 | 0.18 | 0.34 | 0.16 | 0.22 | 0.14 |
| R | Ca/N | Ca/P | Ca/K | Ca/Mg | Ca/S | Ca/B | Ca/Cu | Ca/Fe | Ca/Mn | Ca/Zn |
| x̅ | −0.03 | 1.14 | 0.36 | 0.46 | 0.92 | −0.24 | −0.33 | −0.76 | −1.29 | −0.10 |
| SD | 0.09 | 0.09 | 0.13 | 0.10 | 0.09 | 0.19 | 0.31 | 0.12 | 0.16 | 0.13 |
| R | Mg/N | Mg/P | Mg/K | Mg/Ca | Mg/S | Mg/B | Mg/Cu | Mg/Fe | Mg/Mn | Mg/Zn |
| x̅ | −0.49 | 0.67 | −0.11 | −0.46 | 0.45 | −0.70 | −0.79 | −1.22 | −1.75 | −0.57 |
| SD | 0.12 | 0.09 | 0.14 | 0.10 | 0.11 | 0.18 | 0.29 | 0.14 | 0.21 | 0.14 |
| R | S/N | S/P | S/K | S/Ca | S/Mg | S/B | S/Cu | S/Fe | S/Mn | S/Zn |
| x̅ | −0.94 | 0.22 | −0.56 | −0.92 | −0.45 | −1.15 | −1.25 | −1.68 | −2.20 | −1.02 |
| SD | 0.11 | 0.08 | 0.11 | 0.09 | 0.11 | 0.16 | 0.32 | 0.13 | 0.18 | 0.12 |
| R | B/N | B/P | B/K | B/Ca | B/Mg | B/S | B/Cu | B/Fe | B/Mn | B/Zn |
| x̅ | 0.21 | 1.37 | 0.60 | 0.24 | 0.70 | 1.15 | −0.09 | −0.52 | −1.05 | 0.14 |
| SD | 0.20 | 0.16 | 0.18 | 0.19 | 0.18 | 0.16 | 0.30 | 0.19 | 0.27 | 0.16 |
| R | Cu/N | Cu/P | Cu/K | Cu/Ca | Cu/Mg | Cu/S | Cu/B | Cu/Fe | Cu/Mn | Cu/Zn |
| x̅ | 0.31 | 1.47 | 0.69 | 0.33 | 0.79 | 1.25 | 0.09 | −0.43 | −0.96 | 0.23 |
| SD | 0.31 | 0.29 | 0.34 | 0.31 | 0.29 | 0.32 | 0.30 | 0.28 | 0.38 | 0.32 |
| R | Fe/N | Fe/P | Fe/K | Fe/Ca | Fe/Mg | Fe/S | Fe/B | Fe/Cu | Fe/Mn | Fe/Zn |
| x̅ | 0.73 | 1.90 | 1.12 | 0.76 | 1.22 | 1.68 | 0.52 | 0.43 | −0.53 | 0.66 |
| SD | 0.10 | 0.11 | 0.16 | 0.12 | 0.14 | 0.13 | 0.19 | 0.28 | 0.18 | 0.13 |
| R | Mn/N | Mn/P | Mn/K | Mn/Ca | Mn/Mg | Mn/S | Mn/B | Mn/Cu | Mn/Fe | Mn/Zn |
| x̅ | 1.26 | 2.43 | 1.65 | 1.29 | 1.75 | 2.20 | 1.05 | 0.96 | 0.53 | 1.19 |
| SD | 0.18 | 0.19 | 0.22 | 0.16 | 0.21 | 0.18 | 0.27 | 0.38 | 0.18 | 0.20 |
| R | Zn/N | Zn/P | Zn/K | Zn/Ca | Zn/Mg | Zn/S | Zn/B | Zn/Cu | Zn/Fe | Zn/Mn |
| x̅ | 0.08 | 1.24 | 0.46 | 0.10 | 0.57 | 1.02 | −0.14 | −0.23 | −0.66 | −1.19 |
| SD | 0.12 | 0.10 | 0.14 | 0.13 | 0.14 | 0.12 | 0.16 | 0.32 | 0.13 | 0.20 |
| 10–26-Year-old—High-Yield Population (n = 23) | ||||||||||
|---|---|---|---|---|---|---|---|---|---|---|
| R | N/P | N/K | N/Ca | N/Mg | N/S | N/B | N/Cu | N/Fe | N/Mn | N/Zn |
