Physiological and Biochemical Responses of Mentha spp. to Light Spectrum and Methyl Jasmonate in a Controlled Plant Factory Environment
Abstract
1. Introduction
2. Materials and Methods
2.1. Investigation of the Effects of Light Spectra on the Growth of Peppermint Under Controlled Environmental Conditions
2.1.1. Plant Material and Growth Conditions
2.1.2. Spectral Light Conditions
2.1.3. Plant Growth Measurements
2.2. Effects of Foliar-Applied Methyl Jasmonate Under Selected Light Spectrum
2.2.1. Plant Material and Growth Conditions
2.2.2. Cultivation and Treatment
2.2.3. Plant Growth Measurements
2.2.4. Physiological Measurements
2.2.5. Secondary Metabolite Quantification
- Sample extraction
- Determination of total phenolic compounds (TPC)
- Determination of flavonoid content
- DPPH radical scavenging activity
- Determination of Anthocyanin content
2.3. Statistical Analysis
3. Results and Discussion
3.1. Effects of Light Spectrum on the Growth of Peppermint Under Controlled Environmental Conditions
3.1.1. Plant Growth
3.1.2. Biomass Accumulation
3.1.3. Correlation Analysis of the Light Spectrum on the Growth of Peppermint
3.2. Effects of Foliar Application of Methyl Jasmonate at Different Concentrations on Peppermint Under a 1R:1G:1B Spectrum
3.2.1. Plant Growth
3.2.2. Biomass Accumulation
3.2.3. Correlation Analysis of the MeJA Concentrations on the Growth of Peppermint
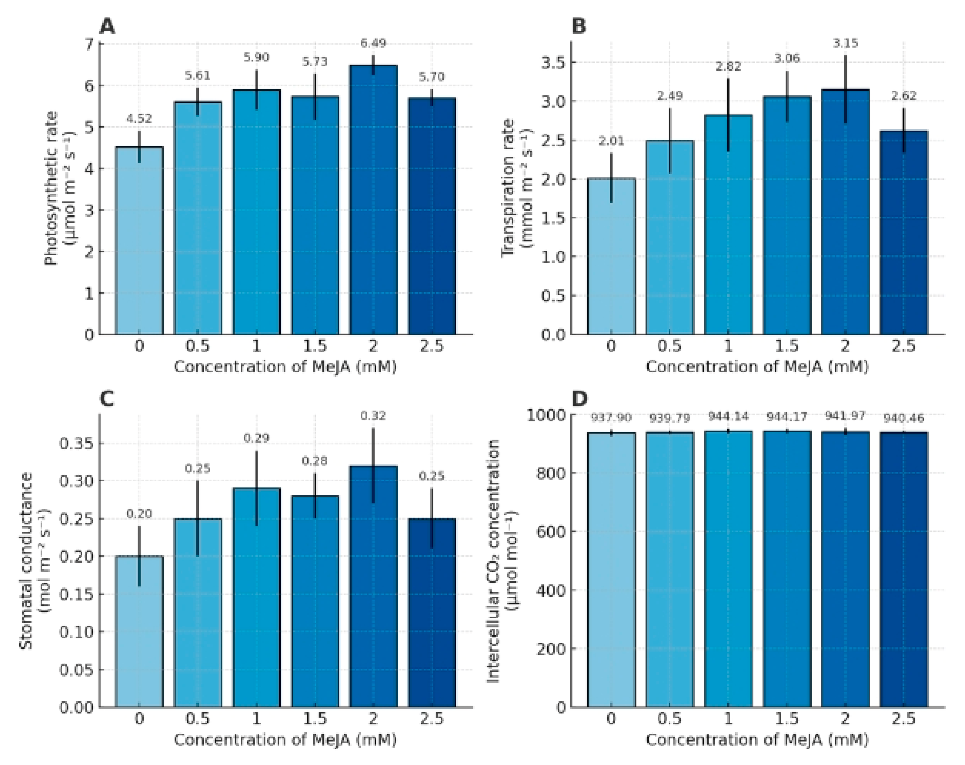
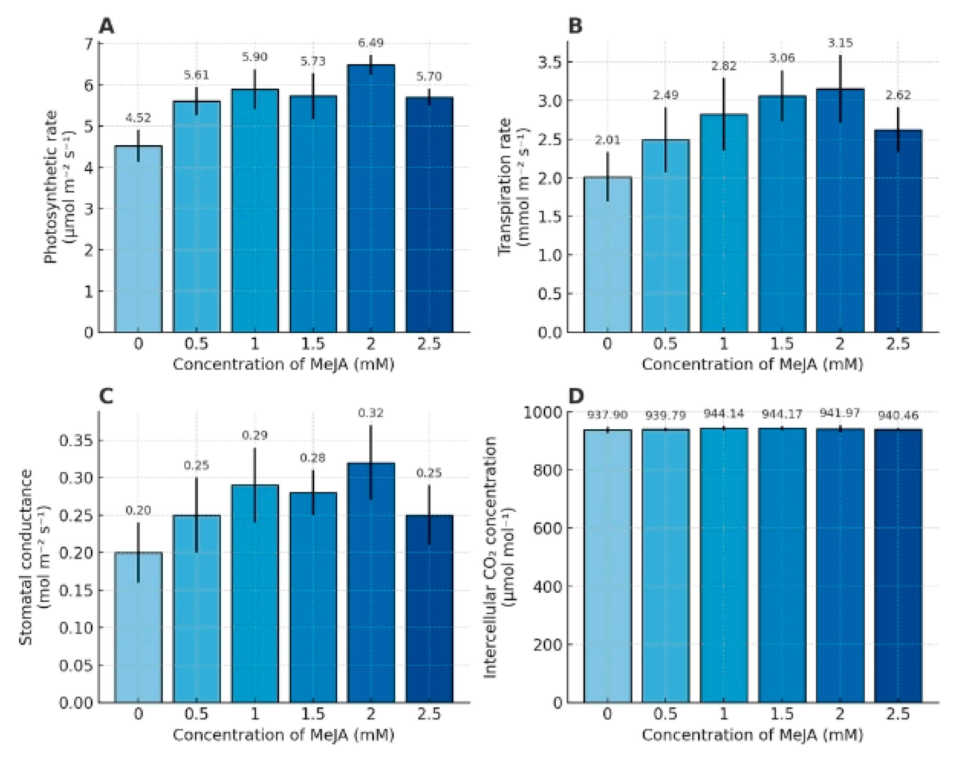
3.2.4. Physiological Responses
3.2.5. Secondary Metabolite Quantification
4. Conclusions
Supplementary Materials
Author Contributions
Funding
Data Availability Statement
Acknowledgments
Conflicts of Interest
References
- Szymczycha-Madeja, A.; Welna, M.; Zyrnicki, W. Multi-element analysis, bioavailability and fractionation of herbal tea products. J. Braz. Chem. Soc. 2013, 24, 777–787. [Google Scholar] [CrossRef]
- Grigoleit, H.-G.; Grigoleit, P. Pharmacology and preclinical pharmacokinetics of peppermint oil. Phytomedicine 2005, 12, 612–616. [Google Scholar] [CrossRef]
- Pytlakowska, K.; Kita, A.; Janoska, P.; Połowniak, M.; Kozik, V. Multi-element analysis of mineral and trace elements in medicinal herbs and their infusions. Food Chem. 2012, 135, 494–501. [Google Scholar] [CrossRef]
- Canter, P.H.; Thomas, H.; Ernst, E. Bringing medicinal plants into cultivation: Opportunities and challenges for biotechnology. Trends Biotechnol. 2005, 23, 180–185. [Google Scholar] [CrossRef]
