Next Article in Journal
Analysis of Plant Growth and Flower Aromatic Composition in Chinese Rosa rugosa Cultivars Under Cadmium Stress
Next Article in Special Issue
Synergistic Biofertilization by Marine Streptomyces sp. and Leonardite Enhances Yield and Heatwave Resilience in Tomato Plants
Previous Article in Journal
Technological Innovations in Urban and Peri-Urban Agriculture: Pathways to Sustainable Food Systems in Metropolises
 
 
Font Type:
Arial Georgia Verdana
Font Size:
Aa Aa Aa
Line Spacing:
Column Width:
Background:
Article

Ecological Pea Production in Hungary: Integrating Conservation Tillage with the Application of Rhizobium spp., Ensifer spp., Pseudomonas spp., and Bacillus spp. Bacterial Inoculants for Sustainable Farming

by
Jana Marjanović
1,*,
Abdulrahman Maina Zubairu
1,2,
Sandor Varga
3,
Shokhista Turdalieva
4,
Réka Erika Döbröntey
1,
Mária Ágnes Fodor
1 and
Apolka Ujj
5,*
1
Doctoral School of Environmental Sciences, Hungarian University of Agriculture and Life Sciences, Páter Károly u. 1, 2100 Gödöllő, Hungary
2
Department of Soil Science, University of Maiduguri, Maiduguri Bama Road, PMB 1069, Maiduguri 600104, Nigeria
3
Agrova Ltd., Kossuth tér 6. I/2., 4400 Nyíregyháza, Hungary
4
Institute of Crop Science, Hungarian University of Agriculture and Life Sciences, Páter Károly u. 1, 2100 Gödöllő, Hungary
5
Institute of Rural Development and Sustainable Economy, Hungarian University of Agriculture and Life Sciences, Páter Károly u. 1, 2100 Gödöllő, Hungary
*
Authors to whom correspondence should be addressed.
Horticulturae 2025, 11(2), 213; https://doi.org/10.3390/horticulturae11020213
Submission received: 29 December 2024 / Revised: 8 February 2025 / Accepted: 13 February 2025 / Published: 17 February 2025

Abstract

This study examines the impact of agroecological practices on soil quality and crop yields in small-scale farming, focusing on the combination of microbial soil inoculation, crop rotation, and conservation tillage methods. Conducted at the SZIA Agroecological Garden MATE in Gödöllő, Hungary, the experiment used 12 plots, employing various conservation tillage techniques, including soil loosening with and without microbial inoculants, as well as no-till systems with and without inoculation. Six of the plots were inoculated with beneficial bacteria to enhance nitrogen fixation, phosphorus mobility, nutrient solubilization, phytohormone production, and pathogen suppression. In 2024, peas (Pisum sativum L.) were planted following potatoes in a small-scale market-oriented crop rotation, with the continuous monitoring of crop performance and soil characteristics. This ongoing study focuses on evaluating the long-term effects of crop rotation on key agricultural parameters, aiming to optimize practices over time. Statistical analysis (one-way ANOVA) revealed no significant differences across most parameters (p > 0.05), except for total sugar content (p < 0.05), which aligns with expectations given the limited tillage prior to the study. The standard significance level of p < 0.05 was used to balance error risks, ensure adequate statistical power, and maintain consistency with established agricultural research practices. However, the study trends indicated potential long-term benefits, particularly in plots with microbial inoculants, where pea yield and pod size showed improvement compared to non-inoculated and control plots. Microbial inoculants may show long-term effects, as they gradually improve soil health, support microbial communities, and enhance nutrient cycling, which takes time to become noticeable. These findings highlight the potential advantages of combining conservation tillage with microbial inoculants, suggesting that this combination could foster enhanced soil health and productivity over time. The novel setting of this study underscores the importance of long-term monitoring to fully capture the benefits of agroecological interventions, emphasizing their role in achieving sustainable agricultural practices and improving small-scale farming outcomes.

1. Introduction

Peas were first domesticated about ten thousand years ago.
West Asia and North Africa are characterized by diverse climates and soil types, and hence present versatility in production environments [1]. This is especially important in the food system because, besides flexibility, peas contain proteins that have numerous health benefits [2]. This makes them an integral part of the human diet, particularly in parts of the world where protein from animal products is scarce.
As the global population continues to grow, there is increasing demand for food and nutrients. However, this demand often comes at a cost to the soil, as conventional farming practices can lead to soil degradation and reduced fertility over time. To meet future food needs without compromising the health of our ecosystems, it is essential to adopt more sustainable agricultural practices. Thus, conventional farming practices have in recent years been replaced by the culture of sustainable agriculture, of which conservation tillage is now a major focus [3]. Implementing conservation tillage practices has received wide acceptance, especially because conventional tillage practices are seen to have adverse effects on the soil. The conventional tillage system typically involves intense soil disturbance, often through moldboard plowing, which is intended to thoroughly break up the soil to prepare it for planting [4]. Conventional tillage degrades soil by disrupting soil structure, accelerating erosion, and reducing organic matter content through increased oxidation. In contrast, conservation tillage practices, such as no-till or reduced tillage, preserve soil structure, increase water infiltration, and promote the accumulation of organic matter [5,6]. This leads to improved soil health, reduced erosion, and enhanced long-term agricultural sustainability. Hence, the decision to move towards conservation tillage practices resonates with other environmental objectives, primarily climate change mitigation and quality soil management.
Conservation agriculture (CA), which involves practices such as crop rotation, no-tillage, intercropping, and crop–livestock integration, has been proven to enhance soil characteristics and health [7].
Among the CA techniques, no-tillage, as its name implies, is particularly important because its main focus is to meet the conservation agriculture objective of minimum soil disturbance. These conservation practices are associated with the status of the soil, which is greatly affected by microorganisms. In order to maintain healthy, productive soils, soil microorganisms are essential for nutrient cycling, organic matter breakdown, and general soil structure maintenance [8]. Also, CA avoids the use of chemical fertilizers. Chemical fertilizers can have significant negative impacts on soil health and the environment. The overuse of these synthetic inputs can lead to soil degradation, reduced microbial activity, nutrient imbalances, and water pollution through leaching and runoff, while their production contributes to greenhouse gas emissions and climate change [7].
The use of beneficial microbes has taken a central stage in agriculture. When introduced into the soil, some types are capable of modifying the microflora in the soil, enhancing nutrient availability, and in the process improving plant growth [9]. Of them, Rhizobium is unique as the bacterium involved in biological nitrogen fixation, and has a vital function. Beneficial to plant growth and development, it forms root nodules in leguminous plants and fixes atmospheric nitrogen, thus enriching the soil and generally improving its quality [10].
Rhizobium inoculants play a crucial role in promoting nutrient uptake, particularly nitrogen, phosphorus, and potassium (NPK), which enhances plant health and ultimately improves crop yields [11]. What sets Rhizobium species apart is their unique ability to form symbiotic relationships with legumes, creating root nodules where they fix atmospheric nitrogen into a form plants can use [11]. This process is exclusive to rhizobia and some other specialized bacteria, making them invaluable for sustainable agriculture.
In addition to Rhizobium, other beneficial bacteria such as Bacillus, Pseudomonas, and Ensifer can colonize legume nodules endophytically [12]. These non-rhizobial bacteria contribute to plant growth through various mechanisms, including the production of plant hormones, phosphate solubilization, and increased enzyme activities like ACC deaminase. While these bacteria support plant growth and stress tolerance, they do not fix nitrogen as efficiently as Rhizobium species. The combination of nitrogen-fixing rhizobia and these plant growth-promoting bacteria creates a synergistic effect, enhancing overall soil fertility and crop productivity while promoting sustainable agricultural practices [13].
Of all the isolated endophytic bacteria, Bacillus and Pseudomonas are dominant in nodule tissue; their ubiquity coupled with their plant-growth-promoting potential and stress tolerance mark them as useful in sustainable agriculture [14]. The occurrence of these bacteria highlights the possibility of harnessing beneficial microbial associations as a way of enhancing beneficial crop performance, improving soil quality, and reducing dependence on chemical fertilizers.
Immediate actions such as biofertilization are essential for ensuring crop yields and enhancing environmental sustainability, with legumes providing supplementary ecological advantages that bolster agro-system resilience [15]. Integrating conservation and microbiological strategies enables agriculture to transition to more sustainable and resilient systems that enhance soil health while simultaneously boosting productivity and environmental conservation.
Additionally, leguminous crops, such as peas, contribute valuable nitrogen to the soil while offering a range of additional benefits when used in crop rotation systems. When peas are rotated with crops like wheat, they can significantly influence the soil’s microbial communities, fostering a more diverse and active microbial population. This rotation practice enhances soil health by increasing organic matter content and building up essential nutrients, making them readily available to support the growth and establishment of subsequent crops in the rotation cycle [16].
Consequently, this research is essential to assess and improve agroecological practices aimed at enhancing soil quality, augment pea crop yields, and foster sustainability in small-scale farming systems through the integration of conservation tillage and the application of bacterial inoculants from Rhizobium spp., Ensifer spp., Pseudomonas spp., and Bacillus spp. in sustainable agricultural practices in Hungary. The combined use of no-till practices and soil inoculants represents an unexplored frontier in sustainable agriculture, with practical implementation challenges hindering its widespread adoption.
Agriculture today faces critical challenges: feeding a growing population, combating climate change, and preserving soil health. As conventional farming methods show limitations, sustainable practices like microbial inoculants and conservation tillage are gaining attention. Microbial inoculants, beneficial microorganisms applied to soil or plants, offer an eco-friendly alternative to chemical inputs, potentially boosting crop productivity and soil quality. Conservation tillage, which minimizes soil disturbance, aims to maintain soil structure, reduce erosion, and improve water retention [7]. The integration of these two approaches presents a promising strategy to address the complex issues in modern agriculture, potentially optimizing yields, enhancing soil fertility, and reducing environmental impact. This introduction sets the stage for exploring the benefits and applications of microbial inoculants and conservation tillage in sustainable farming.
Evolving agricultural trends and potential subsidies underscore the importance of investigating this combination’s efficacy. The Hungarian Agroecology Program, aligned with the EU’s Farm to Fork strategy, offers financial incentives for farmers employing soil inoculants, further emphasizing the need for research in this area [17].
The objective of this research was to evaluate the synergistic effects of conservation tillage methods and microbial inoculants on agricultural productivity and sustainability. Specifically, this study aimed to assess their impact on crop yield, soil health, nutrient availability, and moisture retention, while also exploring the potential economic benefits for farmers. The hypothesis was that combining these practices would improve crop yields, enhance soil health, increase nutrient availability, and promote better moisture retention compared to conventional farming. Additionally, it was anticipated that these practices would reduce input costs and improve long-term farm productivity.
This study’s long-term effects are expected to contribute to sustainable agriculture and food security by promoting practices that improve soil health and resilience to climate change. By demonstrating the benefits of conservation tillage and microbial inoculants, this research could encourage widespread adoption, resulting in improved yields, enhanced carbon sequestration, and a reduction in agricultural greenhouse gas emissions, all of which support food security and climate change mitigation.