| x̅ | 1.20 | 0.34 | 0.14 | 0.67 | 1.03 | −0.39 | −0.53 | −0.79 | −1.10 | −0.34 |
| SD | 0.14 | 0.17 | 0.15 | 0.13 | 0.32 | 0.24 | 0.44 | 0.21 | 0.24 | 0.22 |
| R | P/N | P/K | P/Ca | P/Mg | P/S | P/B | P/Cu | P/Fe | P/Mn | P/Zn |
| x̅ | −1.20 | −0.85 | −1.06 | −0.53 | −0.17 | −1.58 | −1.72 | −1.99 | −2.30 | −1.54 |
| SD | 0.14 | 0.10 | 0.17 | 0.12 | 0.28 | 0.26 | 0.44 | 0.24 | 0.30 | 0.19 |
| R | K/N | K/P | K/Ca | K/Mg | K/S | K/B | K/Cu | K/Fe | K/Mn | K/Zn |
| x̅ | −0.34 | 0.85 | −0.21 | 0.32 | 0.68 | −0.73 | −0.87 | −1.13 | −1.45 | −0.69 |
| SD | 0.17 | 0.10 | 0.17 | 0.14 | 0.31 | 0.27 | 0.42 | 0.23 | 0.29 | 0.21 |
| R | Ca/N | Ca/P | Ca/K | Ca/Mg | Ca/S | Ca/B | Ca/Cu | Ca/Fe | Ca/Mn | Ca/Zn |
| x̅ | −0.14 | 1.06 | 0.21 | 0.53 | 0.89 | −0.53 | −0.67 | −0.93 | −1.24 | −0.48 |
| SD | 0.15 | 0.17 | 0.17 | 0.07 | 0.31 | 0.29 | 0.39 | 0.20 | 0.17 | 0.23 |
| R | Mg/N | Mg/P | Mg/K | Mg/Ca | Mg/S | Mg/B | Mg/Cu | Mg/Fe | Mg/Mn | Mg/Zn |
| x̅ | −0.67 | 0.53 | −0.32 | −0.53 | 0.36 | −1.05 | −1.19 | −1.46 | −1.77 | −1.01 |
| SD | 0.13 | 0.12 | 0.14 | 0.07 | 0.32 | 0.27 | 0.42 | 0.19 | 0.21 | 0.22 |
| R | S/N | S/P | S/K | S/Ca | S/Mg | S/B | S/Cu | S/Fe | S/Mn | S/Zn |
| x̅ | −1.03 | 0.17 | −0.68 | −0.89 | −0.36 | −1.41 | −1.55 | −1.82 | −2.13 | −1.37 |
| SD | 0.32 | 0.28 | 0.31 | 0.31 | 0.32 | 0.34 | 0.35 | 0.37 | 0.38 | 0.29 |
| R | B/N | B/P | B/K | B/Ca | B/Mg | B/S | B/Cu | B/Fe | B/Mn | B/Zn |
| x̅ | 0.39 | 1.58 | 0.73 | 0.53 | 1.05 | 1.41 | −0.14 | −0.40 | −0.72 | 0.04 |
| SD | 0.24 | 0.26 | 0.27 | 0.29 | 0.27 | 0.34 | 0.36 | 0.25 | 0.36 | 0.23 |
| R | Cu/N | Cu/P | Cu/K | Cu/Ca | Cu/Mg | Cu/S | Cu/B | Cu/Fe | Cu/Mn | Cu/Zn |
| x̅ | 0.53 | 1.72 | 0.87 | 0.67 | 1.19 | 1.55 | 0.14 | −0.26 | −0.58 | 0.19 |
| SD | 0.44 | 0.44 | 0.42 | 0.39 | 0.42 | 0.35 | 0.36 | 0.37 | 0.41 | 0.36 |
| R | Fe/N | Fe/P | Fe/K | Fe/Ca | Fe/Mg | Fe/S | Fe/B | Fe/Cu | Fe/Mn | Fe/Zn |
| x̅ | 0.79 | 1.99 | 1.13 | 0.93 | 1.46 | 1.82 | 0.40 | 0.26 | −0.31 | 0.45 |
| SD | 0.21 | 0.24 | 0.23 | 0.20 | 0.19 | 0.37 | 0.25 | 0.37 | 0.28 | 0.26 |
