Control of Unexpected Mucor lusitanicus in Litchi Fruit by Hydrocooling with Hypochlorous Acid and Cold Storage
Abstract
1. Introduction
2. Materials and Methods
2.1. Identification and Purification of Plant Pathogenic Fungi
2.2. Effects of Temperature on Mycelial Growth
2.3. Effects of HClO on Mycelial Growth and Sporangiospore Germination
2.4. Suppression of M. lusitanicus by Both Low Temperature and HClO
2.5. Measurement of Respiration Rate and Ethylene Production
2.6. Delayed Hydrocooling of Litchi Fruit
2.7. Quality of Litchi Fruit
2.8. Statistical Analysis
3. Results
3.1. Mycelial Growth of M. lusitanicus at Different Temperatures
3.2. Effect of HClO on Mycelial Growth and Spore Germination
3.3. Suppression of M. lusitanicus by Low Temperature and HClO In Vivo
3.4. Respiration Rate and Ethylene Production at Different Temperatures
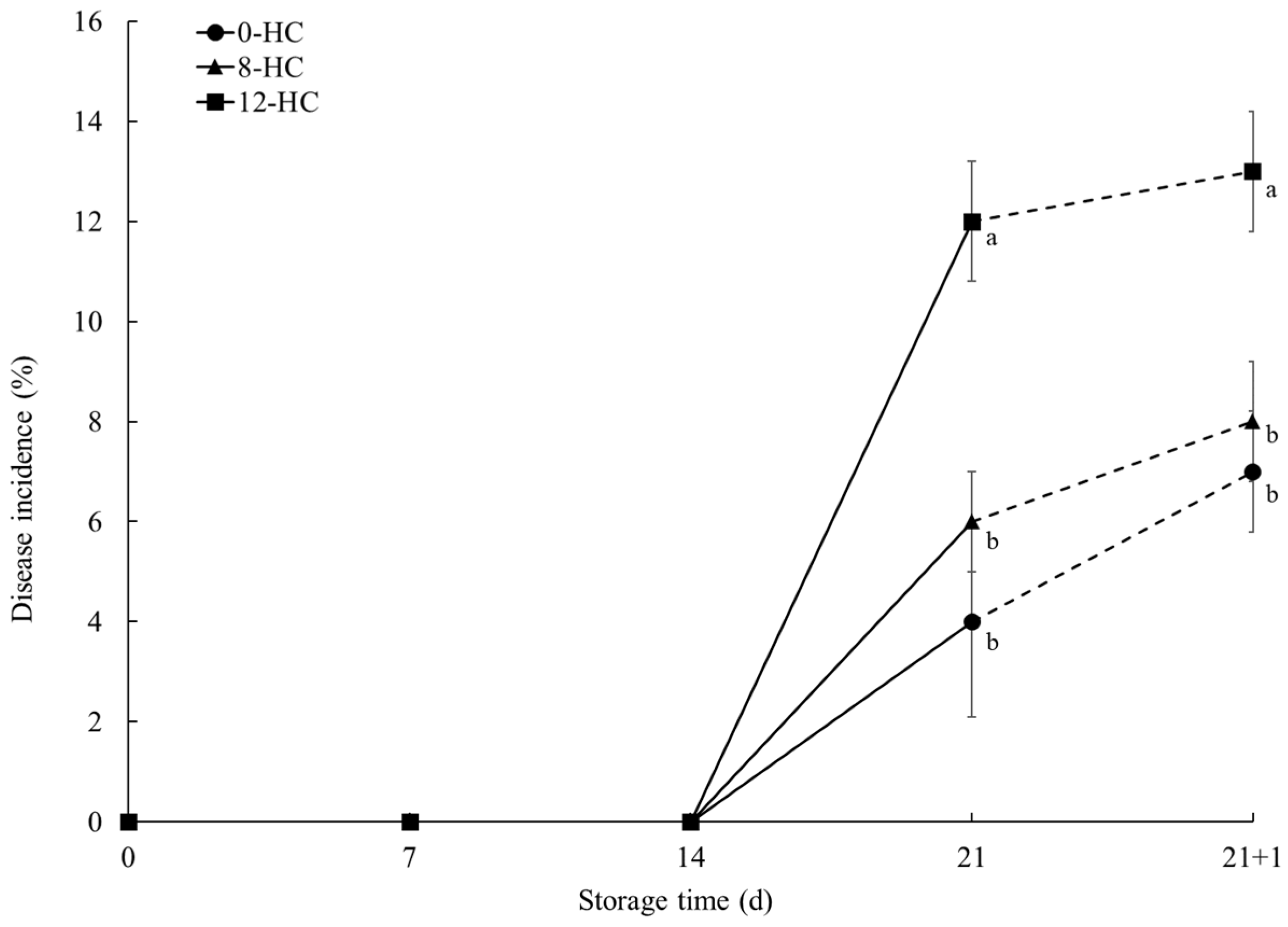
3.5. Effects of Delayed Precooling on Disease Incidence
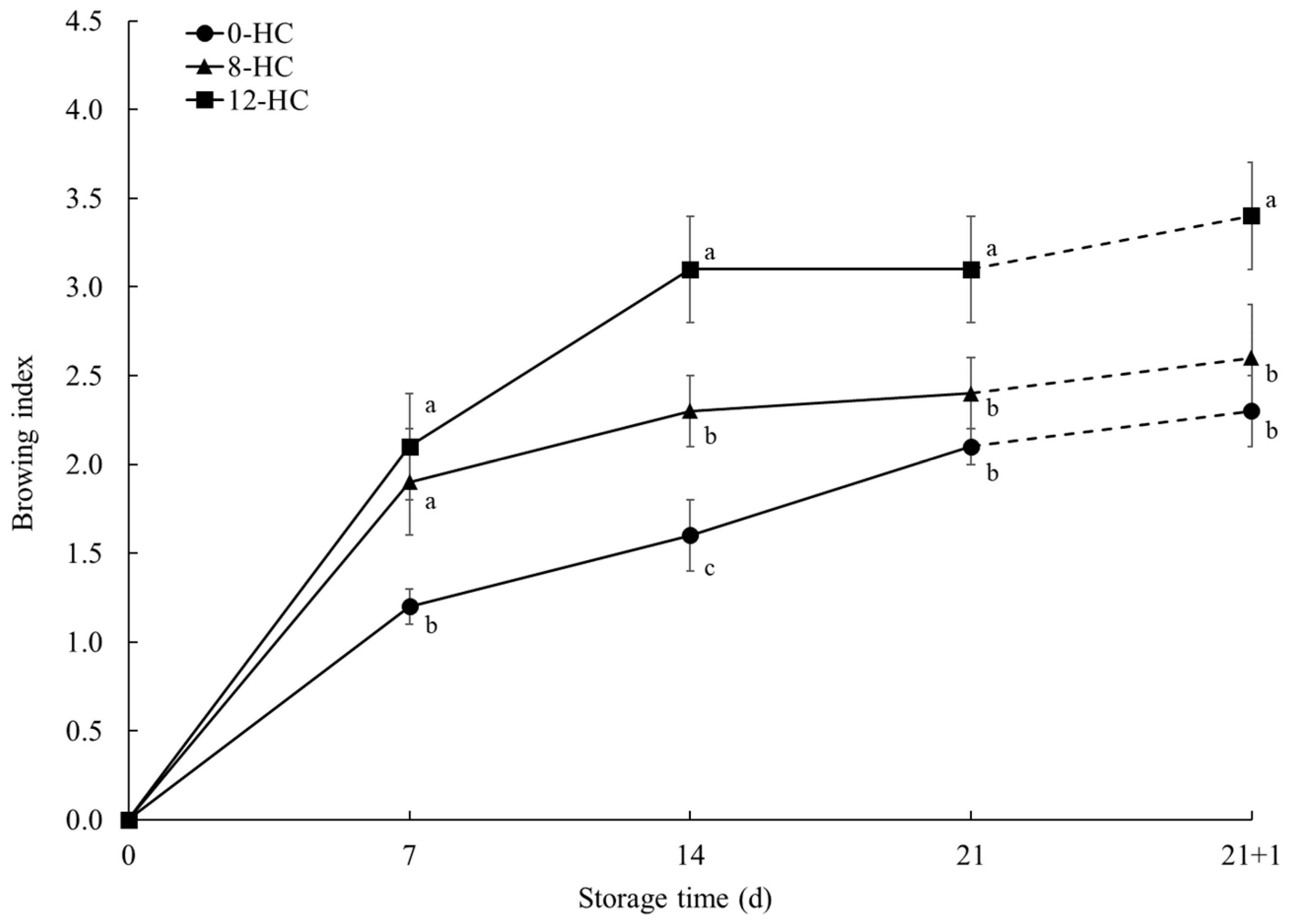
3.6. Effects of Delayed Hydrocooling on Browning and Quality Traits
4. Discussion
5. Conclusions
Supplementary Materials
Author Contributions
Funding
Data Availability Statement
Acknowledgments
Conflicts of Interest
References
- Jiang, Y.M.; Fu, J.R. Postharvest browning of litchi fruit by water loss and its prevention by controlled atmosphere storage at high relative humidity. LWT—Food Sci. Technol. 1999, 32, 278–283. [Google Scholar] [CrossRef]
- Paull, R.E.; Chen, N.J. Effect of storage temperature and wrapping on quality characteristics of litchi fruit. Sci. Hortic. 1987, 33, 223–236. [Google Scholar] [CrossRef]
- Xu, S.; Lu, H.; Sun, X. Quality detection of postharvest litchi based on electronic nose: A feasible way for litchi fruit supervision during circulation process. HortScience 2020, 55, 476–482. [Google Scholar] [CrossRef]
