The Harnessing of Controlled Environment Agriculture Technologies for Phytochemical and Mineral Element Enrichment in Mesembryanthemum crystallinum
Abstract
1. Introduction
2. Materials and Methods
2.1. Plant Material and Experimental Setting
2.2. Measurements
2.3. Statistical Analysis
3. Results
3.1. Phytochemicals
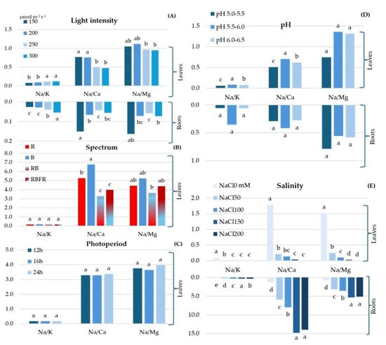
3.2. Mineral Elements
3.3. Biomass
3.4. Principal Component Analysis
4. Discussion
4.1. Phytochemicals
4.2. Mineral Elements
4.3. Biomass
5. Conclusions
Author Contributions
Funding
Data Availability Statement
Conflicts of Interest
References
- Dsouza, A.; Newman, L.; Graham, T.; Fraser, E.D. Exploring the landscape of controlled environment agriculture research: A systematic scoping review of trends and topics. Agric. Syst. 2023, 209, 103673. [Google Scholar] [CrossRef]
- Kozai, T.; Niu, G.; Takagaki, M. Plant Factory: An Indoor Vertical Farming System for Efficient Quality Food Production, 2nd ed.; Academic Press: London, UK; San Diego, CA, USA, 2019. [Google Scholar]
- Nicholson, C.F.; Harbick, K.; Gómez, M.I.; Mattson, N.S. An economic and environmental comparison of conventional and controlled environment agriculture (CEA) supply chains for leaf lettuce to US Cities. In Food Supply Chains in Cities; Aktas, E., Bourlakis, M., Eds.; Springer: Berlin, Germany, 2020; pp. 33–68. [Google Scholar]
- Ragaveena, S.; Edward, A.; Surendran, U. Smart controlled environment agriculture methods: A holistic review. Rev. Environ. Sci. Biotechnol. 2021, 20, 887–913. [Google Scholar] [CrossRef]
- SharathKumar, M.; Heuvelink, E.; Marcelis, L.F.M. Vertical farming: Moving from genetic to environmental modification. Trends Plant Sci. 2020, 25, 724–727. [Google Scholar] [CrossRef] [PubMed]
- Sharma, A.; Hazarika, M.; Heisnam, P.; Pandey, H.; Devadas, V.; Wangsu, M. Controlled Environment Ecosystem: A plant growth system to combat climate change through soilless culture. Crop Design 2024, 3, 100044. [Google Scholar] [CrossRef]
- Loconsole, D.; Cristiano, G.; De Lucia, B. Halophyte Common Ice Plants: A Future Solution to Arable Land Salinization. Sustainability 2019, 11, 6076. [Google Scholar] [CrossRef]
- Xia, J.; Mattson, N. Response of common ice plant (Mesembryanthemum crystallinum L.) to sodium chloride concentration in hydroponic nutrient solution. HortScience 2024, 57, 750–756. [Google Scholar] [CrossRef]
- Kim, Y.J.; Kim, H.M.; Kim, H.M.; Lee, H.R.; Jeong, B.R.; Lee, H.; Kim, H.; Hwang, S.J. Growth and phytochemicals of ice plant (Mesembryanthemum crystallinum L.) as affected by various combined ratios of red and blue LEDs in a closed-type plant production system. J. Appl. Res. Med. Aromat. Plants 2021, 20, 100267. [Google Scholar] [CrossRef]
