You are currently viewing a new version of our website. To view the old version click .
Horticulturae
  • Review
  • Open Access

2 October 2025

Preservation of Fruit Quality at Postharvest Through Plant-Based Extracts and Elicitors

,
,
,
,
and
1
College of Horticulture and Plant Protection, Henan University of Science and Technology, Luoyang 471000, China
2
Henan Zhongyuan Organic Agriculture Research Institute Co., Ltd., Zhengzhou 450000, China
3
Henan Academy of Forestry, Zhengzhou 450008, China
*
Authors to whom correspondence should be addressed.
This article belongs to the Section Postharvest Biology, Quality, Safety, and Technology

Abstract

Plant-based extracts and elicitors (signaling molecules that activate the fruit’s innate defense responses) have emerged as promising and sustainable alternatives to synthetic chemicals for preserving postharvest fruit quality and extending shelf life. This review provides a comprehensive analysis, uniquely complemented by a bibliometric assessment of the research landscape from 2005 to 2025, to identify key trends and effective solutions. This review systematically examined the efficacy of various natural compounds including essential oils (complex volatile compounds with potent antimicrobial activity such as lemongrass and thyme), phenolic-rich botanical extracts like neem and aloe vera, and plant-derived elicitors such as methyl jasmonate and salicylic acid. Their preservative mechanisms are multifaceted, involving direct antimicrobial activity by disrupting microbial membranes, potent antioxidant effects that scavenge free radicals, and the induction of a fruit’s innate defense systems, enhancing the activity of enzymes like superoxide dismutase (SOD), catalase (CAT), and peroxidase (POD). Applications of edible coatings of chitosan or aloe vera gel, nano-emulsions, and pre- or postharvest treatments effectively reduce decay by Botrytis cinerea and Penicillium spp.), delay ripening by suppressing ethylene production, minimize water loss, and alleviate chilling injury. Despite their potential, challenges such as sensory changes, batch-to-batch variability, regulatory hurdles, and scaling production costs limit widespread commercialization. Future prospects hinge on innovative technologies like nano-encapsulation to improve stability and mask flavors, hurdle technology combining treatments synergistically, and optimizing elicitor application protocols. This review demonstrates the potential of continued research and advanced formulation to create plant-based preservatives, that can become integral components of an eco-friendly postharvest management strategy, effectively reducing losses and meeting consumer demands for safe, high-quality fruit.

1. Introduction

Plants have been a long-standing, renewable source of basic human needs for food, shelter, and clothing, and medicinal plants have been extensively used as traditional medicines to treat various diseases for millennia. Bioactive ingredients derived from plant-based drugs have also served as the initial compounds for modern formulations. Humans have used plant extracts for a variety of purposes since prehistoric times, and the cumulative knowledge about these extracts shows that they can also be useful in the preservation of foods and especially fruits for human consumption [1,2]. Plant metabolites such as alkaloids, tannins, terpenoids, and phenolics originate from lipids, amino acids, and polysaccharides, which can act as natural preservatives for fresh fruits [3,4]. Following harvest, biological processes in fruits frequently cause negative quality shifts, including diminished flavor and compromised appearance. During long-distance fruit transport, these alterations often result in measurable weight depletion, shriveling, shortened shelf life, and compromised sensory attributes [5,6]. Ripening constitutes a precisely coordinated biochemical transition marked by color fading, astringency loss, seed maturation, tissue softening, and browning [7].
As prospective sources of natural biochemical preservatives, plant materials can be processed using multiple extraction methods [8]. Recently, the food packaging industry has been exploring natural plant materials to satisfy consumers’ desire for more healthful organic food that can be packaged in an eco-friendly manner [9,10,11]. A number of different packaging techniques have been explored utilizing plant substances with potential to maintain fresh fruit quality and desirable sensory characteristics, and to inhibit microbial growth [10,12].
While there have been reviews that explored the general application of plant extracts in food preservation, this review makes a novel contribution by employing a systematic bibliometric analysis supported by quantitative publication data to map the global research landscape, highlight emerging trends, and identify the most effective plant-derived compounds to extend the shelf-life of freshly harvested fruit [13]. Unlike previous summaries, our analysis not only proposed potential mechanisms (Figure 1) and applications, but also critically evaluated the real-world efficacy and commercial potential of these treatments. This is a new perspective that bridges traditional medical knowledge with modern scientific validation.
Figure 1. Mechanisms of action of different extracts and elicitors on preserving fruit postharvest quality. ROS, reactive oxygen species; POD, peroxidase; SOD, superoxide dismutase; CAT, catalase; APX, ascorbate peroxidase; MeJA, methyl jasmonic acid; SA, salicylic acid; APK, ascorbate peroxidase; PPO, polyphenol oxidase; HSPs, heat-shock proteins.
Plant-derived extracts or hormonal elicitors may be used individually or within formulations to prevent spoilage by inhibiting the growth of bacteria and fungi and to prolong shelf life by inhibiting oxidation and respiration (Figure 2). Fresh-cut harvested fruit is vulnerable to pests, microbial attack, physical changes, and biochemical degradation [14]. Plant-based preservatives, primarily those containing high concentrations of polyphenols and carotenoids, are now widely adopted across food sectors. These substances possess antimicrobial properties and antioxidants that efficiently lower free radical activity after harvest, preventing the development of off-flavors, enhancing color stability, and prolonging shelf life [4,15]. These natural compounds may be able to replace synthetic counterparts, for example, in edible antioxidant/antimicrobial coatings on fresh fruit (grapes (V. vinifera L. cv. ‘Sultani Çekirdeksiz’) [16], nectarines (Prunus persica) [17], strawberries (Fragaria x ananassa Duch.) [18], guavas (Psidium guajava L.) [19], apricots (Prunus armeniaca L.) [20] and sweet cherries (Prunus avium L.) [21]. In the following section, detailed information regarding these plant-derived extracts and their applications is presented [22].
Figure 2. Fruits treated with plant-derived extracts or elicitors and their storage effects.

2. Main Sources of Literature and Bibliometric Analysis

To provide an evidence-based overview of the research landscape, a bibliometric analysis was conducted using literature retrieved from the Web of Science Core Collection. Most of the references cited in this review fall within the scope of this quantitative analysis, with a limited number of older foundational publications also included to ensure comprehensive contextual coverage. The search strategy incorporated key terms such as “postharvest treatment”, “fruit”, “plant extracts”, or “plant elicitors”, with inclusion criteria restricted to experimental articles published between 2005 and 2025. Following initial retrieval, papers were screened for relevance based on title, keywords, and abstracts, resulting in 1160 articles eligible for analysis. Bibliometric evaluation was performed using R (v4.4.1) and the wordcloud R package [23], examining metadata related to countries/territories, keywords, and publication years to visualize research trends and intellectual structure in this field.

2.1. Publication Trends

All of the publications on fruit preservation with plant extracts or elicitors used in this bibliometric analysis were research articles in English from 2005 to 2025. The data was screened according to countries/territories to identify the key contributors in this field. Changes in the number of yearly publications in specific areas, to some extent, can indicate shifts in focus. Figure 3 shows that the numbers of research publications per year on fruit preservation by treatment with plant extracts or elicitors, has steadily increased from 2005 to 2025.
Figure 3. Rectangular tree diagram illustrating annual publication volume of peer-reviewed articles on use of plant extracts or elicitors in fruit preservation.

2.2. Most Popular Keywords

Authors employ keywords to provide a brief, clear, representative, description of the study content; therefore keyword analysis may be used to identify popular topics and themes in a research area [24]. To efficiently identify the most common study subjects and active research hotspots in scientific disciplines and sectors [25], the word cloud of author keywords is displayed (Figure 4) [26]. The greater the keyword collection, the more frequently it appeared in a dataset [27]. The keyword “antioxidant” (total frequency of 97) was the most frequent, indicating that antioxidant is one of the most attention-attracting topics for studies on fruit preservation with plant extracts or elicitors. The terms “postharvest” (95), “antifungal” (67), “quality” (65), “essential oil” (40), “edible coating” (39), “shelf life” (33), “botrytis cinerea” (47), “elicitor” (27), “phenolic” (25), “anthracnose” (21), “plant extracts” (18), “penicillium digitatum” (17), “colletotrichum gloeosporioides” (17), “alternaria alternata” (16), “ethylene” (14), “induced resistance” (14), “salicylic acid” (14), and “methyl jasmonate” (12) have all contributed significantly to the literature on plant-based preservatives.
Figure 4. Word cloud of article keywords. The font size and color of each label indicate how frequently it is used.

2.3. Publications by Country/Territory

The analysis of English language publications by categorizing statistical data on fruit preservation with plant extracts or elicitors published on Web of Science revealed a diverse landscape of research contributions from the top ten countries/territories with a total number of 997 publications representing 85.95% of the total (Figure 5). China ranks first among these nations with 363 publications. Italy is ranked the second with 100 publications. USA, Spain, India and Brazil are placed the third, fourth, fifth and sixth, respectively, with 87, 83, 74 and 72 research publications. The concentration of research in these top countries highlights their significant roles in both global fruit production and scientific innovation, while also suggesting a potential disparity in research focus and resource allocation across different regions. This trend may reflect these nations’ urgent need to reduce postharvest losses and aligns with their strategic agricultural economic interests.
Figure 5. Total numbers of publications of the top ten countries/territories.
The significant research output from these leading countries underscores the global importance of developing natural preservation methods, primarily driven by nations with substantial fruit production and postharvest challenges. The subsequent sections will review the major types of plant extracts and elicitors investigated in these studies, their mechanisms of action, and their practical applications in maintaining fruit quality after harvest.

3. Essential Oils (EOs), Botanical Extracts, and Volatile Constituents

Botanical extracts, such as those from neem [28], thyme [29], eucalyptus [30], lemongrass [31], rue [32], and tea tree [33], contain EOs that can inhibit the postharvest growth of pathogens [34]. Formulations of these extracted EOs for application also usually include aromatic terpenoids with fungistatic properties. In addition to EOs, plants are rich reservoirs of volatile compounds—organic molecules characterized by low molecular weight and significant volatility at ambient temperatures [35]. These volatile substances play a vital role in natural defenses against microorganisms and can impede the growth of pathogens [36]. Techniques such as steam distillation or hydrodistillation are commonly employed to isolate these compounds [37]. Notable plant sources yielding valuable volatiles include black pepper, nutmeg, clove, thyme, and oregano. Importantly, numerous volatile compounds derived from such sources have been designated as GRAS (generally recognized as safe), affirming their safety for food applications [30]. A selection of plant-derived preservatives and their biological activities are shown in Table 1.
Table 1. Examples of plant-derived preservatives and their biological activities.
Spices and plant-derived condiments have a long history of use in food preparation and also for supposed health benefits, for example, as antioxidants [30]. Essential oils are complex mixtures of volatile compounds that can be used as natural preservatives to control microbial growth and prolong the shelf life of fruit products [48]. Plant-based aromatics are extracted from herbs, spices, and certain flowers and may be used as additives in packaging materials or as coatings to extend the shelf life of fresh fruits; but they can also enhance the desirable qualities of products such as firmness, color, weight, and aroma [49,50]. The US Food and Drug Administration (FDA) has designated these substances as GRAS [51]. The extracted aromatic oils from Origanum vulgare and Verbena officinalis were shown to prevent Phytophthora citrophthora infections [52] and another study concluded that Lavandula spica EO showed promising antimicrobial activity, particularly against Gram-positive bacteria, suggesting its potential use in formulations to preserve fruits [44]. The antimicrobial properties of certain substances are attributed to their unique chemical architectures, specifically the presence of hydrophilic moieties such as phenolic hydroxyl groups along with lipophilic EOs [53].
Fresh-cut melons were treated with malic acid plus cinnamon, lemongrass, and palmarosa EOs to evaluate the impact of natural antibacterial compounds. Coating minimally processed fruit slices with malic acid prolonged their shelf life compared with untreated controls by maintaining physical parameters and hindering microbial growth. Coatings containing malic acid and EOs demonstrated >21-day antimicrobial stability, because of their potent antibacterial qualities [54,55]. Coating fresh-cut peaches with pectin and cinnamon leaf extract prolonged their shelf life as the increased antioxidant content resulted in less microbial growth [56,57]. Menthol isolated from Mentha piperita was effective in preventing fruit diseases during storage. The volatiles extracted from Zingiber officinale, Ocimum canum, and Mentha arvensis were successful in controlling blue mold on oranges, indicating a synergistic interaction among these compounds [39,58]. Acorus calamus is a medicinal plant known for its multifaceted health benefits, especially against inflammation and infections. Time-kill kinetics revealed high lethality of A. calamus essential oil (ACEO) at minimum inhibitory concentrations against Staphylococcus aureus and Pseudomonas aeruginosa, resulting in a significant reduction in colony-forming units within 12–24 h. Studies of the antibacterial mechanisms of ACEO demonstrated that it disrupted the integrity of the bacterial cell membrane and enhanced membrane permeability [59].
Harvested fruit crops encounter diverse microorganisms capable of colonizing tissue and accelerating spoilage. Various plant extracts and formulations exhibit broad-spectrum antimicrobial capabilities [60], and may serve as nontoxic biopreservatives with no negative effects on human health [61]. Their application is straightforward and efficacy persists under ambient storage conditions. Laboratory testing demonstrated that 10% ginger and garlic extracts effectively inhibit most microbial isolates [62]. Ocimum sanctum (Tulsi) leaf extracts contain polyamine biosynthesis inhibitors that block the Zn-dependent ornithine decarboxylase pathway, suppressing fungal rot development and enhancing postharvest storage [63]. Research on preservation of Crystal grapes showed that treatment with 50 µM methyl jasmonic acid (MeJA) reduced decay, weight loss, and browning, inhibited the accumulation of soluble solids, and improved fruit appearance and marketability for a period of 32 days [47]. Experiments on the postharvest immersion of papayas in 1 mM MeJA revealed that this treatment significantly decreased weight loss, disease incidence and chilling injury (CI) during low-temperature storage (10 °C) for 28 days; the accumulation of malondialdehyde (MDA) and hydrogen peroxide was also markedly lower after treatment with MeJA [64].
Azadirachtin, neem oil’s bioactive constituent, reinforces pectin networks by altering galacturonan residues and preventing de-esterification. This approach effectively inhibits pectin degradation during storage, thereby reducing fruit softening and decay [65]. Treatment with 20% neem leaf extract (NLE) followed by cold storage completely suppressed pathogen growth throughout the experimental period, with no observable spoilage [66]. Pre-storage application of 30% NLE to Shamber grapefruits maintained optimal physicochemical attributes including weight, ascorbic acid content, total sugars (TSs), reducing sugars (RS), non-reducing sugars, soluble solid content (SSC), total acidity (TA), and SSC:TA ratio, while enhancing activities of antioxidant enzymes (SOD, POD, CAT) and extending the shelf life to 43 days [67].
Preharvest or postharvest MeJA application effectively boosted antioxidant capacity and phenolic content in fresh fruit. These enhancements prolonged shelf life, improved fruit quality, and mitigated CI [68,69].
Other plant-derived formulations offer solutions to specific postharvest challenges. For instance, an apple preservation study investigated rice bran extract (RE) blended with vitamin C (VC). Fresh-cut apples immersed in 3% VC + 1% RE exhibited comparable L* and browning index (BI) measurements to those treated with 4% rice bran extract (RE) blended with vitamin C. This demonstrates that RE can synergize with VC to provide greater anti-browning efficacy and elevated polyphenol retention in fresh-cut apples [70].
Across multiple industrial sectors, plant-derived extracts serve as versatile functional agents, demonstrating efficacy as natural antimicrobials and antioxidants, flavor enhancers, enzyme stimulants, nutrient fortifiers, and sustainable packaging additives [4,13]. Based on which plant parts contain the desired active components, the extracts are derived from roots, leaves, stems, flowers and seeds [71].

3.1. Leaves Compared with Other Parts as Sources of Bioactive Compounds

Foliar structures perform the essential metabolic functions of synthesizing carbohydrates, generating atmospheric oxygen, and serving as repositories of nutraceutical phytochemicals. Leaves contain anthocyanins (red to purple) and carotenoids (orange to yellow), in addition to green chlorophyll. These colored compounds are responsible for the high antioxidant activity of leaves [72]. Additionally, some leaf extracts possess antimicrobial activity owing to the presence of flavonoids. Foliar extracts demonstrate significantly higher free radical quenching capacity compared with polyphenolic compounds from seeds, stems, or bark (Table 2). They are widely used as natural preservatives in many different kinds of food including meat and milk as well as fresh-cut fruit.
Table 2. Plant species, relevant parts, applications and function.

3.2. Fruits, Vegetables and Flowers as Sources of Natural Preservatives

Fruits and vegetables contain numerous functional ingredients, including phenolics, lignans, stilbenes, proanthocyanidins, and tannins [71]. The most common phenolic substances in addition to flavonoids are cinnamic acid and benzoic acid, which have many applications in the food industry [91]. The extracts that are produced from Arbutus unedo [92], mango [93], blueberries [94], grapes [95], pomegranates [96,97], berries [98], chestnuts [99], and murta plants [100] are prepared by using different extraction technologies and are used in products such as cheese [101], meat [98], and poultry [102,103]. Fruit and vegetable peels constitute a significant category of agro-industrial processing residues with great potential as a source of phytonutrients to add to feed, superior to pulp as a source of natural antioxidants [104]. Rich in phenolic constituents, particularly catechin, epicatechin, proanthocyanidins, flavanols, and gallate, seed products such as grape-seed extract demonstrate broad food industry applicability [105]. Flower extracts also have potent antioxidant and antimicrobial activity, as well as being useful as coloring agents and flavorings [106]. These bioactive extracts are integrated into diverse applications as fruit preservatives including functional beverages, food-grade packaging films, and edible coating matrices [107,108]. The bark of some trees such as cinnamon has a high phenolic content, which contributes to the body’s defense mechanisms [109]. Chinese chive (Allium tuberosum) roots are rich in polyphenols and antimicrobial constituents [110].

4. Isolation Methods for Plant Extracts

The isolation of bioactive compounds from botanical matrices can employ both traditional and modern methods but necessitates the use of inert reagents and non-toxic solvents [111,112,113]. Extraction of bioactive compounds from plant materials involves basic techniques like maceration and Soxhlet extraction but also utilizes ultrasound- or microwave-assisted release, pressurized extractants, supercritical fluids, and pulsed electric fields. The efficacy of the extraction method depends on the nature of the plant matrix, the chemical types being separated, the type of solvent used, and the methodology used for extraction [114]. One major study compared the effect of various different extraction methods on the pharmaceutical and cosmetic properties of medicinal and aromatic plants (MAPs) [115]. For this purpose, the dried plant materials were extracted using modern advanced microwave- (MAEs), ultrasonic- (UAE), and homogenizer-assisted extractions (HAEs) compared with traditional techniques like maceration, percolation, decoction, infusion, and Soxhlet extraction. The new approaches included solid-phase microextraction, supercritical fluid extraction, pressurized liquid extraction, microwave-assisted extraction, solid-phase extraction, and surfactant-mediated extraction [116]. Customized plant material extractions for maximum yield and efficiency is the current goal, and tests of advanced techniques such as accelerated solvent extraction, supercritical fluid extraction, and negative pressure cavitation extraction in combination with ultrasound- and microwave-assisted release have shown great promise in overcoming problems in industrial scale-up [117].
Variability in extract yield and quality with different methods may stem from multiple parameters: processing duration, botanical material particle size, solvent pH, temperature, and sample/solvent ratio [118]. The basic protocol involves pulverizing fresh or dried plant material into a powder to maximize surface exposure. Studies demonstrate substantially higher extraction efficiency when processing finely ground particles (10 µm) for 5 min compared to coarsely fragmented material subjected to 24-h extraction. Optimal solvent: sample ratios established in prior research approach 10:1 (v/dry weight) [118]. For efficient extraction, fresh or dried botanical samples should be homogenized using a blender, followed by either vigorous agitation for 5–10 min, or gentle shaking for 24 h, followed by filtration.