| R | Mn/N | Mn/P | Mn/K | Mn/Ca | Mn/Mg | Mn/S | Mn/B | Mn/Cu | Mn/Fe | Mn/Zn |
| x̅ | 1.10 | 2.30 | 1.45 | 1.24 | 1.77 | 2.13 | 0.72 | 0.58 | 0.31 | 0.76 |
| SD | 0.24 | 0.30 | 0.29 | 0.17 | 0.21 | 0.38 | 0.36 | 0.41 | 0.28 | 0.37 |
| R | Zn/N | Zn/P | Zn/K | Zn/Ca | Zn/Mg | Zn/S | Zn/B | Zn/Cu | Zn/Fe | Zn/Mn |
| x̅ | 0.34 | 1.54 | 0.69 | 0.48 | 1.01 | 1.37 | −0.04 | −0.19 | −0.45 | −0.76 |
| SD | 0.22 | 0.19 | 0.21 | 0.23 | 0.22 | 0.29 | 0.23 | 0.36 | 0.26 | 0.37 |
| 4–9-Year-Old—High-Yield Population (n = 18) | 10–26-Year-Old—High-Yield Population (n = 15) | ||||||||||
|---|---|---|---|---|---|---|---|---|---|---|---|
| Variables | Min. | Max. | Mean | SD | CV | Variables | Min. | Max. | Mean | SD | CV |
| Yield (t ha−1) | 20.6 | 33.6 | 26.5 | 4.0 | 15.1 | Yield (t ha−1) | 10.3 | 33.3 | 16.1 | 6.1 | 37.8 |
| N (g kg−1) | 15.6 | 32.2 | 20.6 | 4.2 | 20.5 | N (g kg−1) | 15.8 | 26.6 | 19.4 | 3.2 | 16.7 |
| P (g kg−1) | 1.1 | 1.8 | 1.5 | 0.2 | 12.5 | P (g kg−1) | 1.0 | 2.0 | 1.3 | 0.3 | 20.3 |
| K (g kg−1) | 4.7 | 12.7 | 8.8 | 1.9 | 21.8 | K (g kg−1) | 5.7 | 15.0 | 9.2 | 2.3 | 24.6 |
| Ca (g kg−1) | 14.0 | 28.3 | 20.0 | 3.4 | 16.8 | Ca (g kg−1) | 12.4 | 28.3 | 16.2 | 4.4 | 27.0 |
| Mg (g kg−1) | 5.9 | 9.5 | 7.5 | 0.9 | 11.5 | Mg (g kg−1) | 3.1 | 8.1 | 4.5 | 1.2 | 25.8 |
| S (g kg−1) | 1.3 | 3.1 | 2.4 | 0.6 | 24.0 | S (g kg−1) | 1.5 | 3.3 | 2.4 | 0.6 | 24.8 |
| B (mg kg−1) | 19.1 | 72.7 | 41.1 | 17.0 | 41.4 | B (mg kg−1) | 19.0 | 83.9 | 57.8 | 24.0 | 41.6 |
| Cu (mg kg−1) | 18.0 | 109.2 | 60.4 | 35.3 | 58.4 | Cu (mg kg−1) | 26.0 | 232.5 | 118.0 | 74.2 | 62.9 |
| Fe (mg kg−1) | 83.0 | 149.0 | 111.4 | 20.3 | 18.3 | Fe (mg kg−1) | 61.3 | 258.0 | 134.6 | 59.0 | 43.8 |
| Mn (mg kg−1) | 210.5 | 535.0 | 327.3 | 97.7 | 29.9 | Mn (mg kg−1) | 149.5 | 522.0 | 291.8 | 111.9 | 38.3 |
| Zn (mg kg−1) | 16.9 | 34.0 | 25.2 | 5.0 | 20.0 | Zn (mg kg−1) | 24.0 | 102.7 | 54.8 | 26.9 | 49.2 |
| 4–9-Year-old—Low-Yield Population (n = 102) | 10–26-Year-old—Low-Yield Population (n = 30) | ||||||||||
| Variables | Min. | Max. | Mean | SD | CV | Variables | Min. | Max. | Mean | SD | CV |