- Xia, J.; Mattson, N. Response of Common Ice Plant (Mesembryanthemum crystallinum L.) to Photoperiod/Daily Light Integral in Vertical Hydroponic Production. Horticulturae 2022, 8, 653. [Google Scholar] [CrossRef]
- Chen, J.W.; Patloková, K.; Pokluda, R. The Effect of the Daily Light Integral and Spectrum on Mesembryanthemum crystallinum L. in an Indoor Plant Production Environment. Horticulturae 2024, 10, 266. [Google Scholar] [CrossRef]
- Zhang, H.; Tu, Y.; Kang, J.; Song, W.; Zheng, L. Blue light dosage affects photosynthesis, chlorophyll, and antioxidant properties of Mesembryanthemum crystallinum. Photosynthetica 2021, 59, 547–556. [Google Scholar] [CrossRef]
- Sander, L.C.; Rimmer, C.A.; Wilson, W.B. Characterization of Triacontyl (C-30) Liquid Chromatographic Columns. J. Chromatogr. A 2020, 1614, 460732. [Google Scholar] [CrossRef] [PubMed]
- Araújo, G.C.; Gonzalez, M.H.; Ferreira, A.G.; Nogueira, A.R.A.; Nóbrega, A.J. Effect of acid concentration on closed-vessel microwave-assisted digestion of plant materials. Spectrochim. Acta Part. B 2002, 57, 2121–2132. [Google Scholar] [CrossRef]
- Barbosa, J.T.P.; Santos, C.M.; Peralva, V.N.; Flores, E.M.; Korn, M.; Nóbrega, J.A.; Korn, M.G.A. Microwave-assisted diluted acid digestion for trace elements analysis of edible soybean products. Food Chem. 2015, 175, 212–217. [Google Scholar] [CrossRef]
- Ainsworth, E.A.; Gillespie, K.M. Estimation of total phenolic content and other oxidation substrates in plant tissues using Folin–Ciocalteu reagent. Nat. Protoc. 2021, 2, 875–877. [Google Scholar] [CrossRef]
- Adams, W.W., III; Stewart, J.J.; Demmig-Adams, B. Photosynthetic modulation in response to plant activity and environment. In The Leaf: A Platform for Performing Photosynthesis. Advances in Photosynthesis and Respiration; Adams, W.W., III, Terashima, I., Eds.; Springer: Berlin/Heidelberg, Germany, 2018; Volume 44, pp. 493–563. [Google Scholar] [CrossRef]
- Stewart, J.J.; Adams, W.W., III; Escobar, C.M.; López-Pozo, M.; Demmig-Adams, B. Growth and Essential Carotenoid Micronutrients in Lemna gibba as a Function of Growth Light Intensity. Front. Plant Sci. 2020, 11, 480. [Google Scholar] [CrossRef]
- Demmig-Adams, B.; Cohu, C.M.; Amiard, V.; van Zadelhoff, G.; Veldink, G.A.; Muller, O.; Adams, W.W., III. Emerging trade-offs – Impact of photoprotectants (PsbS, xanthophylls, and vitamin E) on oxylipins as regulators of development and defense. New Phytol. 2013, 197, 720–729. [Google Scholar] [CrossRef]
- Weeplian, T.; Yen, T.; Ho, Y. Growth, Development, and Chemical Constituents of Edible Ice Plant (Mesembryanthemum crystallinum L.) Produced under Combinations of Light-emitting Diode Lights. HortScience 2018, 53, 865–874. [Google Scholar] [CrossRef]
- Martínez-Moreno, A.; Frutos-Tortosa, A.; Diaz-Mula, H.; Mestre, T.C.; Martínez, V. Effect of the Intensity and Spectral Quality of LED Light on Growth and Quality of Spinach Indoors. Horticulturae 2024, 10, 411. [Google Scholar] [CrossRef]