5. The Efficacy of Extracts from Medicinal Plants

5.1. Aloe Vera (AV)

Banana fruit metabolism and anthracnose susceptibility can be reduced using AV gel sprays, preserving postharvest quality [119]. Blueberry shelf life increased by five days with AV spray versus chitosan, suggesting synergistic potential for extending shelf life [79]. AV gel maintained grape quality and prolonged storage [80]. AV extracts effectively prevent litchi surface browning, extending storage and preserving quality as a non-toxic alternative to synthetics [120,121]. Papaya quality was maintained for 15 days with AV coatings [120,122]. The antifungal properties of AV in coatings effectively extended blueberry shelf life without synthetic fungicides [123,124].

5.2. Lemongrass

Mycelial growth and sporulation of pathogenic fungi were inhibited by lemongrass extract in a concentration-dependent manner; notably reducing Colletotrichum gloeosporioides in guava [125,126]. Vaporized lemongrass EO efficiently controlled Penicillium on oranges and also proved effective against Aspergillus niger and C. musae [127,128].

5.3. Neem

Neem leaf extract (40%) preserved banana freshness over extended storage times [81]. NLE also reduced postharvest fungal losses in other tropical/subtropical fruits [129]. It inhibited the growth of Neofusicoccum parvum, Lasiodiplodia theobromae, Aspergillus flavus, B. cinerea, and A. niger. Postharvest neem spraying significantly extended mango storage life and maintained quality versus controls [82].

5.4. Other Extracts

Specific plant protein sprays effectively conserved strawberry quality and shelf life, maintaining ascorbic acid levels crucial for antioxidant activity [130]. For Hass and Gem avocados, moringa seed/leaf extracts with 1% carboxymethyl cellulose significantly preserved quality and extended shelf life. This treatment reduced ethylene production and respiration while enhancing firmness compared to uncoated fruit. Moringa ethanol extracts also showed strong antibacterial activity against foodborne pathogens, indicating utility as an organic postharvest spray [131]. Crude extracts of dukung anak or turmeric powder (10 g/L) functioned as fungicides against dragon fruit anthracnose. Ginger and turmeric extracts also conserved natural color and flavor [132]. A blend of 10% gum arabic and garlic extract minimized guava weight loss, skin browning, and disease incidence while extending shelf life, and preserving optimal physiological, biochemical, and sensory qualities [133]. Separate treatments with ginger, garlic extract, aloe vera gel, or gum arabic also effectively maintained Surahi guava quality during ambient storage [134].

6. Plant-Derived Elicitors for Enhancing Fruits Quality

As autotrophic organisms, plants utilize photosynthesis to transform light energy into biochemical energy, primarily for glucose production. This energy, coupled with essential nutrients, positions plants at the producer level of the global food chain. In response to their ever-changing environment, plants have developed key adaptations, including the synthesis of signaling molecules called elicitors. The critical role elicitors play in plant defense mechanisms is the focus of the following discussion.

6.1. Methyl Jasmonic Acid (MeJA)

Jasmonic acid (JA) acts as a negative growth regulator in plants as it suppresses organ growth and accelerates flowering and fruit ripening as well as senescence and abscission. JA and its derivative, MeJA, regulate plant defense mechanisms as well as root growth, the maturation of fruit and senescence. The JA family comprises compounds of lipid origin with a molecular structure like that of prostaglandins in animals. Synthesized across the entire plant, the signaling molecules known as JAs reach their highest concentrations in growing tissues like stem and root tips, young foliage, and unripe fruits. These compounds function in both defense and development [135], enabling plants to respond to environmental challenges such as wounding, drought, and pathogen/pest invasion.
The concentration of MeJA required to effectively induce systemic acquired resistance (SAR) differs among fruit types. Notably, studies on tomatoes demonstrate this variation: a minimum effective dose of 0.045 mM suppresses anthracnose diseases [136], whereas controlling Botrytis cinerea necessitates a significantly higher application of 10 mM. In order to determine if MeJA reduced B. cinerea infection of grapes, it was treated in vitro with MeJA and the results showed that the growth was markedly inhibited. The inhibitory rate of 100 μM MeJA on mycelial growth of B. cinerea was 83.7% after 3-day treatment at 25 °C or 87.2% after 20-day treatment at 0 °C [137]. Exposure to MeJA and methyl salicylate (MeSa) vapors at 10 and 100 µM was investigated as an alternative to the commercial fungicide, Prochloraz® used by fruit and vegetable growers [138].
The application of preharvest MeJA significantly influenced fruit ripening in both climacteric and non-climacteric types. For example, in plums, 0.5 mM MeJA delayed postharvest maturation through reductions in respiration rate and ethylene production, which postponed softening [139]. Preharvest foliar applications of 0.5 mM MeJA were applied to various sweet cherry cultivars, including ‘Prime Giant’, ‘Early Lory’, ‘Sweetheart’, and ‘Staccato’, and its effect on the cracking tolerance of these cultivars was evaluated. The results demonstrated that preharvest treatment with MeJA effectively reduced fruit cracking and enhanced abiotic stress tolerance. Additionally, these treatments induced a general delay in fruit ripening of the examined cultivars [140]. Notably, MeJA application boosted table grape and pomegranate yields (Table 3) while promoting larger fruit [97,141]. Plum studies further revealed that 0.5–2.0 mM treatments significantly improved the key quality parameters of firmness, coloration, and total acidity (TA). Concurrently, MeJA elevated total phenolic content and amplified antioxidant activity in a dose-dependent manner [142]. Crucially, this compound activated antioxidant defense pathways, stimulating expression of catalase (CAT), peroxidase (POD), ascorbate peroxidase (APX), and superoxide dismutase (SOD) enzymes in pomegranates [97,143], table grapes [141], blood oranges [144], and plums [139].
CI constitutes a primary constraint for refrigerated storage of postharvest fruits, triggering compromised quality attributes and significant economic losses [145]. Recent studies revealed that MeJA was pivotal for the regulation of resistance to CI in harvested fruit. Min et al. [146] noted that MeJA application substantially suppressed CI in postharvest fresh produce, and proposed that the mechanism of MeJA action on fruit CI tolerance could involve: (1) reinforcing membrane stability and maintaining energy flux; (2) elevating free radical scavenging potential; (3) upregulating the arginine pathway; (4) improving sugar metabolism; (5) regulating metabolism of phenolics; (6) activating the C-repeat/dehydration response element binding factor (CBF) pathway, crucial for plant low-temperature stress adaptation; (7) modulating heat shock protein expression and accumulation; or (8) engaging in phytohormone signaling crosstalk. MeJA treatments preserve membrane integrity in postharvest crops by mitigating CI, effectively suppressing electrolyte leakage and malondialdehyde (MDA) accumulation across fruit commodities (Table 3). Supporting this, Bagheri and Esna-Ashari [147] documented reduced electrolyte leakage and MDA content in persimmons treated with 8–24 µmol/L MeJA. Mechanistically, MeJA enhanced antioxidant defense through dual mechanisms: enzymatic activation and phenolic/anthocyanin upregulation via phenylalanine ammonia-lyase (PAL) induction [141]. Preharvest application further demonstrated multifunctional benefits, boosting yields, improving quality, and elevating bioactive compounds, as evidenced in lemons [148,149], table grapes [141] and pomegranates [143] (Table 3).
Table 3. Effects of preharvest treatments of different plant elicitors on postharvest quality of fruits.
Table 3. Effects of preharvest treatments of different plant elicitors on postharvest quality of fruits.
TreatmentFruitEffectReference
MeJATable grapesAccelerated fruit ripening. Application of 0.1 mM and 0.01 mM MeJA significantly increased total yield while enhancing berry quality attributes and bioactive compound levels.[141]
LemonsIncreased content of antioxidants such as phenolics at 0.1 mM MeJA. Antioxidant enzyme activities were significantly elevated, with no adverse effects on yield or fruit quality.[148]
Blood orangesDecreased electrolyte leakage and MDA content and enhanced SOD, APX and CAT activities. Suppressed electrolyte leakage and MDA levels, concomitant with elevated activities of SOD, APX, and CAT.[144]
PomegranatesTreatments with 1 mM and 5 mM MeJA accelerated on-tree fruit maturation while suppressing storage losses of firmness, weight, and organic acid content at 10 °C. And aril coloration was significantly enhanced.[97]
PomegranatesReduced internal/external CI symptoms and ion leakage, attributed to preserved harvest-stage unsaturated fatty acids, enhanced membrane stability, and maintained antioxidant levels during storage.[143]
LemonsElevated antioxidant parameters including total antioxidant activity, phenolic content, key phenolics (eriocitrin, hesperidin), and enzymatic activity.[149]
PomegranatesAlleviated CI and maintained intact pericarp structure. [150]
PersimmonsPreserved fruit quality, content of phenolic compounds and antioxidant properties, reduced CI and membrane peroxidation, and enhanced membrane integrity during cold storage. [147]
Sweet cherriesImprovement in abiotic stress tolerance and reduction in fruit cracking and ripening delay.[140]
PlumsElevated carotenoid and phenolic levels at harvest and antioxidant activity, with no effect on ripening of fruits on the tree.[151]
SAPlumsElevated bioactive and antioxidant levels upon harvesting.[151]
Sweet cherriesImproved physicochemical properties (color, SSC, firmness), bioactive constituents (phenolics, anthocyanins), and antioxidant metrics (hydrophilic capacity, enzyme activities).[152]
PlumsEnhanced postharvest quality evidenced by increased weight, firmness, TA; elevated phenolics (anthocyanins), carotenoids; sustained antioxidant enzyme activity; delayed ripening/senescence; and extended shelf-life.[153]
PlumsElevated harvest-stage phenolics and carotenoids with enhanced antioxidant capacity, without altering on-tree fruit ripening.[151]
PlumsAt harvest, higher levels of firmness, weight, sugars, acids, phenolics, carotenoids, and anthocyanins were observed. SA treatment delayed softening, color shifts, and acidity loss upon storage.[154]
PomegranatesThe best improvement in quality was attained with 10 mM SA, mainly in terms of color and maintaining concentrations of anthocyanins, phenolics, and ascorbic acid during prolonged storage at 10 °C.[96]
Table grapes0.1 mM SA treatment elevated antioxidants and yield, promoted faster on-vine ripening, and maintained storage stability.[155]
Table grapesNotable increases occurred in TA levels, bioactive compound concentrations, antioxidant enzyme functionality, and resistance to B. cinerea infection.[156]
JujubesIncreased antioxidant capacity and total phenolics. [157]
Table grapesElevated antioxidant activity, total phenolic content, and bioactive constituent levels were observed.[158]
ASASweet cherriesEnhanced firmness, color, total phenolics, SSC, total anthocyanin content, hydrophilic total antioxidant activity and antioxidant enzyme activity.[152]
PlumsEnhanced weight, firmness, acid/sugar profiles, phenolic content, anthocyanins, and total carotenoids at harvest, with postponed softening, discoloration, and acidity loss during storage.[154]
Table grapes0.1 mM MeSA maximally promoted ripening, yield, and anthocyanin-mediated color enhancement in berries.[155]
Table grapesIncreased TA, content of bioactive compounds, activity of antioxidant enzymes, and resistance to Botrytis cinerea spoilage.[156]
LoquatsASA was proven to be the most effective compound for both maintaining postharvest appearance and enhancing fruit quality attributes.[159]
MeSaPlumsHarvested fruit exhibited heightened firmness, mass, organic acid diversity, phenolic compounds, soluble sugars, carotenoid content, and anthocyanin levels. Postharvest storage manifested suppressed softening, chromatic alterations, and acid depletion.[154]
PomegranatesTreatment with 10 mM SA was most effective, with improvement in red color and maintenance of anthocyanin/phenolic/ascorbic acid levels under prolonged 10 °C storage.[96]
Table grapesAccelerated ripening, enhanced yield and berry color via elevated anthocyanin accumulation.[156]
Table grapesIncreased TA, bioactive compounds, antioxidant enzyme efficacy, and B. cinerea resistance.[156]
ApricotsEnhanced antioxidant capacity, reduced CI, maintenance of soluble solid and organic acids, and reduced decay.[160]
Oxalic Acid (OA)Sweet cherriesElevated fresh mass, textural rigidity, and SSC.[152]
PineapplesDiminished internal browning and increased ascorbic acid accumulation.[161]
StrawberriesHigher fruit yield and ascorbic acid levels and improved sensory attributes. [162]
PlumsEnhanced crop yield, fruit weight, and antioxidant level. Delayed maturation on-tree and during cold storage.[163]
KiwifruitLower off-flavor intensity, reduced acetaldehyde/ethanol levels, and higher ascorbate content.[120]
PomegranatesYield enhancement and preharvest ripening acceleration exhibited dose dependency. Optimal firmness, peel chromaticity, respiratory activity, and organoleptic properties occurred with application of 10 mM OA.[164]
ApricotsDiminished moisture loss, ethylene emission, and respiration intensity.[165]
ApricotsAugmented firmness, ascorbic acid, mass and juice yield. Diminished moisture loss and antioxidative efficacy.[166]
LemonsReduced losses in weight and firmness, SSC and TA. Antioxidant enzymatic activity and total phenolic levels showed significant augmentation.[167]
Table grapes Delayed senescence with stimulation of antioxidant enzyme activity. [168]
BlueberriesElevated textural integrity, anthocyanin accumulation, and free radical scavenging capacity.[169]
Polyamines (PAs)ApricotsIncreased shelf-life up to 30 d with good quality under MAP conditions.[170]
JujubesImproved antioxidant capacity and total phenolics. [157]
PistachiosIncreased fresh pistachio storability, delayed softening and weight loss, and inhibition of fungal infection.[171]
Table grapesGreater firmness, lower susceptibility to microbial infection, elevated phenolic/anthocyanin accumulation with enhanced antioxidant capacity.[172]
PearsSpermidine (Spd) (0.05 mM) and putrescine (Put) (0.25 mM) elicited significantly higher June fruit set. Maturity index peaked at 0.25 mM Put, with 0.05 mM Spd ranking second. Spd (0.25 mM) markedly elevated total sugars, antioxidants (anthocyanins and phenolics), and phytochemical accumulation.[173]

6.2. Salicylates

Salicylic acid (SA), a phenolic phytohormone, features a benzene ring with hydroxyl and carboxyl functional groups synthesized endogenously in plants. Acetyl salicylic acid (ASA) is a hydrolytic derivative of SA. A second derivative, MeSa, functions as a volatile membrane-permeable signaling compound. SA’s principal physiological role involves induction of systemic acquired resistance (SAR), a pathogen-responsive immune mechanism mediating plant responses to both biotic and abiotic stressors [174,175]. Following its biosynthesis, SA undergoes phloematic translocation throughout the plant, protecting it from future infections. These chemically very different products are now recognized as acting as plant hormones; despite structural dissimilarities, complex molecular cross-talk may drive defined biological responses [176].
These SA derivatives regulate critical physiological processes including seed germination, developmental progression, floral induction, and fruit maturation. Preharvest applications of ASA, SA, and MeSa demonstrate broad horticultural utility across diverse fruit crops, such as sweet cherries [152,177,178,179], pomegranates [96,143,150], plums [153] and table grapes [155,156]. These treatments improved fruit quality at harvest, with greater firmness, SSC, TA, and color. Furthermore, SA and its derivatives attenuate respiratory rates by suppressing ethylene biosynthesis and modulating stomatal conductance [180]. These treatments concomitantly enhance cellular biosynthesis of bioactive constituents, notably anthocyanins, phenolic compounds, and antioxidant capacity. Postharvest analyses further confirm superior retention of quality parameters and phytochemical concentrations in salicylate-treated horticultural commodities. Notably, exogenous SA or MeSa application elevates antioxidative potential in apricots [181], grapes [158], and strawberries [182] under storage.
In fruits sensitive to chilling, preharvest treatment with SA reduced the negative effects of CI, which was attributed to elevated activity of CAT, POD, SOD and APX. These enzymes and phenolics jointly combat CI stress via ROS scavenging and membrane protection [143,154,183]. Treatment with 1 μM SA for 15 min prior to storage at 4 °C delayed and reduced internal fruit browning, a symptom of CI. Studies show that SA alleviates CI in peaches by multiple mechanisms, including increasing sucrose content and activating cold response genes [184].

6.3. Oxalic Acid (OA)

The biosynthesis of OA in plants can occur through multiple metabolic pathways, depending on the type of cell or tissue. Li et al. [185] have recently identified three main pathways for the biosynthesis of oxalates in plants: the glycolic or glyoxalic acid pathway, the oxaloacetic acid pathway, and the ascorbic acid pathway [186,187]. Glycolate oxidase converts photorespiratory glycolate/glyoxylate to oxalate [188]. A parallel pathway involving oxaloacetate acetylhydrolase-catalyzed oxaloacetate breakdown may also contribute oxalate.
Preharvest treatment with OA delays senescence and preserves fruit quality, as in the case of cherries [189], peaches [190], lemons [167] apricots [181], plums [165], and nectarines [191]. OA exerts its effects by scavenging ROS, inhibiting ADH, accumulating proline, and conserving ATP [192], controlling the balance between unsaturated and saturated fatty acids [193], and regulating sugar metabolism [194]. OA treatments enhance POD, APX, SOD, and CAT activities, key enzymes conferring biotic (e.g., pathogen defense) and abiotic stress tolerance. This response may be mediated by the accumulation of phenolic compounds [195]. OA treatment reduced browning in fresh-cut apples by suppressing oxidative stress, regulating phenol metabolism, and stimulating energy metabolism [196]; OA also enhanced ascorbic acid levels in strawberries [162]. OA treatment stabilized cellular equilibrium through oxidative burden mitigation in harvested fruit. Studies on Arabidopsis thaliana demonstrated that OA treatments < 5 mM effectively induced gene expression related to defense from infection but did not affect plant development. Similarly, 5 mM OA applied to kiwifruit reduced the incidence of decay from blue mold, by upregulation of defense-related enzymes [197]. However, concentrations exceeding 6 mM induced apoptosis and enhanced pathogen colonization by pathogenic fungi [198].
Elevated OA concentration may impair postharvest fruit quality. Table 3 demonstrates the superior efficacy of preharvest OA sprays (1–10 mM) across diverse cultivars and application frequencies relative to other concentrations. Notably, preharvest application of 2 mM OA substantially enhanced fruit size [166], antioxidant potential [167], ripening delay [199], and quality retention [169] during storage. Concentration-dependent responses vary unpredictably among crops, consistent with Garcia-Pastor et al. [168] who identified 5 mM OA as optimal for table grape yield, maturation, and bioactive accumulation when comparing 1, 5, and 10 mM treatments across two growing seasons.

