Identifying Plant Healthy Indicators of Five Tropical Perennials Using Certain Leaf Physiological Traits During Drought Stress and Re-Watering
Abstract
1. Introduction
2. Materials and Methods
2.1. Plant Materials and Acclimatization of Plants
2.2. Drought Stress (DS) and Re-Watering (RW) Treatments
2.3. Measurement of Soil Water Content (SWC)
2.4. Measurement of Fluorescence Fv/Fm Ratio
2.5. Measurement of Chl Reading
2.6. Measurement of Leaf Total Reduced Nitrogen (TRN)
2.7. Measurements of Electron Transport Rate (ETR) and Effective Quantum Yield of PSII (∆F/Fm’), Photochemical (qP), and Non-Photochemical Quenching (NPQ)
2.8. Statistical Analysis
3. Results
3.1. Changes of Plant Appearance, SWC, Fv/Fm Ratio, and Chl Reading During DS and RW
3.2. Correlations of SWC with Fv/Fm Ratio and Chl Reading, Correlation Between the Fv/Fm Ratio and Chl Reading
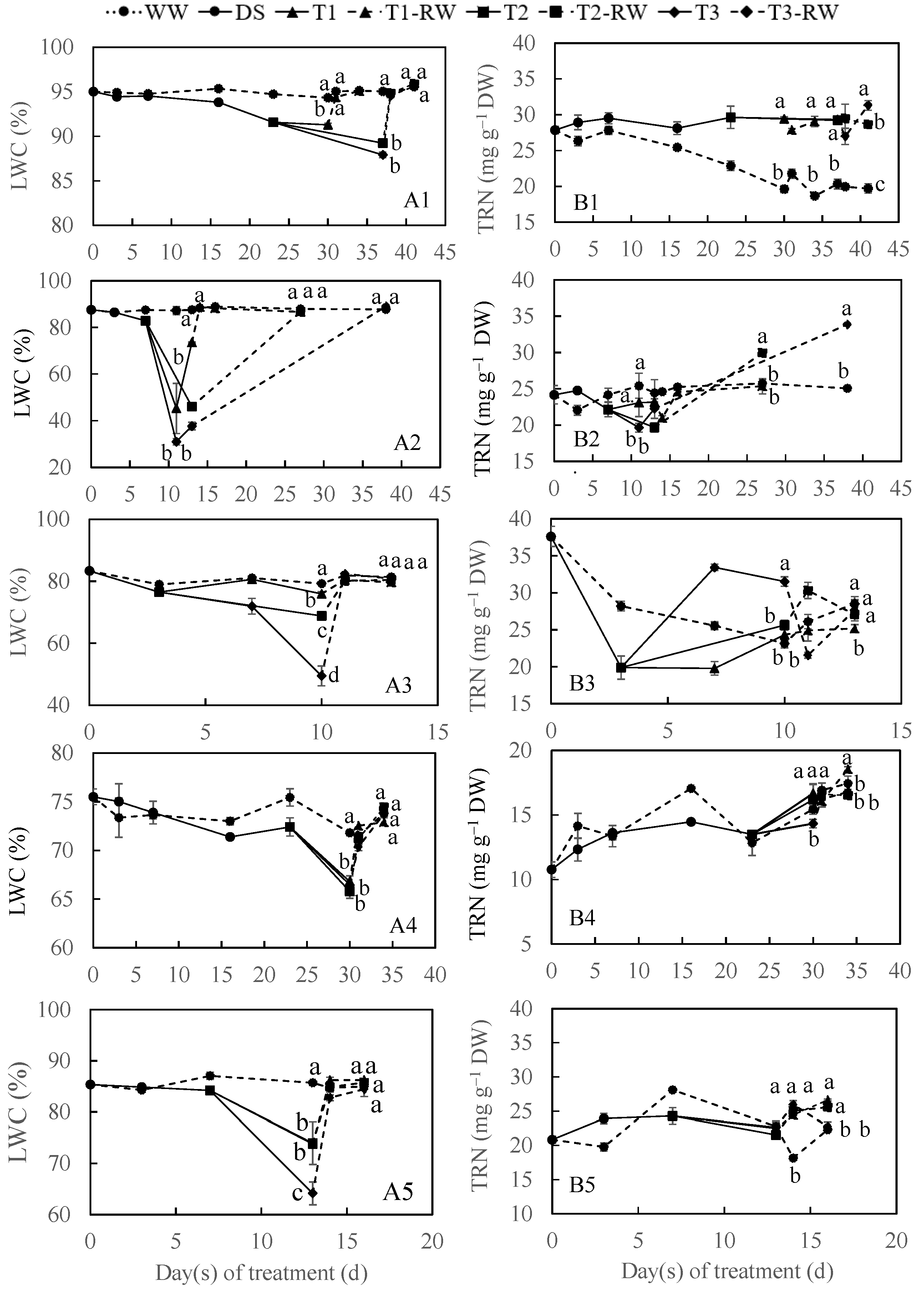
3.3. LWC and Leaf TRN During DS and RW
3.4. Correlations of SWC with LWC and Leaf TRN, and Correlation Between the Fv/Fm Ratio and LWC
3.5. ETR, ΔF/Fm’, qP, and NPQ During DS and RW
3.6. Correlations of SWC with ∆F/Fm’, ETR, qP, and NPQ
4. Discussion
4.1. Changes of SWC During DS and RW
4.2. Responses of Non-Destructive Leaf Parameters to DS and RW
4.3. Responses of Destructive Leaf Parameters to DS and RW
4.4. Correlations of SWC with Different Plant Health Indicators During DS and RW
5. Conclusions
Author Contributions
Funding
Data Availability Statement
Conflicts of Interest
References
- Kim, Y.; Rahardjo, H.; Nisto, M.M.; Satyanaga, A.; Leong, E.C.; Sham, A.W.L. Assessment of critical rainfall scenarios for slope stability analyses based on historical rainfall records in Singapore. Environ. Earth Sci. 2022, 81, 39. [Google Scholar] [CrossRef]
- Ghestem, M.; Sidle, R.C.; Stoke, V. The influence of plant root systems on subsurface flow: Implications for slope stability. Bioscience 2011, 61, 869–879. [Google Scholar] [CrossRef]
- Seleiman, M.F.; Al-Suhaibani, N.; Ali, N.; Akmal, M.; Alotaibi, M.; Refay, Y.; Dindaroglu, T.; Abdul-Wajid, H.H.; Battaglia, M.L. Drought stress impacts on plants and different approaches to alleviate its adverse effects. Plants 2021, 10, 259. [Google Scholar] [CrossRef] [PubMed]
- Ziegler, A.D.; Terry, J.P.; Oliver, G.J.H.; Friess, D.A.; Chuan, C.J.; Chow, W.T.L.; Wasson, R.J. Increasing Singapore’s resilience to drought. Hydrol. Process. 2014, 28, 4543. [Google Scholar] [CrossRef]
- Impact of Climate Change in Singapore. National Climate Change Secretariat Singapore (NCCS). Available online: https://www.nccs.gov.sg/singapores-climate-action/impact-of-climate-change-in-singapore (accessed on 15 September 2024).
- He, J.; Ng, K.; Qin, L.; Shen, Y.; Rahardjo, H.; Wang, C.L.; Kew, H.; Chua, Y.C.; Poh, C.H.; Ghosh, S. Photosynthetic gas exchange, plant water relations and osmotic adjustment of three tropical perennials during drought stress and re-watering. PLoS ONE 2024, 19, e0298908. [Google Scholar] [CrossRef] [PubMed]