- Liang, Y.S.; Wongmetha, O.; Wu, P.S.; Ke, L.S. Influence of hydrocooling on browning and quality of litchi cultivar Feizixiao during storage. Int. J. Refrig. 2013, 36, 1173–1179. [Google Scholar] [CrossRef]
- Huang, C.C.; Paull, R.E.; Wang, T.-T. Litchi postharvest physiology and handling. Crop Sci. 2024, 64, 2014–2063. [Google Scholar] [CrossRef]
- Kumar, M.; Kumar, V.; Bhalla-Sarin, N.; Varma, A. Lychee Disease Management; Springer: Berlin/Heidelberg, Germany, 2017. [Google Scholar]
- Underhill, S.J.R.; Critchley, C. Lychee pericarp browning caused by heat injury. HortScience 1993, 28, 721–722. [Google Scholar] [CrossRef]
- Zauberman, G.; Ronen, R.; Akerman, M.; Weksler, A.; Rot, I.; Fuchs, Y. Post-harvest retention of the red colour of litchi fruit pericarp. Sci. Hortic. 1991, 47, 89–97. [Google Scholar] [CrossRef]
- Zhang, Z.; Pang, X.; Ji, Z.; Jiang, Y. Role of anthocyanin degradation in litchi pericarp browning. Food Chem. 2001, 75, 217–221. [Google Scholar] [CrossRef]
- Mahajan, S.B.V.C.; Singh, N.P.; Sharma, S.; Kaur, S. Hydrocooling delays pericarp browning, enzymatic activities and maintains quality of litchi fruits under cold chain conditions. Indian J. Hortic. 2019, 76, 162–167. [Google Scholar] [CrossRef]
- Archibald, A.J.; Bower, J.P. Effect of temperature management and packaging on retention of litchi colour and quality. Acta Hortic. 2008, 768, 225–232. [Google Scholar] [CrossRef]
- Ali, S.; Sattar Khan, A.; Ullah Malik, A.; Anjum, M.A.; Nawaz, A.; Shoaib Shah, H.M. Modified atmosphere packaging delays enzymatic browning and maintains quality of harvested litchi fruit during low temperature storage. Sci. Hortic. 2019, 254, 14–20. [Google Scholar] [CrossRef]
- Feliziani, E.; Lichter, A.; Smilanick, J.L.; Ippolito, A. Disinfecting agents for controlling fruit and vegetable diseases after harvest. Postharvest Biol. Technol. 2016, 122, 53–69. [Google Scholar] [CrossRef]
- Holcroft, D.M.; Mitcham, E.J. Postharvest physiology and handling of litchi (Litchi chinensis Sonn.). Postharvest Biol. Technol. 1996, 9, 265–281. [Google Scholar] [CrossRef]