6.4. Effects of Polyamines (PAs) on Fruit Preservation

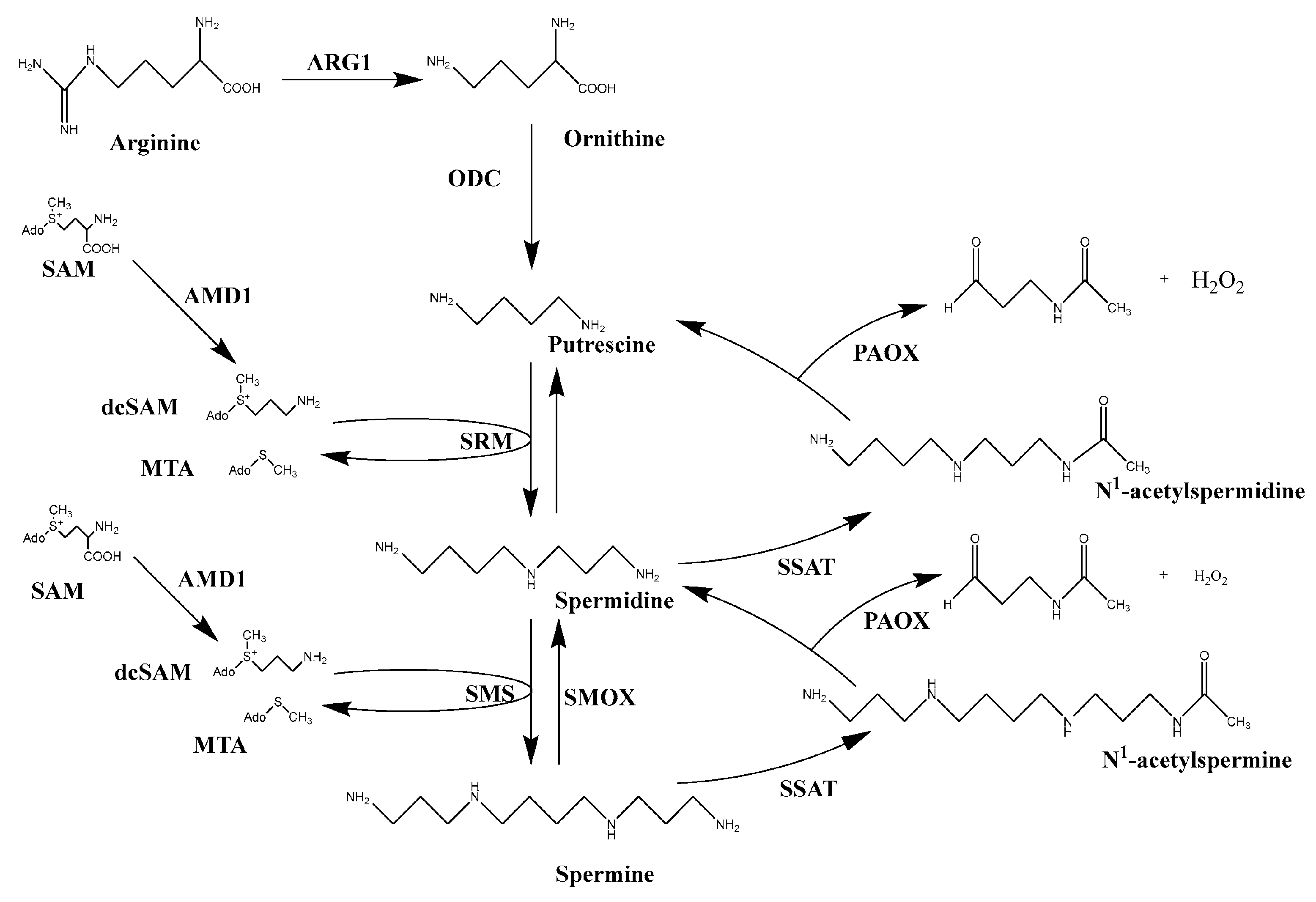
PAs are cationic aliphatic metabolites with multiple amino groups. Unlike classical phytohormones, PA concentrations typically exceed micromolar thresholds in plant systems. These low-molecular-weight nitrogenous compounds modulate fundamental processes including mitotic regulation, fruit ontogeny, and senescence suppression [200]. Ubiquitous across biological kingdoms (bacteria, animals, plants), PAs exert pleiotropic effects on cellular proliferation, differentiation, and development. Among plant species, the predominant PAs, Put, Spd, and Spm demonstrate species-dependent accumulation patterns with characteristically elevated tissue concentrations [201]. These PAs are metabolically produced from arginine through dedicated biochemical routes involving arginine decarboxylase (ADC) and ornithine decarboxylase (ODC) (Figure 6) [202] from three basic amino acids. The carbon skeletons for polyamine biosynthesis derive primarily from arginine, lysine, and ornithine precursors, whereas methionine furnishes essential aminopropyl moieties. Put, the minimal PA containing two amino groups, is biosynthesized via two enzymatic pathways: arginine → agmatine → Put catalyzed by ADC, or ornithine → Put mediated ODC. Spd containing three amino groups and Spm containing four amino groups are formed through sequential aminopropyl transfer from decarboxylated S-adenosylmethionine to Put, with spermidine synthase and spermine synthase catalyzing these reactions, respectively [203].
Figure 6. Polyamine synthesis and catabolism [203].
Previous research indicated that declining PA levels in fruits correlate with senescence, whereas the accumulation of free PAs like Spd and Spm may be linked to tissue growth and organogenesis [204]. As summarized in Table 3, several studies have investigated preharvest PA application effects on fruit quality. Applying 1–2 mM Put or Spd preharvest notably prolonged the shelf life of fresh pistachios and apricots’ by slowing quality deterioration [170,171,205]. Similarly, preharvest treatments with Put and Spd enhanced the antioxidant system in grape and jujube fruit [157,172]. Sayyad-Amin et al. [173] also examined the impact of PAs applied preharvest on pears, and found that 0.25 mM Spd specifically increased total sugar content and antioxidant levels relative to controls.

6.5. Effectiveness of Plant Essential Oils, Extracts, and Elicitors in Fruit Preservation

Postharvest losses due to spoilage remain a significant challenge, driving research into natural preservation methods. Essential oils (EOs), plant extracts (PEs), and elicitors represent distinct approaches with different mechanisms and varying effectiveness (Figure 1). EOs are volatile compounds extracted from plant material via distillation, and are highly effective broad-spectrum antimicrobials. Their lipophilic nature disrupts microbial cell membranes, inhibiting growth on fruit surfaces. Recent studies showed that chitosan-based coatings incorporating thyme or citral EOs significantly reduced decay in citrus and mangoes [206,207]. However, their major drawback is their strong odor and potential phytotoxicity at higher doses, which can compromise fruit aroma, taste, and even cause surface scalding, limiting practical application.
Other types of plant extracts have broader bioactivity but may present problems in standardizing formulations, ensuring stability, and eliminating undesirable residues on fruit. For example, extracts from pomegranate peel or rosemary leaves [27] require specific solvents to obtain the wider range of nonvolatile compounds like polyphenols and flavonoids. These offer the dual benefits of antimicrobial and antioxidant activity, which slows enzymatic browning and oxidative spoilage. Another example is coatings of aloe vera-ginger extract that increase the shelf life of strawberries by reducing microbial load and lipid oxidation [208]. The primary challenge is the active compound concentration and developing stable formulations that do not leave.
Elicitors like jasmonic acid and salicylic acid are indirect defense activators for systemic resistance. They are applied to stimulate a fruit’s innate defense responses, triggering the production of natural antimicrobial compounds such as phytoalexins or strengthening cell walls. This approach is sustainable and can create a systemic resistance against pathogens. A 2022 study demonstrated that melatonin pretreatment effectively elicited defense enzymes in peaches, enhancing resistance against Monilinia fructicola [209]. The limitation is that effectiveness depends on the fruit’s physiological response, which can vary by species and maturity, and it typically works best as a pre-or post-harvest dip rather than an immediate curative treatment. For fruit preservation, EOs produce a rapid, powerful antimicrobial action but risk altering sensory qualities. Plant extracts provide a more balanced antioxidant and antimicrobial benefit but may require more involved formulation. Elicitors are a proactive, sustainable strategy that boosts the fruit’s own defenses, but they lack immediate potency and the effects are less predictable. The most effective future applications may lie in synergistic combinations, such as using a jasmonic acid elicitor coating embedded with low doses of thyme EO to simultaneously provide immediate protection while inducing long-term resistance.

7. Efficacy, Mechanisms, and Commercial Challenges

7.1. Controlling Postharvest Fruit Decay with Plant Extracts

Following harvest, fruits experience complex physiological shifts that heighten susceptibility to specific diseases, accelerate quality decline, and ultimately lead to increased wastage [5]. Postharvest deterioration is predominantly caused by fungal pathogens such as Penicillium spp. and Botrytis cinerea [210,211]. While the application of synthetic fungicides remains the most efficacious strategy for controlling postharvest fungal infections due to their rapid action [212], concerns regarding their potential adverse impacts on human health have spurred interest in green alternatives for fruit protection and preservation [213]. Numerous phytochemicals and antioxidants have demonstrated efficacy in maintaining quality and suppressing diseases during storage [214]. Notably, extracts derived from Ruta chalepensis and Eucalyptus globulus, along with NLE, exhibit potent efficacy in managing postharvest fruit diseases and prolonging shelf life, positioning them as safer alternatives to synthetic chemicals [32,213].
Despite substantial ethnobotanical documentation, scientific evidence regarding the preparation, phytochemistry, efficacy, and practical application of extracts of indigenous medicinal plants for safeguarding and preserving fruit commodities after harvesting are limited. Fungi constitute the predominant cause of postharvest spoilage in fresh fruits during transit and storage, rendering produce inedible and potentially harmful from mycotoxins, and causing significant economic losses [210].
Although global food security and sustainability fundamentally depend on crop protection and conservation, approximately one-third of annual human food production is still lost [215]. To minimize these losses, capital-intensive machinery and synthetic fungicides are commonly deployed on harvested fruit to control disease [216,217]. While advancements in food preservation technologies have mitigated disease-related deterioration [218,219,220], research continues into commercially viable, consumer-safe, and environmentally benign plant-based alternatives [221]. Concurrently, significant progress has been made by the food, pharmaceutical, and agrochemical industries in developing and utilizing natural preservatives and pesticides [222].
While conventional fruit preservation for commerce heavily relies on synthetic pesticides and fungicides [223], this underscores the necessity of evaluating plant extracts as potential replacements. The antifungal and antioxidant capacities of these extracts are associated with diverse phytochemical classes, such as cyanogenic glycosides, alkaloids, phenylpropanoids, polyketides, carbohydrates, lipids, nucleic acids, anthocyanins, and amino acids [224]. Specific examples include: fukugetin in Garcinia brasiliensis; carnosic acid, rosmanol, and carnosol in Lepidium meyenii; and citral, aspilactonol B, and 8-methyl-6-prenylquercetin in Cymbopogon citratus [213]. A critical step involves comprehensively investigating the active constituents, nutritional elements, and mineral profiles of medicinal plants to assess their biological activities, especially antimicrobial and antioxidant properties, and potential human cytotoxic and genotoxic effects. This evaluation is vital for determining the feasibility of plant-derived treatments to replace synthetic agents in postharvest fruit preservation [225].
Estimates indicate over 400,000 known plant species existed by 2015, including more than 360,000 flowering plants, with approximately 2000 new species reportedly identified each year [226]. The effectiveness of neem (Azadirachta indica) leaf extract, for instance, is attributed to a complex mixture of compounds [227,228], such as phytol, nonanoic acid, dibutyl phthalate, tritriacontane, and 1,2-benzenedicarboxylic acid. Many plants synthesize bioactive secondary compounds, including EOs and biocidal substances. Commercially available botanical fungicides like tea tree oil, jojoba oil, neem oil, and AV gel [229] are increasingly proposed as viable substitutes for synthetic fungicides in controlling postharvest fungal decay on fruit [230]. Table 4 reviews studies on postharvest fruit preservation using medicinal plant extracts.
Table 4. Antimicrobial and antioxidant plant extracts and their application in post-harvest fruit preservation.

7.2. Preventive Functions of Plant Extracts

The infrequent occurrence of phytopathogenic infections in medicinal plants indicates highly effective innate resistance mechanisms [240]. Research characterizing microbial dynamics on fruit surfaces and wound sites remains limited, primarily due to methodological challenges in analyzing complex interactions among pathogens, antagonists, host tissues, and co-occurring microorganisms. Understanding the fundamental mechanisms governing fruit disease biocontrol is essential for enhancing and expanding practical applications of plant-derived antimicrobials [241]. On fruit surfaces, bioactive phytocompounds can operate either independently or synergistically. Their antagonistic effects involve multifaceted mechanisms including nutritional competition, induced resistance, spatial dominance, antimicrobial activity, and parasitic action. Implementing effective postharvest control via plant extracts necessitates a better understanding of pathogens, antagonistic bacteria, the produce, and the environment [242].
Grigore-Gurgu et al. [243] delineated diverse pathways through which plant-derived phytochemicals exerted antimicrobial actions, including enzyme suppression, bacterial membrane destabilization, virulence factor downregulation, biofilm interference, protein synthesis inhibition and quorum sensing disruption. Tannins likely function through binding to microbial targets and inhibiting protein biosynthesis [244]. In contrast, most phenolic compounds compromise pathogen membrane integrity. Nevertheless, comprehensive understanding of these botanical agents’ mechanisms remains essential before deploying them against postharvest fruit diseases [245].
The chemical diversity in plant extracts suggests complex antimicrobial interactions rather than single-mode actions [246]. EOs function as direct antimicrobial agents against phytopathogens within plant defense systems [247]. Their synergy with other constituents further impedes resistant fungal strain development. Notably, orange [248] and shittah tree [213] extracts enhance host immunity to suppress green mold, demonstrating significant efficacy [249].
According to Zhang et al. [250], pathogen activation of the defense response brought about the toughening of cell walls, which function as a protective physical barrier, to block pathogen entry. Furthermore, this process may increase soluble phenolic concentrations in citrus peel tissues [251]. Plant-derived phytochemicals contribute to fruit defense through multiple mechanisms: microbial membrane disruption, suppression of critical metabolic pathways, and induction of pH stress via intracellular anion accumulation [251]. In vitro studies confirm these compounds significantly inhibit growth of phytopathogenic fungi [252]. Pathogenic fungi of citrus preferentially thrive in acidic-to-neutral environments rather than alkaline conditions. Acidophilic species such as P. digitatum consequently divert metabolic energy toward organic acid production rather than hyphal development, inhibiting proliferation [253]. Medicinal plant extracts effectively combat P. italicum, P. digitatum, and G. citri-aurantii by disrupting mitochondrial oxidative phosphorylation, inhibiting enzymatic activity and protein biosynthesis, and altering membrane transport dynamics [254].
The pH of plant extracts is critical for managing postharvest citrus diseases, directly influencing conidial germination [251], and it reduces the aggressiveness of pathogens in colonizing host tissues. Yusoff et al. [255] investigated the mode of action of antifungal compounds derived from bitter leaf extract (Vernonia amygdalina), and showed that the hyphal structure of B. cinerea was modified after exposure to bitter leaf phytochemicals. Fungal mycelia displayed morphological alterations including contorted structures with serrated margins and agglutinated forms featuring desiccated hyphal tips and collapsed conidia, effectively suppressing fungal development [256]. B. cinerea’s prolific asexual spores, while readily dispersed, may paradoxically limit gray mold transmission between proximate fruits by saturating infection sites. Synergistic combinations of antifungal agents demonstrate enhanced efficacy against B. cinerea growth and proliferation. Regarding oxidative mechanisms, Yang et al. (2015) [257] delineated multiple antioxidant pathways: (i) localized oxygen depletion, (ii) radical scavenging to inhibit chain initiation, (iii) metal ion chelation preventing peroxide decomposition, and (iv) peroxide conversion to non-radical species. Phenolic compounds and aromatic amines function as chain-terminating antioxidants. Within postharvest horticulture and food industries, antioxidants are defined as compounds that inhibit oxidation of susceptible substrates, such as lipids, at low concentrations [213]. Medicinal plant alkaloids exhibit dual functionality. Their hydroxyl groups neutralize reactive species while tertiary nitrogen enables ferrous ion chelation [258,259]. Similarly, terpenoids and saponins mitigate reactive oxygen species (ROS) generation, inhibiting lipid peroxidation and reducing oxidative stress [260,261].

7.3. Limits and Practical Challenges to Commercialization

The shift from synthetic fungicides to natural alternatives like plant extracts and elicitors is a promising field driven by consumer demand for safer food and sustainable agricultural practices. However, their path to widespread commercial adoption is fraught with significant technical and practical hurdles that must be critically addressed.

7.3.1. Limits of Plant Extracts and Elicitors

Firstly, there are toxicity and safety concerns. While many source plants are deemed “Generally Recognized As Safe” (GRAS), the safety profile of a concentrated extract can differ vastly from that of the whole plant. The extraction process can concentrate not only beneficial compounds but also potential toxins, allergens, or compounds that may cause off-target effects in humans. For instance, some herbal extracts rich in alkaloids or specific polyphenols may require extensive toxicological evaluation. Furthermore, in many jurisdictions (e.g., EU, USA, UK), a new plant extract used as a preservative may be classified as a “Novel Food,” requiring extensive and expensive toxicological studies (acute, sub-chronic toxicity, genotoxicity) to prove its safety for human consumption, a major regulatory and financial barrier [262]. While generally considered safe, the long-term health impacts of routinely consuming fruits treated with elicitors like methyl jasmonate at commercial doses are not fully understood and require rigorous assessment. Secondly, there are concerns about sensory acceptance, a critical consumer-facing challenge. This is perhaps the most immediate barrier to consumer adoption. Many plant extracts at effective antimicrobial concentrations, impart strong, bitter, pungent, or herbal notes (e.g., from thyme, oregano, or neem) that are undesirable in most fruits, which have a distinctive aroma and are expected to be sweet [263,264]. Some extracts, particularly those rich in polyphenols, can have intense colors (deep yellow, brown, green) that can stain the fruit’s surface an unnatural and unappealing color. As noted by Sivakumar & Bautista-Baños (2014), oil-based extracts or crude formulations can also leave a greasy or sticky residue on the fruit surface, adversely affecting the tactile experience and overall consumer acceptability [265]. Thirdly, stability and efficacy of the extracts need to be considered. Bioactive compounds like phenolics, flavonoids, and terpenes are often sensitive to light, heat, and oxygen, and their potency can degrade rapidly during storage, which is unacceptable for industrial supply chains [266]. The compounds can bind to fruit tissues or other components in a coating formulation, reducing their bioavailability to act against pathogens, and the pH of the fruit surface and its native microbiota can also deactivate certain compounds. Another significant challenge is the limited spectrum of activity of some extracts, which may be effective against one common mold (e.g., Botrytis cinerea) but completely ineffective against another (e.g., Penicillium expansum), necessitating complex mixtures that further complicate formulation, safety, and regulation.

7.3.2. Industrial Feasibility and Practical Challenges for Commercialization

First, standardization and quality control need to be considered. Reproducing an extract with identical efficacy across thousands of batches is extremely difficult and costly. The chemical profile of a plant extract is highly dependent on the plant’s genotype, the climate and soil, the harvest time, and postharvest processing. This leads to significant batch-to-batch variability [267]. For many botanicals, the specific compound(s) responsible for the antimicrobial effect, the active principles, are unknown. Without this knowledge, standardizing the product based on a consistent marker compound is impossible, which may lead to unpredictable results and problems gaining regulatory approval. Second, regulatory hurdles need to be confronted and overcome. Navigating the complex regulatory landscape is a time-consuming task. Obtaining approval from agencies like the FDA (USA), EFSA (EU), or Codex (FAO/WHO) for a new natural antimicrobial requires a substantial investment of time (often several years) and capital (millions of dollars), which is often prohibitive for small and medium-sized enterprises. The requirement for extensive toxicological data for novel food applications, as mentioned earlier, is the single biggest regulatory hurdle [268]. Third, cost-effectiveness and scalability must be considered. Sourcing sufficient high-quality, consistent plant material without competing with the food, feed, and pharmaceutical industries is a major challenge. Sophisticated extraction techniques like supercritical CO2 extraction are efficient but have high initial capital and operational costs compared to the application of approved synthetic fungicides. Solvent extraction requires additional steps for solvent removal and purification, adding to the cost [269]. Furthermore, developing efficient, large-scale application methods (e.g., spraying, dipping, fumigation) that ensure uniform coverage without damaging delicate fruits adds another layer of engineering complexity and cost.
The preservative formulation itself must have a long shelf life to fit into existing logistics, which can be difficult for unstable extracts. While “natural” is a selling point, labels stating “treated with rosemary extract” might confuse some consumers, requiring clear, positive messaging. Ultimately, the performance must be comparable to conventional methods. A shorter extension of shelf-life or a slightly higher failure rate can be unacceptable to retailers and distributors who rely on the predictable and long-lasting efficacy of synthetic fungicides. To sum up, while plant extracts and elicitors offer a compelling, sustainable alternative to synthetic postharvest fungicides, their journey “from lab to supermarket” is complex. The primary limitations are not just scientific (efficacy) but deeply practical: ensuring sensory acceptance, guaranteeing consistent quality, navigating regulatory pathways, and achieving cost-effectiveness at an industrial scale. Overcoming these challenges will require interdisciplinary efforts involving food chemists, engineers, toxicologists, and marketers. Future success likely lies in optimizing delivery systems (e.g., nanoencapsulation for stability and to mask unacceptable odors and flavors) and using these natural treatments as part of a hurdle technology approach within an integrated management strategy.