2. Materials and Methods

2.1. Materials

This research involved a diverse range of materials for both gardening and analytical purposes. Pea seeds were sourced from trusted suppliers, while soil bacteria were obtained from Phylazonit Ltd. Soil Inoculant. The bacterial strains introduced included Rhizobium leguminosarum, Ensifer kummerowiae, Pseudomonas putida, Pseudomonas fluorescens, Bacillus megaterium, and Bacillus subtilis. The pea seeds were provided by Rédei Kertimag Zrt in Hungary.
Soil and pea samples were collected and analyzed at MATE University’s accredited laboratory (MATE Agrártudományi Vizsgálólaboratórium HUN) using a coded methodology associated with paid services. The laboratory supplied a comprehensive list of equipment used for the analysis, which is outlined below. The results discussed here focus specifically on air-dried soil samples. The specific equipment used was recommended by the university lab, and these are the standard methods commonly employed in the area where the research was conducted.
The soil samples underwent analysis using a variety of instruments, including the Memmert UFE Ventilation Drying Cabinet (Labexchange, Burladingen, Germany), Retsch SK 100 Soil Grinder (Retsch, Düsseldorf, Germany), Ohaus Adventurer Pro Analytical Balance (Ohaus, Parsippany, NJ, USA), and Ohaus Explorer Pro Tare Balance (Ohaus, Parsippany, NJ, USA). Additionally, measurements of pH and specific conductivity were conducted using the Thermo Scientific Orion 5 Meter (Thermo Fisher Scientific, Waltham, MA, USA), along with analyses performed with the Shimadzu UV-1800 Spectrophotometer (Shimadzu, Kyoto, Japan), FOSS FIAstar 5000 Analyzer (Foss, Hillerød, Denmark), and PerkinElmer Avio 220 Max ICP-OES (PerkinElmer, Shelton, CT, USA).
Pea samples were analyzed using several tools, such as the Prescisa 180A Analytical Balance (Precisa, Dietikon, Switzerland), Thermocenter TC40 Drying Cabinet (SalvisLab, Rotkreuz, Switzerland), and additional analytical balances from OHAUS (Parsippany, NJ, USA). Other instruments included the Foss Tecator Digestor Auto Digestion Block (Hillerød, Denmark), Foss Tecator Scrubber (Foss, Hillerød, Denmark), and Foss Kjeltec 8400 Protein Analyzer (Hillerød, Denmark). The analysis also utilized the Memmert WNB14 Water Bath (Memmert GmbH, Schwabach, Germany), ATAGO AP300 Polarimeter (Tokyo, Japan), Edmund Bühler KS-15 Shaker (Tübingen, Germany), Harry Gestigkeit HD2 Hot Plate (Düsseldorf, Germany), Ceran 500 Hot Plate (Düsseldorf, Germany), Nabertherm P320 Muffle Furnace (Lilienthal, Germany), Solaar M6 Atomic Absorption Spectrophotometer (Thermo Fisher Scientific, Waltham, MA, USA), Harry Gestigkeit ST 03 Sand Bath (Düsseldorf, Germany), and the Shimadzu UV-1800 Spectrophotometer (Kyoto, Japan).
For field measurements throughout the planting, growth, and harvesting of the peas, various tools were employed, including trowels, measuring tapes, leveling tools, weed removal tools, buckets, harvesting implements, containers, bins, calipers, weighing scales, and a broad fork for loosening the soil.

2.2. Methodology

The research commenced with an experimental trial conducted in a garden setting to maintain controlled conditions. It focused on three main practices: soil inoculation, crop rotation, and minimal tillage, each serving distinct purposes. Soil inoculation provided a sustainable alternative to expensive chemical fertilizers, while crop rotation enhanced ecological balance and economic efficiency, adhering to bio-intensive gardening principles. Conventional tilling methods were replaced with alternative soil-loosening techniques and conservation tillage to preserve soil structure and health.
The experiment was carried out at the SZIA Agroecological Garden, MATE, in Gödöllő, Hungary (GPS coordinates: 47.5941° N, 19.3593° E), which was originally established in 2019 in Gödöllő and relocated in 2021 to the Hungarian University of Agriculture and Life Sciences. This garden serves as an educational platform and employment hub for individuals with disabilities and marginalized groups. It hosts various educational programs, volunteer initiatives, school camps, and community events, all promoting eco-friendly living and social inclusion.
Although the study was conducted on small plots, its findings hold potential for broader application. The research was embedded in a working market garden that employed bio-intensive crop rotation practices to meet market-oriented production demands. This approach eliminated the need for artificial pot experiments, allowing for a closer replication of real-world field conditions and enhancing the relevance of the findings for larger-scale agricultural practices.
Preparations for pea cultivation began in February and March of 2023, with planting scheduled for late March 2024. Before the pea planting, potatoes were harvested in 2023, and this transition was carefully planned to ensure smooth implementation. Pea harvesting occurred in mid-June 2024, followed by continued soil improvement efforts, including the application of soil inoculants to introduce beneficial microbes for future plantings. The next phase of the research concentrated on planting and analyzing peas.
The following sections provide detailed descriptions of the sample collection and the measurement of the samples’ physical properties. Lab methods for analyzing the chemical properties of the peas are also discussed. Simultaneously, soil samples were analyzed using specific procedures, testing a variety of parameters in the lab. After the data were collected, they were put into box plot diagrams and subjected to statistical analysis. The one-way Analysis of Variance (ANOVA) method, utilizing the R programming language, was employed to conclude on the trends in the data. Each step of this process is thoroughly explained in the subsequent sections.

2.2.1. Research Field Design at the SZIA Agroecological Garden, MATE, Gödöllő

As previously mentioned, the practical phase of this research was conducted at the SZIA Agroecological Garden, MATE, in Gödöllő, Hungary. In March 2024, the experimental field was organized into 12 distinct plots, each separated and randomized to prevent the cross-contamination of microbial treatments. A randomized complete block design (RCBD) was used in this study to enhance the precision of the results by accounting for environmental variation, particularly for the microbial treatment studies, as it effectively controls potential soil fertility gradients and moisture differences.
Additional beds between the plots provided further separation, which was essential for maintaining the integrity of the experiment, which focused on evaluating the effects of different tillage methods, particularly comparing no-tillage and loosening techniques.
The experiment was conducted using a randomized complete block design with a split-plot arrangement and was replicated three times. Four treatment groups were established, with replications as follows:
  • A− (loosening without microbes): This group involved loosening the soil without any microbial additions.
  • A+ (loosening with microbes): In this group, loosening techniques were applied alongside the introduction of microbial inoculants.
  • B− (no-tillage without microbes—control): This treatment maintained the soil in a no-tillage state, without introducing any microbial agents, serving as a control.
  • B+ (no-tillage with microbes): This treatment presented no-tillage practices that were implemented while microbial agents were introduced to assess their effects on soil conditions.
The study began with the systematic implementation of specific tillage methods for each plot, following the guidelines of their respective treatment groups. Each treatment was applied with attention to consistency and accuracy in the field. A visual representation of the study’s layout can be found in Figure 1.
Each plot measured 80 cm in width and 3 m in length, ensuring a standardized design across all treatments. This uniformity facilitated accurate and consistent data collection throughout the experiment.
The specified tillage methods were implemented within each plot to ensure precision in the treatment execution. The primary objective was to evaluate how these practices influenced soil dynamics, with particular emphasis on the growth and development of peas under the various conditions.
Two rows of seeds were planted within each research bed, with 25 cm spacing between the individual seed holes. The seeds were sown on 28 March 2024, at a depth of 5 cm, and inoculant was applied to each seed hole.