- Rani, R.; Ray, P.K.; Barman, K.; Singh, R.R. Effect of precooling and low temperature storage on postharvest life of litchi fruits. Acta Hortic. 2018, 1211, 227–234. [Google Scholar] [CrossRef]
- Sivakumar, D.; Terry, L.A.; Korsten, L. An overview on litchi fruit quality and alternative postharvest treatments to replace sulfur dioxide fumigation. Food Rev. Int. 2010, 26, 162–188. [Google Scholar] [CrossRef]
- Sivakumar, D.; Bullet, L.; Korsten, L.; Zeeman, K. Postharvest Management on Quality Retention of Litchi during Storage. Fresh Produce 2007, 1, 66–75. [Google Scholar]
- De Jager, E.; Opperman, M.; Korsten, L. Quality standards in litchi packing houses: Packing house sanitation. SA Litchi Grow. Assoc. Yearb. 2000, 11, 26–29. [Google Scholar]
- Saito, S.; Michailides, T.J.; Xiao, C.L. Mucor rot—An emerging postharvest disease of mandarin fruit caused by Mucor piriformis and other Mucor spp. in California. Plant Dis. 2016, 100, 1054–1063. [Google Scholar] [CrossRef]
- Barkai-Golan, R. Chapter 3—Each fruit or vegetable and its characteristic pathogens. In Postharvest Diseases of Fruits and Vegetables; Barkai-Golan, R., Ed.; Elsevier: Amsterdam, The Netherlands, 2001; pp. 25–32. [Google Scholar]
- Saito, S.; Wang, F.; Xiao, C.L. Sensitivity of Mucor piriformis to natamycin and efficacy of natamycin alone and with salt and heat treatments against mucor rot of stored mandarin fruit. Plant Dis. 2023, 107, 3602–3607. [Google Scholar] [CrossRef]
- Wang, G.; Zhang, X. Evaluation and optimization of air-based precooling for higher postharvest quality: Literature review and interdisciplinary perspective. Food Qual. Saf. 2020, 4, 59–68. [Google Scholar] [CrossRef]
- Jafry, A.T.; Lee, C.; Kim, D.; Han, G.; Sung, W.-K.; Lee, J. Development of high concentrated slightly acidic hypochlorous acid generator for food safety. J. Mech. Sci. Technol. 2017, 31, 4541–4547. [Google Scholar] [CrossRef]