8. Current Status, Limits, and Future Prospects

8.1. Current Status

Research on plant extracts and elicitors for fruit preservation has moved from laboratory proof-of-concept to applied and commercial exploration. The field is driven by consumer demand for reduced synthetic pesticide residues and sustainable “green” technologies. Numerous studies confirm the efficacy of various extracts (e.g., from pomegranate peel [143], citrus [104], neem [81], and many spices) against key postharvest pathogens in vitro and on fruit. Application methods have advanced from simple dipping to incorporation into edible coatings (e.g., chitosan, alginate) which improve adhesion and provide for controlled-release [265]. The elicitor approach focuses on enhancing the fruit’s own defense mechanisms. Compounds like jasmonic acid, salicylic acid, chitosan, and yeast extracts are widely shown to induce systemic resistance, delay ripening, and reduce chilling injury in various fruits [270]. Commercial products exist, but some effects are significant, while others are not [271]. Many patents have been filed for specific formulations [272]. which indicates strong commercial interest and a move towards protecting innovative formulations for market advantage.

8.2. Limitations

First, the strong odor, flavor, and sometimes color of many plant extracts can alter the sensory properties of the fruit, making consumer acceptance a major hurdle [273]. Second, the chemical composition of plant extracts varies with genetic, environmental, and processing factors, leading to batch-to-batch inconsistency. Many bioactive compounds are also unstable and degrade under light, heat, or oxygen, compromising efficacy during storage. The third limitation is regulatory hurdles. In most regions, new plant-based preservatives require extensive safety toxicology data and approval as a “Novel Food” additive, which is a costly and time-consuming process [274]. In addition, sourcing raw materials, extraction, and stabilization processes are often more expensive than producing synthetic fungicides, making cost-competitiveness a significant challenge for large-scale adoption.

8.3. Future Prospects

The future lies in innovative technologies that overcome current limitations. First, nano-encapsulation, which involves encapsulating extracts in nanocarriers such as liposomes and cyclodextrins, is a promising strategy to mask flavors, protect bioactive compounds from degradation, and enable their controlled release, thereby enhancing efficacy and sensory properties. Second, ‘hurdle technology’ creates synergistic effects by combining low doses of plant extracts with other non-thermal methods like UV-C, biocontrol agents, and hot water treatment. This approach allows for the use of lower, sensorially acceptable doses of extracts while improving overall efficacy. Third, using elicitors to stimulate the fruit’s innate immunity is a highly sustainable approach with strong potential, especially for organic production systems. Research will focus on optimizing application protocols for different fruit types. In conclusion, while already a commercial reality for specific applications (notably chitosan-based products), the broader use of plant extracts and elicitors depends on advancing formulation science to ensure consistency, stability, and no compromise on the sensory quality of the fresh fruit.

9. Conclusions

Plant-based extracts and elicitors represent a promising and sustainable strategy for mitigating postharvest losses and preserving fruit quality. As evidenced by extensive research and bibliometric analysis, these natural alternatives, ranging from essential oils and botanical extracts to signaling molecules like methyl jasmonate and salicylic acid, exert their effects through multifaceted mechanisms. These include direct antimicrobial and antioxidant activities, as well as the induction of the fruit’s own defense systems, thereby delaying ripening, reducing decay, and alleviating chilling injury.
However, the transition from laboratory research to widespread commercial application faces significant challenges. Key limitations include the potential impact of strong odors and flavors on sensory acceptability, batch-to-batch variability in extract composition, regulatory hurdles for novel food applications, and cost-effectiveness compared to synthetic fungicides. Future prospects necessitate overcoming these barriers through technological innovations. The development of nano-encapsulation techniques to improve stability and mask flavors, the strategic integration of these natural compounds within hurdle technologies, and the optimization of elicitor application protocols are critical directions. By addressing these challenges, plant-based preservatives can move beyond niche applications to become reliable, eco-friendly components of integrated postharvest management, effectively meeting consumer demand for safe, high-quality fruit with minimal synthetic chemical residues.

Author Contributions

Conceptualization, D.C., Y.Y. and Z.S.; methodology, D.C. and Z.G.; writing—original draft preparation, Z.G., Z.S., L.L. and Y.Y.; writing—review and editing, D.C., J.Z. and L.L.; funding acquisition, Z.S. and J.Z. All authors have read and agreed to the published version of the manuscript.

Funding

This research was funded by the Henan Province Provincial Science and Technology Research Project (192102110150).

Data Availability Statement

Not applicable.

Conflicts of Interest

Author Jianshe Zhao was employed by Henan Zhongyuan Organic Agriculture Research Institute Co., Ltd. The remaining authors declare that the research was conducted in the absence of any commercial or financial relationships that could be constructed as a potential conflict of interest.

Abbreviations

The following abbreviations are used in this manuscript:
ASAAcetyl salicylic acid
ADCArginine decarboxylase
APXAscorbate peroxidase
APKAscorbate
ACEOAcorus calamus essential oil
APSAstragalus polysaccharides
AVAloe vera
CIChilling injury
CMCCarboxymethyl cellulose
CBFC-repeat/dehydration response element binding factor
CATCatalase
DWDistilled water
ECPEEdible coatings based on plant extracts
EOsEssential oils
FDAThe US Food and Drug Administration
FIFagonia indica
GRASGenerally recognized as safe
GAGum arabic
HAEsHomogenizer-assisted extractions
HSPsHeat shock proteins
JAJasmonic acid
MeJAMethyl jasmonic acid
MeSaMethyl salicylate
MAEsModern advanced microwave-extractions
MLEmoringa leaf extract
MAPsMedicinal and aromatic plants
NLENeem leaf extract
MMoringa
MDAMalondialdehyde
OAOxalic acid
ODCOrnithine decarboxylase
PAsPolyamines
PALPhenylalanine ammonia lyase
PODPeroxidase
PPOPolyphenol oxidase
PutPutrescine
RHRelative humidity
RERice bran extract
RSReducing sugars
ROS Reactive oxygen species
SODSuperoxide dismutase
SARSystemic acquired resistance
SSCSoluble solid content
SpdSpermidine
SpmSpermine
SASalicylic acid
TATotal acidity
TSTotal sugars
UAEUltrasonic-extraction
VCVitamin C