| Yield (t ha−1) | 0.9 | 18.5 | 6.0 | 3.7 | 60.7 | Yield (t ha−1) | 0.2 | 9.5 | 4.8 | 2.8 | 58.6 |
| N (g kg−1) | 17.8 | 33.8 | 23.1 | 3.2 | 14.0 | N (g kg−1) | 16.2 | 26.2 | 20.7 | 3.1 | 15.1 |
| P (g kg−1) | 1.1 | 1.9 | 1.5 | 0.2 | 11.8 | P (g kg−1) | 1.0 | 1.7 | 1.3 | 0.2 | 14.3 |
| K (g kg−1) | 4.8 | 14.6 | 8.3 | 2.4 | 29.1 | K (g kg−1) | 5.1 | 14.3 | 7.9 | 1.7 | 22.2 |
| Ca (g kg−1) | 9.8 | 41.2 | 22.1 | 7.0 | 31.7 | Ca (g kg−1) | 6.2 | 30.6 | 18.0 | 5.8 | 32.2 |
| Mg (g kg−1) | 3.3 | 9.4 | 6.4 | 1.2 | 19.5 | Mg (g kg−1) | 2.4 | 7.6 | 4.9 | 1.2 | 25.5 |
| S (g kg−1) | 1.2 | 3.2 | 2.4 | 0.5 | 20.6 | S (g kg−1) | 1.4 | 3.2 | 2.1 | 0.5 | 22.2 |
| B (mg kg−1) | 20.9 | 79.5 | 38.4 | 13.2 | 34.5 | B (mg kg−1) | 20.7 | 74.1 | 42.4 | 16.7 | 39.3 |
| Cu (mg kg−1) | 8.2 | 251.0 | 66.1 | 44.7 | 67.6 | Cu (mg kg−1) | 10.3 | 150.0 | 69.7 | 34.1 | 48.9 |
| Fe (mg kg−1) | 69.0 | 263.0 | 137.3 | 36.8 | 26.8 | Fe (mg kg−1) | 58.0 | 226.0 | 131.3 | 38.0 | 29.0 |
| Mn (mg kg−1) | 154.0 | 1639.0 | 511.5 | 301.3 | 58.9 | Mn (mg kg−1) | 94.0 | 2328.0 | 518.5 | 430.1 | 83.0 |
| Zn (mg kg−1) | 14.0 | 57.0 | 25.6 | 6.1 | 23.9 | Zn (mg kg−1) | 18.0 | 109.3 | 38.3 | 24.3 | 63.3 |
| Variables | 4–9-Year-Old (n = 18) | 10–26-Year-Old (n = 15) | ||
|---|---|---|---|---|
| Mean | SD | Mean | SD | |
| VN | 2.87 | 0.20 | 2.74 | 0.17 |
| VP | 0.23 | 0.09 | 0.01 | 0.22 |
| VK | 2.01 | 0.20 | 1.98 | 0.22 |
| VCa | 2.84 | 0.16 | 2.54 | 0.29 |
| VMg | 1.87 | 0.12 | 1.28 | 0.27 |
| VS | 0.70 | 0.20 | 0.63 | 0.20 |
| VB | −3.41 | 0.36 | −3.18 | 0.47 |
| VCu | −3.12 | 0.63 | −2.57 | 0.63 |
| VFe | −2.35 | 0.16 | −2.30 | 0.34 |
| VMn | −1.30 | 0.30 | −1.51 | 0.43 |
| VZn | −3.84 | 0.17 | −3.23 | 0.40 |
| 4–9-Year-Old Plants—DRIS | ||||
|---|---|---|---|---|
| Nutrients | Equations | R2 | SRs | CLs |
| N | IN = 0.1404 N − 3.0464 | 0.61 *** | 19.3–24.1 | 22.0 |
| P | IP = 1.7071 P − 2.5472 | 0.38 *** | 1.4–1.6 | 1.5 |
| K | IK = 2.8461 ln(K) − 6.277 | 0.85 *** | 7.5–10.6 | 9.1 |
| Ca | ICa = −0.0016 Ca2 + 0.2089 Ca − 3.6517 | 0.90 ** | 16.4–25.2 | 20.8 |
| Mg | IMg = 2.793 ln(Mg) − 5.5079 | 0.74 *** | 6.3–8.1 | 7.2 |