- Wang, F.; Zhang, F.; Gou, X.; Fonti, P.; Xia, J.; Cao, Z.; Liu, J.; Wang, Y.; Zhang, J. Seasonal variations in leaf-level photosynthesis and water use efficiency of three isohydric to anisohydric conifers on the Tibetan Plateau. Agric. For. Meteorol. 2021, 308–309, 108581. [Google Scholar] [CrossRef]
- Losciale, P.; Gaeta, L.; Corsi, M.; Galeone, C.; Tarricone, L.; Leogrande, R.; Stellacci, A.M. Physiological responses of apricot and peach cultivars under progressive water shortage: Different crop signals for anisohydric and isohydric behaviours. Agric. Water Manag. 2023, 286, 108384. [Google Scholar] [CrossRef]
- Furlan, A.L.; Bianucci, E.; Giordano, W.; Castro, S.; Becker, D.F. Proline metabolic dynamics and implications in drought tolerance of peanut plants. Plant Physiol. Biochem. 2020, 151, 566–578. [Google Scholar] [CrossRef]
- Mafakheri, A.; Siosemardeh, A.; Bahramnejad, B.; Struik, P.C.; Sohrab, E. Effect of drought stress on yield, proline and chlorophyll contents in three chickpea cultivars. Aust. J. Crop Sci. 2010, 4, 580–585. [Google Scholar]
- Flexas, J.; Bota, J.; Galmés, J.; Medrano, H.; Ribas-Carbó, H. Keeping a positive carbon balance under adverse conditions: Responses of photosynthesis and respiration to water stress. Physiol. Plant. 2006, 127, 343–352. [Google Scholar] [CrossRef]
- Juzoń, K.; Idziak-Helmcke, D.; Rojek-Jelonek, M.; Warzecha, T.; Warchoł, M.; Czyczyło-Mysza, I.; Dziurka, K.; Skrzypek, E. Functioning of the photosynthetic apparatus in response to drought stress in oat × maize addition lines. Int. J. Mol. Sci. 2020, 21, 6958. [Google Scholar] [CrossRef]
- Yang, Y.; Nan, R.; Mi, T.; Song, Y.; Shi, F.; Liu, X.; Wang, Y.; Sun, F.; Xi, Y.; Zhang, C. Rapid and nondestructive evaluation of wheat chlorophyll under drought stress using hyperspectral imaging. Int. J. Mol. Sci. 2023, 24, 5825. [Google Scholar] [CrossRef] [PubMed]
- Hassanzadeh, M.; Ebadi, A.; Panahyan-e-Kivi, M.; Eshghi, A.G.; Jamaati-e-Somarin, S.; Saeidi, M.; Zabihi-e-Mahmoodabad, R. Evaluation of drought stress on relative water content and chlorophyll content of sesame (Sesamum indicum L.) genotypes at early flowering stage. Res. J. Environ. Sci. 2009, 3, 345–350. [Google Scholar] [CrossRef]
- Pilon, C.; Snider, J.L.; Sobolev, V.; Chastain, D.R.; Sorensen, R.B.; Meeks, C.D.; Massa, A.N.; Walk, T.; Singh, B.; Earl, H.J. Assessing stomatal and non-stomatal limitations to carbon assimilation under progressive drought in peanut (Arachis hypogaea L.). J. Plant Physiol. 2018, 231, 124–134. [Google Scholar] [CrossRef] [PubMed]
- Wang, Z.; Li, G.; Sun, H.; Ma, L.; Guo, Y.; Zhao, Z.; Gao, H.; Mei, L. Effects of drought stress on photosynthesis and photosynthetic electron transport chain in young apple tree leaves. Biol. Open 2018, 7, bio035279. [Google Scholar] [CrossRef]
- Xu, W.; Wuyun, T.; Chen, J.; Yu, S.; Zhang, X.; Zhang, L. Responses of Trollius chinensis to drought stress and rehydration: From photosynthetic physiology to gene expression. Plant Physiol. Biochem. 2023, 20, 107841. [Google Scholar] [CrossRef]