References

  1. Bajaj, K.; Adhikary, T.; Gill, P.P.S.; Kumar, A. Edible coatings enriched with plant-based extracts preserve postharvest quality of fruits: A review. Prog. Org. Coat. 2023, 182, 107669. [Google Scholar] [CrossRef]
  2. Jarić, S.; Kostić, O.; Mataruga, Z.; Pavlović, D.; Pavlović, M.; Mitrović, M.; Pavlović, P. Traditional wound-healing plants used in the balkan region (Southeast europe). J. Ethnopharmacol. 2018, 211, 311–328. [Google Scholar] [CrossRef]
  3. Mohammadzadeh, V.; Barani, M.; Amiri, M.S.; Yazdi, M.E.T.; Hassanisaadi, M.; Rahdar, A.; Varma, R.S. Applications of plant-based nanoparticles in nanomedicine: A review. Sustain. Chem. Pharm. 2022, 25, 100606. [Google Scholar] [CrossRef]
  4. Plaskova, A.; Mlcek, J. New insights of the application of water or ethanol-water plant extract rich in active compounds in food. Front. Nutr. 2023, 10, 1118761. [Google Scholar] [CrossRef] [PubMed]
  5. Ferdousi, J.; Hossain, M.I.; Saha, S.R.; Rob, M.; Afroz, T.; Pramanik, S.; Islam, M.R.; Nath, D.D. Postharvest physiology of fruits and vegetables and their management technology: A review. J. Anim. Plant Sci. 2024, 34, 291–303. [Google Scholar] [CrossRef]
  6. Zhang, W.L.; Pan, Y.G.; Jiang, Y.M.; Zhang, Z.K. Advances in control technologies and mechanisms to treat peel browning in postharvest fruit. Sci. Hortic. 2023, 311, 111798. [Google Scholar] [CrossRef]
  7. Li, C.H.; Cao, S.F.; Yang, Z.F.; Watkins, C.B.; Wang, K.T. The physiology, molecular biology and biochemistry in ripening and stored fruit. Front. Plant Sci. 2023, 14, 1296816. [Google Scholar] [CrossRef]
  8. Abdullahi, A.; Tijjani, A.; Abubakar, A.; Khairulmazmi, A.; Ismail, M. Plant biomolecule antimicrobials: An alternative control measures for food security and safety of the chapter. In Herbal Biomolecules in Healthcare Applications; Elsevier: Amsterdam, The Netherlands, 2022; pp. 381–406. [Google Scholar]
  9. Roy, S.; Priyadarshi, R.; Lopusiewicz, L.; Biswas, D.; Chandel, V.; Rhim, J.W. Recent progress in pectin extraction, characterization, and pectin-based films for active food packaging applications: A review. Int. J. Biol. Macromol. 2023, 239, 124248. [Google Scholar] [CrossRef]
  10. Manzoor, A.; Yousuf, B.; Pandith, J.A.; Ahmad, S. Plant-derived active substances incorporated as antioxidant, antibacterial or antifungal components in coatings/films for food packaging applications. Food Biosci. 2023, 53, 102717. [Google Scholar] [CrossRef]
  11. Kumar, N.; Pratibha Prasad, J.; Yadav, A.; Upadhyay, A.; Neeraj Shukla, S.; Petkoska, A.T.; Heena Suri, S.; Gniewosz, M.; Kieliszek, M. Recent trends in edible packaging for food applications—Perspective for the future. Food Eng. Rev. 2023, 15, 718–747. [Google Scholar] [CrossRef]
  12. Tian, B.R.; Liu, J.Y.; Yang, W.Z.X.; Wan, J.B. Biopolymer food packaging films incorporated with essential oils. J. Agric. Food Chem. 2023, 71, 1325–1347. [Google Scholar] [CrossRef]
  13. Nastasi, J.R.; Kontogiorgos, V.; Daygon, V.D.; Fitzgerald, M.A. Pectin-based films and coatings with plant extracts as natural preservatives: A systematic review. Trends Food Sci. Technol. 2022, 120, 193–211. [Google Scholar] [CrossRef]
  14. Chen, C.H.; Chen, L.; Mao, C.Y.; Jin, L.G.; Wu, S.L.; Zheng, Y.F.; Cui, Z.D.; Li, Z.Y.; Zhang, Y.; Zhu, S.L.; et al. Natural extracts for antibacterial applications. Small 2024, 20, e2306553. [Google Scholar] [CrossRef]
  15. Li, C.C.; Chen, L.; Mcclements, D.J.; Liu, W.M.; Long, J.; Qiu, C.; Wang, Y.; Yang, Z.Y.; Xu, Z.L.; Meng, M.; et al. Utilization of plant extracts to control the safety and quality of fried foods-a review. Compr. Rev. Food Sci. Food Saf. 2023, 22, 2310–2345. [Google Scholar] [CrossRef] [PubMed]
  16. Unal, S.; Sabir, F.K.; Sabir, A. Aloe vera treatments extend the postharvest life of table grapes by delaying weight loss, berry softening, rachis browning, and biochemical changes. Erwerbs-Obstbau 2022, 64, 767–775. [Google Scholar] [CrossRef]
  17. Sowmyashree, A.; Sharma, R.R.; Rudra, S.G.; Verma, M.K.; Grover, M. Influence of plant extract and edible coatings on quality of nectarine (Prunus persica) fruits. Indian J. Agric. Sci. 2021, 91, 113–116. [Google Scholar] [CrossRef]
  18. Bertolo, M.R.V.; De Oliveira, J.G.; Lamonica, G.C.; Bezerra, C.; Martins, V.D.A.; Ferreira, M.D.; Plepis, A.M.D.; Junior, S.B. Improvement of the physical-chemical, microbiological, volatiles and sensory quality of strawberries covered with chitosan/gelatin/pomegranate peel extract-based coatings. Food Chem. 2025, 471, 142755. [Google Scholar] [CrossRef]
  19. El-Gioushy, S.F.; Abdelkader, M.F.M.; Mahmoud, M.H.; Abou El Ghit, H.M.; Fikry, M.; Bahloul, A.M.E.; Morsy, A.R.; Lo’ay, A.A.; Abdelaziz, A.; Alhaithloul, H.A.S.; et al. The effects of a gum arabic-based edible coating on guava fruit characteristics during storage. Coatings 2022, 12, 90. [Google Scholar] [CrossRef]
  20. Gull, A.; Bhat, N.; Wani, S.M.; Masoodi, F.A.; Amin, T.; Ganai, S.A. Shelf life extension of apricot fruit by application of nanochitosan emulsion coatings containing pomegranate peel extract. Food Chem. 2021, 349, 129149. [Google Scholar] [CrossRef]
  21. Afonso, S.; Oliveira, I.; Ribeiro, C.; Vilela, A.; Meyer, A.S.; Gonçalves, B. Innovative edible coatings for postharvest storage of sweet cherries. Sci. Hortic. 2023, 310, 111738. [Google Scholar] [CrossRef]
  22. Durovic, S.D.; Smyatskaya, Y.A.; Tosti, T. Editorial: Extracts from plants and other natural sources: Application, characterization, optimization, and their use. Front. Nutr. 2024, 11, 1506537. [Google Scholar] [CrossRef]
  23. Oesper, L.; Merico, D.; Isserlin, R.; Bader, G.D. Wordcloud: A cytoscape plugin to create a visual semantic summary of networks. Source Code Biol. Med. 2011, 6, 7. [Google Scholar] [CrossRef]
  24. Zhang, L.L.; Ling, J.; Lin, M.W. Risk management research in east asia: A bibliometric analysis. Int. J. Intell. Comput. Cybern. 2023, 16, 574–594. [Google Scholar] [CrossRef]
  25. Ingulsrud, J.E.; Kai, K.; Kadowaki, S.; Kurobane, S.; Shiobara, M. The assessment of cross-cultural experience: Measuring awareness through critical text analysis. Int. J. Intercult. Relat. 2002, 26, 473–491. [Google Scholar] [CrossRef]
  26. Pham-Duc, B.; Nguyen, H.; Le Minh, C.; Khanh, L.H.; Trung, T. A bibliometric and content analysis of articles in remote sensing from vietnam indexed in scopus for the 2000–2019 period. Ser. Rev. 2020, 46, 275–285. [Google Scholar] [CrossRef]
  27. Nasir, A.; Shaukat, K.; Hameed, I.A.; Luo, S.H.; Mahboob, T.; Iqbal, F. A bibliometric analysis of corona pandemic in social sciences: A review of influential aspects and conceptual structure. IEEE Access 2020, 8, 133377–133402. [Google Scholar] [CrossRef] [PubMed]
  28. Ghoshal, G.; Sandal, S. Neem essential oil: Extraction, characterization, and encapsulation. Food Chem. Adv. 2024, 4, 100702. [Google Scholar] [CrossRef]
  29. Li, J.Y.; Dadmohammadi, Y.; Abbaspourrad, A. Flavor components, precursors, formation mechanisms, production and characterization methods: Garlic, onion, and chili pepper flavors. Crit. Rev. Food Sci. Nutr. 2022, 62, 8265–8287. [Google Scholar] [CrossRef]
  30. Baicus, A.; Mattuzzi, F.C.; Paraschiv, A.M.; Dinu, R.S.; Dumitrescu, M.C.; Marinescu, A.A.; Ionescu, D.; Dragos, D. Antibacterial activity of clove, oregano, thyme, eucalyptus, and tea tree essential oils against Escherichia coli and Klebsiella pneumoniae strains. Rev. Romana De Med. De Lab. 2022, 30, 327–338. [Google Scholar] [CrossRef]
  31. Faheem, F.; Liu, Z.W.; Rabail, R.; Haq, I.U.; Gul, M.; Bryla, M.; Roszko, M.; Kieliszek, M.; Din, A.; Aadil, R.M. Uncovering the industrial potentials of lemongrass essential oil as a food preservative: A review. Antioxidants 2022, 11, 720. [Google Scholar] [CrossRef]
  32. Szewczyk, A.; Marino, A.; Molinari, J.; Ekiert, H.; Miceli, N. Phytochemical characterization, and antioxidant and antimicrobial properties of agitated cultures of three rue species: Ruta chalepensis, Ruta corsica and Ruta graveolens. Antioxidants 2022, 11, 592. [Google Scholar] [CrossRef]
  33. Abou-Zaid, E.S.A.; Hussein, A.S.; Sultan, R.; Abo-Elyousr, K.A.M.; Sallam, N.M.A.; Bagy, H. Improvement of post-harvest quality of balady lime fruit with aloe vera gel and tea tree oil against green mold disease caused by Penicillium digitatum. J. Plant Pathol. 2024, 106, 1715–1729. [Google Scholar] [CrossRef]
  34. Abers, M.; Schroeder, S.; Goelz, L.; Sulser, A.; St Rose, T.; Puchalski, K.; Langland, J. Antimicrobial activity of the volatile substances from essential oils. BMC Complement. Med. Ther. 2021, 21, 1–14. [Google Scholar] [CrossRef] [PubMed]
  35. Chen, L.; Liao, P. Current insights into plant volatile organic compound biosynthesis. Curr. Opin. Plant Biol. 2025, 85, 102708. [Google Scholar] [CrossRef] [PubMed]
  36. Gong, X.; Huang, J.; Xu, Y.; Li, Z.; Li, L.; Li, D.; Belwal, T.; Jeandet, P.; Luo, Z.; Xu, Y. Deterioration of plant volatile organic compounds in food: Consequence, mechanism, detection, and control. Trends Food Sci. Technol. 2023, 131, 61–76. [Google Scholar] [CrossRef]
  37. Pheko-Ofitlhile, T.; Makhzoum, A. Impact of hydrodistillation and steam distillation on the yield and chemical composition of essential oils and their comparison with modern isolation techniques. J. Essent. Oil Res. 2024, 36, 105–115. [Google Scholar] [CrossRef]
  38. Qian, L.; Jia, R.; Zhao, Q.; Sun, N.; Yang, J.; Wen, J.; Li, H.; Yang, J.; Mo, L.; Gao, W. Tough, antibacterial, and antioxidant chitosan-based composite films enhanced with proanthocyanidin and carvacrol essential oil for fruit preservation. Food Res. Int. 2025, 208, 116269. [Google Scholar] [CrossRef]
  39. Ashraf, J.; Ismail, N.; Tufail, T.; Zhang, J.; Awais, M.; Zhang, Q.; Ahmed, Z.; Qi, Y.; Liu, S.; Xu, B. Fabrication of novel pullulan/carboxymethyl chitosan-based edible film incorporated with ultrasonically equipped aqueous zein/turmeric essential oil nanoemulsion for effective preservation of mango fruits. Int. J. Biol. Macromol. 2025, 294, 139330. [Google Scholar] [CrossRef]
  40. Wang, L.; Fu, H.; Tan, Q.; Wu, S.; Wang, Y.; Peng, X. Preservation effects of chitosan/polyvinyl alcohol/clove essential oil antifungal film on yellow peaches: Physicochemical properties and fruit quality assessment. Food Control 2024, 164, 110582. [Google Scholar] [CrossRef]
  41. Felicia, W.X.L.; Kobun, R.; Aqilah, N.M.N.; Mantihal, S.; Huda, N. Chitosan/aloe vera gel coatings infused with orange peel essential oils for fruits preservation. Curr. Res. Food Sci. 2024, 8, 100680. [Google Scholar] [CrossRef]
  42. Das, S.; Chaudhari, A.K.; Singh, V.K.; Dwivedy, A.K.; Dubey, N.K. Angelica archangelica essential oil loaded chitosan nanoemulsion as edible coating for preservation of table grape fruit against botrytis cinerea contamination and storage quality deterioration. Postharvest Biol. Technol. 2023, 205, 112482. [Google Scholar] [CrossRef]
  43. Rashid, A.; Qayum, A.; Liang, Q.; Kang, L.; Raza, H.; Chi, Z.; Chi, R.; Ren, X.; Ma, H. Preparation and characterization of ultrasound-assisted essential oil-loaded nanoemulsions stimulated pullulan-based bioactive film for strawberry fruit preservation. Food Chem. 2023, 422, 136254. [Google Scholar] [CrossRef]
  44. Siddique, A.B.; Ahsan, H.; Shahid, M.; Aslam, B.; Nawaz, Z.; Hussain, R.; Ahamd, M.Z.; Ataya, F.S.; Li, K. Preparation and characterization of essential oil from lavandula spica plant and its antimicrobial activity against pseudomonas aeruginosa and staphylococcus aureus. Microb. Pathog. 2025, 198, 107157. [Google Scholar] [CrossRef]
  45. Vargas-Torrico, M.F.; Aguilar-Méndez, M.A.; Ronquillo-De Jesús, E.; Jaime-Fonseca, M.R.; Von Borries-Medrano, E. Preparation and characterization of gelatin-carboxymethylcellulose active film incorporated with pomegranate (Punica granatum L.) peel extract for the preservation of raspberry fruit. Food Hydrocoll. 2024, 150, 109677. [Google Scholar] [CrossRef]
  46. Ma, J.; Liu, S.; Zeng, J.; Zhang, Y.; Chang, W.; Meng, Z.; Zhou, Y.; Zhang, W.; Ding, X.; Pan, X. Comparative metabolome and transcriptome analyses reveal the role of MeJA in improving postharvest disease resistance and maintaining the quality of rosa roxburghii fruit. Postharvest Biol. Technol. 2025, 220, 113314. [Google Scholar] [CrossRef]
  47. Luo, D.; Huang, T.; Kou, X.; Zhang, Y.; Ba, L.; Wang, X.; Cao, S. MeJA enhances antioxidant activity and reduces membrane lipid degradation by maintaining energy charge levels in crystal grapes. Postharvest Biol. Technol. 2024, 216, 113078. [Google Scholar] [CrossRef]
  48. Bolouri, P.; Salami, R.; Kouhi, S.; Kordi, M.; Asgari Lajayer, B.; Hadian, J.; Astatkie, T. Applications of essential oils and plant extracts in different industries. Molecules 2022, 27, 8999. [Google Scholar] [CrossRef] [PubMed]
  49. Kant, R.; Kumar, A. Review on essential oil extraction from aromatic and medicinal plants: Techniques, performance and economic analysis. Sustain. Chem. Pharm. 2022, 30, 100829. [Google Scholar] [CrossRef]
  50. Sulieman, A.M.E.; Abdallah, E.M.; Alanazi, N.A.; Ed-Dra, A.; Jamal, A.; Idriss, H.; Alshammari, A.S.; Shommo, S.A. Spices as sustainable food preservatives: A comprehensive review of their antimicrobial potential. Pharmaceuticals 2023, 16, 1451. [Google Scholar] [CrossRef]
  51. Dini, I.; Laneri, S. Spices, condiments, extra virgin olive oil and aromas as not only flavorings, but precious allies for our wellbeing. Antioxidants 2021, 10, 868. [Google Scholar] [CrossRef]
  52. Camele, I.; De Feo, V.; Altieri, L.; Mancini, E.; De Martino, L.; Rana, G.L. An attempt of postharvest orange fruit rot control using essential oils from mediterranean plants. J. Med. Food 2010, 13, 1515–1523. [Google Scholar] [CrossRef] [PubMed]
  53. Kozłowska, M.; Ścibisz, I.; Przybył, J.L.; Laudy, A.E.; Majewska, E.; Tarnowska, K.; Małajowicz, J.; Ziarno, M. Antioxidant and antibacterial activity of extracts from selected plant material. Appl. Sci. 2022, 12, 9871. [Google Scholar] [CrossRef]
  54. Raybaudi-Massilia, R.M.; Mosqueda-Melgar, J.; Martin-Belloso, O. Edible alginate-based coating as carrier of antimicrobials to improve shelf-life and safety of fresh-cut melon. Int. J. Food Microbiol. 2008, 121, 313–327. [Google Scholar] [CrossRef] [PubMed]
  55. Liu, L.; Zhang, Y.; Jin, L.; Abdollahi, M.; Zhao, G.; Venkatachalam, K.; Ban, Z. Controlled release and stability enhancement of cinnamon essential oil in glutathione-modified soy protein particles: Its antimicrobial application for fresh-cut cantaloupe. Food Res. Int. 2025, 211, 116523. [Google Scholar] [CrossRef]
  56. Gutierrez-Pacheco, M.; Ortega-Ramirez, L.; Cruz-Valenzuela, M.; Silva-Espinoza, B.; Gonzalez-Aguilar, G.; Gutiérrez-Pacheco, S.; Ayala-Zavala, J. Combinational approaches for antimicrobial packaging: Pectin and cinnamon leaf oil of the chapter. In Antimicrobial Food Packaging, 2nd ed.; Elsevier: Amsterdam, The Netherlands, 2025; pp. 879–886. [Google Scholar]
  57. Ayala-Zavala, J.F.; Silva-Espinoza, B.; Cruz-Valenzuela, M.; Leyva, J.; Ortega-Ramírez, L.; Carrazco-Lugo, D.; Pérez-Carlón, J.; Melgarejo-Flores, B.; González-Aguilar, G.; Miranda, M. Pectin–cinnamon leaf oil coatings add antioxidant and antibacterial properties to fresh-cut peach. Flavour Fragr. J. 2013, 28, 39–45. [Google Scholar] [CrossRef]
  58. Tripathi, P. Evaluation of Some Plant Products Against Fungi Causing Post Harvest Diseases of Some Fruits. Ph.D. Thesis, Department of Botany, Banaras Hindu University, Varanasi, India, 2001. [Google Scholar]
  59. Al-Mijalli, S.H.; Mrabti, H.N.; Abdallah, E.M.; Assaggaf, H.; Qasem, A.; Alenazy, R.; Bouyahya, A.; Alshabrmi, F.M.; El Hachlafi, N. Acorus calamus as a promising source of new antibacterial agent against pseudomonas aeruginosa and staphylococcus aureus: Deciphering volatile compounds and mode of action. Microb. Pathog. 2025, 200, 107357. [Google Scholar] [CrossRef]
  60. Zhao, H.; Zhang, S.; Ma, D.; Liu, Z.; Qi, P.; Wang, Z.; Di, S.; Wang, X. Review of fruits flavor deterioration in postharvest storage: Odorants, formation mechanism and quality control. Food Res. Int. 2024, 182, 114077. [Google Scholar] [CrossRef]
  61. Vaou, N.; Stavropoulou, E.; Voidarou, C.; Tsigalou, C.; Bezirtzoglou, E. Towards advances in medicinal plant antimicrobial activity: A review study on challenges and future perspectives. Microorganisms 2021, 9, 2041. [Google Scholar] [CrossRef]
  62. Baljeet, S.Y.; Simmy, G.; Ritika, Y.; Roshanlal, Y. Antimicrobial activity of individual and combined extracts of selected spices against some pathogenic and food spoilage microorganisms. Int. Food Res. J. 2015, 22, 2594–2600. [Google Scholar]
  63. Vajpayee, M.; Singh, M.; Dave, H.; Ledwani, L. Application of acid protease for eco-friendly pre-treatment of goat skin to improve antimicrobial finish using herbal natural extracts. J. Am. Leather Chem. Assoc. 2023, 118, 219–234. [Google Scholar] [CrossRef]
  64. Li, J.H.; Azam, M.; Noreen, A.; Umer, M.A.; Ilahy, R.; Akram, M.T.; Qadri, R.; Khan, M.A.; Rehman, S.U.; Hussain, I.; et al. Application of methyl jasmonate to papaya fruit stored at lower temperature attenuates chilling injury and enhances the antioxidant system to maintain quality. Foods 2023, 12, 2743. [Google Scholar] [CrossRef]
  65. Wijewardane, R.N.A.; Guleria, S. Effect of pre-cooling, fruit coating and packaging on postharvest quality of apple. J. Food Sci. Technol. 2013, 50, 325–331. [Google Scholar] [CrossRef] [PubMed]
  66. Fang, J.Q.; Yin, Z.F.; Zhang, T.H.; Yang, W.C.; Fang, T.Q.; Wang, Y.; Guo, N. Preparation and characterization of carvacrol/e-polylysine loaded antimicrobial nanobilayer emulsion and its application in mango preservation. Food Chem. 2024, 446, 138831. [Google Scholar] [CrossRef] [PubMed]
  67. Khan, A.; Azam, M.; Shen, J.; Ghani, M.A.; Khan, A.S.; Ahmad, S.; Iqbal, M.A.; Anjum, N.; Zhang, J.; Anjum, M.A. Overall quality maintenance of grapefruit during cold storage using pre-storage neem leaf extract dipping. J. Food Meas. Charact. 2021, 15, 1727–1736. [Google Scholar] [CrossRef]
  68. Wang, S.Y.; Shi, X.C.; Liu, F.Q.; Laborda, P. Effects of exogenous methyl jasmonate on quality and preservation of postharvest fruits: A review. Food Chem. 2021, 353, 129482. [Google Scholar] [CrossRef]
  69. Sangprayoon, P.; Supapvanich, S.; Youryon, P.; Wongs-Aree, C.; Boonyaritthongchai, P. Efficiency of salicylic acid or methyl jasmonate immersions on internal browning alleviation and physicochemical quality of queen pineapple cv. “Sawi” fruit during cold storage. J. Food Biochem. 2019, 43, e13059. [Google Scholar] [CrossRef]