- Mostafidi, M.; Sanjabi, M.R.; Shirkhan, F.; Zahedi, M.T. A review of recent trends in the development of the microbial safety of fruits and vegetables. Trends Food Sci. Technol. 2020, 103, 321–332. [Google Scholar] [CrossRef]
- Eryilmaz, M.; Palabiyik, I.M. Hypochlorous acid-analytical methods and antimicrobial activity. Trop. J. Pharm. Res. 2013, 12, 123–126. [Google Scholar] [CrossRef]
- Hesseltine, C.W. The section genevensis of the genus Mucor. Mycologia 1954, 46, 358–366. [Google Scholar] [CrossRef]
- Saikumar, A.; Singh, A.; Kaur, K.; Kumar, N.; Sharma, S.; Dobhal, A.; Kumar, S. Numerical optimization of hypochlorous acid (HOCl) treatment parameters and its effect on postharvest quality characteristics of tomatoes. J. Agric. Food Res. 2023, 14, 100762. [Google Scholar] [CrossRef]
- Shilpa; Mahajan, B.V.C.; Singh, N.P.; Bhullar, K.S.; Kaur, S. Forced air cooling delays pericarp browning and maintains post-harvest quality of litchi fruit during cold storage. Acta Physiol. Plant. 2022, 44, 66. [Google Scholar] [CrossRef]
- Vigneault, C.; Bartz, J.A.; Sargent, S.A. Postharvest decay risk associated with hydrocooling tomatoes. Plant dis. 2000, 84, 1314–1318. [Google Scholar] [CrossRef]
- Lee, Y.-C.; Wei, Z.-W.; Yu, M.-C.; Tsay, J.-S.; Hsu, M.-C.; Huang, P.-H.; Liang, Y.-S. Effects of delayed precooling on the postharvest quality and anthracnose incidence of “Irwin” mangoes. J. Food Process. Preserv. 2024, 2024, 4004963. [Google Scholar] [CrossRef]



| Temp (°C) | Colony Diameter (cm) | ||||||
|---|---|---|---|---|---|---|---|
| 1 Day | 2 Days | 3 Days | 4 Days | 5 Days | 6 Days | 7 Days | |
| 1 | 0.00 ± 0.00 f | 0.00 ± 0.00 g | 0.00 ± 0.00 h | 0.00 ± 0.00 h | 0.00 ± 0.00 h | 0.00 ± 0.00 f | 0.00 ± 0.00 f |
| 5 | 0.00 ± 0.00 f | 0.00 ± 0.00 g | 0.25 ± 0.00 g | 0.50 ± 0.00 g | 0.83 ± 0.02 g | 1.13 ± 0.03 e | 1.72 ± 0.02 e |
