Analysis of Plant Growth and Flower Aromatic Composition in Chinese Rosa rugosa Cultivars Under Cadmium Stress
Abstract
1. Introduction
2. Materials and Methods
2.1. Experimental Design
2.2. Experimental Methods
2.2.1. Determination of Plant Growth Indicators
2.2.2. Determination of Physiological Indicators
2.2.3. Photosynthetic Parameters Measurement
2.2.4. Determination of Aromatic Component
2.2.5. Determination of Cd in the Plant and Soil
2.3. Statistical Analyses
3. Results
3.1. Plant Growth of Two Rosa rugosa Cultivars Under Different Cd Stress
3.2. The Physiological Response of Two Rosa rugosa Cultivars Under Various Cd Stress Conditions
3.2.1. The POD Activity of Two Rosa rugosa Cultivars Under Different Cd Stress
3.2.2. The SOD Activities of Two Rosa rugosa Cultivars Under Different Cd Stress
3.2.3. The CAT Activity of Two Rosa rugosa Cultivars Under Different Cd Stress
3.2.4. The MDA Content of Two Rosa rugosa Cultivars Under Different Cd Stress
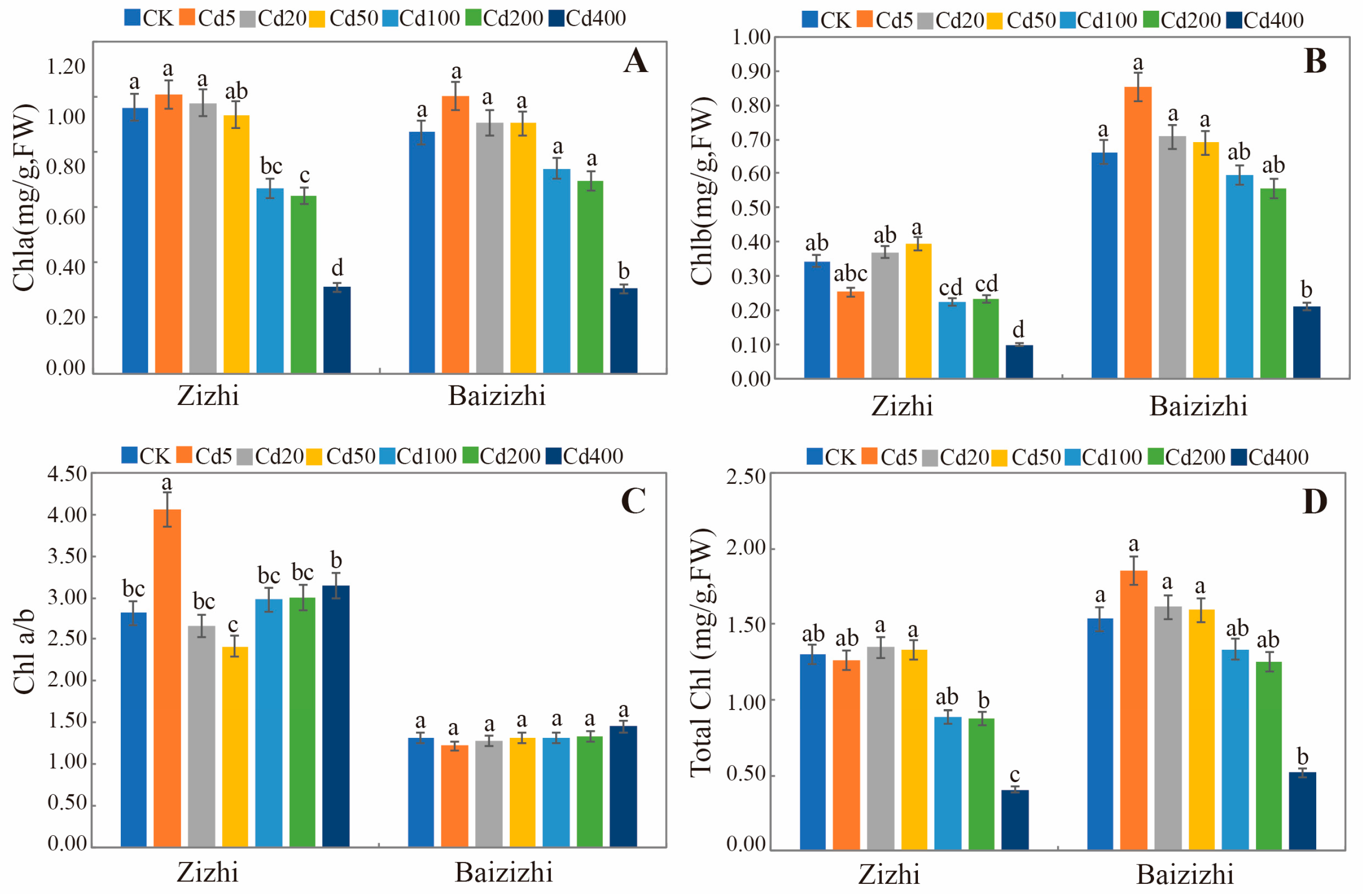
3.2.5. The Chlorophyll Content of Two Rosa rugosa Cultivars Leaves Under Different Cd Stress
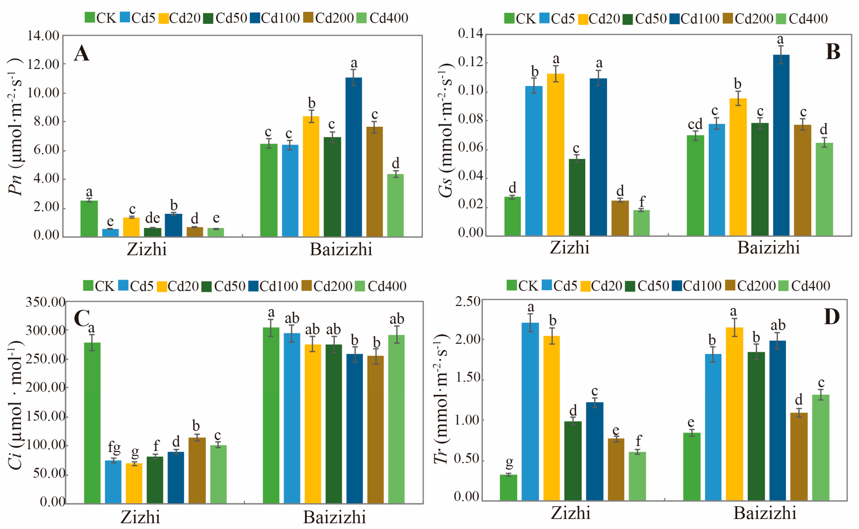
3.3. The Photosynthesis Parameters of Two Rosa rugosa Cultivars Under Different Cd Stress
3.4. The Flower Development and Aromatic Components Under Different Cd Stress
3.4.1. Flower Development of Two Rosa rugosa Cultivars to Cd Stress
3.4.2. The Aromatic Components Analysis of ‘Zizhi’ Under Different Cd Stresses
Main Symbolic Aromatic Components Under Cd Stresses
The Amount of Total Aromatic Components Under Cd Stresses
The Amount of Each Main Aromatic Component Under Cd Stresses
The Relative Content of the Main Aromatic Component Under Cd Stresses
The Number and Relative Content of Different Terpenoids Under Cd Stresses
3.5. Bioaccumulation and Translocation Ability of the Two Cultivars Under Cd Stresses
4. Discussion
5. Conclusions
Author Contributions
Funding
Data Availability Statement
Acknowledgments
Conflicts of Interest
References
- Feki, K.; Tounsi, S.; Mrabet, M.; Mhadhbi, H.; Brini, F. Recent Advances in Physiological and Molecular Mechanisms of Heavy Metal Accumulation in Plants. Environ. Sci. Pollut. Res. 2021, 28, 64967–64986. [Google Scholar] [CrossRef]