- Demmig-Adams, B.; Adams, W.W. An integrative approach to photoinhibition and photoprotection of photosynthesis. Environ. Exp. Bot. 2018, 154, 1–3. [Google Scholar] [CrossRef]
- Stirbet, A.; Lazar, D.; Kromdijk, J.; Govindjee. Chlorophyll a fluorescence induction: Can just a one-second measurement be used to quantify abiotic stress responses? Photosynthetica 2018, 56, 86–104. [Google Scholar] [CrossRef]
- Tribulato, A.; Toscano, S.; Di Lorenzo, V.; Romano, D. Effects of water stress on gas exchange, water relations and leaf structure in two ornamental shrubs in the Mediterranean Area. Agronomy 2019, 9, 381. [Google Scholar] [CrossRef]
- Arief, M.A.A.; Kim, H.; Kurniawan, H.; Nugroho, A.P.; Kim, T.; Cho, B.K. Chlorophyll fluorescence imaging for early detection of drought and heat stress in strawberry plants. Plants 2023, 12, 1387. [Google Scholar] [CrossRef]
- Janeeshma, E.; Johnson, R.; Amritha, M.S.; Noble, L.; Aswathi, K.P.R.; Telesiński, A.; Kalaji, H.M.; Auriga, A.; Puthur, J.T. Modulations in chlorophyll a fluorescence based on intensity and spectral variations of light. Int. J. Mol. Sci. 2022, 23, 5599. [Google Scholar] [CrossRef] [PubMed]
- He, J.; Chang, C.; Qin, L.; Lai, C.H. Impacts of deficit irrigation on photosynthetic performance, productivity and nutritional quality of aeroponically grown Tuscan kale (Brassica oleracea L.) in a tropical greenhouse. Int. J. Mol. Sci. 2023, 24, 2014. [Google Scholar] [CrossRef] [PubMed]
- Moustaka, J.; Moustakas, M. Early-stage detection of biotic and abiotic stress on plants by chlorophyll fluorescence imaging analysis. Biosensors 2023, 13, 796. [Google Scholar] [CrossRef] [PubMed]
- Song, X.; Zhou, G.; He, Q. Critical leaf water content for maize photosynthesis under drought stress and its response to rewatering. Sustainability 2021, 13, 7218. [Google Scholar] [CrossRef]
- Levinsh, G. Water content of plant tissues: So simple that almost forgotten? Plants 2023, 12, 1238. [Google Scholar] [CrossRef]
- Leghari, S.J.; Wahocho, N.A.; Laghari, G.M.; Laghari, A.H. Role of nitrogen for plant growth and development: A review. Adv. Environ. Biol. 2016, 10, 209–218. [Google Scholar]
- Ding, L.; Lu, Z.; Gao, L.; Guo, S.; Shen, Q. Is nitrogen a key determinant of water transport and photosynthesis in higher plants upon drought stress? Front. Plant Sci. 2019, 9, 1143. [Google Scholar] [CrossRef]
- Zhang, H.; Li, X.; Guan, D.; Wang, A.; Yuan, F.; Wu, J. Nitrogen nutrition addition mitigated drought stress by improving carbon exchange and reserves among two temperate trees. Agric. For. Meteorol. 2021, 311, 108693. [Google Scholar] [CrossRef]
- Lipiec, J.; Doussan, C.; Nosalewicz, A.; Kondracka, K. Effect of drought and heat stresses on plant growth and yield: A review. Int. Agrophys. 2013, 27, 463–477. [Google Scholar] [CrossRef]
- Xu, Z.; Zhou, G.; Shimizu, H. Plant responses to drought and rewatering. Plant Signal. Behav. 2010, 5, 649–654. [Google Scholar] [CrossRef]