  70. Lee, S.H.; Baek, S.M.; Jeong, I.; Heo, W.; Hwang, K.A.; Han, B.K.; Kim, Y.J. Anti-browning and oxidative enzyme activity of rice bran extract treatment on freshly cut ‘fuji’ apple. Agronomy 2022, 12, 86. [Google Scholar] [CrossRef]
  71. Zhang, X.Y.; Meng, W.B.; Chen, Y.L.; Peng, Y. Browning inhibition of plant extracts on fresh-cut fruits and vegetables-a review. J. Food Process. Preserv. 2022, 46, 16532. [Google Scholar] [CrossRef]
  72. Zhang, Y.; Li, X.K.; Wang, C.J.; Zhang, R.X.; Jin, L.S.; He, Z.T.; Tian, S.P.; Wu, K.H.; Wang, F.M. Prospect-pmp plus: Simultaneous retrievals of chlorophyll a and b, carotenoids and anthocyanins in the leaf optical properties model. Sensors 2022, 22, 25. [Google Scholar] [CrossRef]
  73. Hamann, D.; Puton, B.M.S.; Comin, T.; Colet, R.; Valduga, E.; Zeni, J.; Steffens, J.; Junges, A.; Backes, G.T.; Cansian, R.L. Active edible films based on green tea extract and gelatin for coating of fresh sausage. Meat Sci. 2022, 194, 108966. [Google Scholar] [CrossRef]
  74. Saleh, E.; Morshdy, A.E.; El-Manakhly, E.; Al-Rashed, S.; FHetta, H.; Jeandet, P.; Yahia, R.; El-Saber Batiha, G.; Ali, E. Effects of olive leaf extracts as natural preservative on retailed poultry meat quality. Foods 2020, 9, 1017. [Google Scholar] [CrossRef] [PubMed]
  75. El Dessouky Abdel-Aziz, M.; Samir Darwish, M.; Mohamed, A.H.; El-Khateeb, A.Y.; Hamed, S.E. Potential activity of aqueous fig leaves extract, olive leaves extract and their mixture as natural preservatives to extend the shelf life of pasteurized buffalo milk. Foods 2020, 9, 615. [Google Scholar] [CrossRef] [PubMed]
  76. Naher, J.; Nilsuwan, K.; Palamae, S.; Hong, H.; Zhang, B.; Osako, K.; Benjakul, S. Ethanolic extracts from mint (Mentha arvensis) and basil (Ocimum basilicum) leaves: Antioxidant, antimicrobial capacities and shelf-life extension of refrigerated squid mantle cut. Int. Aquat. Res. 2023, 15, 313–332. [Google Scholar] [CrossRef]
  77. Ma, Y.; Chen, J.; Song, Z.; Wang, W.; Cao, Y.; Yu, Q. Preparation and characterization of chitosan/polyvinyl alcohol/ginkgo biloba leaf extract composite film and its effect on chilled beef preservation. Int. J. Biol. Macromol. 2025, 305, 141124. [Google Scholar] [CrossRef]
  78. Lestari, E.N.E.; Nisa, K.; Suryani, A.E.; Kusumaningsih, T. Encapsulation of Peperomia pellucida (l.) kunth leaf extract for postharvest preservation of malang apple (Malus sylvestris) at ambient storage. Food Biosci. 2024, 61, 104808. [Google Scholar] [CrossRef]
  79. Vieira, J.M.; Flores-López, M.L.; De Rodríguez, D.J.; Sousa, M.C.; Vicente, A.A.; Martins, J.T. Effect of chitosan-aloe vera coating on postharvest quality of blueberry (Vaccinium corymbosum) fruit. Postharvest Biol. Technol. 2016, 116, 88–97. [Google Scholar] [CrossRef]
  80. Donat, A.; Sucu, S. The effect of pre-harvest and post-harvest aloe vera gel treatments on fruit quality and storage performance of table grapes. Sci. Hortic. 2024, 331, 113117. [Google Scholar] [CrossRef]
  81. Siddiqua, M.; Khan Sa, K.U.; Tabassum, P.; Sultana, S. Effects of neem leaf extract and hot water treatments on shelf life and quality of banana: Effect of plant extract and hot water on banana. J. Bangladesh Agric. Univ. 2018, 16, 351–356. [Google Scholar] [CrossRef]
  82. Joshi, R.L.; Sharma, H.; Mehta, V.N.; Patel, S.K.; Bambharoliya, K. Azadirachta indica derived copper oxide nanoparticles: A sustainable approach for reducing post-harvest losses and enhancing mango quality. Food Chem. 2025, 480, 143625. [Google Scholar] [CrossRef]
  83. Turan, E.; Şimşek, A. Effects of lyophilized black mulberry water extract on lipid oxidation, metmyoglobin formation, color stability, microbial quality and sensory properties of beef patties stored under aerobic and vacuum packaging conditions. Meat Sci. 2021, 178, 108522. [Google Scholar] [CrossRef]
  84. Castangia, I.; Manca, M.L.; Allaw, M.; Hellström, J.; Granato, D.; Manconi, M. Jabuticaba (Myrciaria jaboticaba) peel as a sustainable source of anthocyanins and ellagitannins delivered by phospholipid vesicles for alleviating oxidative stress in human keratinocytes. Molecules 2021, 26, 6697. [Google Scholar] [CrossRef]
  85. Al-Juhaimi, F.; Babtain, I.A.; Ahmed Ia, M.; Alsawmahi, O.N.; Ghafoor, K.; Adiamo, O.Q.; Babiker, E.E. Assessment of oxidative stability and physicochemical, microbiological, and sensory properties of beef patties formulated with baobab seed (Adansonia digitata) extract. Meat Sci. 2020, 162, 108044. [Google Scholar] [CrossRef]
  86. Rahman, M.; Alam, M.; Monir, M.; Ahmed, K. Comprehensive effects of black cumin (Nigella sativa) and synthetic antioxidant on sensory and physicochemical quality of beef patties during refrigerant storage. J. Agric. Food Res. 2021, 4, 100145. [Google Scholar] [CrossRef]
  87. Jeżo, A. Valorization of tree bark-derived suberin in applications for the bio-based composites industry--a recent review. J. Renew. Mater. 2024, 12, 16585–16593. [Google Scholar] [CrossRef]
  88. Yitbarek, R.M.; Admassu, H.; Idris, F.M.; Fentie, E.G. Optimizing the extraction of essential oil from cinnamon leaf (Cinnamomum verum) for use as a potential preservative for minced beef. Appl. Biol. Chem. 2023, 66, 47. [Google Scholar] [CrossRef]
  89. Chen, D.; Wang, Q.; Yang, Y.; Zhang, Y.; Zuo, P.; Guo, Y.; Shen, Z. Preservative effects of osmanthus fragrans flower flavonoids on fresh-cut yuluxiang pear. Heliyon 2024, 10, e29748. [Google Scholar] [CrossRef] [PubMed]
  90. Chaari, M.; Elhadef, K.; Akermi, S.; Ben Akacha, B.; Fourati, M.; Chakchouk Mtibaa, A.; Ennouri, M.; Sarkar, T.; Shariati, M.A.; Rebezov, M. Novel active food packaging films based on gelatin-sodium alginate containing beetroot peel extract. Antioxidants 2022, 11, 2095. [Google Scholar] [CrossRef]
  91. Giampieri, F.; Battino, M. Bioactive phytochemicals and functional food ingredients in fruits and vegetables. Int. J. Mol. Sci. 2020, 21, 3278. [Google Scholar] [CrossRef]
  92. Derbassi, N.; Pedrosa, M.C.; Heleno, S.; Fernandes, F.; Dias, M.I.; Calhelha, R.C.; Rodrigues, P.; Carocho, M.; Ferreira, I.; Barros, L. Arbutus unedo leaf extracts as potential dairy preservatives: Case study on quark cheese. Food Funct. 2022, 13, 5442–5454. [Google Scholar] [CrossRef]
  93. Parafati, L.; Siracusa, L.; Pesce, F.; Restuccia, C.; Fallico, B.; Palmeri, R. Mango (Mangifera indica L.) young leaf extract as brine additive to improve the functional properties of mozzarella cheese. Food Chem. 2023, 425, 136474. [Google Scholar] [CrossRef]
  94. Hurtado-Romero, A.; Zepeda-Hernández, A.; Uribe-Velázquez, T.; Rosales-De La Cruz, M.F.; Raygoza-Murguía, L.V.; Garcia-Amezquita, L.; García-Cayuela, T. Utilization of blueberry-based ingredients for formulating a synbiotic petit suisse cheese: Physicochemical, microbiological, sensory, and functional characterization during cold storage. Lwt-Food Sci. Technol. 2023, 183, 114955. [Google Scholar] [CrossRef]
  95. Sekhavatizadeh, S.S.; Abadariyan, N.; Ebrahimi, L.; Hasanzadeh, M. Effects of free and encapsulated siah-e-samarghandi grape seed extract on the physicochemical, textural, microbial, and sensorial properties of uf-feta cheese. Food Sci. Nutr. 2023, 11, 3923–3938. [Google Scholar] [CrossRef]
  96. García-Pastor, M.E.; Zapata, P.J.; Castillo, S.; Martinez-Romero, D.; Guillen, F.; Valero, D.; Serrano, M. The effects of salicylic acid and its derivatives on increasing pomegranate fruit quality and bioactive compounds at harvest and during storage. Front. Plant Sci. 2020, 11, 668. [Google Scholar] [CrossRef] [PubMed]
  97. García-Pastor, M.E.; Serrano, M.; Guillén, F.; Giménez, M.J.; Martínez-Romero, D.; Valero, D.; Zapata, P.J. Preharvest application of methyl jasmonate increases crop yield, fruit quality and bioactive compounds in pomegranate ‘mollar de elche’ at harvest and during postharvest storage. J. Sci. Food Agric. 2020, 100, 145–153. [Google Scholar] [CrossRef] [PubMed]
  98. Babaoğlu, A.S.; Unal, K.; Dilek, N.M.; Poçan, H.B.; Karakaya, M. Antioxidant and antimicrobial effects of blackberry, black chokeberry, blueberry, and red currant pomace extracts on beef patties subject to refrigerated storage. Meat Sci. 2022, 187, 108765. [Google Scholar] [CrossRef] [PubMed]
  99. Ferreira, S.M.; Matos, L.C.; Santos, L. Harnessing the potential of chestnut shell extract to enhance fresh cheese: A sustainable approach for nutritional enrichment and shelf-life extension. J. Food Meas. Charact. 2024, 18, 1559–1573. [Google Scholar] [CrossRef]
  100. Cabrera-Barjas, G.; Nesic, A.; Bravo-Arrepol, G.; Rodríguez-Llamazares, S.; Valdés, O.; Banerjee, A.; Castaño, J.; Delattre, C. Bioactive pectin-murta (Ugni molinae t.) seed extract films reinforced with chitin fibers. Molecules 2021, 26, 7477. [Google Scholar] [CrossRef]
  101. Atwaa, E.H.; Shahein, M.R.; Radwan, H.A.; Mohammed, N.S.; Aloraini, M.A.; Albezrah, N.K.A.; Alharbi, M.A.; Sayed, H.H.; Daoud, M.A.; Elmahallawy, E.K. Antimicrobial activity of some plant extracts and their applications in homemade tomato paste and pasteurized cow milk as natural preservatives. Fermentation 2022, 8, 428. [Google Scholar] [CrossRef]
  102. Gumus, D.; Kizil, M. Comparison of the reducing effects of blueberry and propolis extracts on heterocyclic aromatic amines formation in pan fried beef. Meat Sci. 2022, 186, 108746. [Google Scholar] [CrossRef]
  103. Chengolova, Z.; Ivanov, Y.; Godjevargova, T. Comparison of identification and quantification of polyphenolic compounds in skins and seeds of four grape varieties. Molecules 2023, 28, 61. [Google Scholar] [CrossRef]
  104. El-Beltagi, H.S.; Eshak, N.S.; Mohamed, H.; Bendary, E.S.A.; Danial, A.W. Physical characteristics, mineral content, and antioxidant and antibacterial activities of Punica granatum or Citrus sinensis peel extracts and their applications to improve cake quality. Plants 2022, 11, 1740. [Google Scholar] [CrossRef] [PubMed]
  105. Ivanov, Y.; Godjevargova, T. Antimicrobial polymer films with grape seed and skin extracts for food packaging. Microorganisms 2024, 12, 1378. [Google Scholar] [CrossRef] [PubMed]
  106. Li, C.; Zhang, Y.; Zhao, C.H.; Fu, X. Physicochemical characterization, antioxidative and immunoregulatory activity of polysaccharides from the flower of Hylocereus undatus (haw.) britton et rose. Int. J. Biol. Macromol. 2023, 251, 126408. [Google Scholar] [CrossRef] [PubMed]
  107. Ergin, K.N.; Karakaya, S.; Göger, G.; Sytar, O.; Demirci, B.; Duman, H. Anatomical and phytochemical characteristics of different parts of Hypericum scabrum L. Extracts, essential oils, and their antimicrobial potential. Molecules 2022, 27, 1228. [Google Scholar] [CrossRef]
  108. Belfekih, F.; Moussaif, A.; El-Mzibri, M.; Moutaouakkil, A.; Benbacer, L.; Bengueddour, R.; Iddar, A. Potential effect of fruit and flower extracts of Arbutus unedo L. On tetrahymena pyriformis exposed to a cobalt-60 source. J. Exp. Biol. Agric. Sci. 2024, 12, 237–247. [Google Scholar] [CrossRef]
  109. Nkogo, L.F.E.; Mouendou, M.S.M.; Dumarçay, S.; Engonga, P.E.; Gérardin, P. Phytochemical study, ftir and gc-ms characterization and evaluation of the antioxidant activity of Letestua durissima extracts. Forests 2024, 15, 429. [Google Scholar] [CrossRef]
  110. Chen, C.; Cai, J.; Ren, Y.H.; Xu, Y.; Liu, H.L.; Zhao, Y.Y.; Chen, X.F.; Liu, Z.B. Antimicrobial activity, chemical composition and mechanism of action of Chinese chive (Allium tuberosum rottler) extracts. Front. Microbiol. 2022, 13, 1028627. [Google Scholar] [CrossRef]
  111. Chávez-González, M.L.; Sepúlveda, L.; Verma, D.K.; Luna-García, H.A.; Rodríguez-Durán, L.V.; Ilina, A.; Aguilar, C.N. Conventional and emerging extraction processes of flavonoids. Processes 2020, 8, 434. [Google Scholar] [CrossRef]
  112. Srinivasa, C.; Mellappa, G.; Patil, S.M.; Ramu, R.; Shreevatsa, B.; Dharmashekar, C.; Kollur, S.P.; Syed, A.; Shivamallu, C. Plants and endophytes–a partnership for the coumarin production through the microbial systems. Mycology 2022, 13, 243–256. [Google Scholar] [CrossRef]
  113. Ali, S.; Mir, S.A.; Dar, B.; Ejaz, S. Sustainable Postharvest Technologies for Fruits and Vegetables; CRC Press: Boca Raton, FL, USA, 2024. [Google Scholar]
  114. Farooq, S.; Mir, S.A.; Shah, M.A.; Manickavasagan, A. Extraction techniques of the chapter. In Plant Extracts: Applications in the Food Industry; Elsevier: Amsterdam, The Netherlands, 2022; pp. 23–37. [Google Scholar]
  115. El Maaiden, E.; Bouzroud, S.; Nasser, B.; Moustaid, K.; El Mouttaqi, A.; Ibourki, M.; Boukcim, H.; Hirich, A.; Kouisni, L.; El Kharrassi, Y. A comparative study between conventional and advanced extraction techniques: Pharmaceutical and cosmetic properties of plant extracts. Molecules 2022, 27, 2074. [Google Scholar] [CrossRef]
  116. Chuo, S.C.; Nasir, H.M.; Mohd-Setapar, S.H.; Mohamed, S.F.; Ahmad, A.; Wani, W.A.; Muddassir, M.; Alarifi, A. A glimpse into the extraction methods of active compounds from plants. Crit. Rev. Anal. Chem. 2022, 52, 667–696. [Google Scholar] [CrossRef]
  117. Blicharski, T.; Oniszczuk, A. Extraction methods for the isolation of isoflavonoids from plant material. Open Chem. 2017, 15, 34–45. [Google Scholar] [CrossRef]
  118. Green, R.J. Antioxidant Activity of Peanut Plant Tissues. Master’s degree Thesis, North Carolina State University, Raleigh, NC, USA, 2004. [Google Scholar]
  119. Khaliq, G.; Ramzan, M.; Baloch, A.H. Effect of aloe vera gel coating enriched with fagonia indica plant extract on physicochemical and antioxidant activity of sapodilla fruit during postharvest storage. Food Chem. 2019, 286, 346–353. [Google Scholar] [CrossRef] [PubMed]
  120. Ali, M.; Liu, M.M.; Wang, Z.E.; Li, S.E.; Jiang, T.J.; Zheng, X.L. Pre-harvest spraying of oxalic acid improves postharvest quality associated with increase in ascorbic acid and regulation of ethanol fermentation in kiwifruit cv. Bruno during storage. J. Integr. Agric. 2019, 18, 2514–2520. [Google Scholar] [CrossRef]
  121. Shah, S.; Hashmi, M.S. Chitosan-aloe vera gel coating delays postharvest decay of mango fruit. Hortic. Environ. Biotechnol. 2020, 61, 279–289. [Google Scholar] [CrossRef]
  122. Mendy, T.K.; Misran, A.; Mahmud, T.M.M.; Ismail, S.I. Application of Aloe vera coating delays ripening and extend the shelf life of papaya fruit. Sci. Hortic. 2019, 246, 769–776. [Google Scholar] [CrossRef]
  123. Sempere-Ferre, F.; Giménez-Santamarina, S.; Roselló, J.; Santamarina, M.P. Antifungal in vitro potential of aloe vera gel as postharvest treatment to maintain blueberry quality during storage. LWT 2022, 163, 113512. [Google Scholar] [CrossRef]
  124. Delta, B.A. Antifungal effect of aloe vera extract on otomycosis: A review. Eureka Herba Indones. 2022, 3, 159–163. [Google Scholar] [CrossRef]
  125. Mazón-Suástegui, J.M.; Salas-Leiva, J.; Teles, A.; Tovar-Ramírez, D. Immune and antioxidant enzyme response of longfin yellowtail (Seriola rivoliana) juveniles to ultra-diluted substances derived from phosphorus, silica and pathogenic vibrio. Homeopathy 2019, 108, 43–53. [Google Scholar] [CrossRef]
  126. Jagana, D.; Hegde, Y.R.; Lella, R. Bioefficacy of essential oils and plant oils for the management of banana anthracnose-a major post-harvest disease. Int. J. Curr. Microbiol. Appl. Sci. 2018, 7, 2359–2365. [Google Scholar] [CrossRef]
  127. Pérez-Cordero, A.; Chamorro-Anaya, L.; Vitola-Romero, D.; Hernández-Gómez, J. Antifungal activity of Cymbopogon citratus against Colletotrichum gloesporioides. Agron. Mesoam. 2017, 28, 465–475. [Google Scholar] [CrossRef]
  128. Pinto, L.; Cefola, M.; Bonifacio, M.A.; Cometa, S.; Bocchino, C.; Pace, B.; De Giglio, E.; Palumbo, M.; Sada, A.; Logrieco, A.F.; et al. Effect of red thyme oil (Thymus vulgaris L.) vapours on fungal decay, quality parameters and shelf-life of oranges during cold storage. Food Chem. 2021, 336, 127590. [Google Scholar] [CrossRef] [PubMed]
  129. García-Ramírez, E.; Contreras-Oliva, A.; Salinas-Ruiz, J.; Hernández-Ramírez, G.; Spinoso-Castillo, J.L.; Cuevas, S.I.C. Plant extracts control in vitro growth of disease-causing fungi in chayote. Plants 2023, 12, 1800. [Google Scholar] [CrossRef] [PubMed]
  130. Mbili, N.C.; Opara, U.L.; Lennox, C.L.; Vries, F.A. Protection, Citrus and lemongrass essential oils inhibit botrytis cinerea on ‘golden delicious’,‘pink lady’and ‘granny smith’apples. J. Plant Dis. Prot. 2017, 124, 499–511. [Google Scholar] [CrossRef]
  131. Tesfay, S.Z.; Magwaza, L.S.; Mditshwa, A.; Mbili, N. Carboxyl methylcellulose (cmc) incorporated with moringa leaf and seed extracts as new postharvest organic edible coating for avocado (Persea americana mill.) fruit. In Proceedings of the 7th International Conference on Managing Quality in Chains (MQUIC)/2nd International Symposium on Ornamentals/13th International Protea Research Symposium, Stellenbosch, South Africa, 4–7 September 2017; pp. 161–168. [Google Scholar]
  132. Bordoh, P.K.; Ali, A.; Dickinson, M.; Siddiqui, Y. Antimicrobial effect of rhizome and medicinal herb extract in controlling postharvest anthracnose of dragon fruit and their possible phytotoxicity. Sci. Hortic. 2020, 265, 109249. [Google Scholar] [CrossRef]
  133. Anjum, M.A.; Akram, H.; Zaidi, M.; Ali, S. Effect of gum arabic and aloe vera gel based edible coatings in combination with plant extracts on postharvest quality and storability of ‘gola’ guava fruits. Sci. Hortic. 2020, 271, 109506. [Google Scholar] [CrossRef]
  134. Zaidi, M.; Akbar, A.; Ali, S.; Akram, H.; Ercisli, S.; Ilhan, G.; Sakar, E.; Marc, R.A.; Sonmez, D.A.; Ullah, R.; et al. Application of plant-based edible coatings and extracts influences the postharvest quality and shelf life potential of “surahi” guava fruits. Acs Omega 2023, 8, 19523–19531. [Google Scholar] [CrossRef]
  135. Kilic, M.; Gollan, P.J.; Aro, E.-M.; Rintamaki, E. Jasmonic acid signaling and glutathione coordinate plant recovery from high light stress. Plant Physiol. 2025, 197, 143. [Google Scholar] [CrossRef]
  136. Tzortzakis, N.G. Maintaining postharvest quality of fresh produce with volatile compounds. Innov. Food Sci. Emerg. Technol. 2007, 8, 111–116. [Google Scholar] [CrossRef]
  137. Jia, H.F.; Zhang, C.; Pervaiz, T.; Zhao, P.C.; Liu, Z.J.; Wang, B.J.; Wang, C.; Zhang, L.; Fang, J.G.; Qian, J.P. Jasmonic acid involves in grape fruit ripening and resistant against Botrytis cinerea. Funct. Integr. Genom. 2016, 16, 79–94. [Google Scholar] [CrossRef]
  138. Glowacz, M.; Roets, N.; Sivakumar, D. Control of anthracnose disease via increased activity of defence related enzymes in ‘hass’ avocado fruit treated with methyl jasmonate and methyl salicylate. Food Chem. 2017, 234, 163–167. [Google Scholar] [CrossRef]