- Anas, M.; Khattak, W.A.; Fahad, S.; Alrawiq, N.; Alrawiq, H.S.; Abdelsalam, N.R.; Jaremko, M.; Quraishi, U.M. Mitigating Heavy Metal Pollution in Agriculture: A Multi-Omics and Nanotechnology Approach to Safeguard Global Wheat Production. J. Hazard. Mater. Adv. 2025, 17, 100584. [Google Scholar] [CrossRef]
- Mahar, A.; Wang, P.; Ali, A.; Awasthi, M.K.; Lahori, A.H.; Wang, Q.; Li, R.; Zhang, Z. Challenges and Opportunities in the Phytoremediation of Heavy Metals Contaminated Soils: A Review. Ecotoxicol. Environ. Saf. 2016, 126, 111–121. [Google Scholar] [CrossRef]
- Sasaki, T.; Horiguchi, H.; Matsukawa, T.; Kobayashi, M.; Omori, Y.; Oguma, E.; Komatsuda, A. A Suspected Case of “Itai-Itai Disease” in a Cadmium-Polluted Area in Akita Prefecture, Japan. Environ. Health Prev. Med. 2024, 29, 40. [Google Scholar] [CrossRef] [PubMed]
- Clemens, S.; Aarts, M.G.M.; Thomine, S.; Verbruggen, N. Plant Science: The Key to Preventing Slow Cadmium Poisoning. Trends Plant Sci. 2013, 18, 92–99. [Google Scholar] [CrossRef] [PubMed]
- Mhamdi, A.; Hager, J.; Chaouch, S.; Queval, G.; Han, Y.; Taconnat, L.; Saindrenan, P.; Gouia, H.; Issakidis-Bourguet, E.; Renou, J.-P.; et al. Arabidopsis GLUTATHIONE REDUCTASE1 Plays a Crucial Role in Leaf Responses to Intracellular Hydrogen Peroxide and in Ensuring Appropriate Gene Expression through Both Salicylic Acid and Jasmonic Acid Signaling Pathways. Plant Physiol. 2010, 153, 1144–1160. [Google Scholar] [CrossRef]
- Gallego, S.M.; Benavides, M.P. Cadmium-Induced Oxidative and Nitrosative Stress in Plants. In Cadmium Toxicity and Tolerance in Plants; Elsevier: Amsterdam, The Netherlands, 2019; pp. 233–274. ISBN 978-0-12-814864-8. [Google Scholar]
- Kafle, A.; Timilsina, A.; Gautam, A.; Adhikari, K.; Bhattarai, A.; Aryal, N. Phytoremediation: Mechanisms, Plant Selection and Enhancement by Natural and Synthetic Agents. Environ. Adv. 2022, 8, 100203. [Google Scholar] [CrossRef]
- Pandey, J.; Verma, R.K.; Singh, S. Suitability of Aromatic Plants for Phytoremediation of Heavy Metal Contaminated Areas: A Review. Int. J. Phytoremediat. 2019, 21, 405–418. [Google Scholar] [CrossRef] [PubMed]
- Zou, J.; Wang, G.; Ji, J.; Wang, J.; Wu, H.; Ou, Y.; Li, B. Transcriptional, Physiological and Cytological Analysis Validated the Roles of Some Key Genes Linked Cd Stress in Salix Matsudana Koidz. Environ. Exp. Bot. 2017, 134, 116–129. [Google Scholar] [CrossRef]