- Utasi, L.; Monostori, I.; Végh, B.; Pék, Z.; Éva, D. Effects of light intensity and spectral composition on the growth and metabolism of spinach (Spinacia oleracea L.). Acta Biol. Plantarum Agriensis 2019, 7, 3–18. [Google Scholar]
- Agarie, S.; Kawaguchi, A.; Kodera, A.; Sunagawa, H.; Kojima, H.; Nose, A.; Nakahara, T. Potential of the common ice plant, Mesembryanthemum crystallinum as a new high-functional food as evaluated by polyol accumulation. Plant Prod. Sci. 2009, 12, 37–46. [Google Scholar] [CrossRef]
- Ahn, C.; Hossain, M.A.; Lee, E.; Kanth, B.K.; Park, P.B. Increased salt and drought tolerance by D-pinitol production in transgenic Arabidopsis thaliana. Bioch. Biophys. Res. Commun. 2018, 504, 315–320. [Google Scholar] [CrossRef] [PubMed]
- Xu, J.; Guo, Z.; Jiang, X.; Ahammed, G.J.; Zhou, Y. Light regulation of horticultural crop nutrient uptake and utilization. Hortic. Plant J. 2021, 7, 367–379. [Google Scholar] [CrossRef]
- Almansa, E.M.; Espín, A.; Chica, R.M.; Lao, M.T. Nutritional response of seedling tomato plants under different lighting treatments. J. Plant Nutrit 2017, 40, 467–475. [Google Scholar] [CrossRef]
- Sakuraba, Y.; Yanagisawa, S. Light signalling-induced regulation of nutrient acquisition and utilisation in plants. Semin. Cell Dev. Biol. 2018, 83, 123–132. [Google Scholar] [CrossRef]
- James, A.; Monreal, J.; Nimmo, G.; Kelly, C.; Herzyk, P.; Jenkins, G.I.; Nimmo, H. The circadian clock in Arabidopsis roots is a simplified slave version of the clock in shoots. Science 2008, 322, 1832–1835. [Google Scholar] [CrossRef]
- Amthor, J.; Bar-Even, A.; Hanson, A.; Millar, A.; Stitt, M.; Sweetlove, L.; Tyerman, S. Engineering strategies to boost crop productivity by cutting respiratory carbon loss. Plant Cell 2019, 31, 297–314. [Google Scholar] [CrossRef]
- Zhang, Y.; Wang, C.; Xu, H.; Shi, X.; Zhen, W.; Hu, Z.; Huang, J.; Zheng, Y.; Huang, P.; Zhang, K.X.; et al. HY5 Contributes to light-regulated root system architecture under a root-covered culture system. Front. Plant Sci. 2019, 10, 1490. [Google Scholar] [CrossRef]
- Xu, X.D.; Hotta, C.T.; Dodd, A.N.; Love, J.; Sharrock, R.; Lee, Y.W.G.; Xie, Q.; Johnson, C.H.; Webb, A.A.R. Distinct light and clock modulation of cytosolic free Ca 2+ oscillations and rhythmic CHLORO-PHYLL A/B BINDING PROTEIN2 promoter activity in Arabidopsis. Plant Cell 2007, 19, 3474–3490. [Google Scholar] [CrossRef]
- Sathyanarayan, S.R.; Warke, V.G.; Mahajan, G.B.; Annapure, U.S. Soil free nutrient availability to plants. J. Plant Nutrit. 2022, 46, 801–814. [Google Scholar] [CrossRef]
- Gillespie, D.P.; Kubota, C.; Miller, S.A. Effects of Low pH of Hydroponic Nutrient Solution on Plant Growth, Nutrient Uptake, and Root Rot Disease Incidence of Basil (Ocimum basilicum L.). HortScience 2020, 55, 1251–1258. [Google Scholar] [CrossRef]