  139. Zapata, P.J.; Martínez-Esplá, A.; Guillen, F.; Diaz-Mula, H.M.; Martinez-Romero, D.; Serrano, M.; Valero, D. Preharvest application of methyl jasmonate (MeJA) in two plum cultivars. 2. Improvement of fruit quality and antioxidant systems during postharvest storage. Postharvest Biol. Technol. 2014, 98, 115–122. [Google Scholar] [CrossRef]
  140. Ruiz-Aracil, M.C.; Valverde, J.M.; Lorente-Mento, J.M.; Carrión-Antolí, A.; Castillo, S.; Martínez-Romero, D.; Guillén, F. Sweet cherry (Prunus avium L.) cracking during development on the tree and at harvest: The impact of methyl jasmonate on four different growing seasons. Agriculture 2023, 13, 1244. [Google Scholar] [CrossRef]
  141. García-Pastor, M.E.; Serrano, M.; Guillén, F.; Castillo, S.; Martínez-Romero, D.; Valero, D.; Zapata, P.J. Methyl jasmonate effects on table grape ripening, vine yield, berry quality and bioactive compounds depend on applied concentration. Sci. Hortic. 2019, 247, 380–389. [Google Scholar] [CrossRef]
  142. Liao, L.; Li, S.C.; Li, Y.J.; Huang, Z.H.; Li, J.H.; Xiong, B.; Zhang, M.F.; Sun, G.C.; Wang, Z.H. Pre- or post-harvest treatment with MeJA improves post-harvest storage of lemon fruit by stimulating the antioxidant system and alleviating chilling injury. Plants 2022, 11, 2840. [Google Scholar] [CrossRef]
  143. García-Pastor, M.E.; Serrano, M.; Guillén, F.; Zapata, P.J.; Valero, D. Preharvest or a combination of preharvest and postharvest treatments with methyl jasmonate reduced chilling injury, by maintaining higher unsaturated fatty acids, and increased aril colour and phenolics content in pomegranate. Postharvest Biol. Technol. 2020, 167, 111226. [Google Scholar] [CrossRef]
  144. Habibi, F.; Ramezanian, A.; Rahemi, M.; Eshghi, S.; Guillén, F.; Serrano, M.; Valero, D. Postharvest treatments with γ-aminobutyric acid, methyl jasmonate, or methyl salicylate enhance chilling tolerance of blood orange fruit at prolonged cold storage. J. Sci. Food Agric. 2019, 99, 6408–6417. [Google Scholar] [CrossRef]
  145. Zhang, W.; Jiang, H.; Cao, J.; Jiang, W. Advances in biochemical mechanisms and control technologies to treat chilling injury in postharvest fruits and vegetables. Trends Food Sci. Technol. 2021, 113, 355–365. [Google Scholar] [CrossRef]
  146. Min, D.D.; Li, F.J.; Ali, M.; Zhang, X.H.; Liu, Y.G. Application of methyl jasmonate to control chilling tolerance of postharvest fruit and vegetables: A meta-analysis and eliciting metabolism review. Crit. Rev. Food Sci. Nutr. 2024, 64, 12878–12891. [Google Scholar] [CrossRef] [PubMed]
  147. Bagheri, M.; Esna-Ashari, M. Effects of postharvest methyl jasmonate treatment on persimmon quality during cold storage. Sci. Hortic. 2022, 294, 110756. [Google Scholar] [CrossRef]
  148. Serna-Escolano, V.; Valverde, J.M.; García-Pastor, M.E.; Valero, D.; Castillo, S.; Guillen, F.; Martinez-Romero, D.; Zapata, P.J.; Serrano, M. Pre-harvest methyl jasmonate treatments increase antioxidant systems in lemon fruit without affecting yield or other fruit quality parameters. J. Sci. Food Agric. 2019, 99, 5035–5043. [Google Scholar] [CrossRef]
  149. Serna-Escolano, V.; Martínez-Romero, D.; Giménez, M.J.; Serrano, M.; García-Martínez, S.; Valero, D.; Valverde, J.M.; Zapata, P.J. Enhancing antioxidant systems by preharvest treatments with methyl jasmonate and salicylic acid leads to maintain lemon quality during cold storage. Food Chem. 2021, 338, 128044. [Google Scholar] [CrossRef]
  150. Chen, L.; Pan, Y.; Li, H.; Jia, X.; Guo, Y.; Luo, J.; Li, X. Methyl jasmonate alleviates chilling injury and keeps intact pericarp structure of pomegranate during low temperature storage. Food Sci. Technol. Int. 2021, 27, 22–31. [Google Scholar] [CrossRef]
  151. Barman, K.; Sharma, S.; Siddiqui, M.W. Effects of methyl jasmonate treatment on fruit quality properties. In Emerging Postharvest Treatment of Fruits and Vegetables; Apple Academic Press: New York, NK, USA, 2018; pp. 111–132. [Google Scholar]
  152. Giménez, M.J.; Serrano, M.; Valverde, J.M.; Martínez-Romero, D.; Castillo, S.; Valero, D.; Guillén, F. Preharvest salicylic acid and acetylsalicylic acid treatments preserve quality and enhance antioxidant systems during postharvest storage of sweet cherry cultivars. J. Sci. Food Agric. 2017, 97, 1220–1228. [Google Scholar] [CrossRef] [PubMed]
  153. Martínez-Esplá, A.; Serrano, M.; Valero, D.; Martinez-Romero, D.; Castillo, S.; Zapata, P.J. Enhancement of antioxidant systems and storability of two plum cultivars by preharvest treatments with salicylates. Int. J. Mol. Sci. 2017, 18, 1911. [Google Scholar] [CrossRef] [PubMed]
  154. Martínez-Esplá, A.; Zapata, P.J.; Valero, D.; Martínez-Romero, D.; Díaz-Mula, H.M.; Serrano, M. Preharvest treatments with salicylates enhance nutrient and antioxidant compounds in plum at harvest and after storage. J. Sci. Food Agric. 2018, 98, 2742–2750. [Google Scholar] [CrossRef] [PubMed]
  155. García-Pastor, M.E.; Zapata, P.J.; Castillo, S.; Martínez-Romero, D.; Valero, D.; Serrano, M.; Guillén, F. Preharvest salicylate treatments enhance antioxidant compounds, color and crop yield in low pigmented-table grape cultivars and preserve quality traits during storage. Antioxidants 2020, 9, 832. [Google Scholar] [CrossRef]
  156. García-Pastor, M.E.; Giménez, M.J.; Zapata, P.J.; Guillén, F.; Valverde, J.M.; Serrano, M.; Valero, D. Preharvest application of methyl salicylate, acetyl salicylic acid and salicylic acid alleviated disease caused by Botrytis cinerea through stimulation of antioxidant system in table grapes. Int. J. Food Microbiol. 2020, 334, 108807. [Google Scholar] [CrossRef]
  157. Shanbehpour, F.; Rastegar, S.; Ghasemi, M. Effect of preharvest application of calcium chloride, putrescine, and salicylic acid on antioxidant system and biochemical changes of two indian jujube genotypes. J. Food Biochem. 2020, 44, 13474. [Google Scholar] [CrossRef]
  158. Gomes, E.P.; Borges, C.V.; Monteiro, G.C.; Belin Ma, F.; Minatel, I.O.; Junior, A.P.; Tecchio, M.A.; Lima, G.P.P. Preharvest salicylic acid treatments improve phenolic compounds and biogenic amines in ‘niagara rosada’ table grape. Postharvest Biol. Technol. 2021, 176, 111505. [Google Scholar] [CrossRef]
  159. Hadjipieri, M.; Georgiadou, E.C.; Drogoudi, P.; Fotopoulos, V.; Manganaris, G.A. The efficacy of acetylsalicylic acid, spermidine and calcium preharvest foliar spray applications on yield efficiency, incidence of physiological disorders and shelf-life performance of loquat fruit. Sci. Hortic. 2021, 289, 110439. [Google Scholar] [CrossRef]
  160. Fan, X.; Du, Z.; Cui, X.; Ji, W.; Ma, J.; Li, X.; Wang, X.; Zhao, H.; Liu, B.; Guo, F.; et al. Preharvest methyl salicylate treatment enhance the chilling tolerance and improve the postharvest quality of apricot during low temperature storage. Postharvest Biol. Technol. 2021, 177, 111535. [Google Scholar] [CrossRef]
  161. Youryon, P.; Chimphakdee, N.; Supapvanich, S. Effects of preharvest salicylic acid or oxalic acid on quality of’queen’pineapple fruit harvested at different month stored at room temperature. Acta Hortic. 2017, 1256, 489–494. [Google Scholar] [CrossRef]
  162. Anwar, R.; Gull, S.; Nafees, M.; Amin, M.; Hussain, Z.; Khan, A.; Malik, A. Pre-harvest foliar application of oxalic acid improves strawberry plant growth and fruit quality. J. Hortic. Sci. Technol. 2018, 1, 35–41. [Google Scholar] [CrossRef]
  163. Martínez-Esplá, A.; Serrano, M.; Martinez-Romero, D.; Valero, D.; Zapata, P.J. Oxalic acid preharvest treatment increases antioxidant systems and improves plum quality at harvest and during postharvest storage. J. Sci. Food Agric. 2019, 99, 235–243. [Google Scholar] [CrossRef]
  164. García-Pastor, M.E.; Giménez, M.J.; Valverde, J.M.; Guillen, F.; Castillo, S.; Martinez-Romero, D.; Serrano, M.; Valero, D.; Zapata, P.J. Preharvest application of oxalic acid improved pomegranate fruit yield, quality, and bioactive compounds at harvest in a concentration-dependent manner. Agronomy 2020, 10, 1522. [Google Scholar] [CrossRef]
  165. Üzümcü, S.S.; Koyuncu, M.A.; Onursal, C.E.; Güneyli, A.; Erbaş, D. Effect of pre-harvest oxalic acid treatment on shelf-life of apricot cv.‘Roxana’. Nevşehir Bilim Ve Teknol. Derg. 2020, 9, 73–80. [Google Scholar] [CrossRef]
  166. Ahmed, M.; Ullah, S.; Razzaq, K.; Rajwana, I.; Akhtar, G.; Naz, A.; Amin, M.; Khalid, M.; Khalid, S. Pre-harvest oxalic acid application improves fruit size at harvest, physico chemical and sensory attributes of ‘red flesh’ apricot during fruit ripening. J. Hortic. Sci. Technol. 2021, 4, 48–55. [Google Scholar] [CrossRef]
  167. Serna-Escolano, V.; Giménez, M.J.; Castillo, S.; Valverde, J.M.; Martínez-Romero, D.; Guillén, F.; Serrano, M.; Valero, D.; Zapata, P.J. Preharvest treatment with oxalic acid improves postharvest storage of lemon fruit by stimulation of the antioxidant system and phenolic content. Antioxidants 2021, 10, 963. [Google Scholar] [CrossRef]
  168. García-Pastor, M.E.; Giménez, M.J.; Serna-Escolano, V.; Guillén, F.; Valero, D.; Serrano, M.; García-Martínez, S.; Terry, L.A.; Alamar, M.C.; Zapata, P.J. Oxalic acid preharvest treatment improves colour and quality of seedless table grape ‘magenta’ upregulating on-vine abscisic acid metabolism, relative vvnced1 gene expression, and the antioxidant system in berries. Front. Plant Sci. 2021, 12, 740240. [Google Scholar] [CrossRef]
  169. Retamal-Salgado, J.; Adaos, G.; Cedeño-García, G.; Ospino-Olivella, S.; Vergara-Retamales, R.; Lopéz, M.; Olivares, R.; Hirzel, J.; Olivares-Soto, H.; Betancur, M. Preharvest applications of oxalic acid and salicylic acid increase fruit firmness and polyphenolic content in blueberry (Vaccinium corymbosum L.). Horticulturae 2023, 9, 639. [Google Scholar] [CrossRef]
  170. Erbaș, D.; Koyuncu, M.; Onursal, C. Effects of pre-and postharvest spermidine treatments on storage life and quality of ‘aprikoz’ apricot. Acta Hortic. 2018, 785–792. [Google Scholar] [CrossRef]
  171. Mirdehghan, S.; Khanamani, Z.; Shamshiri, M.; Hokmabadi, H. Preharvest foliar application of putrescine and spermine on postharvest quality of fresh pistachio. In Proceedings of the VII International Postharvest Symposium, Kuala Lumpur, Malaysia, 25–29 June 2012; pp. 299–303. [Google Scholar]
  172. Mirdehghan, S.; Rahimi, S. Pre-harvest application of polyamines enhances antioxidants and table grape (Vitis vinifera L.) quality during postharvest period. Food Chem. 2016, 196, 1040–1047. [Google Scholar] [CrossRef] [PubMed]
  173. Sayyad-Amin, P.; Davarynejadl, G.; Abedi, B. Effects of preharvest application of chemical compounds on pear (Pyrus communis cv. ‘Shekari’) fruit traits. Erwerbs-Obstbau 2022, 64, 657–662. [Google Scholar] [CrossRef]
  174. Jalili, I.; Ebadi, A.; Askari, M.A.; Kalatehjari, S.; Aazami, M.A. Foliar application of putrescine, salicylic acid, and ascorbic acid mitigates frost stress damage in Vitis vinifera cv. ‘Giziluzum’. BMC Plant Biol. 2023, 23, 1–15. [Google Scholar] [CrossRef]
  175. Ullah, C.; Chen, Y.H.; Ortega, M.A.; Tsai, C.J. The diversity of salicylic acid biosynthesis and defense signaling in plants: Knowledge gaps and future opportunities. Curr. Opin. Plant Biol. 2023, 72, 102349. [Google Scholar] [CrossRef]
  176. Li, A.X.; Sun, X.; Liu, L.J. Action of salicylic acid on plant growth. Front. Plant Sci. 2022, 13, 878076. [Google Scholar] [CrossRef]
  177. Giménez, M.J.; Valverde, J.M.; Valero, D.; Guillén, F.; Martínez-Romero, D.; Serrano, M.; Castillo, S. Quality and antioxidant properties on sweet cherries as affected by preharvest salicylic and acetylsalicylic acids treatments. Food Chem. 2014, 160, 226–232. [Google Scholar] [CrossRef]
  178. Giménez, M.J.; Valverde, J.M.; Valero, D.; Díaz-Mula, H.M.; Zapata, P.J.; Serrano, M.; Moral, J.; Castillo, S. Methyl salicylate treatments of sweet cherry trees improve fruit quality at harvest and during storage. Sci. Hortic. 2015, 197, 665–673. [Google Scholar] [CrossRef]
  179. Valverde, J.M.; Giménez, M.J.; Guillén, F.; Valero, D.; Martínez-Romero, D.; Serrano, M. Methyl salicylate treatments of sweet cherry trees increase antioxidant systems in fruit at harvest and during storage. Postharvest Biol. Technol. 2015, 109, 106–113. [Google Scholar] [CrossRef]
  180. Yuan, R.M.; Mao, L.L.; Min, T.; Zhao, Y.Y.; Duan, Y.Q.; Wang, H.X.; Lin, Q. Salicylic acid treatment inhibits ethylene synthesis and starch-sugar conversion to maintain apple fruit quality during shelf life. Sci. Hortic. 2023, 308, 111586. [Google Scholar] [CrossRef]
  181. Liang, C.C.; Cui, X.Z.; Sun, C.C.; Ye, S.X.; Huang, N.X.; Chen, R.; Zhang, A.D.; Yang, Y.Q.; Gong, H.S.; Sun, S.Y.; et al. Synergistic and antagonistic effects of preharvest salicylic acid and postharvest 1-methylcyclopropene treatments on the storage quality of apricot. Food Chem. 2023, 405, 134764. [Google Scholar] [CrossRef]
  182. Zhang, Y.T.; Li, S.L.; Deng, M.Y.; Gui, R.; Liu, Y.Q.; Chen, X.P.; Lin, Y.X.; Li, M.Y.; Wang, Y.; He, W.; et al. Blue light combined with salicylic acid treatment maintained the postharvest quality of strawberry fruit during refrigerated storage. Food Chem.-X 2022, 15, 100384. [Google Scholar] [CrossRef] [PubMed]
  183. Moradi, S.; Zamani, Z.; Moghadam, M.R.F.; Saba, M.K. Combination effects of preharvest tree net-shading and postharvest fruit treatments with salicylic acid or hot water on attributes of pomegranate fruit. Sci. Hortic. 2022, 304, 111257. [Google Scholar] [CrossRef]
  184. Zhao, Y.Y.; Song, C.C.; Brummell, D.A.; Qi, S.N.; Lin, Q.; Bi, J.F.; Duan, Y.Q. Salicylic acid treatment mitigates chilling injury in peach fruit by regulation of sucrose metabolism and soluble sugar content. Food Chem. 2021, 358, 129867. [Google Scholar] [CrossRef]
  185. Li, P.; Liu, C.; Luo, Y.; Shi, H.; Li, Q.; Pinchu, C.; Li, X.; Yang, J.; Fan, W. Oxalate in plants: Metabolism, function, regulation, and application. J. Agric. Food Chem. 2022, 70, 16037–16049. [Google Scholar] [CrossRef]
  186. Amenaghawon, A.N.; Ayere, J.E.; Amune, U.O.; Otuya, I.C.; Abuga, E.C.; Anyalewechi, C.L.; Okoro, O.V.; Okolie, J.A.; Oyefolu, P.K.; Eshiemogie, S.O. A comprehensive review of recent advances in the applications and biosynthesis of oxalic acid from bio-derived substrates. Environ. Res. 2024, 251, 118703. [Google Scholar] [CrossRef]
  187. Hasan, M.U.; Singh, Z.; Shah, H.M.S.; Kaur, J.; Woodward, A.; Afrifa-Yamoah, E.; Malik, A.U. Oxalic acid: A blooming organic acid for postharvest quality preservation of fresh fruit and vegetables. Postharvest Biol. Technol. 2023, 206, 112574. [Google Scholar] [CrossRef]
  188. Cai, X.F.; Ge, C.H.; Xu, C.X.; Wang, X.L.; Wang, S.; Wang, Q.H. Expression analysis of oxalate metabolic pathway genes reveals oxalate regulation patterns in spinach. Molecules 2018, 23, 1286. [Google Scholar] [CrossRef]
  189. Zhang, N.; Ji, N.; Liu, R.C.; Wang, R.; Chen, C.K.; Ma, C.; Nie, H.L.; Lei, J.Q.; Tao, Q.Y. Effects of pre-harvest spraying with Salicylic acid (sa) and Sodium nitroprusside (snp) on storage quality and pathogenic fungal species in ‘manaohong’ cherries. Agronomy 2023, 13, 2853. [Google Scholar] [CrossRef]
  190. Salyari, R.; Seifi, E.; Varasteh, F.; Alizadeh, M. Effects of pre-harvest salicylic acid treatment on the post-harvest quality of peach cultivar robin. J. Chem. Health Risks 2022, 12, 1041. [Google Scholar] [CrossRef]
  191. Erogul, D.; Kibar, H.; Sen, F.; Gundogdu, M. Role of postharvest oxalic acid treatment on quality properties, phenolic compounds, and organic acid contents of nectarine fruits during cold storage. Horticulturae 2023, 9, 1021. [Google Scholar] [CrossRef]
  192. Li, P.Y.; Zheng, X.L.; Chowdhury, M.G.F.; Cordasco, K.; Brecht, J.K.; Fla State Hort, S. Prestorage application of oxalic acid to alleviate chilling injury in mango fruit, In Proceedings of the 128th Annual Meeting of the Florida-State-Horticultural-Society (FSHS), St Augustine, FL, USA, 31 May–2 June 2015. pp. 190–195.
  193. Jin, P.; Zhu, H.; Wang, L.; Shan, T.M.; Zheng, Y.H. Oxalic acid alleviates chilling injury in peach fruit by regulating energy metabolism and fatty acid contents. Food Chem. 2014, 161, 87–93. [Google Scholar] [CrossRef]
  194. Wang, Z.; Cao, J.K.; Jiang, W.B. Changes in sugar metabolism caused by exogenous oxalic acid related to chilling tolerance of apricot fruit. Postharvest Biol. Technol. 2016, 114, 10–16. [Google Scholar] [CrossRef]
  195. Chen, J.X.; Tang, L.; Guo, W.L.; Wang, D.; Sun, Y.G.; Guo, C.H. Oxalic acid secretion alleviates saline-alkali stress in alfalfa by improving photosynthetic characteristics and antioxidant activity. Plant Physiol. Biochem. 2024, 208, 108475. [Google Scholar] [CrossRef]
  196. Shi, J.Y.; Gong, Z.Q.; Cao, Z.M.; Hou, F.R.; Cui, W.J.; Jia, F.J.; Jiao, J.; Zhou, Q.X.; Wang, W.L.; Wang, Y.S. Mechanism of oxalic acid delaying browning of fresh-cut apples mediated by synergistic regulation of phenol metabolism and oxidative stress. Postharvest Biol. Technol. 2025, 227, 113609. [Google Scholar] [CrossRef]
  197. Zhu, Y.Y.; Yu, J.; Brecht, J.K.; Jiang, T.J.; Zheng, X.L. Pre-harvest application of oxalic acid increases quality and resistance to penicillium expansum in kiwifruit during postharvest storage. Food Chem. 2016, 190, 537–543. [Google Scholar] [CrossRef]
  198. Lehner, A.; Meimoun, P.; Errakhi, R.; Madiona, K.; Barakate, M.; Bouteau, F. Toxic and signalling effects of oxalic acid: Oxalic acid-natural born killer or natural born protector? Plant Signal. Behav. 2008, 3, 746–748. [Google Scholar] [CrossRef]
  199. Batool, M.; Bashir, O.; Amin, T.; Wani, S.M.; Masoodi, F.A.; Jan, N.U.; Bhat, S.A.; Gul, A. Effect of oxalic acid and salicylic acid treatments on the post-harvest life of temperate grown apricot varieties (Prunus armeniaca) during controlled atmosphere storage. Food Sci. Technol. Int. 2022, 28, 557–569. [Google Scholar] [CrossRef]
  200. Qiao, J.T.; Cai, W.W.; Wang, K.; Haubruge, E.; Dong, J.; El-Seedi, H.R.; Xu, X.; Zhang, H.C. New insights into identification, distribution, and health benefits of polyamines and their derivatives. J. Agric. Food Chem. 2024, 72, 5089–5106. [Google Scholar] [CrossRef]
  201. Fariduddin, Q.; Varshney, P.; Yusuf, M.; Ahmad, A. Polyamines: Potent modulators of plant responses to stress. J. Plant Interact. 2013, 8, 1–16. [Google Scholar] [CrossRef]