- Ahsan, M.; Riaz, A.; Jaskani, M.J.; Hameed, M. Physiological and Anatomical Response of Fragrant Rosa Species with Treated and Untreated Wastewater. Int. J. Agric. Biol. 2017, 19, 13–22. [Google Scholar] [CrossRef]
- Wang, Y.; Li, S.; Zhu, Z.; Xu, Z.; Qi, S.; Xing, S.; Yu, Y.; Wu, Q. Transcriptome and Chemical Analyses Revealed the Mechanism of Flower Color Formation in Rosa Rugosa. Front. Plant Sci. 2022, 13, 1021521. [Google Scholar] [CrossRef] [PubMed]
- Galal, T.M.; Majrashi, A.; Al-Yasi, H.M.; Farahat, E.A.; Eid, E.M.; Ali, E.F. Taif’s Rose (Rosa Damascena Mill Var. Trigentipetala) Wastes Are a Potential Candidate for Heavy Metals Remediation from Agricultural Soil. Agriculture 2022, 12, 1319. [Google Scholar] [CrossRef]
- Li, X. Study on Physiological and Accumulation Characteristics of Rosa Rugosa-Cv. to Copper, Cadmium and Lead Stress; Jilin Agricultural University: Changchun, China, 2017. [Google Scholar]
- Manful, M.E.; Ahmed, L.; Barry-Ryan, C. Cosmetic Formulations from Natural Sources: Safety Considerations and Legislative Frameworks in the European Union. Cosmetics 2024, 11, 72. [Google Scholar] [CrossRef]
- Wen, D.; Guan, Y.; Jiang, L.; Chen, S.; Chen, F.; Liu, B.; Niinemets, Ü.; Jiang, Y. Heat-Stress Induced Sesquiterpenes of Chrysanthemum Nankingense Attract Herbivores but Repel Herbivore Feeding. Arthropod-Plant Interact. 2023, 17, 111–122. [Google Scholar] [CrossRef]
- Colquhoun, T.A.; Schwieterman, M.L.; Gilbert, J.L.; Jaworski, E.A.; Langer, K.M.; Jones, C.R.; Rushing, G.V.; Hunter, T.M.; Olmstead, J.; Clark, D.G.; et al. Light Modulation of Volatile Organic Compounds from Petunia Flowers and Select Fruits. Postharvest Biol. Technol. 2013, 86, 37–44. [Google Scholar] [CrossRef]
- Holopainen, J.K.; Gershenzon, J. Multiple Stress Factors and the Emission of Plant VOCs. Trends Plant Sci. 2010, 15, 176–184. [Google Scholar] [CrossRef]
- Jin, J.; Zhao, M.; Jing, T.; Zhang, M.; Lu, M.; Yu, G.; Wang, J.; Guo, D.; Pan, Y.; Hoffmann, T.D.; et al. Volatile Compound-Mediated Plant–Plant Interactions under Stress with the Tea Plant as a Model. Hortic. Res. 2023, 10, uhad143. [Google Scholar] [CrossRef] [PubMed]