- Kala, C.P. Problems and prospects in the conservation and development of the Himalayan medicinal plants sector. Int. J. Sustain. Dev. 2006, 9, 370–389. [Google Scholar] [CrossRef]
- Dsouza, A.; Dixon, M.; Shukla, M.; Graham, T. Harnessing controlled-environment systems for enhanced production of medicinal plants. J. Exp. Bot. 2025, 76, 76–93. [Google Scholar] [CrossRef]
- Kozai, T. Resource use efficiency of closed plant production system with artificial light: Concept, estimation and application to plant factory. Proc. Jpn. Academy. Ser. B Phys. Biol. Sci. 2013, 89, 447–461. [Google Scholar] [CrossRef]
- Kozai, T.; Kubota, C.; Chun, C.; Afreen, F.; Ohyama, K. Necessity and Concept of the Closed Transplant Production System; Springer: Dordrecht, The Netherlands, 2000. [Google Scholar]
- Kozai, T. Propagation, grafting and transplant production in closed systems with artificial lighting for commercialization in Japan. Propag. Ornam. Plants 2007, 7, 145–149. [Google Scholar]
- van Grondelle, R.; Boeker, E. Limits on natural photosynthesis. J. Phys. Chem. B 2017, 121, 7229–7234. [Google Scholar] [CrossRef]
- Kume, A. Importance of the green color, absorption gradient, and spectral absorption of chloroplasts for the radiative energy balance of leaves. J. Plant Res. 2017, 130, 501–514. [Google Scholar] [CrossRef]
- Liu, J.; Van Iersel, M.W. Photosynthetic physiology of blue, green, and red light: Light intensity effects and underlying mechanisms. Front. Plant Sci. 2021, 12, 619987. [Google Scholar] [CrossRef]
- González-Aguilar, G.; Tiznado-Hernandez, M.; Zavaleta-Gatica, R.; Martınez-Téllez, M. Methyl jasmonate treatments reduce chilling injury and activate the defense response of guava fruits. Biochem. Biophys. Res. Commun. 2004, 313, 694–701. [Google Scholar] [CrossRef]
- Loreti, E.; Povero, G.; Novi, G.; Solfanelli, C.; Alpi, A.; Perata, P. Gibberellins, jasmonate and abscisic acid modulate the sucrose-induced expression of anthocyanin biosynthetic genes in Arabidopsis. New Phytol. 2008, 179, 1004–1016. [Google Scholar] [CrossRef]
- Shinohara, Y.; Suzuki, Y. Quality improvement of hydroponically grown leaf vegetables. In Proceedings of the Symposium on High Technology in Protected Cultivation 230, Hamamatsu, Japan, 12–15 May 1988; pp. 279–286. [Google Scholar]
- Chutimanukul, P.; Wanichananan, P.; Janta, S.; Toojinda, T.; Darwell, C.T.; Mosaleeyanon, K. The influence of different light spectra on physiological responses, antioxidant capacity and chemical compositions in two holy basil cultivars. Sci. Rep. 2022, 12, 588. [Google Scholar] [CrossRef]