- Eziz, A.; Yan, Z.; Tian, D.; Han, W.; Tang, Z.; Fang, J. Drought effect on plant biomass allocation: A meta-analysis. Ecol. Evol. 2017, 7, 11002–11010. [Google Scholar] [CrossRef] [PubMed]
- Epstein, E. Silicon. Ann. Rev. Plant Biol. 1999, 50, 641–664. [Google Scholar] [CrossRef] [PubMed]
- Kirkham, M.B. 8—Field capacity, wilting point, available eater, and the non-limiting water range. In Principles of Soil and Plant Water Relations; Kirkham, M.B., Ed.; Academic Press: New York, NY, USA, 2005; pp. 101–115. [Google Scholar]
- He, J.; Tan, B.H.G.; Qin, L. Source-to-sink relationship between green leaves and green pseudobulbs of C3 orchid in regulation of photosynthesis. Photosynthetica 2011, 49, 209–218. [Google Scholar] [CrossRef]
- Pavlovic, D.; Nikolic, B.; Djurovic, S.; Waisi, H.; Andjelkovic, A.; Marisavljevic, D. Chlorophyll as a measure of plant health: Agroecological aspects. Pestic. Phytomed. 2015, 29, 21–34. [Google Scholar] [CrossRef]
- Song, W.; Song, R.; Zhao, Y.; Zhao, Y. Research on the characteristics of drought stress state based on plant stem water content. Sustain. Energy Technol. Assess. 2023, 56, 103080. [Google Scholar] [CrossRef]
- Geng, S.M.; Yan, D.H.; Zhang, T.X.; Weng, B.S.; Zhang, Z.B.; Qin, T.L. Effects of drought stress on agriculture soil. Nat. Hazards 2015, 75, 1997–2011. [Google Scholar] [CrossRef]
- Zhuang, J.; Wang, Y.; Chi, Y.; Zhou, Y.L.; Chen, J.; Zhou, W.; Song, J.; Zhao, N.; Ding, J. Drought stress strengthens the link between chlorophyll fluorescence parameters and photosynthetic traits. Peer J. 2020, 8, e10046. [Google Scholar] [CrossRef]
- Baker, N.R.; Rosenqvist, E. Applications of chlorophyll fluorescence can improve crop production strategies: An examination of future possibilities. J. Exp. Bot. 2004, 55, 1607–1621. [Google Scholar] [CrossRef]
- Sommer, S.G.; Han, E.; Li, X.; Rosenqvist, E.; Liu, F. The chlorophyll fluorescence parameter Fv/Fm correlates with loss of grain yield after severe drought in three wheat genotypes grown at two co2 concentrations. Plants 2023, 12, 436. [Google Scholar] [CrossRef]
- Chen, D.; Wang, S.; Cao, B.; Cao, D.; Leng, G.; Li, H.; Yin, L.; Shan, L.; Deng, X. Genotypic variation in growth and physiological response to drought stress and re-watering reveals the critical role of recovery in drought adaptation in maize seedlings. Front. Plant Sci. 2016, 6, 1241. [Google Scholar] [CrossRef]
- Zhou, H.; Zhou, G.; He, Q.; Zhou, L.; Ji, Y.; Lv, X. Capability of leaf water content and its threshold values in reflection of soil–plant water status in maize during prolonged drought. Ecol. Indic. 2021, 124, 107395. [Google Scholar] [CrossRef]
- Li, B.; Zhao, X.; Zhang, Y.; Zhang, S.; Luo, B. Prediction and monitoring of leaf water content in soybean plants using terahertz time-domain spectroscopy. Comput. Electron. Agric. 2020, 170, 105239. [Google Scholar] [CrossRef]
- Gloser, V.; Dvorackova, M.; Mota, D.H.; Petrovic, B.; Gonzalez, P.; Geilfus, C.M. Early changes in nitrate uptake and assimilation under drought in relation to transpiration. Front. Plant Sci. 2020, 11, 602065. [Google Scholar] [CrossRef] [PubMed]