- Gillespie, D.P.; Papio, G.; Kubota, C. High Nutrient Concentrations of Hydroponic Solution Can Improve Growth and Nutrient Uptake of Spinach (Spinacia oleracea L.) Grown in Acidic Nutrient Solution. HortScience 2021, 56, 687–694. [Google Scholar] [CrossRef]
- Kudirka, G.; Viršilė, A.; Sutulienė, R.; Laužikė, K.; Samuolienė, G. Precise Management of Hydroponic Nutrient Solution pH: The Effects of Minor pH Changes and MES Buffer Molarity on Lettuce Physiological Properties. Horticulturae 2023, 9, 837. [Google Scholar] [CrossRef]
- Sciandrello, S. Coastal saltmarsh vegetation in Sicily (Italy): Phytosociological insights and plant diversity. Plant Biosyst. Int. J. Dealing All. Asp. Plant Biol. 2020, 154, 860–876. [Google Scholar] [CrossRef]
- Han, Q.Q.; Wang, Y.P.; Li, J.; Li, J.; Yin, X.C.; Jiang, X.Y.; Yu, M.; Wang, S.M.; Shabala, S.; Zhang, J.L. The mechanistic basis of sodium exclusion in Puccinellia tenuiflora under conditions of soil salinity and potassium deprivation. Plant J. 2022, 2, 322–338. [Google Scholar] [CrossRef]
- Song, X.; Su, Y.; Zheng, J.; Zhang, Z.; Liang, Z.; Tang, Z. Study on the Effects of Salt Tolerance Type, Soil Salinity and Soil Characteristics on the Element Composition of Chenopodiaceae Halophytes. Plants 2021, 11, 1288. [Google Scholar] [CrossRef]
- Tang, W.; Guo, H.; Baskin, C.C.; Xiong, W.; Yang, C.; Li, Z.; Song, H.; Wang, T.; Yin, J.; Wu, X.; et al. Effect of Light Intensity on Morphology, Photosynthesis and Carbon Metabolism of Alfalfa (Medicago sativa) Seedlings. Plants 2022, 11, 1688. [Google Scholar] [CrossRef]
- Chen, T.T.; Zhang, H.J.; Zeng, R.E.; Wang, X.Y.; Huang, L.P.; Wang, L.D.; Wang, X.W.; Zhang, L. Shade effects on peanut yield associate with physiological and expressional regulation on photosynthesis and sucrose metabolism. Int. J. Mol. Sci. 2020, 21, 5284. [Google Scholar] [CrossRef]
- Kelly, N.; Choe, D.; Meng, Q.; Runkle, E.S. Promotion of lettuce growth under an increasing daily light integral depends on the combination of the photosynthetic photon flux density and photoperiod. Sci. Hortic. 2020, 272, 109565. [Google Scholar] [CrossRef]
- Maxwell, K.; Johnson, G.N. Chlorophyll fluorescence—A practical guide. J. Exp. Bot. 2000, 51, 659–668. [Google Scholar] [CrossRef]
- Samuolienė, G.; Viršilė, A.; Haimi, P.; Miliauskienė, J. Photoresponse to different lighting strategies during red leaf lettuce growth. J. Photochem. Photobiol. B Biol. 2019, 202, 111726. [Google Scholar] [CrossRef]
- Carvalho, R.F.; Takaki, M.; Azevedo, R.A. Plant pigments: The many face of light perception. Acta Physiol. Plant 2011, 33, 241–248. [Google Scholar] [CrossRef]
- Fimbres-Acedo, Y.E.; Traversari, S.; Cacini, S.; Costamagna, G.; Ginepro, M.; Massa, D. Testing the Effect of High pH and Low Nutrient Concentration on Four Leafy Vegetables in Hydroponics. Agronomy 2023, 13, 41. [Google Scholar] [CrossRef]