- Chutimanukul, P.; Jindamol, H.; Thongtip, A.; Korinsak, S.; Romyanon, K.; Toojinda, T.; Darwell, C.T.; Wanichananan, P.; Panya, A.; Kaewsri, W.; et al. Physiological responses and variation in secondary metabolite content among Thai holy basil cultivars (Ocimum tenuiflorum L.) grown under controlled environmental conditions in a plant factory. Front. Plant Sci. 2022, 13, 1008917. [Google Scholar] [CrossRef]
- Heo, J.; Lee, C.; Chakrabarty, D.; Paek, K. Growth responses of marigold and salvia bedding plants as affected by monochromic or mixture radiation provided by a light-emitting diode (LED). Plant Growth Regul. 2002, 38, 225–230. [Google Scholar] [CrossRef]
- Johkan, M.; Shoji, K.; Goto, F.; Hashida, S.-n.; Yoshihara, T. Blue Light-emitting Diode Light Irradiation of Seedlings Improves Seedling Quality and Growth after Transplanting in Red Leaf Lettuce. HortScience 2010, 45, 1809–1814. [Google Scholar] [CrossRef]
- Wu, M.-C.; Hou, C.-Y.; Jiang, C.-M.; Wang, Y.-T.; Wang, C.-Y.; Chen, H.-H.; Chang, H.-M. A novel approach of LED light radiation improves the antioxidant activity of pea seedlings. Food Chem. 2007, 101, 1753–1758. [Google Scholar] [CrossRef]
- Behringer, F.J.; Davies, P.J. Indole-3-acetic acid levels after phytochrome-mediated changes in the stem elongation rate of dark- and light-grown Pisum seedlings. Planta 1992, 188, 85–92. [Google Scholar] [CrossRef]
- Brown, C.S.; Schuerger, A.C.; Sager, J.C. Growth and photomorphogenesis of pepper plants under red light-emitting diodes with supplemental blue or far-red lighting. J. Am. Soc. Hortic. Sci. 1995, 120, 808–813. [Google Scholar] [CrossRef]
- Tabbert, J.; Schulz, H.; Krähmer, A. Investigation of LED Light Qualities for Peppermint (Mentha x Piperita L.) Cultivation Focusing on Plant Quality and Consumer Safety Aspects. Front. Food Sci. Technol. 2022, 2, 852155. [Google Scholar] [CrossRef]
- Dou, H.; Niu, G.; Gu, M. Photosynthesis, morphology, yield, and phytochemical accumulation in basil plants influenced by substituting green light for partial red and/or blue light. HortScience 2019, 54, 1769–1776. [Google Scholar] [CrossRef]
- Kim, H.-H.; Goins, G.; Wheeler, R.; Sager, J. Green-light Supplementation for Enhanced Lettuce Growth under Red- and Blue-light-emitting Diodes. HortScience 2004, 39, 1617–1622. [Google Scholar] [CrossRef]
- Wang, J.; Lu, W.; Tong, Y.; Yang, Q. Leaf Morphology, Photosynthetic Performance, Chlorophyll Fluorescence, Stomatal Development of Lettuce (Lactuca sativa L.) Exposed to Different Ratios of Red Light to Blue Light. Front. Plant Sci. 2016, 7, 250. [Google Scholar] [CrossRef]