- He, J.; Hu, W.; Li, Y.; Zhu, H.; Zou, J.; Wang, Y.; Meng, Y.; Chen, B.; Zhao, W.; Wang, S.; et al. Prolonged drought affects the interaction of carbon and nitrogen metabolism in root and shoot of cotton. Environ. Exp. Bot. 2022, 197, 104839. [Google Scholar] [CrossRef]
- Hu, C.; Elias, E.; Nawrocki, W.J.; Croce, R. Drought affects both photosystems in Arabidopsis thaliana. New Phytol. 2023, 240, 663–675. [Google Scholar] [CrossRef]
- Sperdouli, I.; Moustakas, M. Differential response of Photosystem II photochemistry in young and mature leaves of Arabidopsis thaliana to the onset of drought stress. Acta Physiol. Plant. 2012, 34, 1267–1276. [Google Scholar] [CrossRef]
- Jia, Y.; Xiao, W.; Ye, Y.; Wang, X.; Liu, X.; Wang, G.; Li, G.; Wang, Y. Response of photosynthetic performance to drought duration and re-watering in Maize. Agronomy 2020, 10, 533. [Google Scholar] [CrossRef]











| Treatments | Plant Species | ||||
|---|---|---|---|---|---|
| C. cristata | C. trilobata | C. paniculatum | D. ensifolia | I. pes-carprae | |
| T1 | 30 | 13 | 10 | 30 | 13 |
| T2 | 37 | 13 | 10 | 30 | 13 |
| T3 | 37 | 13 | 10 | 30 | 13 |
| T1-RW | 34 | 27 | 13 | 34 | 16 |
| T2-RW | 41 | 27 | 13 | 34 | 16 |
| T3-RW | 41 | 38 | 13 | 34 | 16 |
Disclaimer/Publisher’s Note: The statements, opinions and data contained in all publications are solely those of the individual author(s) and contributor(s) and not of MDPI and/or the editor(s). MDPI and/or the editor(s) disclaim responsibility for any injury to people or property resulting from any ideas, methods, instructions or products referred to in the content. |
© 2025 by the authors. Licensee MDPI, Basel, Switzerland. This article is an open access article distributed under the terms and conditions of the Creative Commons Attribution (CC BY) license (https://creativecommons.org/licenses/by/4.0/).
Share and Cite
He, J.; Goh, K.J.; Qin, L.; Shen, Y.; Rahardjo, H. Identifying Plant Healthy Indicators of Five Tropical Perennials Using Certain Leaf Physiological Traits During Drought Stress and Re-Watering. Horticulturae 2025, 11, 230. https://doi.org/10.3390/horticulturae11030230
He J, Goh KJ, Qin L, Shen Y, Rahardjo H. Identifying Plant Healthy Indicators of Five Tropical Perennials Using Certain Leaf Physiological Traits During Drought Stress and Re-Watering. Horticulturae. 2025; 11(3):230. https://doi.org/10.3390/horticulturae11030230
Chicago/Turabian StyleHe, Jie, Kai Jie Goh, Lin Qin, Yuanjie Shen, and Harianto Rahardjo. 2025. "Identifying Plant Healthy Indicators of Five Tropical Perennials Using Certain Leaf Physiological Traits During Drought Stress and Re-Watering" Horticulturae 11, no. 3: 230. https://doi.org/10.3390/horticulturae11030230
APA StyleHe, J., Goh, K. J., Qin, L., Shen, Y., & Rahardjo, H. (2025). Identifying Plant Healthy Indicators of Five Tropical Perennials Using Certain Leaf Physiological Traits During Drought Stress and Re-Watering. Horticulturae, 11(3), 230. https://doi.org/10.3390/horticulturae11030230