2.2.2. Enhancing Pea Cultivation with Microorganisms: The Advantages of Soil Inoculants

This research focused on the use of Phylazonit Soil Inoculant, which is rich in beneficial bacteria, during the planting of peas. The primary aim was to assess its effects on nutrient release, pea plant growth, and overall soil quality improvement. The inoculant’s bacteria play a vital role in enhancing the root surface of the pea plants, leading to better nutrient uptake and improved plant health.
In accordance with the Phylazonit Catalogue guidelines [18], the inoculant was applied by mixing it into the planting holes designated for the peas. During the seedbed preparation phase, the inoculant was incorporated into the soil at the appropriate depth for sowing, ensuring effective integration within the planting rows.
Applied bacteria play a significant role in enhancing soil health and promoting plant growth. They facilitate nitrogen fixation, enriching the soil with this essential nutrient, particularly for leguminous plants. Additionally, these bacteria improve nutrient availability and uptake, support root development, and enhance the plant’s resilience to stress and disease. By suppressing harmful pathogens and solubilizing nutrients like phosphorus, applied bacteria contribute to a healthier soil ecosystem. Overall, their presence leads to improved soil fertility and greater agricultural productivity.
To prepare for application, a 5 L batch of the designated inoculating agent was mixed with 5 L of water in the sprayer. For each 2.4 m2 plot, only 15 mL of this blended solution was necessary for effective soil bacteria application. This approach ensured that the substance was utilized efficiently, maximizing its impact on the specific garden area.
In terms of the composition of bacteria, Rhizobium leguminosarum, Ensifer kummerowiae, Pseudomonas putida, Pseudomonas fluorescens, Bacillus megaterium, and Bacillus subtilis were applied. Regarding the ratio, while the specific formulation cannot be disclosed, it can be noted that the first two strains, which act as symbiotic partners, comprised 40% of the mixture. The remaining four strains, known for their soil-regenerating properties, accounted for 60%. See Table 1 for a more detailed explanation.

2.2.3. Procedure for Soil Sampling Following Pea Harvest from 12 Plots

In line with the objectives of the SOILGUARD project and following the Soil Sampling Guidelines under Grant Agreement no. 101000371, the soil sampling procedure is outlined below [19].
Before sampling, all equipment used for soil collection—such as augers, buckets, bags, and labels—was thoroughly cleaned to prevent cross-contamination. The post-harvest soil sampling phase focused on ease of access and stability within the field, with each of the 12 designated plots marked for systematic sampling.
A consistent approach was applied by using a random pattern within each plot, following a zigzag method during sampling. The sampling depth, determined by the pea root zone, allowed for the collection of samples at several points within each plot, effectively capturing the spatial variability.
After collection, soil samples were transferred to clean buckets, where they were homogenized and divided into subsamples for further analysis. Each subsample was labeled with plot-specific information, and meticulous records were kept throughout the process. Each of the 12 zip-lock bags contained 500 g to 1000 g of soil from the plots with varying treatments. The bags were then sealed to maintain sample integrity and promptly transported to the laboratory.
In the laboratory, the samples underwent a detailed analysis of various parameters, as outlined in Table 2.

2.2.4. Measurements of Pea Growth and Post-Harvest Sampling Protocol for Experimental Plots

During the pea growth phase, measurements were conducted in the field to assess key parameters. Each plot was evaluated for average height, average pod length, average number of seeds in the pod, and total harvest in grams (including pods). Data collection involved the use of specific equipment to ensure accuracy and reliability in obtaining measurements from each plot.
After harvesting peas from the 12 plots, a systematic sampling approach was employed using a randomized methodology to enhance the accuracy of the results. Each of the 12 zip-lock bags was filled, considering the high moisture content of the peas, with 250–300 g soil, which was needed for the tests.
In the laboratory, the analysis of various parameters was conducted on the fresh peas according to the specifications outlined in Table 3.

2.2.5. Statistical Evaluation: Analyzing Plots and Techniques Using Box Plots and ANOVA in R

Box plots and one-way ANOVA in the R programming language were used to present the results. ANOVA was selected to compare the means across multiple treatments, while box plots visually display the data distribution, highlighting central tendencies and outliers. The p-value from the ANOVA tests the null hypothesis, which posits that there would be no significant differences between the treatments, specifically comparing no-tillage versus loosening techniques with and without microbial applications. A significance level of 0.05 was applied.

3. Results

The following sections present the results, focusing on the physical properties of the peas measured in the field, as well as the chemical properties of both the peas and the soil analyzed in the laboratory.

3.1. Results for Physical Properties of Peas

Table 4 presents comprehensive measurements from the different plots, labeled as A− (loosening without microbes), B− (no-tillage without microbes), A+ (loosening with microbes), and B+ (no-tillage with microbes). The assessed parameters include average plant height, average pod length, average number of seeds per pod, and total harvest weight (including pods) in grams.
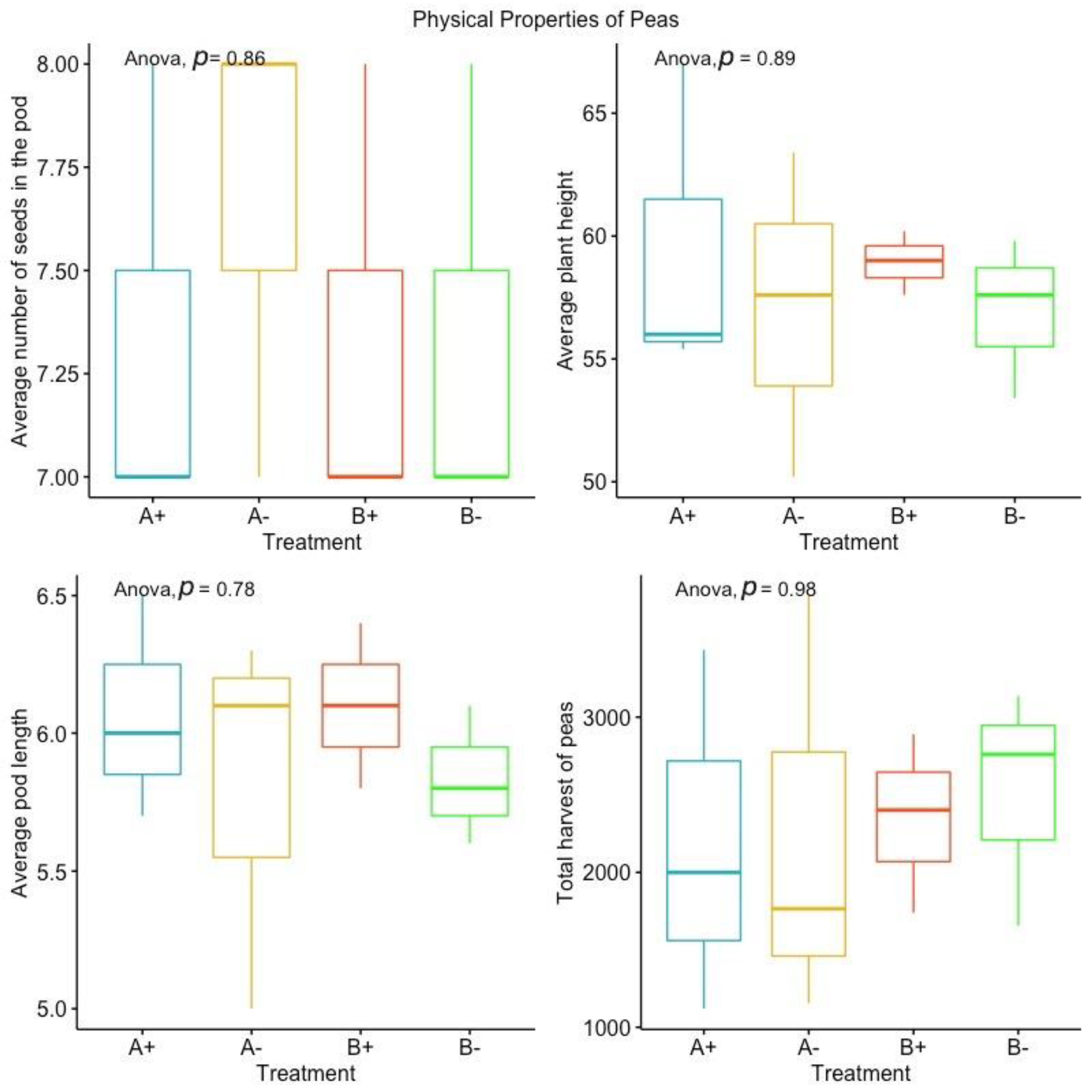
Figure 2 summarizes the physical properties of peas using box plots generated through one-way ANOVA in R statistical software (R-4.4.2). This analysis evaluates the p-values for the different physical properties, offering a statistical assessment of the data.