- Mahdavi, A.; Moradi, P.; Mastinu, A. Variation in Terpene Profiles of Thymus Vulgaris in Water Deficit Stress Response. Molecules 2020, 25, 1091. [Google Scholar] [CrossRef] [PubMed]
- Feng, L. Effects of NaCl Stress on Composition and Contents of Rosa Essential Oil. Hubei Agric. Sci. 2016, 55, 3364–3367. [Google Scholar]
- Teuber, M.; Zimmer, I.; Kreuzwieser, J.; Ache, P.; Polle, A.; Rennenberg, H.; Schnitzler, J.-P. VOC Emissions of Grey Poplar Leaves as Affected by Salt Stress and Different N Sources: VOC Emissions and Salt Stress in Poplar. Plant Biol. 2008, 10, 86–96. [Google Scholar] [CrossRef]
- Angelova, V.R.; Grekov, D.F.; Kisyov, V.K.; Ivanov, K.I. Potential of Lavender (Lavandula Vera L.) for Phytoremediation of Soils Contaminated with Heavy Metals. Int. J. Agric. Biol. Eng. 2015, 9, 465–472. [Google Scholar] [CrossRef]
- Onursal, E.; Ekinci, K. Co-Composting of Rose Oil Processing Waste with Caged Layer Manure and Straw or Sawdust: Effects of Carbon Source and C/N Ratio on Decomposition. Waste Manag. Res. 2015, 33, 332–338. [Google Scholar] [CrossRef] [PubMed]
- Sun, M.; Zhang, J.; Lin, G. Preliminary Study on the Phylogenetic Relationship of Rosa rugosa ‘Hetian Shmomeigui’. Acta Bot. Boreal.-Occident. Sin. 2021, 41, 0222–0233. [Google Scholar] [CrossRef]
- Sun, Y.; Li, Y. Hard Branch Cutting of Rosa Rugosa ‘Zizhi’. Mod. Agric. Technol. 2021, 2021, 113–119. [Google Scholar] [CrossRef]
- Yao, C.; Ge, H.; Wu, H.; Jia, R.; Zhao, X.; Lv, Y.; Yang, S. Petal Volatile Components Among Different Varieties of Rosa rugosa. Acta Hortic. Sin. 2019, 46, 375–384. [Google Scholar] [CrossRef]
- Yang, L.; Liao, X.; Cheng, P.; Zhang, Z.-G.; Li, H. Composition and Diurnal Variation of Floral Scent Emission in Rosa rugosa Thunb. and Tulipa gesneriana L. Open Chem. 2020, 18, 1030–1040. [Google Scholar] [CrossRef]
- Sheng, L.; Zang, S.; Wang, J.; Wei, T.; Xu, Y.; Feng, L. Overexpression of a Rosa rugosa Thunb. NUDX Gene Enhances Biosynthesis of Scent Volatiles in Petunia. PeerJ 2021, 9, e11098. [Google Scholar] [CrossRef]
- China: National Standard Soil Environmental Quality Risk Control Standard for Soil Contamination of Agricultural Land|USDA Foreign Agricultural Service. Available online: https://www.fas.usda.gov/data/china-national-standard-soil-environmental-quality-risk-control-standard-soil-contamination (accessed on 5 February 2025).