- Trouwborst, G.; Hogewoning, S.W.; van Kooten, O.; Harbinson, J.; van Ieperen, W. Plasticity of photosynthesis after the ‘red light syndrome’ in cucumber. Environ. Exp. Bot. 2016, 121, 75–82. [Google Scholar] [CrossRef]
- Taiz, L.; Zeiger, E.; Møller, I.M.; Murphy, A.S. Plant Physiology and Development; Sinauer Associates, Inc Publishers: Sunderland, MA, USA, 2015. [Google Scholar]
- Franklin, K.A.; Whitelam, G.C. Light-quality regulation of freezing tolerance in Arabidopsis thaliana. Nat. Genet. 2007, 39, 1410–1413. [Google Scholar] [CrossRef]
- Hogewoning, S.W.; Trouwborst, G.; Maljaars, H.; Poorter, H.; van Ieperen, W.; Harbinson, J. Blue light dose–responses of leaf photosynthesis, morphology, and chemical composition of Cucumis sativus grown under different combinations of red and blue light. J. Exp. Bot. 2010, 61, 3107–3117. [Google Scholar] [CrossRef]
- Gutiérrez-Boem, F.H.; Thomas, G.W. Phosphorus nutrition affects wheat response to water deficit. Agron. J. 1998, 90, 166–171. [Google Scholar] [CrossRef]
- Terashima, I.; Fujita, T.; Inoue, T.; Chow, W.S.; Oguchi, R. Green light drives leaf photosynthesis more efficiently than red light in strong white light: Revisiting the enigmatic question of why leaves are green. Plant Cell Physiol. 2009, 50, 684–697. [Google Scholar] [CrossRef]
- Smith, H.L.; McAusland, L.; Murchie, E.H. Don’t ignore the green light: Exploring diverse roles in plant processes. J. Exp. Bot. 2017, 68, 2099–2110. [Google Scholar] [CrossRef]
- Schilmiller, A.L.; Koo, A.J.; Howe, G.A. Functional diversification of acyl-coenzyme A oxidases in jasmonic acid biosynthesis and action. Plant Physiol. 2007, 143, 812–824. [Google Scholar] [CrossRef]
- Sembdner, G.; Parthier, B. The biochemistry and the physiological and molecular actions of jasmonates. Annu. Rev. Plant Biol. 1993, 44, 569–589. [Google Scholar] [CrossRef]
- Wasternack, C.; Hause, B. Jasmonates: Biosynthesis, perception, signal transduction and action in plant stress response, growth and development. An update to the 2007 review in Annals of Botany. Ann. Bot. 2013, 111, 1021–1058. [Google Scholar] [CrossRef]
- Ghasemzadeh, A.; Jaafar, H.Z.; Rahmat, A.; Wahab, P.E.M.; Halim, M.R.A. Effect of different light intensities on total phenolics and flavonoids synthesis and anti-oxidant activities in young ginger varieties (Zingiber officinale Roscoe). Int. J. Mol. Sci. 2010, 11, 3885–3897. [Google Scholar] [CrossRef]