| S | IS = −0.2963 S2 + 2.659 S − 4.8205 | 0.77 * | 2.2–2.9 | 2.5 |
| B | IB = −0.0004 B2 + 0.094 B − 2.8183 | 0.89 *** | 25.9–44.7 | 35.3 |
| Cu | ICu = 1.3711 ln(Cu) − 5.17 | 0.97 *** | 14.4–72.4 | 43.4 |
| Fe | IFe = −0.00004 Fe2 + 0.03393 Fe − 3.36924 | 0.83 ** | 92.3–141.9 | 117.1 |
| Mn | IMn = 2.0396 ln(Mn) − 12.198 | 0.96 *** | 200.5–590.9 | 395.7 |
| Zn | IZn = −0.0008 Zn2 + 0.1493 Zn − 3.3672 | 0.77 * | 22.2–30.3 | 26.2 |
| 10–26-Year-old plants—DRIS | ||||
| Nutrients | Equations | R2 | SRs | CLs |
| N | IN = 0.0789 N − 1.6475 | 0.53 *** | 17.5–24.3 | 20.9 |
| P | IP = 1.648 ln(P) − 0.394 | 0.50 *** | 1.0–1.5 | 1.3 |
| K | IK = 2.0639 ln(K) − 4.618 | 0.74 *** | 7.1—11.6 | 9.4 |
| Ca | ICa = 0.1098 Ca − 1.6736 | 0.82 *** | 11.6–18.9 | 15.2 |
| Mg | IMg = 0.3093 Mg − 1.3779 | 0.64 *** | 3.7–5.2 | 4.5 |
| S | IS = 1.1948 ln(S) − 0.7657 | 0.86 *** | 1.5–2.3 | 1.9 |
| B | IB = −0.0005 B2 + 0.0827 B − 2.8745 | 0.87 *** | 35.5–63.9 | 49.7 |
| Cu | ICu = 0.9894 ln(Cu) − 4.2047 | 0.96 *** | 33.2–107.0 | 70.1 |
| Fe | IFe = 0.0114 Fe − 1.5444 | 0.84 *** | 101.9–167.9 | 134.9 |
| Mn | IMn = 1.4714 ln(Mn) − 8.1397 | 0.93 *** | 18.0–487.2 | 252.6 |
| Zn | IZn = 1.5252 ln(Zn) − 5.8326 | 0.89 *** | 29.2–62.3 | 45.8 |
| 4–9-Year-Old—CND | ||||
|---|---|---|---|---|
| Nutrients | Equations | R2 | SRs | CLs |
| N | IN = 0.2167 N − 4.561 | 0.73 *** | 18.7–23.4 | 21.0 |
| P | IP = 5.3612 P − 8.1313 | 0.49 *** | 1.4–1.6 | 1.5 |
| K | IK = 4.5593 ln(K) − 9.9646 | 0.88 *** | 7.3–10.5 | 8.9 |
| Ca | ICa = −0.0040 Ca2 + 0.4277 Ca − 7.0868 | 0.91 *** | 16.1–25.0 | 20.6 |
| Mg | IMg = −0.069 Mg2 + 2.0621 Mg − 11.969 | 0.78 * | 7.0–8.7 | 7.9 |
| S | IS = −0.3885 S2 + 3.5794 S − 6.3825 | 0.83 ** | 2.1–2.8 | 2.4 |
| B | IB = −0.0005 B2 + 0.1026 B − 3.374 | 0.92 *** | 31.9–50.3 | 41.1 |
| Cu | ICu = 1.4527 ln(Cu) − 5.742 | 0.98 *** | 23.2–80.9 | 52.1 |
| Fe | IFe = −0.00007 Fe2 + 0.05894 Fe − 5.71554 | 0.86 ** | 87.9—135.8 | 111.8 |
| Mn | IMn = 3.0393 ln(Mn) − 17.501 | 0.97 *** | 125.0–508.6 | 316.8 |
| Zn | IZn = 5.0656 ln(Zn) − 16.442 | 0.81 *** | 21.7–29.6 | 25.7 |