- García, M.; García, G.; Parola, R.; Maddela, N.R.; Pérez-Almeida, I.; Garcés-Fiallos, F.R. Root-shoot ratio and SOD activity are associated with the sensitivity of common bean seedlings to NaCl salinization. Rhizosphere 2024, 29, 100848. [Google Scholar] [CrossRef]
- ElSayed, A.I.; Rafudeen, M.S.; Gomaa, A.M.; Hasanuzzaman, M. Exogenous melatonin enhances the reactive oxygen species metabolism, antioxidant defense-related gene expression, and photosynthetic capacity of Phaseolus vulgaris L. to confer salt stress tolerance. Physiol. Plantarum 2021, 173, 1369–1381. [Google Scholar] [CrossRef]
- Golldack, D.; Dietz, K.-J. Salt-induced expression of the vacuolar H1-ATPase in the common ice plant is developmentally controlled and tissue specific. Plant Physiol. 2001, 125, 1643–1654. [Google Scholar] [CrossRef]



| Experiment | Lighting Spectrum | Photosynthetically Active Photon Flux Density (PPFD), µmol m−2 s−1 | Photoperiod, H | Hydroponic Solution |
|---|---|---|---|---|
| (I) | Wide-spectrum | 150, 200, 250, 300 | 16 | Constant |
| (II) | R; B; RB; RBFR | 250 | 16 | Constant |
| (III) | RB | 333 250 167 | 12 16 24 with constant DLI | Constant |
| (IV) | Wide-spectrum | 250 | 16 | pH at 5.0–5.5, 5.5–6.0, 6.0–6.5 |
| (V) | Wide-spectrum | 250 | 16 | 0, 50, 100, 150, and 200 mM L−1 NaCl |
| Treatment | Fructose | Glucose | Violaxanthin | Lutein | β-Carotene | Oxalic a | Citric a | Malic a | Fumaric a | Succinic a |
|---|---|---|---|---|---|---|---|---|---|---|
| The Effect of Photosynthetically Active Photon Flux Density (PPFD µmol m−2 s−1) | ||||||||||
| 150 | 13.4 c | 17.1 c | 0.08 a | 0.08 b | 0.05 b | 20.8 a | 9.7 c | 9.24 c | 11.0 b | 0.79 a |
| 200 | 19.1 b | 23.4 b | 0.06 b | 0.07 b | 0.05 b | 22.1 a | 17.6 a | 22.6 a | 28.7 ab | 0.62 ab |
| 250 | 48.0 a | 61.7 a | 0.05 b | 0.14 a | 0.11 a | 24.8 a | 17.4 a | 25.6 a | 34.3 a | 0.43 b |
| 300 | 51.0 a | 65.2 a | 0.05 b | 0.14 a | 0.09 a | 20.7 a | 15.6 b | 19.6 b | 26.5 ab | 0.51 ab |
| The Effect of Spectrum | ||||||||||
| R | 4.57 c | 4.53 c | 0.24 ab | 0.28 bc | 0.07 b | 11.3 b | 1.19 c | 2.01 ab | 2.31 a | 0.22 a |
| B | 4.24 c | 6.17 b | 0.17 b | 0.24 c | 0.13 a | 12.0 b | 1.51 b | 2.05 ab | 2.54 a | 0.25 a |
| RB | 6.06 a | 7.29 a | 0.25 a | 0.35 a | 0.13 a | 15.7 a | 1.17 c | 1.74 b | 1.82 a | 0.27 a |
| RBFR | 5.23 b | 6.56 ab | 0.24 ab | 0.29 b | 0.13 a | 12.5 b | 1.82 a | 2.33 a | 3.29 a | 0.24 a |
| The Effect of Photoperiod at Constant DLI | ||||||||||
| 12 h | 5.71 ab | 7.35 a | 0.23 a | 0.35 a | 0.14 a | 16.7 a | 1.08 b | 2.00 a | 2.88 a | 0.26 a |
| 16 h | 6.06 a | 7.29 a | 0.25 a | 0.35 a | 0.13 a | 15.7 ab | 1.17 b | 1.74 a | 1.82 a | 0.27 a |
| 24 h | 5.06 b | 6.89 a | 0.24 a | 0.36 a | 0.12 b | 13.6 b | 1.32 a | 1.85 a | 2.76 a | 0.17 b |