- Zhang, H.; Hedhili, S.; Montiel, G.; Zhang, Y.; Chatel, G.; Pré, M.; Gantet, P.; Memelink, J. The basic helix-loop-helix transcription factor CrMYC2 controls the jasmonate-responsive expression of the ORCA genes that regulate alkaloid biosynthesis in Catharanthus roseus. Plant J. 2011, 67, 61–71. [Google Scholar] [CrossRef]
- Wu, J.; Chen, Y.; Xu, Y.; An, Y.; Hu, Z.; Xiong, A.; Wang, G. Effects of jasmonic acid on stress response and quality formation in vegetable crops and their underlying molecular mechanisms. Plants 2024, 13, 1557. [Google Scholar] [CrossRef]
- Ali, M.B.; Singh, N.; Shohael, A.M.; Hahn, E.J.; Paek, K.-Y. Phenolics metabolism and lignin synthesis in root suspension cultures of Panax ginseng in response to copper stress. Plant Sci. 2006, 171, 147–154. [Google Scholar] [CrossRef]
- Song, Q.; Gong, W.; Yu, X.; Ji, K.; Jiang, Y.; Chang, Y.; Yuan, D. Transcriptome and Anatomical Comparisons Reveal the Effects of Methyl Jasmonate on the Seed Development of Camellia oleifera. J. Agric. Food Chem. 2023, 71, 6747–6762. [Google Scholar] [CrossRef]
- Yin, Y.; Yang, T.; Li, S.; Li, X.; Wang, W.; Fan, S. Transcriptomic analysis reveals that methyl jasmonate confers salt tolerance in alfalfa by regulating antioxidant activity and ion homeostasis. Front. Plant Sci. 2023, 14, 1258498. [Google Scholar] [CrossRef]
- Zaid, A.; Mohammad, F. Methyl jasmonate and nitrogen interact to alleviate cadmium stress in Mentha arvensis by regulating physio-biochemical damages and ROS detoxification. J. Plant Growth Regul. 2018, 37, 1331–1348. [Google Scholar] [CrossRef]
- Li, C.; Wang, P.; Menzies, N.W.; Lombi, E.; Kopittke, P.M. Effects of methyl jasmonate on plant growth and leaf properties. J. Plant Nutr. Soil Sci. 2018, 181, 409–418. [Google Scholar] [CrossRef]
- Kim, H.-J.; Fonseca, J.M.; Choi, J.-H.; Kubota, C. Effect of Methyl Jasmonate on Phenolic Compounds and Carotenoids of Romaine Lettuce (Lactuca sativa L.). J. Agric. Food Chem. 2007, 55, 10366–10372. [Google Scholar] [CrossRef]
- Sirhindi, G.; Mushtaq, R.; Gill, S.S.; Sharma, P.; Abd_Allah, E.F.; Ahmad, P. Jasmonic acid and methyl jasmonate modulate growth, photosynthetic activity and expression of photosystem II subunit genes in Brassica oleracea L. Sci. Rep. 2020, 10, 9322. [Google Scholar] [CrossRef]
- Lawson, T.; Blatt, M.R. Stomatal size, speed, and responsiveness impact on photosynthesis and water use efficiency. Plant Physiol. 2014, 164, 1556–1570. [Google Scholar] [CrossRef]
- Jiang, Y.; Ye, J.; Niinemets, Ü. Dose-dependent methyl jasmonate effects on photosynthetic traits and volatile emissions: Biphasic kinetics and stomatal regulation. Plant Signal. Behav. 2021, 16, 1917169. [Google Scholar] [CrossRef]