  202. Cruz-Pulido, Y.E.; Lomascolo, N.J.; May, D.; Hatahet, J.; Thomas, C.E.; Chu, A.K.W.; Stacey, S.P.; Guzman, M.D.V.; Aubert, G.; Mounce, B.C. Polyamines mediate cellular energetics and lipid metabolism through mitochondrial respiration to facilitate virus replication. PLoS Path. 2024, 20, e1012711. [Google Scholar] [CrossRef]
  203. Liu, T.A.; Stewart, T.M.; Casero, R.A., Jr. The synergistic benefit of combination strategies targeting tumor cell polyamine homeostasis. Int. J. Mol. Sci. 2024, 25, 8173. [Google Scholar] [CrossRef]
  204. Gao, F.; Mei, X.; Li, Y.; Guo, J.; Shen, Y. Update on the roles of polyamines in fleshy fruit ripening, senescence, and quality. Front. Plant Sci. 2021, 12, 610313. [Google Scholar] [CrossRef]
  205. Kakkar, R.K.; Sawhney, V.K. Polyamine research in plants–a changing perspective. Physiol. Plant. 2002, 116, 281–292. [Google Scholar] [CrossRef]
  206. Shiekh, K.A.; Ngiwngam, K.; Tongdeesoontorn, W. Polysaccharide-based active coatings incorporated with bioactive compounds for reducing postharvest losses of fresh fruits. Coatings 2021, 12, 8. [Google Scholar] [CrossRef]
  207. Chen, C.; Cai, N.; Chen, J.; Peng, X.; Wan, C. Chitosan-based coating enriched with hairy fig (Ficus hirta vahl.) fruit extract for “newhall” navel orange preservation. Coatings 2018, 8, 445. [Google Scholar] [CrossRef]
  208. Kharchoufi, S.; Parafati, L.; Licciardello, F.; Muratore, G.; Hamdi, M.; Cirvilleri, G.; Restuccia, C. Edible coatings incorporating pomegranate peel extract and biocontrol yeast to reduce penicillium digitatum postharvest decay of oranges. Food Microbiol. 2018, 74, 107–112. [Google Scholar] [CrossRef]
  209. Tian, S.; Wan, Y.; Qin, G.; Xu, Y. Biotechnology, Induction of defense responses against alternaria rot by different elicitors in harvested pear fruit. Appl. Microbiol. 2006, 70, 729–734. [Google Scholar] [CrossRef]
  210. Godana, E.A.; Yang, Q.Y.; Zhang, X.Y.; Zhao, L.A.; Wang, K.L.; Dhanasekaran, S.; Mehari, T.G.; Zhang, H.Y. Biotechnological and biocontrol approaches for mitigating postharvest diseases caused by fungal pathogens and their mycotoxins in fruits: A review. J. Agric. Food Chem. 2023, 71, 17584–17596. [Google Scholar] [CrossRef]
  211. Chen, J.Y.; Shen, Y.T.; Chen, C.Y.; Wan, C.P. Inhibition of key citrus postharvest fungal strains by plant extracts in vitro and in vivo: A review. Plants 2019, 8, 26. [Google Scholar] [CrossRef]
  212. Deresa, E.M.; Diriba, T.F. Phytochemicals as alternative fungicides for controlling plant diseases: A comprehensive review of their efficacy, commercial representatives, advantages, challenges for adoption, and possible solutions. Heliyon 2023, 9, e13810. [Google Scholar] [CrossRef]
  213. Nxumalo, K.A.; Aremu, A.O.; Fawole, O.A. Potentials of medicinal plant extracts as an alternative to synthetic chemicals in postharvest protection and preservation of horticultural crops: A review. Sustainability 2021, 13, 5897. [Google Scholar] [CrossRef]
  214. Petcu, C.D.; Tapaloaga, D.; Mihai, O.D.; Gheorghe-Irimia, R.A.; Negoita, C.; Georgescu, I.M.; Tapaloaga, P.R.; Borda, C.; Ghimpeteanu, O.M. Harnessing natural antioxidants for enhancing food shelf life: Exploring sources and applications in the food industry. Foods 2023, 12, 3176. [Google Scholar] [CrossRef]
  215. Wang, X.K. Managing land carrying capacity: Key to achieving sustainable production systems for food security. Land 2022, 11, 484. [Google Scholar] [CrossRef]
  216. Ncama, K.; Magwaza, L.S.; Mditshwa, A.; Tesfay, S.Z. Plant-based edible coatings for managing postharvest quality of fresh horticultural produce: A review. Food Packag. Shelf Life 2018, 16, 157–167. [Google Scholar] [CrossRef]
  217. Riva, S.C.; Opara, U.O.; Fawole, O.A. Recent developments on postharvest application of edible coatings on stone fruit: A review. Sci. Hortic. 2020, 262, 109074. [Google Scholar] [CrossRef]
  218. Hanif, K.; Zubair, M.; Hussain, D.; Ali, S.; Saleem, M.; Khan, H.A.; Nazir, T.; Ul Hassan, M.W. Biopesticides and insect pest management. Int. J. Trop. Insect Sci. 2022, 42, 3631–3637. [Google Scholar] [CrossRef]
  219. Ogunnupebi, T.A.; Oluyori, A.P.; Dada, A.O.; Oladeji, O.S.; Inyinbor, A.A.; Egharevba, G.O. Promising natural products in crop protection and food preservation: Basis, advances, and future prospects. Int. J. Agron. 2020, 2020, 8840046. [Google Scholar] [CrossRef]
  220. Sharif, Z.M.; Mustapha, F.; Jai, J.; Yusof, N.M.; Zaki, N.M. Review on methods for preservation and natural preservatives for extending the food longevity. Chem. Eng. Res. Bull. 2017, 19, 145–153. [Google Scholar] [CrossRef]
  221. Alcorta, A.; Porta, A.; Tárrega, A.; Alvarez, M.D.; Vaquero, M.P. Foods for plant-based diets: Challenges and innovations. Foods 2021, 10, 293. [Google Scholar] [CrossRef]
  222. Santos-Sánchez, N.F.; Salas-Coronado, R.; Valadez-Blanco, R.; Hernández-Carlos, B.; Guadarrama-Mendoza, P.C. Natural antioxidant extracts as food preservatives. Acta Sci. Pol. Technol. Aliment. 2017, 16, 361–370. [Google Scholar] [CrossRef]
  223. Hosseini, A.; Saba, M.K.; Watkins, C.B. Microbial antagonists to biologically control postharvest decay and preserve fruit quality. Crit. Rev. Food Sci. Nutr. 2024, 64, 7330–7342. [Google Scholar] [CrossRef]
  224. Yan, F.J.; Tangpong, J.; Chen, W. Antioxidant properties of phytochemicals. Front. Nutr. 2024, 11, 1354987. [Google Scholar] [CrossRef]
  225. Shan, Z.J.; Ye, J.F.; Hao, D.C.; Xiao, P.G.; Chen, Z.D.; Lu, A.M. Distribution patterns and industry planning of commonly used traditional Chinese medicinal plants in China. Plant Divers. 2022, 44, 255–261. [Google Scholar] [CrossRef]
  226. Xue, D.; Wu, J.; Liu, X.; Lu, B.; Pei, S. Biodiversity inventory and researches of the chapter. In Contemporary Ecology Research in China; Springer: Berlin/Heidelberg, Germany, 2015; pp. 3–28. [Google Scholar]
  227. Saxena, M.; Saxena, J.; Nema, R.; Singh, D.; Gupta, A. Phytochemistry of medicinal plants. J. Pharmacogn. Phytochem. 2013, 1, 1778. [Google Scholar] [CrossRef]
  228. Elshafie, H.S.; Camele, I.; Mohamed, A.A. A comprehensive review on the biological, agricultural and pharmaceutical properties of secondary metabolites based-plant origin. Int. J. Mol. Sci. 2023, 24, 3266. [Google Scholar] [CrossRef]
  229. Twaij, B.M.; Hasan, M.N. Bioactive secondary metabolites from plant sources: Types, synthesis, and their therapeutic uses. Int. J. Plant Biol. 2022, 13, 4–14. [Google Scholar] [CrossRef]
  230. Heng, J.; Bechard, S.; Lach, D.; Rothstein, J.; Wang, M.H.; Ubal, S.; Mcclements, D.J.; Corvalan, C.M.; Lu, J.K. Evaluating essential oils as biocidal anti-drift adjuvants for safe and sustainable agricultural spray enhancement. J. Aerosol Sci. 2024, 181, 106421. [Google Scholar] [CrossRef]
  231. Li, J.; Hanif, M.; Azam, M.; Khan, M.A.; Umer, M.A.; Chaudhary, B.; Hussain, I.; Khan, T.A.; Rehman, S.U.; Awais, M.; et al. Effects of neem leaf extract on physiochemical traits and antioxidant activity of peach fruit during storage. J. Stored Prod. Res. 2025, 111, 102555. [Google Scholar] [CrossRef]
  232. Prasad, K.; Asrey, R.; Sethi, S.; Srivastav, M.; Singh, D.; Arora, A.; Joshi, A.; Reddy, V.R.; Meena, N.K.; Thakur, A.; et al. Preservation potential of essential oils on the postharvest quality and shelf-life attributes of mango fruit. S. Afr. J. Bot. 2024, 172, 8–18. [Google Scholar] [CrossRef]
  233. Tian, J.; Xie, S.; Zhang, P.; Wang, Q.; Li, J.; Xu, X. Attenuation of postharvest peel browning and chilling injury of banana fruit by astragalus polysaccharides. Postharvest Biol. Technol. 2022, 184, 111783. [Google Scholar] [CrossRef]
  234. Passafiume, R.; Gugliuzza, G.; Gaglio, R.; Busetta, G.; Tinebra, I.; Sortino, G.; Farina, V.J.H. Aloe-based edible coating to maintain quality of fresh-cut italian pears (Pyrus communis L.) during cold storage. Horticulturae 2021, 7, 581. [Google Scholar] [CrossRef]
  235. Kubheka, S.F.; Tesfay, S.Z.; Mditshwa, A.; Magwaza, L.S. Evaluating the efficacy of edible coatings incorporated with moringa leaf extract on postharvest of ‘maluma’avocado fruit quality and its biofungicidal effect. HortScience 2020, 55, 410–415. [Google Scholar] [CrossRef]
  236. Philemon, Y.K.; Matasyoh, J.C.; Wagara, I.N. Chemical composition and antifungal activity of the essential oil from Lippia javanica (verbenaceae). Int. J. Biotechnol. Food Sci. 2016, 4, 1–6. [Google Scholar]
  237. Bill, M.; Sivakumar, D.; Korsten, L.; Thompson, A.K. The efficacy of combined application of edible coatings and thyme oil in inducing resistance components in avocado (Persea americana mill.) against anthracnose during post-harvest storage. Crop Protect. 2014, 64, 159–167. [Google Scholar] [CrossRef]
  238. Ahmad, I.; Tanveer, M.U.; Liaqat, M.; Dole, J.M. Comparison of corm soaks with preharvest foliar application of moringa leaf extract for improving growth and yield of cut freesia hybrida. Sci. Hortic. 2019, 254, 21–25. [Google Scholar] [CrossRef]
  239. Rasouli, M.; Saba, M.K.; Ramezanian, A. Inhibitory effect of salicylic acid and aloe vera gel edible coating on microbial load and chilling injury of orange fruit. Sci. Hortic. 2019, 247, 27–34. [Google Scholar] [CrossRef]
  240. Ugboko, H.U.; Nwinyi, O.C.; Oranusi, S.U.; Fatoki, T.H.; Omonhinmin, C.A. Antimicrobial importance of medicinal plants in nigeria. Sci. World J. 2020, 2020, 7059323. [Google Scholar] [CrossRef]
  241. Talibi, I.; Boubaker, H.; Boudyach, E.H.; Ben Aoumar, A.A. Alternative methods for the control of postharvest citrus diseases. J. Appl. Microbiol. 2014, 117, 1–17. [Google Scholar] [CrossRef]
  242. Liu, J.; Sui, Y.; Chen, H.Z.; Liu, Y.Q.; Liu, Y.S. Proteomic analysis of kiwifruit in response to the postharvest pathogen, botrytis cinerea. Front. Plant Sci. 2018, 9, 158. [Google Scholar] [CrossRef]
  243. Grigore-Gurgu, L.; Dumitrascu, L.; Aprodu, I. Aromatic herbs as a source of bioactive compounds: An overview of their antioxidant capacity, antimicrobial activity, and major applications. Molecules 2025, 30, 1304. [Google Scholar] [CrossRef]
  244. Eckardt, J.; Tondi, G.; Fanchin, G.; Lach, A.; Junker, R.R. Effect of tannin furanic polymer in comparison to its mimosa tannin extract on the growth of bacteria and white-rot fungi. Polymers 2023, 15, 175. [Google Scholar] [CrossRef]
  245. Kauffmann, A.C.; Castro, V.S. Phenolic compounds in bacterial inactivation: A perspective from brazil. Antibiotics 2023, 12, 645. [Google Scholar] [CrossRef]
  246. Altemimi, A.; Lakhssassi, N.; Baharlouei, A.; Watson, D.G.; Lightfoot, D.A. Phytochemicals: Extraction, isolation, and identification of bioactive compounds from plant extracts. Plants 2017, 6, 42. [Google Scholar] [CrossRef] [PubMed]
  247. Meenu, M.; Padhan, B.; Patel, M.; Patel, R.; Xu, B.J. Antibacterial activity of essential oils from different parts of plants against Salmonella and Listeria spp. Food Chem. 2023, 404, 134723. [Google Scholar] [CrossRef] [PubMed]
  248. Alvarez, M.V.; Palou, L.; Taberner, V.; Fernández-Catalán, A.; Martínez-Blay, V.; Argente-Sanchis, M.; Pérez-Gago, M.B. Essential oils and natural plant extracts as antifungal ingredients of pectin -based edible composite coatings to control green mold and maintain postharvest quality of ‘valencia’ oranges. In Proceedings of the 6th International Symposium on Postharvest Pathology—Innovation and Advanced Technologies for Managing Postharvest Pathogens, Limassol, Cyprus, 29 May–2 June 2022; pp. 229–236. [Google Scholar]
  249. Patrignani, F.; Siroli, L.; Serrazanetti, D.I.; Gardini, F.; Lanciotti, R. Innovative strategies based on the use of essential oils and their components to improve safety, shelf-life and quality of minimally processed fruits and vegetables. Trends Food Sci. Technol. 2015, 46, 311–319. [Google Scholar] [CrossRef]
  250. Zhang, W.L.; Liu, D.; Fu, X.; Xiong, C.M.; Nie, Q.Y. Peel essential oil composition and antibacterial activities of citrus x sinensis L. Osbeck ‘tarocco’ and Citrus reticulata blanco. Horticulturae 2022, 8, 793. [Google Scholar] [CrossRef]
  251. Youssef, K.; Sanzani, S.M.; Ligorio, A.; Ippolito, A.; Terry, L.A. Sodium carbonate and bicarbonate treatments induce resistance to postharvest green mould on citrus fruit. Postharvest Biol. Technol. 2014, 87, 61–69. [Google Scholar] [CrossRef]
  252. Emanuel, I.B.; Laird, A.E.; Hand, F.P. Understanding environmental and physiological factors affecting the biology of diaporthe ilicicola, the fungus causing latent fruit rot in winterberry. Plant Dis. 2023, 107, 2986–2996. [Google Scholar] [CrossRef]
  253. Sar, T.; Marchlewicz, A.; Harirchi, S.; Mantzouridou, F.T.; Hosoglu, M.I.; Akbas, M.Y.; Hellwig, C.; Taherzadeh, M.J. Resource recovery and treatment of wastewaters using filamentous fungi. Sci. Total Environ. 2024, 951, 175752. [Google Scholar] [CrossRef]
  254. Yao, Y.J.; Li, Y.R.; Zhao, L.T.; Li, S.J.; Zhou, Z.Q. Citrus lemon (Citrus limon (L.) burm. F. Cv. Eureka) essential oil controls blue mold in citrus by damaging the cell membrane of penicillium italicum. Lwt-Food Sci. Technol. 2023, 188, 115456. [Google Scholar] [CrossRef]
  255. Yusoff, S.F.; Haron, F.F.; Asib, N.; Mohamed, M.T.M.; Ismail, S.I. Development of vernonia amygdalina leaf extract emulsion formulations in controlling gray mold disease on tomato (Lycopersicon esculentum mill.). Agronomy 2021, 11, 373. [Google Scholar] [CrossRef]
  256. Plesken, C.; Pattar, P.; Reiss, B.; Noor, Z.N.; Zhang, L.S.; Klug, K.; Huettel, B.; Hahn, M. Genetic diversity of botrytis cinerea revealed by multilocus sequencing, and identification of B. Cinerea populations showing genetic isolation and distinct host adaptation. Front. Plant Sci. 2021, 12, 663027. [Google Scholar] [CrossRef]
  257. Yang, X.N.; Khan, I.; Kang, S.C. Chemical composition, mechanism of antibacterial action and antioxidant activity of leaf essential oil of Forsythia koreana deciduous shrub. Asian Pac. J. Trop. Med. 2015, 8, 682–688. [Google Scholar] [CrossRef]
  258. Gali, L.; Bedjou, F. Antioxidant and anticholinesterase effects of the ethanol extract, ethanol extract fractions and total alkaloids from the cultivated Ruta chalepensis. S. Afr. J. Bot. 2019, 120, 163–169. [Google Scholar] [CrossRef]
  259. Gomaa, A.A.; Makboul, R.M.; El-Mokhtar, M.A.; Abdel-Rahman, E.A.; Ahmed, I.A.; Nicola, M.A. Terpenoid-rich elettaria cardamomum extract prevents alzheimer-like alterations induced in diabetic rats via inhibition of gsk3β activity, oxidative stress and pro-inflammatory cytokines. Cytokine 2019, 113, 405–416. [Google Scholar] [CrossRef]
  260. Yamaguchi, T. Antibacterial effect of the combination of terpenoids. Arch. Microbiol. 2022, 204, 1–7. [Google Scholar] [CrossRef]
  261. Smulek, W.; Makiej, A.; Jarzebski, M.; Zdarta, A.; Jeszka-Skowron, M.; Ciesielczyk, F.; Jesionowski, T.; Zdarta, J.; Kaczorek, E. Nanoemulsions of essential oils stabilized with saponins exhibiting antibacterial and antioxidative properties. Rev. Adv. Mater. Sci. 2023, 62, 337. [Google Scholar] [CrossRef]
  262. Hasan, M.M.; Islam, M.R.; Haque, A.R.; Kabir, M.R.; Khushe, K.J.; Hasan, S.K. Trends and challenges of fruit by-products utilization: Insights into safety, sensory, and benefits of the use for the development of innovative healthy food: A review. Bioresour. Bioprocess. 2024, 11, 10. [Google Scholar] [CrossRef]
  263. Chinnasamy, N.; Harishankar, N.; Kumar, P.U.; Rukmini, C. Toxicological studies on debitterized neem oil (Azadirachta indica). Food Chem. Toxicol. 1993, 31, 297–301. [Google Scholar] [CrossRef]
  264. Gibriel, A.Y.; Al-Sayed, H.M.A.; Rady, A.H.; Abdelaleem, M.A. Synergistic antibacterial activity of irradiated and nonirradiated cumin, thyme and rosemary essential oils. J. Food Saf. 2013, 33, 222–228. [Google Scholar] [CrossRef]
  265. Sivakumar, D.; Bautista-Baños, S. A review on the use of essential oils for postharvest decay control and maintenance of fruit quality during storage. Crop Protect. 2014, 64, 27–37. [Google Scholar] [CrossRef]
  266. Schnarr, L.; Olsson, O.; Kümmerer, K.J.C. Biodegradation of flavonoids–influences of structural features. Chemosphere 2024, 359, 142234. [Google Scholar] [CrossRef] [PubMed]
  267. Sun, S.; Yu, Y.; Jo, Y.; Han, J.H.; Xue, Y.; Cho, M.; Bae, S.-J.; Ryu, D.; Park, W.; Ha, K.-T. Impact of extraction techniques on phytochemical composition and bioactivity of natural product mixtures. Front. Pharmacol. 2025, 16, 1615338. [Google Scholar] [CrossRef] [PubMed]
  268. Le Bloch, J.; Rouault, M.; Langhi, C.; Hignard, M.; Iriantsoa, V.; Michelet, O. The novel food evaluation process delays access to food innovation in the european union. Sci. Food 2025, 9, 117. [Google Scholar] [CrossRef]
  269. Mungwari, C.P.; King’ondu, C.K.; Sigauke, P.; Obadele, B.A. Conventional and modern techniques for bioactive compounds recovery from plants. Sci. Afr. 2025, 27, e02509. [Google Scholar] [CrossRef]
  270. Erazo-Lara, A.E.; Garcia-Pastor, M.E.; Padilla-Gonzalez, P.A.; Serrano, M.; Valero, D. Yellow pitahaya (Selenicereus megalanthus haw.) growth and ripening as affected by preharvest elicitors (salicylic acid, methyl salicylate, methyl jasmonate, and oxalic acid): Enhancement of yield, and quality at harvest. Horticulturae 2024, 10, 493. [Google Scholar] [CrossRef]
  271. Antón-Domínguez, B.I.; Díaz-Díaz, M.; Acedo-Antequera, F.A.; Trapero, C.; Agustí-Brisach, C. Use of natural-based commercial products as an alternative for providing bioprotection against verticillium wilt of olive. J. Sci. Food Agric. 2024, 104, 6311–6321. [Google Scholar] [CrossRef]
  272. Travičić, V.; Cvanić, T.; Ćetković, G. Plant-based nano-emulsions as edible coatings in the extension of fruits and vegetables shelf life: A patent review. Foods 2023, 12, 2535. [Google Scholar] [CrossRef]
  273. Prakash, B.; Kedia, A.; Mishra, P.K.; Dubey, N.K. Plant essential oils as food preservatives to control moulds, mycotoxin contamination and oxidative deterioration of agri-food commodities—Potentials and challenges. Food Control 2015, 47, 381–391. [Google Scholar] [CrossRef]
  274. Pinto, L.; Tapia-Rodríguez, M.R.; Baruzzi, F.; Ayala-Zavala, J.F. Plant antimicrobials for food quality and safety: Recent views and future challenges. Foods 2023, 12, 2315. [Google Scholar] [CrossRef] [PubMed]
Disclaimer/Publisher’s Note: The statements, opinions and data contained in all publications are solely those of the individual author(s) and contributor(s) and not of MDPI and/or the editor(s). MDPI and/or the editor(s) disclaim responsibility for any injury to people or property resulting from any ideas, methods, instructions or products referred to in the content.

Article Metrics

Citations

Article Access Statistics

Multiple requests from the same IP address are counted as one view.