3.2. Results for Chemical Properties of the Soil

Table 5 presents comprehensive measurements from the different plots, labeled as A− (loosening without microbes), B− (no-tillage without microbes), A+ (loosening with microbes), and B+ (no-tillage with microbes). The presented parameters include soil plasticity according to Arany, organic matter (%), P2O5 (mg/kg), K2O (mg/kg), CaCO3 (m/m%), pH (KCl), and Mg (mg/kg).
Figure 3 summarizes these chemical properties of the soil using box plots generated through one-way ANOVA in R statistical software. This analysis evaluates the p-values for the different soil properties, offering a statistical assessment of the data.
Table 6 presents comprehensive measurements from the different plots, labeled as A− (loosening without microbes), B− (no-tillage without microbes), A+ (loosening with microbes), and B+ (no-tillage with microbes). The presented parameters include Zn (mg/kg), Cu (mg/kg), Mn (mg/kg), (NO2− + NO3−) − N (mg/kg), Na (mg/kg), SO4 (mg/kg), all water-soluble salts (m/m%), and pH (H2O).
Figure 4 summarizes these chemical properties of the soil using box plots generated through one-way ANOVA in R statistical software. This analysis evaluates the p-values for the different soil properties, offering a statistical assessment of the data.

3.3. Results for Chemical Properties of Peas

Table 7 presents comprehensive measurements from the different plots, labeled as A− (loosening without microbes), B− (no-tillage without microbes), A+ (loosening with microbes), and B+ (no-tillage with microbes). The presented parameters include the following chemical properties of the peas: moisture content %, raw protein content %, phosphorus content g/kg, potassium content g/kg, chlorophyll content mg/100 g, starch content %, and total sugar content %.
Figure 5 summarizes the chemical properties of the peas using box plots generated through one-way ANOVA in R statistical software. This analysis evaluates the p-values for the different soil properties, offering a statistical assessment of the data.