- Enteshari, S.; Jafari, T. The effects of methyl jasmonate and salinity on germination and seedling growth in Ocimum basilicum L. Iran. J. Plant Physiol. 2013, 3, 749–765. [Google Scholar]
- Gundlach, H.; Müller, M.J.; Kutchan, T.M.; Zenk, M.H. Jasmonic acid is a signal transducer in elicitor-induced plant cell cultures. Proc. Natl. Acad. Sci. USA 1992, 89, 2389–2393. [Google Scholar] [CrossRef]
- Ali, M.B.; Hahn, E.-J.; Paek, K.-Y. Methyl jasmonate and salicylic acid induced oxidative stress and accumulation of phenolics in Panax ginseng bioreactor root suspension cultures. Molecules 2007, 12, 607–621. [Google Scholar] [CrossRef]
- Creelman, R.A.; Mullet, J.E. Biosynthesis and action of jasmonates in plants. Annu. Rev. Plant Biol. 1997, 48, 355–381. [Google Scholar] [CrossRef]
- Wang, K.; Jin, P.; Cao, S.; Shang, H.; Yang, Z.; Zheng, Y. Methyl jasmonate reduces decay and enhances antioxidant capacity in Chinese bayberries. J. Agric. Food Chem. 2009, 57, 5809–5815. [Google Scholar] [CrossRef]
- Raman, V.; Ravi, S. Effect of salicylic acid and methyl jasmonate on antioxidant systems of Haematococcus pluvialis. Acta Physiol. Plant. 2011, 33, 1043–1049. [Google Scholar] [CrossRef]
- Sharma, A.; Shahzad, B.; Rehman, A.; Bhardwaj, R.; Landi, M.; Zheng, B. Response of phenylpropanoid pathway and the role of polyphenols in plants under abiotic stress. Molecules 2019, 24, 2452. [Google Scholar] [CrossRef] [PubMed]
- Farooq, M.A.; Gill, R.A.; Islam, F.; Ali, B.; Liu, H.; Xu, J.; He, S.; Zhou, W. Methyl jasmonate regulates antioxidant defense and suppresses arsenic uptake in Brassica napus L. Front. Plant Sci. 2016, 7, 468. [Google Scholar]
- Kandoudi, W.; Tavaszi-Sárosi, S.; Németh-Zámboriné, E. Inducing the production of secondary metabolites by foliar application of methyl jasmonate in peppermint. Plants 2023, 12, 2339. [Google Scholar] [CrossRef]
- Afkar, S. Response of peppermint to methyl jasmonate application. Iran. J. Plant Physiol. 2015, 6, 1573–1578. [Google Scholar]
- Abdi, G.; Shokrpour, M.; Karami, L.; Salami, S.A. Prolonged Water Deficit Stress and Methyl Jasmonate-Mediated Changes in Metabolite Profile, Flavonoid Concentrations and Antioxidant Activity in Peppermint (Mentha × piperita L.). Not. Bot. Horti Agrobot. Cluj-Napoca 2018, 47, 70. [Google Scholar] [CrossRef]
- Wang, S.Y.; Bowman, L.; Ding, M. Methyl jasmonate enhances antioxidant activity and flavonoid content in blackberries (Rubus sp.) and promotes antiproliferation of human cancer cells. Food Chem. 2008, 107, 1261–1269. [Google Scholar] [CrossRef]