| 10–26-Year-old—CND | ||||
| Nutrients | Equations | R2 | SRs | CLs |
| N | IN = 0.227 N − 4.078 | 0.38 *** | 15.8–20.1 | 18.0 |
| P | IP = 2.5398 P − 2.9653 | 0.35 *** | 1.0–1.3 | 1.2 |
| K | IK = 0.4669 K − 4.1324 | 0.62 *** | 7.5–10.2 | 8.9 |
| Ca | ICa = 0.1706 Ca − 2.6455 | 0.84 *** | 11.9–19.1 | 15.5 |
| Mg | IMg = 0.5147 Mg − 2.147 | 0.68 *** | 3.4–5.0 | 4.2 |
| S | IS = 1.1318 S − 2.6719 | 0.53 *** | 2.1–2.8 | 2.4 |
| B | IB = −0.0008 B2 + 0.1185 B − 3.8802 | 0.89 *** | 35.2–62.5 | 48.9 |
| Cu | ICu = 1.2955 ln(Cu) − 5.9171 | 0.97 *** | 59.5–133.1 | 96.3 |
| Fe | IFe = 0.0159 Fe − 1.9474 | 0.82 *** | 92.2–152.8 | 122.5 |
| Mn | IMn = 2.1335 ln(Mn) − 11.818 | 0.94 *** | 7.2–501.8 | 254.5 |
| Zn | IZn = 2.0282 ln(Zn) − 7.9003 | 0.91 *** | 31.8–66.6 | 49.2 |
| References | N | P | K | Ca | Mg | S |
|---|---|---|---|---|---|---|
| g kg−1 | ||||||
| 4–9-year-old plants—DRIS | 19.3–24.1 | 1.4–1.6 | 7.5–10.5 | 16.4–25.2 | 6.3–8.1 | 2.2–2.9 |
| 4–9-year-old plants—CND | 18.7–23.4 | 1.4–1.6 | 7.3–10.5 | 16.1–25.0 | 7.0–8.7 | 2.1–2.8 |
| 10–26-year-old plants—DRIS | 17.5–24.3 | 1.0–1.5 | 7.1–11.6 | 11.6–18.9 | 3.7–5.2 | 1.5–2.3 |
| 10–26-year-old plants—CND | 15.8–20.1 | 1.0–1.3 | 7.5–10.2 | 11.9–19.1 | 3.4–5.0 | 2.1–2.8 |
| Teixeira 1 | 16.0–20.0 | 0.8–2.5 | 7.0–20.0 | 10.0–30.0 | 2.5–8.0 | 2.0–6.0 |
| Quaggio and van Raij 2 | 16.0–20.0 | 0.8–2.5 | 7.0–20.0 | 10.0–30.0 | 2.5–8.0 | 2.0–6.0 |
| Crowley 3 | 22.5–29.0 | 1.0–1.5 | 7.0–9.0 | 18.0–20.0 | 6.0–9.0 | 4.5–5.6 |
| Gaillard 4 | 16.0–20.0 | 0.8–2.5 | 7.5–20.0 | 10.0–30.0 | 2.5–8.0 | 2.0–6.0 |
| Embleton and Jones 5 | 20.0–26.0 | 1.0–2.5 | 7.5–20.0 | 10.0–30.0 | 2.5–8.0 | 2.0–6.0 |
| References | B | Cu | Fe | Mn | Zn |
|---|---|---|---|---|---|
| mg kg−1 | |||||
| 4–9-year-old plants—DRIS | 25.9–44.7 | 14.4–72.4 | 92.3–141.9 | 200.5–590.9 | 22.2–30.3 |
| 4–9-year-old plants—CND | 31.9–50.3 | 23.2–80.9 | 87.9–135.8 | 125.0–508.6 | 21.7–29.6 |
| 10–26-year-old plants—DRIS | 35.5–63.9 | 33.2–107.0 | 101.9–167.9 | 18.0–487.2 | 29.2–62.3 |
| 10–26-year-old plants—CND | 35.2–62.5 | 59.5–133.1 | 92.2–152.8 | 7.2–501.8 | 31.8–66.6 |