4. Discussion

This study analyzes the physical properties of peas, giving an overview of the effects of different soil management practices on pea plant growth, pod development, seed count, and overall yield.
The data show that treatments involving soil loosening (A+ and A−) resulted in greater average heights of peas compared to no-tillage treatments (B+ and B−). Specifically, the A+ plots had the highest average height, indicating that soil loosening, particularly when combined with microbial inoculation, promotes better plant growth than the no-tillage treatments. Soil loosening and microbial inoculants work synergistically to enhance soil health and plant growth. Loosening the soil improves aeration and water infiltration, creating a more favorable environment for beneficial microorganisms to thrive. Simultaneously, microbial inoculants introduce beneficial microbes that can more effectively colonize the loosened soil, enhancing nutrient cycling, organic matter decomposition, and plant root development. This complementary approach can lead to improved soil structure, increased nutrient availability, and ultimately better crop performance.
Many studies—specifically the research by Ejaz et al., 2020 [20]—have shown that plant-growth-promoting rhizobacteria has a notable impact on plant height. Additionally, as shown in the research table of Pattnaik et al., 2019 [21], the direct promotion of plant growth by bacteria was influenced by all inoculated species, particularly Rhizobium spp., Pseudomonas spp., and Bacillus spp. Conversely, the B+ and B− treatments consistently displayed lower average heights, with the lowest being 50.2 cm in one of the B+ treatments, which may reflect the adverse effects of soil compaction and reduced aeration on root development and nutrient uptake.
In terms of pod length, the A+ plots again outperformed the B treatments. The A+ plots averaged pod lengths of 6.5 cm and 5.7 cm (A + 2 and A + 1, respectively), while the B treatments showed lower average pod lengths (ranging from 5 cm to 6.3 cm). This trend underscores the potential of soil loosening and microbial activity in enhancing pod development, possibly through improved root systems that can access nutrients and water more effectively. Pod length in peas is closely linked to nutrient uptake and water retention mechanisms. Improved nutrient uptake, particularly of nitrogen, phosphorus, and potassium, tends to increase pod length, while enhanced water retention through mechanisms like increased root growth and stomatal regulation can help maintain pod development under water stress conditions. According to the research of Dawa et al., 2014 [15], the use of bio-fertilizers significantly affects pod length, among other parameters. Specifically, the treatment involving dual inoculation (both seeds and soil) resulted in the maximum pod length, followed by the treatment where only seeds were inoculated prior to sowing. On the other hand, the control treatment, which did not use bio-fertilizer, yielded the lowest pod length.
The average number of seeds per pod also reflects significant trends influenced by the treatment types. A+ plots generally produced more seeds per pod, with the replications averaging eight seeds each. In contrast, the B+ treatment exhibited variable results, with average seed counts reaching seven seeds per pod, indicating that microbial inoculation can further enhance reproductive success when combined with soil loosening. According to the study by Dawa et al., 2014 [15], the optimal seed count in a pea pod typically ranges from 6 to 8 seeds, with some varieties producing up to 9 or 10 peas per pod. In the same research mentioned above (Dawa et al., 2014 [15]), the research findings indicate that the number of seeds per pod was significantly influenced by the application of bio-fertilizers, and the highest number of seeds per pod was observed in the treatment with dual inoculation (seeds and soil).
The total harvest weights correlate with the observed trends in height, pod length, and seed count. The highest total yield was recorded in the A+ treatment, totaling 3435 g, while the B+ plots yielded significantly lower weights, emphasizing the beneficial impact of both loosening and microbial inoculation. The research by Dawa et al., 2014 [15], highlights that the use of inoculants significantly boosts pea yield. Similarly, the findings of Mahmoud et al., 2023 [22], demonstrate that microbial inoculation, particularly with Azotobacter and Bacillus species, enhances crop productivity and soil health. These studies suggest that microbial inoculants offer a promising, sustainable alternative to chemical fertilizers, benefiting both agriculture and the environment. Microbial inoculants can influence the total harvest weights of peas at a biochemical level by enhancing nutrient uptake and promoting plant growth. These inoculants, particularly those containing nitrogen-fixing bacteria like Rhizobium and growth-promoting bacteria such as Bacillus species, can increase chlorophyll content, improve carbohydrate metabolism, and enhance the production of phytohormones, ultimately leading to increased biomass and yield in pea crops.
For context, the overall average yield of A treatments (A+ and A−) surpassed that of B treatments (B+ and B−), reinforcing the conclusion that soil disturbance and microbial activity are critical for optimizing pea yields. Comparatively, A+ treatments consistently yielded superior growth metrics across the board, indicating a synergistic effect of microbial activity in tandem with soil loosening. A− treatments, while showing some beneficial effects, fell short of A+ outcomes, suggesting that the presence of beneficial microbes plays a vital role in plant health and productivity. The B treatments, particularly B− (no-till without microbes), demonstrated the lowest growth metrics in the first five years, reflecting the detrimental effects of soil compaction typically associated with no-tillage practices. However, this trend changes over time, suggesting that the long-term effects of no-tillage may differ as soil conditions improve.
The analysis of the chemical properties of peas, influenced by different soil treatments, reveals interesting trends that enhance our understanding of plant growth dynamics.
Among the treatments examined, loosening the soil with microbial application (A+) consistently yielded higher moisture content compared to the other treatments. This is particularly evident in the A treatment group, where moisture levels reach up to 75.3%. The presence of microbes in treatment B+ does contribute to a modest increase in moisture content, indicating that microbial activity plays a role in enhancing soil health, even in minimally disturbed environments. This highlights the potential of integrating microbial inoculation in no-tillage systems to boost water retention and overall plant vitality. However, according to Ganjloo et al., 2018 [23], several physical properties of pea seeds were evaluated across a range of moisture contents, from 75.15% (freshly harvested peas) to 15.21% (after drying). These data reflect the general trends observed in the literature, but it is important to note that these findings do not necessarily correlate with microbial content, as the moisture levels were quite similar across the different treatments.
Regarding raw protein content, the data suggest a subtle decline across the treatments, with the highest protein levels (10.1%) recorded in the B− treatment. This finding implies that the no-tillage approach may favor protein accumulation due to improved nutrient availability and root penetration in less disturbed soils. Conversely, the A treatments, particularly the A+ treatments, showed slightly lower protein content, which could indicate that the disturbance associated with soil loosening might affect nutrient uptake negatively. However, in the study by Sw et al., 2016 [24], it was found that no-tillage systems did not lead to a reduction in protein content in pea grains. The research revealed that protein yield was directly correlated with grain yield, and was not influenced by the type of tillage used.
Phosphorus content remains relatively consistent across the samples, with most treatments maintaining levels around 1.5 g/kg. This may be explained by the fact that phosphorus levels in peas may remain consistent across treatments despite variations in soil management practices due to the plant’s ability to efficiently remobilize P from older tissues to younger tissues, particularly during the reproductive growth stages. However, the no-tillage treatments, especially B+, exhibited a slight advantage, suggesting that minimal soil disturbance may optimize phosphorus retention and availability. This finding aligns with the broader understanding of nutrient cycling in agricultural practices, emphasizing the importance of soil management in promoting nutrient accessibility for plants. Potassium content demonstrates variability among treatments, with higher levels observed in both the A+ (3.4 g/kg) and B+ (3.6 g/kg) treatments. This trend suggests that microbial activity plays a crucial role in enhancing potassium availability, likely through the breakdown of organic matter and mineral weathering processes. As highlighted in the research by Quddus et al., 2024 [25], Rhizobium inoculants can directly enhance plant metabolism by solubilizing phosphates and producing hormones, which in turn promote plant growth and improve crop yields. Furthermore, over time, the application of microbes has been shown to increase the potassium content in seeds, according to Quddus et al., 2024 [25].
Chlorophyll content, an essential indicator of photosynthetic efficiency, showed higher levels in treatments A− (21.85 mg/100 g) and B− (22.8 mg/100 g). These results suggest that conservation tillage positively influences chlorophyll production, thereby enhancing the photosynthetic capacity of plants. As suggested by the research of Rangappa et al., 2024 [26], pea plants demonstrated higher photosynthetic rates, leaf relative water content, and stomatal conductance under reduced tillage and residue retention conditions compared to conventional tillage (CT) and treatments without residue.
Starch content varied across treatments, with the highest values recorded in the A treatments (7.6% to 8.3%) compared to the B treatments, where starch levels dropped slightly. This pattern suggests that microbial activity’s influence on starch production is complex and may depend on the balance between soil disturbance and nutrient availability. However, in the research by Nikolopoulou et al., 2007 [27], it was shown that environmental factors significantly impact most traits of peas, except for starch content. According to the findings, starch levels appear to remain unaffected by different tillage types or microbial treatments. However, according to the research, environmental factors such as drought stress and temperature can influence starch content in different pea plots. Severe drought conditions have been associated with higher protein concentrations in pea seeds, which may indirectly affect starch content, while variations in temperature and rainfall patterns during critical growth stages can impact overall starch accumulation and composition in pea crops.
Total sugar content remained low across all samples, with values ranging from 1.1% in A+ to 1.8% in B−. Interestingly, the no-tillage treatments exhibited slightly higher total sugar levels, which may reflect enhanced carbon availability and root development in less disturbed soils. The total sugar content was the only parameter that showed a value smaller than 0.05, indicating a significant difference between the treatments. The highest sugar content was observed in the B-1 treatment, which served as the control. Nikolopoulou et al., 2007 [27], explored the impact of environmental factors on soluble sugar content in peas. According to the study, factors such as the cultivated area, the year of cultivation, and their interactions influenced the sucrose levels of peas, for example.
The analysis of soil chemical properties across various treatments reveals interesting trends, emphasizing the crucial role of microbial activity in improving soil quality. Soil chemical properties such as pH, electrical conductivity, cation exchange capacity, and nutrient concentrations significantly influence crop performance. These properties affect nutrient availability, soil microbial activity, and plant root development, which in turn impact crop growth and yield. For instance, soil pH can influence the solubility and uptake of essential nutrients, while cation exchange capacity affects the soil’s ability to retain and supply nutrients to plants.
When assessing soil plasticity, the values remained relatively consistent across treatments, ranging from 28 to 37, based on Arany’s classification. In a study by Dobos et al., 2023 [28], soil plasticity, as classified using Arany’s table, was categorized as sandy loam, with values falling between 30 and 37.
Organic matter content emerges as a crucial factor in determining soil health, with the highest levels recorded in the treatments incorporating microbial activity—A+ (3.61%) and B+ (3.68%). These results indicate that introducing microbes contributes positively to organic matter accumulation, as compared to the lower values observed in treatments A− (2.78%) and B− (3.42%), which lack microbial intervention. Numerous studies highlight this concept of microbes improving organic matter in the soil, including the studies by Cui et al., 2023 [29], and Janati et al., 2023 [30], which showed that applying amendments and microbial agents enhanced soil organic matter content, boosted nutrient levels, and improved enzyme activity.
In terms of nutrient content, phosphorus levels demonstrate significant variation, with the highest concentrations found in treatments A+ (1578 mg/kg) and B+ (1466 mg/kg). This suggests that microbial activity is vital for enhancing phosphorus availability in the soil. The increase in potassium levels in treatment A+ (215 mg/kg) compared to A− (181 mg/kg) further supports the notion that microbial presence aids in potassium retention or availability, which is essential for plant growth. Many studies conducted today report similar trends; for instance, as demonstrated in the research by Janati et al., 2023 [30], microbial inoculation led to an increase in both phosphorus and potassium levels in the soil.
Calcium carbonate levels did not present a clear trend, but showed a notable increase in treatment B− (3.99 m/m%), indicating that no-tillage methods may contribute to soil stabilization. Furthermore, the pH levels remained relatively neutral across all treatments, averaging around 7, suggesting that neither loosening nor tillage practices significantly alter soil acidity or alkalinity. This neutrality is beneficial for nutrient solubility and availability, providing an optimal environment for plant growth.
Micronutrients also reflect variations associated with microbial activity. Magnesium content peaked in treatment B+ (203 mg/kg), highlighting the potential benefits of no-tillage combined with microbial action in enhancing magnesium availability. Zinc levels were notably higher in treatment A+ (41.10 mg/kg), underscoring the importance of microbial activity in facilitating micronutrient retention. Similarly, copper and manganese levels were enhanced in treatments with microbial interventions, suggesting that these elements are more readily available in such environments. According to the research by Dhaliwal et al., 2019 [31], high levels of soil organic matter (SOM) play a key role in facilitating various biochemical reactions involving micronutrients, leading to the formation of more stable micronutrient complexes. SOM tends to bind more zinc (Zn), copper (Cu), boron (B), and molybdenum (Mo) compared to iron (Fe) and manganese (Mn), as the latter are less sensitive to redox changes. The accumulation of organic matter near the soil surface enhances the transformation of Mn and Fe into more stable, adsorbed forms, which may reduce the availability of Zn, Cu, B, and Mo by redistributing them into other complex fractions. In this context, the increase in SOM not only enhances soil fertility, but also raises the levels of these essential micronutrients. Therefore, microbial inoculation, which promotes SOM accumulation, could be expected to boost the availability of these micronutrients in the soil.
Nitrogen availability, represented by the sum of nitrite and nitrate, revealed substantial improvements in treatments A+ (24.10 mg/kg) and B+ (24.00 mg/kg). This finding indicates that microbial activity plays a critical role in nitrogen mineralization, thereby increasing nitrogen levels in the soil. The research by Janati et al., 2023 [30], demonstrated that microbial inoculation significantly enhanced plant parameters, particularly nitrogen (N) and phosphorus (P) content. The trends in sulfate levels mirror those of nitrogen, with higher values found in microbial treatments, suggesting that microbial activity may also contribute to improved sulfate retention. These findings underscore the importance of incorporating microbial activity into soil management practices. As highlighted in the research by Chaudhary et al., 2023 [32], sulfur is the fifth most abundant chemical element on Earth, primarily found in the form of sulfide and sulfate minerals. The presence of sulfates in soil is crucial for plant health and growth. The application of microbial inoculants has been shown to contribute to an increase in sulfate levels in the soil, enhancing nutrient availability. According to Chaudhary et al., 2023 [32], in sandy loam soil, sulfate retention may be limited due to the soil’s lower cation exchange capacity and higher leaching potential, potentially masking the effects of microbial inoculation on sulfur dynamics. The experimental setup using microbial inoculants might also introduce variability in sulfate retention trends, as the effectiveness of inoculants can be influenced by soil texture and organic matter content, which may not be uniformly distributed in sandy loam soils.
The treatments that included microbes, A+ and B+, demonstrated enhanced nutrient availability, organic matter content, and overall soil health compared to their non-microbial counterparts. These insights provide a foundation for developing sustainable soil management practices aimed at optimizing nutrient availability and promoting soil health, ultimately leading to improved crop production. Future research should delve deeper into the long-term impacts of these treatments on soil structure, microbial diversity, and crop yield, further elucidating the relationship between microbial activity and soil health.
The study by Cui et al., 2023 [29], demonstrated that soils treated with amendments and microbial agents experienced significant improvements in key soil properties, including cation exchange capacity (CEC), organic matter content, and the availability of essential nutrients such as nitrogen, phosphorus, and potassium. These benefits were observed in comparison to control and single-plant treatments.
In a similar study conducted by Allaga et al., 2020 [33], in Hungary, comparable findings were reported. Although the outcomes showed no significant differences, notable increases in nutrients such as phosphorus, potassium, and trace elements (including copper and manganese) were found in treated soils. Changes in potassium, sodium, and manganese levels during cultivation were likely a result of improved nutrient uptake or microbial sequestration. While yields in the treated plots were slightly higher, the increase was not statistically significant, and there were no substantial differences in total green mass between the treated and control rows.
Evolving agricultural trends and potential subsidies highlight the critical need for research into the efficacy of combining no-till methods with microbial inoculants, particularly under real-world farming conditions. This study, conducted directly in the field, offers highly relevant insights that can guide agricultural practitioners toward more sustainable practices. As previously mentioned, the Hungarian Agroecology Program, which aligns with the EU’s Farm to Fork strategy, provides financial incentives to farmers who use soil inoculants. This program reinforces the significance of this research, as it offers an opportunity to explore practices that are not only ecologically beneficial, but also economically viable for farmers. By investigating the synergies between no-till farming and microbial inoculants, this study aims to assess whether such an integrated approach can yield both agronomic and economic benefits for farmers.
For small-scale farmers in Hungary, the potential advantages of adopting these practices are substantial. Economically, using conservation tillage alongside microbial inoculants could result in reduced input costs, more stable yields, and access to additional subsidies, all of which are crucial for improving their financial sustainability. Moreover, these practices may contribute to a more resilient agricultural system, reducing the need for external inputs and enhancing long-term productivity. Ecologically, the benefits extend beyond just yield improvements. Conservation tillage, when combined with microbial inoculants, can foster better soil conservation, increase soil organic matter, and enhance biodiversity. Furthermore, these practices contribute to carbon sequestration, mitigating the effects of climate change and supporting the broader goals of sustainable agriculture.
The results of this study underscore the influence of microbial activity and soil management practices on pea plant growth. The treatments that combined conservation tillage with microbial inoculation led to measurable improvements in plant height, pod length, seed count, and overall yield compared to the control group using no-tillage methods.
Although there are concerns that soil inoculation may alter the natural bacterial community in the soil, it is important to highlight that the inoculant used in this study is made up of strains sourced directly from the Carpathian Basin. This means that these strains are native to the area, helping to alleviate worries about introducing foreign species into the ecosystem.
These findings support the growing body of research that suggests the integration of microbial inoculants can enhance nutrient availability, improve moisture retention, and promote soil health. While similar studies from various regions have yielded comparable results, often with no statistically significant differences, the consistency of these findings highlights the need for the continued exploration of microbial–soil interactions. The positive effects observed in this study suggest that such practices could be a valuable tool for improving the sustainability of farming systems worldwide.
Looking ahead, future research should focus on the long-term effects of microbial inoculant application on microbial diversity within agricultural soils. Multi-year field trials are essential to assess how repeated inoculation impacts the composition, stability, and functionality of native soil microbial communities. This research could reveal whether inoculants contribute to the development of microbial resistance or shifts in ecosystem functions, which could have implications for the sustainability of these practices. Additionally, examining the interaction between microbial inoculants and various crop rotation systems could provide critical insights into optimizing sustainable farming practices across different agroecosystems, particularly as climate change and other environmental factors continue to reshape agricultural landscapes.
By addressing these research gaps, this study and future investigations will further inform agricultural practices and policy decisions, helping to guide small-scale farmers in Hungary toward more sustainable and economically viable farming systems. Moreover, this research will contribute to the broader effort of promoting ecological preservation, offering farmers a clear path to improving their economic outcomes while also fostering environmental stewardship in the evolving landscape of sustainable farming.