- Talebi, M.; Moghaddam, M.; Pirbalouti, A.G. Methyl jasmonate effects on volatile oil compounds and antioxidant activity of leaf extract of two basil cultivars under salinity stress. Acta Physiol. Plant. 2018, 40, 34. [Google Scholar] [CrossRef]






| Light Spectrum | Plant Height (cm) | Canopy Width (cm) | Leaf Area (cm2) | Number of Leaf Pairs | SPAD Unit |
|---|---|---|---|---|---|
| 1R:1G:1B | 35.99 ± 0.77 a | 21.24 ± 1.54 a | 16.18 ± 0.60 a | 8.40 ± 0.32 | 29.64 ± 2.34 a |
| 2R:1G:2B | 33.96 ± 0.51 b | 13.20 ± 0.62 d | 12.88 ± 0.43 b | 8.20 ± 0.84 | 25.26 ± 0.75 bc |
| 1R:1B | 30.34 ± 0.30 d | 15.58 ± 0.77 c | 11.97 ± 0.69 c | 8.40 ± 0.55 | 24.03 ± 1.51 c |
| 1R:3B | 32.96 ± 1.00 c | 17.10 ± 0.91 b | 12.14 ± 0.51 c | 8.24 ± 0.65 | 25.69 ± 2.79 bc |
| 3R:1B | 34.07 ± 0.65 b | 12.50 ± 1.09 d | 12.37 ± 0.24 bc | 7.96 ± 0.52 | 26.90 ± 1.47 b |
| F-test | ** | ** | ** | ns | ** |
| C.V. (%) | 5.81 | 20.49 | 12.47 | 6.80 | 9.73 |
| Light Spectrum | Fresh Weight of Leaves (g/plant) | Dry Weight of Leaves (g/plant) | Fresh Weight of Stem (g/plant) | Dry Weight of Stem (g/plant) |
|---|---|---|---|---|
| 1R:1G:1B | 11.21 ± 0.59 a | 1.05 ± 0.18 a | 11.60 ± 0.29 a | 0.86 ± 0.06 a |
| 2R:1G:2B | 7.99 ± 0.74 d | 0.71 ± 0.06 bc | 7.01 ± 0.70 c | 0.41 ± 0.04 d |
| 1R:1B | 9.54 ± 0.27 c | 0.69 ± 0.12 bc | 6.74 ± 0.45 c | 0.57 ± 0.07 b |
| 1R:3B | 10.50 ± 0.50 b | 0.87 ± 0.13 b | 9.50 ± 0.32 b | 0.49 ± 0.05 c |
| 3R:1B | 7.29 ± 0.43 d | 0.56 ± 0.14 c | 6.69 ± 0.35 c | 0.55 ± 0.03 bc |
| F-test | ** | ** | ** | ** |
| C.V. (%) | 16.66 | 26.58 | 23.95 | 28.30 |
| Concentration of MeJA (mM) | Plant Height (cm) | Canopy Width (cm) | Leaf Area (cm2) | Number of Leaf Pairs | SPAD Unit |
|---|---|---|---|---|---|
| 0 | 28.65 ± 2.17 c | 26.17 ± 3.00 c | 20.95 ± 0.29 d | 6.88 ± 0.18 b | 32.61 ± 0.92 |
| 0.5 | 32.21 ± 2.35 b | 29.61 ± 1.07 b | 25.35 ± 0.35 b | 7.04 ± 0.48 b | 32.52 ± 0.65 |
| 1.0 | 31.55 ± 2.02 b | 29.01 ± 1.65 b | 22.97 ± 1.75 c | 6.96 ± 0.30 b | 33.35 ± 3.17 |
| 1.5 | 32.21 ± 2.23 b | 35.13 ± 0.59 a | 23.69 ± 0.77 c | 7.36 ± 0.36 b | 33.59 ± 2.67 |
| 2.0 | 36.16 ± 1.20 a | 34.20 ± 0.46 a | 26.95 ± 0.99 a | 7.44 ± 0.22 b | 31.89 ± 0.78 |
| 2.5 | 33.20 ± 0.84 b | 30.01 ± 0.39 b | 26.48 ± 0.45 ab | 8.16 ± 0.71 a | 34.10 ± 2.04 |
| F-test | ** | ** | ** | ** | ns |
| C.V. (%) | 8.63 | 10.95 | 9.19 | 7.80 | 5.79 |
| Concentration of MeJA (mM) | Fresh Weight of Leaves (g/plant) | Dry Weight of Leaves (g/plant) | Fresh Weight of Stem (g/plant) | Dry Weight of Stem (g/plant) |