| The Effect of pH | ||||||||||
| 5.0–5.5 | 10.8 b | 18.0 a | 0.18 a | 0.26 a | 0.08 a | 19.5 a | 12.7 b | 11.8 c | 12.8 c | 0.78 a |
| 5.5–6.0 | 15.6 ab | 21.4 a | 0.12 b | 0.23 ab | 0.08 a | 18.9 a | 18.1 a | 22.6 b | 30.1 b | 0.60 a |
| 6.0–6.5 | 17.4 a | 21.7 a | 0.19 a | 0.21 b | 0.07 a | 16.4 a | 17.9 a | 26.0 a | 36.1 a | 0.59 a |
| The Effect of Salinity (NaCl mM) | ||||||||||
| 0 | 6.11 b | 5.41 c | 0.08 ab | 0.20 d | 0.08 b | 11.2 a | 2.95 c | 3.65 b | 3.18 c | 0.12 a |
| 50 | 4.97 c | 4.55 c | 0.09 a | 0.32 a | 0.08 b | 8.97 b | 3.43 c | 4.46 b | 4.91 bc | 0.29 a |
| 100 | 5.61 bc | 6.71 b | 0.09 a | 0.27 b | 0.09 b | 6.86 c | 5.63 b | 9.58 a | 10.6 b | 0.22 a |
| 150 | 7.03 a | 9.41 a | 0.09 a | 0.23 cd | 0.09 b | 4.04 d | 6.73 a | 14.2 a | 19.2 a | 0.05 a |
| 200 | 5.64 bc | 7.32 b | 0.06 b | 0.25 bc | 0.11 a | 3.65 d | 6.42 a | 11.2 a | 11.7 b | 0.39 a |
| Macroelements | Microelements | |||||||
|---|---|---|---|---|---|---|---|---|
| Treatment | P | Ca | K | Mg | Na | Mn | Fe | Zn |
| The Effect of Photosynthetically Active Photon Flux Density (PPFD µmol m−2 s−1) | ||||||||
| 150 | 0.678 a | 6.90 c | 64.6 a | 5.06 c | 5.32 a | 0.207 a | 0.086 a | 0.073 a |
| 200 | 0.580 b | 7.46 c | 62.5 a | 5.06 c | 5.64 a | 0.188 b | 0.077 b | 0.041 b |
| 250 | 0.418 d | 11.26 b | 49.5 b | 5.79 b | 5.62 a | 0.162 d | 0.052 d | 0.026 c |
| 300 | 0.468 c | 11.98 a | 47.3 b | 5.97 a | 5.66 a | 0.174 c | 0.062 c | 0.029 c |
| The Effect of Spectrum | ||||||||
| R | 0.333 b | 2.59 c | 80.8 a | 3.10 b | 13.7 a | 0.114 b | 0.001 d | 0.041 b |
| B | 0.376 ab | 2.17 c | 84.4 a | 2.81 b | 14.6 a | 0.156 a | 0.004 c | 0.069 a |
| RB | 0.384 ab | 4.41 a | 81.9 a | 3.99 a | 14.5 a | 0.141 a | 0.029 a | 0.038 b |
| RBFR | 0.409 a | 3.44 b | 83.2 a | 3.11 b | 13.6 a | 0.138 a | 0.015 b | 0.043 b |
| The Effect of Photoperiod at Constant DLI | ||||||||
| 12 h | 0.446 a | 4.41 a | 80.9 a | 3.86 a | 14.5 a | 0.132 ab | 0.023 a | 0.028 b |
| 16 h | 0.384 b | 4.41 a | 81.9 a | 3.99 a | 14.5 a | 0.141 a | 0.029 a | 0.038 a |
| 24 h | 0.461 a | 4.22 a | 83.0 a | 3.60 b | 14.3 a | 0.126 b | 0.032 a | 0.039 a |
| The Effect of pH | ||||||||
| 5.0–5.5 | 0.739 a | 7.19 a | 59.9 a | 4.90 a | 3.66 c | 0.265 a | 0.168 a | 0.053 b |
| 5.5–6.0 | 0.660 b | 7.53 a | 60.0 a | 3.90 b | 5.31 a | 0.168 b | 0.097 b | 0.059 b |
| 6.0–6.5 | 0.619 c | 7.50 a | 57.9 b | 3.54 c | 4.67 b | 0.158 c | 0.088 b | 0.074 a |
| The Effectt of Salinity (NaCl mM) | ||||||||
| 0 | 0.432 bc | 2.78 a | 47.8 a | 3.25 a | 4.95 a | 0.125 b | 0.056 d | 0.030 d |
| 50 | 0.423 c | 2.55 a | 48.7 a | 2.16 b | 0.551 b | 0.128 b | 0.076 c | 0.036 c |
| 100 | 0.476 a | 1.53 b | 44.0 b | 1.93 c | 0.209 c | 0.212 a | 0.227 b | 0.085 a |
| 150 | 0.441 bc | 1.14 c | 38.6 c | 1.50 d | 0.047 d | 0.210 a | 0.243 a | 0.088 a |