- Tóth, G.; Hermann, T.; Da Silva, M.R.; Montanarella, L. Heavy Metals in Agricultural Soils of the European Union with Implications for Food Safety. Environ. Int. 2016, 88, 299–309. [Google Scholar] [CrossRef] [PubMed]
- Deng, D.M.; Shu, W.S.; Zhang, J.; Zou, H.L.; Lin, Z.; Ye, Z.H.; Wong, M.H. Zinc and Cadmium Accumulation and Tolerance in Populations of Sedum alfredii. Environ. Pollut. 2007, 147, 381–386. [Google Scholar] [CrossRef]
- Zhao, H.; Guan, J.; Liang, Q.; Zhang, X.; Hu, H.; Zhang, J. Effects of Cadmium Stress on Growth and Physiological Characteristics of Sassafras Seedlings. Sci. Rep. 2021, 11, 9913. [Google Scholar] [CrossRef] [PubMed]
- Gao, S.; Wang, Y.; Yu, S.; Huang, Y.; Liu, H.; Chen, W.; He, X. Effects of Drought Stress on Growth, Physiology and Secondary Metabolites of Two Adonis Species in Northeast China. Sci. Hortic. 2020, 259, 108795. [Google Scholar] [CrossRef]
- Abd Elgawad, H.; Zinta, G.; Hamed, B.A.; Selim, S.; Beemster, G.; Hozzein, W.N.; Wadaan, M.A.M.; Asard, H.; Abuelsoud, W. Maize Roots and Shoots Show Distinct Profiles of Oxidative Stress and Antioxidant Defense under Heavy Metal Toxicity. Environ. Pollut. 2020, 258, 113705. [Google Scholar] [CrossRef] [PubMed]
- Shu, Z. The Simplification of Chlorophyll Content Measurement. Plant Physiol. Commun. 2010, 46, 399–402. [Google Scholar] [CrossRef]
- Tanhan, P.; Kruatrachue, M.; Pokethitiyook, P.; Chaiyarat, R. Uptake and Accumulation of Cadmium, Lead and Zinc by Siam Weed [Chromolaena odorata (L.) King & Robinson]. Chemosphere 2007, 68, 323–329. [Google Scholar] [CrossRef] [PubMed]
- Stephenie, S.; Chang, Y.P.; Gnanasekaran, A.; Esa, N.M.; Gnanaraj, C. An Insight on Superoxide Dismutase (SOD) from Plants for Mammalian Health Enhancement. J. Funct. Foods 2020, 68, 103917. [Google Scholar] [CrossRef]
- Yang, X.; Tan, A.-J.; Zheng, M.-M.; Feng, D.; Mao, K.; Yang, G.-L. Physiological Response, Microbial Diversity Characterization, and Endophytic Bacteria Isolation of Duckweed under Cadmium Stress. Sci. Total Environ. 2023, 902, 166056. [Google Scholar] [CrossRef] [PubMed]
- Abou Seeda, M.A.; Abou El-Nour, E.A.A. Physiological Effects of Cadmium on Plants: A Review. Middle East J. Agric. Res. 2023, 12, 267–362. [Google Scholar] [CrossRef]
- Zhao, X.; Lei, M.; Chen, T. Species, Habitat Characteristics, and Screening Suggestios of Cadmium Hyperaccumulators in China. Environ. Sci. 2023, 44, 2787–2798. [Google Scholar]
- Yi, Y.; Liu, H.; Chen, G.; Wu, X.; Zeng, F. Cadmium Accumulation in Plants: Insights from Phylogenetic Variation into the Evolution and Functions of Membrane Transporters. Sustainability 2023, 15, 12158. [Google Scholar] [CrossRef]