|---|---|---|---|---|
| 0 | 19.58 ± 0.79 b | 1.77 ± 0.34 c | 18.08 ± 0.68 c | 1.22 ± 0.18 bc |
| 0.5 | 16.67 ± 1.16 c | 1.77 ± 0.20 c | 15.67 ± 0.23 d | 1.05 ± 0.05 c |
| 1.0 | 18.00 ± 0.73 c | 2.03 ± 0.25 bc | 15.68 ± 0.59 d | 1.18 ± 0.15 bc |
| 1.5 | 20.06 ± 0.77 b | 2.31 ± 0.28 ab | 18.06 ± 0.62 c | 1.31 ± 0.09 b |
| 2.0 | 20.70 ± 1.90 b | 2.20 ± 0.12 b | 19.44 ± 1.36 b | 1.36 ± 0.19 b |
| 2.5 | 24.82 ± 0.80 a | 2.42 ± 0.24 a | 22.28 ± 0.35 a | 1.70 ± 0.19 a |
| F-test | ** | ** | ** | ** |
| C.V. (%) | 13.70 | 16.03 | 12.99 | 18.74 |
Disclaimer/Publisher’s Note: The statements, opinions and data contained in all publications are solely those of the individual author(s) and contributor(s) and not of MDPI and/or the editor(s). MDPI and/or the editor(s) disclaim responsibility for any injury to people or property resulting from any ideas, methods, instructions or products referred to in the content. |
© 2025 by the authors. Licensee MDPI, Basel, Switzerland. This article is an open access article distributed under the terms and conditions of the Creative Commons Attribution (CC BY) license (https://creativecommons.org/licenses/by/4.0/).
Share and Cite
Dangsamer, T.; Chutimanukul, P.; Sukdee, S.; Liamjinda, T.; Thepsilvisut, O.; Ehara, H.; Chutimanukul, P. Physiological and Biochemical Responses of Mentha spp. to Light Spectrum and Methyl Jasmonate in a Controlled Plant Factory Environment. Horticulturae 2025, 11, 1243. https://doi.org/10.3390/horticulturae11101243
Dangsamer T, Chutimanukul P, Sukdee S, Liamjinda T, Thepsilvisut O, Ehara H, Chutimanukul P. Physiological and Biochemical Responses of Mentha spp. to Light Spectrum and Methyl Jasmonate in a Controlled Plant Factory Environment. Horticulturae. 2025; 11(10):1243. https://doi.org/10.3390/horticulturae11101243
Chicago/Turabian StyleDangsamer, Thanyaluk, Panita Chutimanukul, Siripong Sukdee, Theeraphat Liamjinda, Ornprapa Thepsilvisut, Hiroshi Ehara, and Preuk Chutimanukul. 2025. "Physiological and Biochemical Responses of Mentha spp. to Light Spectrum and Methyl Jasmonate in a Controlled Plant Factory Environment" Horticulturae 11, no. 10: 1243. https://doi.org/10.3390/horticulturae11101243
APA StyleDangsamer, T., Chutimanukul, P., Sukdee, S., Liamjinda, T., Thepsilvisut, O., Ehara, H., & Chutimanukul, P. (2025). Physiological and Biochemical Responses of Mentha spp. to Light Spectrum and Methyl Jasmonate in a Controlled Plant Factory Environment. Horticulturae, 11(10), 1243. https://doi.org/10.3390/horticulturae11101243