5. Conclusions

This study highlights the benefits of integrating soil loosening, microbial inoculation, and conservation tillage to improve pea production. The combined approach enhanced plant growth, pod yields, seed counts, moisture retention, potassium availability, and chlorophyll content. While no significant differences were found in most parameters, the study trends suggest that different management strategies influence various crop characteristics. Notably, no-tillage practices increased protein and sugar content, while soil loosening and microbial treatments may lead to even greater improvements.
This study underscores the importance of a balanced soil management approach, where conservation tillage and microbial inoculation work together to promote soil health and crop quality. Microbial treatments enhance nutrient availability and organic matter content, while conservation tillage helps maintain soil structure and supports microbial activity. Together, these practices contribute to healthier soil ecosystems and more sustainable agricultural outcomes.
Future research should explore the most effective microbial strains, the long-term effects of combined treatments on soil health, and their potential across other crops and intensive crop rotation systems. This study offers valuable insights for sustainable farming practices, helping farmers achieve high yields while preserving soil health and environmental resources.

Author Contributions

J.M.: Conceptualization, Software, Formal Analysis, Resources, Writing—Original Draft, Visualization. A.M.Z.: Writing—Original Draft, Visualization. S.V.: Methodology, Resources. S.T.: Investigation, Visualization. R.E.D.: Investigation, Visualization. M.Á.F.: Investigation, Visualization. A.U.: Methodology, Validation, Resources, Writing—Review and Editing. All authors have read and agreed to the published version of the manuscript.

Funding

This research received no external funding.

Data Availability Statement

Data is contained within the article.

Acknowledgments

We express our gratitude to the following individuals and organizations for their significant contributions to this research: Phylazonit Ltd. for generously providing the microbial samples, which were essential to our study. The dedicated staff and volunteers of the SZIA Agroecological Garden for their efforts in maintaining the garden and facilitating our research activities. The Department of Doctoral School of Environmental Sciences at MATE University for their ongoing support and encouragement throughout the research. MATE University’s laboratory for their technical expertise and assistance with laboratory work. Pranchalee Pao for their invaluable R programming skills and support in representing the data, which was instrumental in data analysis and visualization. We are grateful for the support and collaboration of all involved.

Conflicts of Interest

Author Sandor Varga was employed by the company Agrova Ltd. The remaining authors declare that the research was conducted in the absence of any commercial or financial relationships that could be construed as a potential conflict of interest.