- Xiong, Y.H.; Yang, X.E.; Ye, Z.Q.; He, Z.L. Characteristics of Cadmium Uptake and Accumulation by Two Contrasting Ecotypes of Sedum alfredii Hance. J. Environ. Sci. Health Part A 2004, 39, 2925–2940. [Google Scholar] [CrossRef]
- He, C.; Zhao, Y.; Wang, F.; Oh, K.; Zhao, Z.; Wu, C.; Zhang, X.; Chen, X.; Liu, X. Phytoremediation of Soil Heavy Metals (Cd and Zn) by Castor Seedlings: Tolerance, Accumulation and Subcellular Distribution. Chemosphere 2020, 252, 126471. [Google Scholar] [CrossRef] [PubMed]
- Wang, G.; Zhang, J.; Zhuang, J.; Su, J. Accumulation Research of 31 Species of Ornamental Plants on Heavy Metal. J. West Anhui Univ. 2011, 27, 83–87. [Google Scholar]
- Ibrahim, I.K.; Abd-Alwahab, S. A Study of the Environmental Characteristics of the Alhagi Plant and Its Ability to Withdraw Cadmium from the Soil of Baquba District—Diyala Governorate. J. Pharm. Negat. Results 2022, 13, 224–228. [Google Scholar] [CrossRef]
- Sun, Y.; Guan, P.; He, S.; Shi, J. Effects of Cd stress on Cd accumulation, physiological response and ultrastructure of Lolium multiflorum. Pratacultural Sci. 2016, 10, 1589–1597. [Google Scholar] [CrossRef]
- Erofeeva, E.A. Hormesis in Plants: Its Common Occurrence across Stresses. Curr. Opin. Toxicol. 2022, 30, 100333. [Google Scholar] [CrossRef]
- Zhao, X.; Huang, S.; Yao, Q.; He, R.; Wang, H.; Xu, Z.; Xing, W.; Liu, D. ABA-Regulated MAPK Signaling Pathway Promotes Hormesis in Sugar Beet under Cadmium Exposure. J. Hazard. Mater. 2024, 480, 135968. [Google Scholar] [CrossRef] [PubMed]
- Erofeeva, E.A. Environmental Hormesis of Non-Specific and Specific Adaptive Mechanisms in Plants. Sci. Total Environ. 2022, 804, 150059. [Google Scholar] [CrossRef]
- Anjali; Kumar, S.; Korra, T.; Thakur, R.; Arutselvan, R.; Kashyap, A.S.; Nehela, Y.; Chaplygin, V.; Minkina, T.; Keswani, C. Role of Plant Secondary Metabolites in Defence and Transcriptional Regulation in Response to Biotic Stress. Plant Stress 2023, 8, 100154. [CrossRef]
- Feng, D.; Jian, H.; Zhang, H.; Qiu, X.; Wang, Z.; Du, W.; Xie, L.; Wang, Q.; Zhou, N.; Wang, H.; et al. Comparison of Volatile Compounds between Wild and Cultivated Roses. HortScience 2022, 57, 657–663. [Google Scholar] [CrossRef]
- Ormeño, E.; Mévy, J.P.; Vila, B.; Bousquet-Mélou, A.; Greff, S.; Bonin, G.; Fernandez, C. Water Deficit Stress Induces Different Monoterpene and Sesquiterpene Emission Changes in Mediterranean Species. Relationship between Terpene Emissions and Plant Water Potential. Chemosphere 2007, 67, 276–284. [Google Scholar] [CrossRef]
- Abu-Izneid, T.; Rauf, A.; Shariati, M.A.; Khalil, A.A.; Imran, M.; Rebezov, M.; Uddin, M.S.; Mahomoodally, M.F.; Rengasamy, K.R.R. Sesquiterpenes and Their Derivatives-Natural Anticancer Compounds: An Update. Pharmacol. Res. 2020, 161, 105165. [Google Scholar] [CrossRef] [PubMed]