| 200 | 0.450 b | 1.03 c | 38.4 c | 1.16 e | 0.005 d | 0.126 b | 0.064 cd | 0.057 b |
| Treatment | Chl a + b | Leaf Area cm cm−2 | FW g | DW G | Shoot/Root |
|---|---|---|---|---|---|
| The Impact of Photosynthetically Active Photon Flux Density (PPFD µmol m−2 s−1) | |||||
| 150 | 0.517 a | 746.2 a | 119.8 a | 4.16 b | 6.92 a |
| 200 | 0.283 b | 1084.0 a | 160.9 a | 7.12 a | 13.5 a |
| 250 | 0.283 b | 1022.93 a | 147.1 a | 7.60 a | 15.5 a |
| 300 | 0.330 b | 836.9 a | 119.1 a | 6.59 ab | 16.9 a |
| The Impact of Spectrum | |||||
| R | 2.85 a | 131.1 bc | 14.9 ab | 0.315 b | 0.150 b |
| B | 1.94 c | 81.2 c | 9.34 b | 0.268 b | 0.130 b |
| RB | 2.87 a | 204.9 a | 23.6 a | 0.812 a | 0.415 a |
| RBFR | 2.42 b | 165.2 ab | 19.7 a | 0.625 a | 0.320 a |
| The Impact of Photoperiod at Constant DLI | |||||
| 12 h | 2.77 a | 268.8 a | 35.1 a | 1.116 a | 0.663 a |
| 16 h | 2.87 a | 204.9 a | 23.6 a | 0.812 a | 0.415 b |
| 24 h | 2.97 a | 189.5 a | 22.2 a | 0.742 a | 0.381 b |
| The Impact of pH | |||||
| 5.0–5.5 | 1.79 a | 463.53 a | 68.8 a | 2.76 a | 4.49 a |
| 5.5–6.0 | 1.30 b | 416.6 a | 64.4 a | 2.97 a | 3.49 a |
| 6.0–6.5 | 1.06 c | 454.3 a | 69.0 a | 3.02 a | 4.33 a |
| The Impact of Salinity (NaCl mM) | |||||
| 0 | 1.55 d | 435.5 a | 73.8 ab | 2.62 b | 1.730 a |
| 50 | 2.47 a | 507.5 a | 105.8 a | 3.92 a | 1.175 b |
| 100 | 2.10 b | 268.2 b | 56.8 bc | 2.59 b | 0.785 bc |
| 150 | 1.82 c | 179.4 b | 35.6 bc | 2.17 b | 0.592 c |
| 200 | 1.88 c | 142.1 b | 29.6 c | 1.80 b | 0.644 bc |
| Observations | Intensity | Spectrum | Photoperiod | pH | Salinity | |||||
|---|---|---|---|---|---|---|---|---|---|---|
| F1 | F2 | F1 | F2 | F1 | F2 | F1 | F2 | F1 | F2 | |
| Fructose | 0.800 | 0.190 | 0.966 | 0.002 | 0.497 | 0.369 | 0.791 | 0.085 | 0.249 | 0.338 |
| Glucose | 0.797 | 0.196 | 0.422 | 0.488 | 0.268 | 0.121 | 0.455 | 0.290 | 0.830 | 0.042 |
| Pinitol | nd | nd | nd | Nd | nd | nd | nd | nd | 0.969 | 0.000 |
| Lutein | 0.585 | 0.322 | 0.333 | 0.274 | 0.349 | 0.445 | 0.012 | 0.380 | 0.111 | 0.090 |
| Chl a | 0.454 | 0.285 | 0.869 | 0.009 | 0.285 | 0.018 | 0.826 | 0.015 | 0.060 | 0.911 |
| Chl b | 0.650 | 0.116 | 0.468 | 0.430 | 0.797 | 0.070 | 0.978 | 0.003 | 0.001 | 0.961 |
| β-carotene | 0.634 | 0.193 | 0.415 | 0.504 | 0.183 | 0.600 | 0.965 | 0.000 | 0.530 | 0.388 |
| Oxalic a | 0.255 | 0.109 | 0.086 | 0.725 | 0.880 | 0.013 | 0.107 | 0.265 | 0.590 | 0.002 |
| Citric a | 0.710 | 0.205 | 0.790 | 0.073 | 0.856 | 0.028 | 0.404 | 0.256 | 0.866 | 0.049 |
| Malic a | 0.645 | 0.194 | 0.101 | 0.212 | 0.896 | 0.014 | 0.922 | 0.027 | 0.969 | 0.014 |
| Fumaric a | 0.663 | 0.155 | 0.221 | 0.007 | 0.177 | 0.319 | 0.998 | 0.000 | 0.899 | 0.001 |
| Succinic a | 0.746 | 0.006 | 0.123 | 0.032 | 0.003 | 0.070 | 0.989 | 0.005 | 0.790 | 0.002 |
| P | 0.950 | 0.025 | 0.201 | 0.414 | 0.630 | 0.226 | 0.466 | 0.005 | 0.002 | 0.143 |