References

  1. Tulbek, M.; Lam, R.; Wang, C.; Asavajaru, P.; Lam, A. Pea: A Sustainable Vegetable Protein Crop. In Sustainable Protein Sources; Academic Press: Cambridge, MA, USA, 2016; pp. 145–162. [Google Scholar]
  2. Ge, J.; Sun, C.-X.; Corke, H.; Gul, K.; Gan, R.-Y.; Fang, Y. The health benefits, functional properties, modifications, and applications of pea (Pisum sativum L.) protein: Current status, challenges, and perspectives. Compr. Rev. Food Sci. Food Saf. 2020, 19, 1835–1876. [Google Scholar] [CrossRef] [PubMed]
  3. Singh, D.; Lenka, S.; Lenka, N.K.; Trivedi, S.K.; Bhattacharjya, S.; Sahoo, S.; Saha, J.K.; Patra, A.K. Effect of Reversal of Conservation Tillage on Soil Nutrient Availability and Crop Nutrient Uptake in Soybean in the Vertisols of Central India. Sustainability 2020, 12, 6608. [Google Scholar] [CrossRef]
  4. Tobiašová, E.; Lemanowicz, J.; Dębska, B.; Kunkelová, M.; Sakáč, J. The Effect of Reduced and Conventional Tillage Systems on Soil Aggregates and Organic Carbon Parameters of Different Soil Types. Agriculture 2023, 13, 818. [Google Scholar] [CrossRef]
  5. Szczepanek, M.; Piekarczyk, M.; Błaszczyk, K. Spatial Distribution of Soil Macroelements, Their Uptake by Plants, and Green Pea Yield under Strip-Till Technology. Agronomy 2024, 14, 711. [Google Scholar] [CrossRef]
  6. Lv, L.; Gao, Z.; Liao, K.; Zhu, Q.; Zhu, J. Impact of conservation tillage on the distribution of soil nutrients with depth. Soil Tillage Res. 2023, 225, 105527. [Google Scholar] [CrossRef]
  7. Li, M.; Hu, J.; Lin, X. The roles and performance of arbuscular mycorrhizal fungi in intercropping systems. Soil Ecology Letters 2022, 4, 319–327. Available online: https://journal.hep.com.cn/sel (accessed on 1 December 2024). [CrossRef]
  8. Vieira, M.E.O.; Lopes, L.D.; Costa, F.M.; Talamini, V.; Pacheco, E.P.; Fernandes, M.F. Different no-till grain production systems with Urochloa spp. affect soil microbial community structure, biomass and activity in a tropical Ultisol. Soil Ecol. Lett. 2023, 6, 230191. [Google Scholar] [CrossRef]
  9. Kumawat, K.; Nagpal, S.; Sharma, P. Potential of plant growth-promoting rhizobacteria-plant interactions in mitigating salt stress for sustainable agriculture: A review. Pedosphere 2022, 32, 223–245. [Google Scholar] [CrossRef]
  10. Khiangte, Z.; Kalangutkar, A.; Sinam, V.; Siddique, A. Impact of rhizobium inoculation and boron application on morphological alterations and biochemical triggers in pea (Pisum sativum L.). J. Appl. Nat. Sci. 2023, 15, 69–74. [Google Scholar] [CrossRef]
  11. Basu, A.; Prasad, P.; Das, S.N.; Kalam, S.; Sayyed, R.Z.; Reddy, M.S.; El Enshasy, H. Plant Growth Promoting Rhizobacteria (PGPR) as Green Bioinoculants: Recent Developments, Constraints, and Prospects. Sustainability 2021, 13, 1140. [Google Scholar] [CrossRef]
  12. De Meyer, S.E.; De Beuf, K.; Vekeman, B.; Willems, A. A large diversity of non-rhizobial endophytes found in legume root nodules in Flanders (Belgium). Soil Biol. Biochem. 2015, 83, 1–11. [Google Scholar] [CrossRef]
  13. Kour, D.; Khan, S.S.; Kour, H.; Kaur, T.; Devi, R.; Rai, A.K.; Yadav, A.N. ACC Deaminase Producing Phytomicrobiomes for Amelioration of Abiotic Stresses in Plants for Agricultural Sustainability. J. Plant Growth Regul. 2023, 43, 963–985. [Google Scholar] [CrossRef]
  14. Hnini, M.; Aurag, J. Prevalence, diversity and applications potential of nodules endophytic bacteria: A systematic review. Front. Microbiol. 2024, 15, 1386742. [Google Scholar] [CrossRef] [PubMed]
  15. Dawa, K.; Farid, S.; El-Bauomy, A. Effect of Biofertilizers Inoculation Methods and Some Foliar Application Treatments on Yield and Quality of Pea Plants. J. Plant Prod. 2014, 5, 1759–1775. [Google Scholar] [CrossRef]
  16. Essel, E.; Xie, J.; Deng, C.; Peng, Z.; Wang, J.; Shen, J.; Xie, J.; Coulter, J.A.; Li, L. Bacterial and fungal diversity in rhizosphere and bulk soil under different long-term tillage and cereal/legume rotation. Soil Tillage Res. 2019, 194, 104302. [Google Scholar] [CrossRef]
  17. Hoyk, E.; Szalai, Á.; Palkovics, A.; Farkas, J.Z. Policy Gaps Related to Sustainability in Hungarian Agribusiness Development. Agronomy 2022, 12, 2084. [Google Scholar] [CrossRef]
  18. Phylazonit Technológia—Gazdálkodj Eredményesebben, akár már Holnaptól. 2020. Available online: https://phylazonit.hu/?gad_source=1&gclid=Cj0KCQiAxOauBhCaARIsAEbUSQR854vJ1j0VKMMrfDUaugGH_SJbztHzAAt2pwVKk-shTxwmt3qjaf4aAjafEALw_wcB (accessed on 24 February 2024).
  19. Resources—Soilguard. Available online: https://soilguard-h2020.eu/resources (accessed on 22 February 2024).
  20. Ejaz, S.; Batool, S.; Anjum, M.A.; Naz, S.; Qayyum, M.F.; Naqqash, T.; Shah, K.H.; Ali, S. Effects of inoculation of root-associative Azospirillum and Agrobacterium strains on growth, yield and quality of pea (Pisum sativum L.) grown under different nitrogen and phosphorus regimes. Sci. Hortic. 2020, 270, 109401. [Google Scholar] [CrossRef]
  21. Pattnaik, S.; Mohapatra, B.; Kumar, U.; Pattnaik, M.; Samantaray, D. Microbe-Mediated Plant Growth Promotion: A Mechanistic Overview on Cultivable Plant Growth-Promoting Members BT—Biofertilizers for Sustainable Agriculture and Environment; Giri, B., Prasad, R., Wu, Q.-S., Varma, A., Eds.; Springer International Publishing: Cham, Switzerland, 2019; pp. 435–463. [Google Scholar]
  22. Mahmoud, G.A.; Abeed, A.H.A.; Mostafa, H.H.A.; Abdel Monsef, O. Responses of Pea (Pisum sativum L.) to Single and Consortium Bio-Fertilizers in Clay and Newly Reclaimed Soils. Plants 2023, 12, 3931. [Google Scholar] [CrossRef] [PubMed]
  23. Ganjloo, A.; Bimakr, M.; Zarringhalami, S.; Safaryan, M.J.; Ghorbani, M. Moisture-dependent physical properties of green peas (Pisum sativum L.). Int. Food Res. J. 2018, 25, 1246–1252. [Google Scholar]
  24. Małecka-Jankowiak, I.; Blecharczyk, A.; Swedrzynska, D.; Sawinska, Z.; Piechota, T. The effect of long-term tillage systems on some soil properties and yield of pea (Pisum sativum L.). Acta Sci. Polonorum. Agric. 2016, 8504, 37–50. [Google Scholar]
  25. Quddus, A.; Rahman, A.; Ahmed, R.; Ali, M.E.; Sarker, K.K.; Siddiky, A.; Rahman, M.; Alkeridis, L.A.; Sayed, S.; Gaber, A.; et al. Rhizobium Inoculation and Micronutrient Addition Influence the Growth, Yield, Quality and Nutrient Uptake of Garden Peas (Pisum sativum L.). Phyton-Int. J. Exp. Bot. 2024, 93, 901–922. [Google Scholar] [CrossRef]
  26. Rangappa, K.; Das, A.; Layek, J.; Basavaraj, S.; Debnath, S.; Bhupenchandra, I.; Devi, A.G.; Mohapatra, K.P.; Choudhury, B.U.; Mishra, V.K. Conservation tillage and residue management practices in rice improves stress tolerance of succeeding vegetable pea by regulating physiological traits in Eastern Himalayas. Sci. Hortic. 2024, 327, 112842. [Google Scholar] [CrossRef]
  27. Nikolopoulou, D.; Grigorakis, K.; Stasini, M.; Alexis, M.N.; Iliadis, K. Differences in chemical composition of field pea (Pisum sativum) cultivars: Effects of cultivation area and year. Food Chem. 2007, 103, 847–852. [Google Scholar] [CrossRef]
  28. Dobos, E.; Szabó, E.; Csenki, S.; Menghis, T.B.; Molnár, F.; Dobai, A.; Rajhi, M. Digital soil mapping approach to estimate soil plasticity using georeferenced technical data of tractors. Geosci. Eng. 2023, 11, 59–70. [Google Scholar] [CrossRef]
  29. Cui, X.; Cao, X.; Xue, W.; Xu, L.; Cui, Z.; Zhao, R.; Ni, S.-Q. Integrative effects of microbial inoculation and amendments on improved crop safety in industrial soils co-contaminated with organic and inorganic pollutants. Sci. Total Environ. 2023, 873, 162202. [Google Scholar] [CrossRef]
  30. Janati, W.; Mikou, K.; El Ghadraoui, L.; Errachidi, F. Growth stimulation of two legumes (Vicia faba and Pisum sativum) using phosphate-solubilizing bacteria inoculation. Front. Microbiol. 2023, 14, 1212702. [Google Scholar] [CrossRef] [PubMed]
  31. Dhaliwal, S.S.; Naresh, R.K.; Mandal, A.; Singh, R.; Dhaliwal, M.K. Dynamics and transformations of micronutrients in agricultural soils as influenced by organic matter build-up: A review. Environ. Sustain. Indic. 2019, 1–2, 100007. [Google Scholar] [CrossRef]
  32. Chaudhary, S.; Sindhu, S.S.; Dhanker, R.; Kumari, A. Microbes-mediated sulphur cycling in soil: Impact on soil fertility, crop production and environmental sustainability. Microbiol. Res. 2023, 271, 127340. [Google Scholar] [CrossRef]
  33. Allaga, H.; Bóka, B.; Poór, P.; Nagy, V.D.; Szűcs, A.; Stankovics, I.; Takó, M.; Manczinger, L.; Vágvölgyi, C.; Kredics, L.; et al. A Composite Bioinoculant Based on the Combined Application of Beneficial Bacteria and Fungi. Agronomy 2020, 10, 220. [Google Scholar] [CrossRef]
Figure 1. Layout of the study area in SZIA Garden. Source. Own work.
Figure 1. Layout of the study area in SZIA Garden. Source. Own work.
Horticulturae 11 00213 g001
Figure 2. Summary of the physical properties of peas with p-values as follows: p-value > 0.05—no significant differences between treatments; p-value < 0.05—significant differences between treatments. Source. Own work.
Figure 2. Summary of the physical properties of peas with p-values as follows: p-value > 0.05—no significant differences between treatments; p-value < 0.05—significant differences between treatments. Source. Own work.
Horticulturae 11 00213 g002
Figure 3. Summary of the chemical properties of soil (1/2) with p-values as follows: p-value > 0.05—no significant differences between treatments; p-value < 0.05—significant differences between treatments. Source: Own work.
Figure 3. Summary of the chemical properties of soil (1/2) with p-values as follows: p-value > 0.05—no significant differences between treatments; p-value < 0.05—significant differences between treatments. Source: Own work.
Horticulturae 11 00213 g003
Figure 4. Summary of the chemical properties of soil (2/2) with p-values as follows: p-value > 0.05—no significant differences between treatments; p-value < 0.05—significant differences between treatments. Source: Own work.
Figure 4. Summary of the chemical properties of soil (2/2) with p-values as follows: p-value > 0.05—no significant differences between treatments; p-value < 0.05—significant differences between treatments. Source: Own work.
Horticulturae 11 00213 g004
Figure 5. Summary of the chemical properties of peas with p-values as follows: p-value > 0.05—no significant differences between treatments; p-value < 0.05—significant differences between treatments. Source: Own work.
Figure 5. Summary of the chemical properties of peas with p-values as follows: p-value > 0.05—no significant differences between treatments; p-value < 0.05—significant differences between treatments. Source: Own work.
Horticulturae 11 00213 g005
Table 1. Composition of soil amendment mixture. Source: Phylazonit Catalogue.
Table 1. Composition of soil amendment mixture. Source: Phylazonit Catalogue.
CategoryStrainFunction
Symbiotic Nitrogen Fixers (40%)Rhizobium leguminosarumForms nitrogen-fixing nodules on legumes, enhancing soil fertility and reducing reliance on synthetic fertilizers.
Symbiotic Nitrogen Fixers (40%)Ensifer kummerowiaeNitrogen-fixing bacterium that improves nitrogen availability through its symbiotic relationship with legumes.
Soil-Regenerating Strains (60%)Pseudomonas putidaProduces siderophores for enhanced iron availability and degrades organic compounds, promoting soil health.
Soil-Regenerating Strains (60%)Pseudomonas fluorescensBiocontrol agent against pathogens and phosphate solubilizer, promoting plant health.
Soil-Regenerating Strains (60%)Bacillus megateriumPhosphate solubilizer that enhances phosphorus availability and produces growth-promoting substances.
Soil-Regenerating Strains (60%)Bacillus subtilisSuppresses pathogens and improves soil structure via exopolysaccharide production.
Table 2. Methods of analysis for soil samples. Source: Provided by the university lab.
Table 2. Methods of analysis for soil samples. Source: Provided by the university lab.
Lab Sample NumberTest ParameterMethod
241,959–241,970pH (H2O), pH (KCI)MSZ-08-0206-2:1978 section 2.1.
Soil plasticity according to AranyMSZ-08-0205:1978 section 5.1.
Organic matter contentMSZ-08-0452:1980 sections 2.2., 2.3., 3.1.2.
CaCO3MSZ-08-0206-2:1978 section 2.2.
Water-soluble total salt contentMSZ-08-0206-2:1978 section 2.4.
P2O5 content (AL)MSZ 20135:1999 section 5.1.
K2O content (AL)MSZ 20135:1999 section 5.1.
(NO2 + NO)-N content (KCI)MSZ 20135:1999 section 5.4.3.
Na (AL)MSZ 20135:1999 section 5.1.
Cu (EDTA)MSZ 20135:1999 section 5.1.
Mn (EDTA)MSZ 20135:1999 section 5.1.
Zn (EDTA)MSZ 20135:1999 section 5.1.
Mg (KCI)MSZ 20135:1999 section 5.1
SO4 (KCI)MSZ 20135:1999 section 5.1.
Table 3. Methods of analysis for peas samples. Source: Provided by the university lab.
Table 3. Methods of analysis for peas samples. Source: Provided by the university lab.
Laboratory Sample NumberTest ParameterTest Method
241,971–241,982Moisture contentMSZ ISO 6496:2001
Crude protein contentMSZ EN ISO 5983-2:2009
Potassium contentMSZ EN ISO 6869:2001
Phosphorus contentMSZ ISO 6491:2001
Starch content152/2009/EK III/L
Total sugar contentMSZ 6830-26:1987
Chlorophyll contentAVL_MU N05
Table 4. Summary of the physical properties of the peas. Source: Own work.
Table 4. Summary of the physical properties of the peas. Source: Own work.
Name of the PlotAverage Height in cmAverage Pod Length in cmAverage Number of Seeds in the PodTotal Harvest in g (with Pods)
A+59.476.0782185
B+57.075.8082235
A−58.936.1072343
B−56.935.8382517
Table 5. Lab results for chemical properties of soil (1/2). Source: Own work.
Table 5. Lab results for chemical properties of soil (1/2). Source: Own work.
Name of the Sample
ParameterA+A−B+B−
Soil plasticity according to Arany31.3334.3332.6735.00
Organic matter (%)3.543.923.794.19
P2O5 (mg/kg)1329.671412.331465.331249.67
K2O (mg/kg)151.97155.33120.67109.43
CaCO3 (m/m%)0.533.503.223.99
pH (KCl)6.847.007.056.98
Mg (mg/kg)174.00189.33194.00200.67
Table 6. Lab results for chemical properties of soil (2/2). Source: Own work.
Table 6. Lab results for chemical properties of soil (2/2). Source: Own work.
Name of the Sample
ParameterA+A−B+B−
Zn (mg/kg)25.8735.3730.2327.93
Cu (mg/kg)13.2012.6912.368.94
Mn (mg/kg)90.8397.4096.5384.63
(NO2− + NO3−) − N (mg/kg)19.6019.7317.3016.07
Na (mg/kg)26.0731.2730.4327.60
SO4 (mg/kg)18.2720.0720.8319.77
All water-soluble salts (m/m%)<0.02<0.02<0.02<0.02
pH (H2O)7.137.287.397.26
Table 7. Lab results for chemical properties of peas. Source: Own work.
Table 7. Lab results for chemical properties of peas. Source: Own work.
Name of the SampleMoisture Content %Raw Protein Content %Phosphorus Content g/kgPotassium Content g/kgChlorophyll Content mg/100 gStarch Content %Total Sugar Content %
A+73.207.901.533.3317.147.401.17
A−73.078.131.533.4020.337.471.20
B+74.507.571.503.3319.246.801.27
B−72.378.431.703.6021.307.231.53
Disclaimer/Publisher’s Note: The statements, opinions and data contained in all publications are solely those of the individual author(s) and contributor(s) and not of MDPI and/or the editor(s). MDPI and/or the editor(s) disclaim responsibility for any injury to people or property resulting from any ideas, methods, instructions or products referred to in the content.