| Teixeira 1 | 50.0–100.0 | 5.0–15.0 | 50.0–200.0 | 30.0–100.0 | 30.0–100.0 |
| Quaggio and van Raij 2 | 50.0–100.0 | 5.0–15.0 | 50.0–200.0 | 30.0–100.0 | 30.0–100.0 |
| Crowley 3 | 38.0–60.0 | 4.0–7.0 | 55.0–80.0 | 110.0–145.0 | 50.0–80.0 |
| Gaillard 4 | 50.0–100.0 | 5.0–15.0 | 50.0–200.0 | 30.0–500.0 | 30.0–150.0 |
| Embleton and Jones 5 | 50.0–100.0 | 5.0–15.0 | 50.0–200.0 | 30.0–500.0 | 30.0–150.0 |
Disclaimer/Publisher’s Note: The statements, opinions and data contained in all publications are solely those of the individual author(s) and contributor(s) and not of MDPI and/or the editor(s). MDPI and/or the editor(s) disclaim responsibility for any injury to people or property resulting from any ideas, methods, instructions or products referred to in the content. |
© 2025 by the authors. Licensee MDPI, Basel, Switzerland. This article is an open access article distributed under the terms and conditions of the Creative Commons Attribution (CC BY) license (https://creativecommons.org/licenses/by/4.0/).
Share and Cite
Almeida de Oliveira Junior, M.; Rozane, D.E.; Cantuarias-Avilés, T.; Rodrigues da Silva, S. CND and DRIS Methods for Nutritional Diagnosis in ‘Hass’ Avocado Production. Horticulturae 2025, 11, 621. https://doi.org/10.3390/horticulturae11060621
Almeida de Oliveira Junior M, Rozane DE, Cantuarias-Avilés T, Rodrigues da Silva S. CND and DRIS Methods for Nutritional Diagnosis in ‘Hass’ Avocado Production. Horticulturae. 2025; 11(6):621. https://doi.org/10.3390/horticulturae11060621
Chicago/Turabian StyleAlmeida de Oliveira Junior, Marcelo, Danilo Eduardo Rozane, Tatiana Cantuarias-Avilés, and Simone Rodrigues da Silva. 2025. "CND and DRIS Methods for Nutritional Diagnosis in ‘Hass’ Avocado Production" Horticulturae 11, no. 6: 621. https://doi.org/10.3390/horticulturae11060621
APA StyleAlmeida de Oliveira Junior, M., Rozane, D. E., Cantuarias-Avilés, T., & Rodrigues da Silva, S. (2025). CND and DRIS Methods for Nutritional Diagnosis in ‘Hass’ Avocado Production. Horticulturae, 11(6), 621. https://doi.org/10.3390/horticulturae11060621