- Bergman, M.E.; Kortbeek, R.W.J.; Gutensohn, M.; Dudareva, N. Plant Terpenoid Biosynthetic Network and Its Multiple Layers of Regulation. Progress. Lipid Res. 2024, 95, 101287. [Google Scholar] [CrossRef] [PubMed]
- Zhou, W.; Huang, F.; Li, S.; Wang, Y.; Zhou, C.; Shi, M.; Wang, J.; Chen, Y.; Wang, Y.; Wang, H.; et al. Molecular Cloning and Characterization of Two 1-Deoxy-d-Xylulose-5-Phosphate Synthase Genes Involved in Tanshinone Biosynthesis in Salvia Miltiorrhiza. Mol. Breed. 2016, 36, 124. [Google Scholar] [CrossRef]
- Kokilananthan, S.; Bulugahapitiya, V.P.; Manawadu, H.; Gangabadage, C.S. Sesquiterpenes and Monoterpenes from Different Varieties of Guava Leaf Essential Oils and Their Antioxidant Potential. Heliyon 2022, 8, e12104. [Google Scholar] [CrossRef] [PubMed]
- Yu, C.; Wei, J. Research Advance on the Effects of Environmental Factors on the Biosynthesis of Terpenoids in Plants. Acta Bot. Boreal.-Occident. Sin. 2019, 39, 1701–1710. [Google Scholar] [CrossRef]















| Cultivar | Treatments | Plant Height (cm) | New Shoot Number | Total Number of Leaves |
|---|---|---|---|---|
| Zizhi | CK | 56.98 ± 0.16 a | 14.00 ± 1.00 a | 69.67 ± 1.53 a |
| Cd5 | 54.00 ± 0.37 b | 12.33 ± 0.58 ab | 69.33 ± 0.58 a | |
| Cd20 | 52.17 ± 1.07 c | 12.00 ± 1.00 ab | 65.00 ± 2.00 c | |
| Cd50 | 50.32 ± 0.24 d | 10.33 ± 0.58 bc | 61.00 ± 1.00 d | |
| Cd100 | 49.28 ± 0.80 d | 9.00 ± 1.00 c | 53.00 ± 1.00 e | |
| Cd200 | 46.42 ± 0.64 e | 8.33 ± 0.58 c | 29.67 ± 1.53 f | |
| Cd400 | 35.29 ± 0.84 f | 5.33 ± 2.31 d | 20.00 ± 1.00 g | |
| Baizizhi | CK | 48.34 ± 0.78 a | 11.33 ± 0.58 a | 58.33 ± 1.15 a |
| Cd5 | 47.38 ± 1.12 a | 11.00 ± 1.00 a | 56.67 ± 0.58 ab | |
| Cd20 | 45.80 ± 0.68 b | 10.33 ± 0.58 a | 55.00 ± 1.00 b | |
| Cd50 | 42.31 ± 0.76 c | 8.33 ± 0.58 b | 44.67 ± 1.53 c | |
| Cd100 | 40.22 ± 0.35 d | 7.67 ± 0.58 b | 39.67 ± 1.53 d | |
| Cd200 | 37.98 ± 0.76 e | 7.00 ± 1.00 b | 37.00 ± 1.00 d | |
| Cd400 | 34.16 ± 0.98 f | 5.33 ± 1.15 c | 31.67 ± 3.51 e |
| Aromatic Component (%) | Treatments | ||||||
|---|---|---|---|---|---|---|---|
| CK | Cd5 | Cd20 | Cd50 | Cd100 | Cd200 | Cd400 | |
| Linalool | —— | 0.06 ± 0.01 b | —— | —— | 0.08 ± 0.02 b | 0.07 ± 0.01 b | 0.11 ± 0.02 a |
| Linalool oxide | —— | 0.02 ± 0.01 | —— | —— | —— | —— | 0.03 ± 0.01 |
| Rose oxide | —— | 1.08 ± 0.06 c | 1.23 ± 0.05 b | 1.04 ± 0.03 c | 0.89 ± 0.02 d | —— | 6.62 ± 0.11 a |
| Trans-rose oxide | 0.5 ± 0.1 b | —— | —— | —— | —— | 0.6 ± 0.1 a | —— |
| Phenethyl alcohol | 33.4 ± 1.73 c | 45.76 ± 1.48 a | 41.89 ± 1.47 b | 35 ± 1.00 c | 33.26 ± 1.48 c | 39.74 ± 0.55 b | 33.2 ± 0.55 c |
| Citronellol | 26.17 ± 0.33 b | 11.45 ± 0.18 g | 22.01 ± 0.50 d | 28.19 ± 0.33 a | 24.38 ± 0.66 c | 17.2 ± 0.31 f | 20.59 ± 0.85 e |