Share and Cite

MDPI and ACS Style

Marjanović, J.; Zubairu, A.M.; Varga, S.; Turdalieva, S.; Döbröntey, R.E.; Fodor, M.Á.; Ujj, A. Ecological Pea Production in Hungary: Integrating Conservation Tillage with the Application of Rhizobium spp., Ensifer spp., Pseudomonas spp., and Bacillus spp. Bacterial Inoculants for Sustainable Farming. Horticulturae 2025, 11, 213. https://doi.org/10.3390/horticulturae11020213

AMA Style

Marjanović J, Zubairu AM, Varga S, Turdalieva S, Döbröntey RE, Fodor MÁ, Ujj A. Ecological Pea Production in Hungary: Integrating Conservation Tillage with the Application of Rhizobium spp., Ensifer spp., Pseudomonas spp., and Bacillus spp. Bacterial Inoculants for Sustainable Farming. Horticulturae. 2025; 11(2):213. https://doi.org/10.3390/horticulturae11020213

Chicago/Turabian Style

Marjanović, Jana, Abdulrahman Maina Zubairu, Sandor Varga, Shokhista Turdalieva, Réka Erika Döbröntey, Mária Ágnes Fodor, and Apolka Ujj. 2025. "Ecological Pea Production in Hungary: Integrating Conservation Tillage with the Application of Rhizobium spp., Ensifer spp., Pseudomonas spp., and Bacillus spp. Bacterial Inoculants for Sustainable Farming" Horticulturae 11, no. 2: 213. https://doi.org/10.3390/horticulturae11020213

APA Style

Marjanović, J., Zubairu, A. M., Varga, S., Turdalieva, S., Döbröntey, R. E., Fodor, M. Á., & Ujj, A. (2025). Ecological Pea Production in Hungary: Integrating Conservation Tillage with the Application of Rhizobium spp., Ensifer spp., Pseudomonas spp., and Bacillus spp. Bacterial Inoculants for Sustainable Farming. Horticulturae, 11(2), 213. https://doi.org/10.3390/horticulturae11020213

Note that from the first issue of 2016, this journal uses article numbers instead of page numbers. See further details here.

Article Metrics

Back to TopTop