| Ca | 0.775 | 0.208 | 0.121 | 0.617 | 0.076 | 0.613 | 0.920 | 0.020 | 0.269 | 0.010 |
| Fe | 0.872 | 0.037 | 0.934 | 0.006 | 0.167 | 0.326 | 0.598 | 0.001 | 0.944 | 0.020 |
| K | 0.766 | 0.223 | 0.844 | 0.067 | 0.134 | 0.015 | 0.967 | 0.000 | 0.373 | 0.030 |
| Mg | 0.679 | 0.280 | 0.005 | 0.465 | 0.321 | 0.082 | 0.336 | 0.200 | 0.899 | 0.004 |
| Mn | 0.950 | 0.003 | 0.838 | 0.005 | 0.419 | 0.552 | 0.990 | 0.001 | 0.691 | 0.205 |
| Na | 0.268 | 0.110 | 0.001 | 0.891 | 0.142 | 0.816 | 0.970 | 0.001 | 0.354 | 0.021 |
| Zn | 0.952 | 0.004 | 0.020 | 0.285 | 0.006 | 0.060 | 0.630 | 0.100 | 0.435 | 0.530 |
| Leaf area | 0.237 | 0.618 | 0.466 | 0.386 | 0.715 | 0.152 | 0.691 | 0.119 | 0.708 | 0.037 |
| FW | 0.076 | 0.672 | 0.884 | 0.018 | 0.686 | 0.176 | 0.047 | 0.761 | 0.893 | 0.028 |
| DW | 0.655 | 0.252 | 0.823 | 0.009 | 0.639 | 0.219 | 0.013 | 0.726 | 0.761 | 0.129 |
| Shoot/Root | 0.532 | 0.002 | 0.850 | 0.040 | 0.685 | 0.193 | 0.055 | 0.562 | 0.697 | 0.179 |
Disclaimer/Publisher’s Note: The statements, opinions and data contained in all publications are solely those of the individual author(s) and contributor(s) and not of MDPI and/or the editor(s). MDPI and/or the editor(s) disclaim responsibility for any injury to people or property resulting from any ideas, methods, instructions or products referred to in the content. |
© 2025 by the authors. Licensee MDPI, Basel, Switzerland. This article is an open access article distributed under the terms and conditions of the Creative Commons Attribution (CC BY) license (https://creativecommons.org/licenses/by/4.0/).
Share and Cite
Samuolienė, G.; Pukalskas, A.; Gudžinskaitė, I.; Viršilė, A. The Harnessing of Controlled Environment Agriculture Technologies for Phytochemical and Mineral Element Enrichment in Mesembryanthemum crystallinum. Horticulturae 2025, 11, 229. https://doi.org/10.3390/horticulturae11030229
Samuolienė G, Pukalskas A, Gudžinskaitė I, Viršilė A. The Harnessing of Controlled Environment Agriculture Technologies for Phytochemical and Mineral Element Enrichment in Mesembryanthemum crystallinum. Horticulturae. 2025; 11(3):229. https://doi.org/10.3390/horticulturae11030229
Chicago/Turabian StyleSamuolienė, Giedrė, Audrius Pukalskas, Ieva Gudžinskaitė, and Akvilė Viršilė. 2025. "The Harnessing of Controlled Environment Agriculture Technologies for Phytochemical and Mineral Element Enrichment in Mesembryanthemum crystallinum" Horticulturae 11, no. 3: 229. https://doi.org/10.3390/horticulturae11030229
APA StyleSamuolienė, G., Pukalskas, A., Gudžinskaitė, I., & Viršilė, A. (2025). The Harnessing of Controlled Environment Agriculture Technologies for Phytochemical and Mineral Element Enrichment in Mesembryanthemum crystallinum. Horticulturae, 11(3), 229. https://doi.org/10.3390/horticulturae11030229