| (R)-Citronellol | —— | 1.52 ± 0.07 b | 1.77 ± 0.05 a | 0.02 ± 0.01 d | 0.04 ± 0.01 d | 1.01 ± 0.06 c | —— |
| Geraniol | —— | 0.76 ± 0.07 c | 0.16 ± 0.01 d | 2.01 ± 0.09 b | —— | —— | 2.81 ± 0.06 a |
| Nerol | —— | 0.13 ± 0.01 c | —— | 2.07 ± 0.06 a | —— | 1.89 ± 0.02 b | 0.07 ± 0.01 d |
| Citronella acetate | 1.92 ± 0.09 cd | 2.02 ± 0.12 c | 1.83 ± 0.08 d | 2.48 ± 0.04 b | 3.64 ± 0.11 a | 1.91 ± 0.02 cd | 1.03 ± 0.02 e |
| Geranyl acetate | 0.82 ± 0.04 a | 0.46 ± 0.03 bc | 0.4 ± 0.1 c | 0.44 ± 0.01 c | 0.53 ± 0.01 b | 0.23 ± 0.02 d | 0.09 ± 0.01 e |
| Eugenol | 0.54 ± 0.06 f | 0.39 ± 0.02 g | 0.95 ± 0.02 c | 0.84 ± 0.04 d | 1.37 ± 0.08 b | 3.59 ± 0.02 a | 0.7 ± 0.1 e |
| Methyl eugenol | 1.49 ± 0.03 b | 0.24 ± 0.03 f | 0.86 ± 0.02 d | 3.17 ± 0.02 a | 0.84 ± 0.04 d | 1.05 ± 0.03 c | 0.39 ± 0.04 e |
| Citral | —— | —— | 0.58 ± 0.03 a | 0.42 ± 0.04 b | 0.32 ± 0.04 c | 0.34 ± 0.01 c | —— |
| Benzaldehyde | 0.11 ± 0.02 ab | 0.14 ± 0.01 a | 0.06 ± 0.01 c | 0.08 ± 0.01 c | 0.06 ± 0.05 c | 0.06 ± 0.05 c | 0.05 ± 0.04 c |
| Benzyl alcohol | 0.47 ± 0.03 c | 0.53 ± 0.04 abc | 0.54 ± 0.06 abc | 0.59 ± 0.05 a | 0.48 ± 0.05 bc | 0.55 ± 0.03 ab | 0.2 ± 0.00 d |
Disclaimer/Publisher’s Note: The statements, opinions and data contained in all publications are solely those of the individual author(s) and contributor(s) and not of MDPI and/or the editor(s). MDPI and/or the editor(s) disclaim responsibility for any injury to people or property resulting from any ideas, methods, instructions or products referred to in the content. |
© 2025 by the authors. Licensee MDPI, Basel, Switzerland. This article is an open access article distributed under the terms and conditions of the Creative Commons Attribution (CC BY) license (https://creativecommons.org/licenses/by/4.0/).
Share and Cite
Ma, Y.; Lin, X.-Z.; Liu, R.-F.; Wu, L.-L.; Li, J.-A. Analysis of Plant Growth and Flower Aromatic Composition in Chinese Rosa rugosa Cultivars Under Cadmium Stress. Horticulturae 2025, 11, 214. https://doi.org/10.3390/horticulturae11020214
Ma Y, Lin X-Z, Liu R-F, Wu L-L, Li J-A. Analysis of Plant Growth and Flower Aromatic Composition in Chinese Rosa rugosa Cultivars Under Cadmium Stress. Horticulturae. 2025; 11(2):214. https://doi.org/10.3390/horticulturae11020214
Chicago/Turabian StyleMa, Ying, Xi-Zhu Lin, Rui-Feng Liu, Ling-Li Wu, and Jian-An Li. 2025. "Analysis of Plant Growth and Flower Aromatic Composition in Chinese Rosa rugosa Cultivars Under Cadmium Stress" Horticulturae 11, no. 2: 214. https://doi.org/10.3390/horticulturae11020214
APA StyleMa, Y., Lin, X.-Z., Liu, R.-F., Wu, L.-L., & Li, J.-A. (2025). Analysis of Plant Growth and Flower Aromatic Composition in Chinese Rosa rugosa Cultivars Under Cadmium Stress. Horticulturae, 11(2), 214. https://doi.org/10.3390/horticulturae11020214