| 10 | 0.00 ± 0.00 f | 0.28 ± 0.02 f | 0.97 ± 0.02 f | 1.33 ± 0.02 f | 1.87 ± 0.02 f | 2.33 ± 0.03 d | 2.70 ± 0.03 d |
| 15 | 0.65 ± 0.00 e | 1.27 ± 0.03 e | 1.97 ± 0.02 e | 2.55 ± 0.03 e | 3.18 ± 0.04 e | 3.85 ± 0.00 c | 4.57 ± 0.03 c |
| 20 | 1.18 ± 0.06 c | 2.15 ± 0.07 c | 3.03 ± 0.04 c | 3.95 ± 0.00 d | 5.20 ± 0.03 d | 6.63 ± 0.02 b | 8.05 ± 0.00 a |
| 25 | 1.95 ± 0.03 a | 3.17 ± 0.07 a | 5.23 ± 0.04 a | 6.85 ± 0.00 a | 8.58 ± 0.02 a | – z | – |
| 30 | 1.68 ± 0.03 b | 3.02 ± 0.03 b | 4.98 ± 0.03 b | 6.47 ± 0.03 b | 8.22 ± 0.02 b | 8.60 ± 0.00 a | – |
| 35 | 0.87 ± 0.02 d | 1.62 ± 0.02 d | 2.88 ± 0.02 d | 4.07 ± 0.02 c | 5.35 ± 0.03 c | 6.65 ± 0.03 b | 7.85 ± 0.00 b |
| HClO (mg L−1) | Colony Diameter (cm) | ||||||
|---|---|---|---|---|---|---|---|
| 1 Day | 2 Days | 3 Days | 4 Days | 5 Days | 6 Days | 7 Days | |
| 0 | 1.90 ± 0.03 a | 3.12 ± 0.02 a | 5.13 ± 0.02 a | 6.83 ± 0.02 a | 8.60 ± 0.00 a | - z | - |
| 5 | 0.00 ± 0.00 b | 0.00 ± 0.00 b | 2.32 ± 0.02 b | 3.53 ± 0.04 b | 4.48 ± 0.02 b | 5.62 ± 0.07 a | 6.65 ± 0.08 a |
| 10 | 0.00 ± 0.00 b | 0.00 ± 0.00 b | 2.00 ± 0.03 c | 2.97 ± 0.03 c | 4.07 ± 0.04 c | 5.20 ± 0.05 b | 6.30 ± 0.08 b |
| 20 | 0.00 ± 0.00 b | 0.00 ± 0.00 b | 1.73 ± 0.02 d | 2.75 ± 0.03 d | 3.77 ± 0.02 d | 4.65 ± 0.08 c | 5.67 ± 0.07 c |
| 40 | 0.00 ± 0.00 b | 0.00 ± 0.00 b | 0.00 ± 0.00 e | 0.00 ± 0.00 e | 0.00 ± 0.00 e | 0.00 ± 0.00 d | 0.00 ± 0.00 d |
| 80 | 0.00 ± 0.00 b | 0.00 ± 0.00 b | 0.00 ± 0.00 e | 0.00 ± 0.00 e | 0.00 ± 0.00 e | 0.00 ± 0.00 d | 0.00 ± 0.00 d |
| HClO (mg L−1) | Germination Rate (%) | Inhibition Rate (%) |
|---|---|---|
| 0 | 91.33 ± 1.69 a | 0.00 |
| 5 | 68.67 ± 1.61 b | 24.81 |
| 10 | 42.33 ± 0.95 c | 53.29 |
| 20 | 14.67 ± 0.99 d | 83.94 |
| 40 | 0.00 ± 0.00 e | 100.00 |
| 80 | 0.00 ± 0.00 e | 100.00 |
| Treatment | Colony Diameter (cm) | ||||||
|---|---|---|---|---|---|---|---|
| 1 Day | 2 Days | 3 Days | 4 Days | 5 Days | 6 Days | 7 Days | |
| Control | 0.00 ± 0.00 a | 0.26 ± 0.03 a | 0.66 ± 0.00 a | 1.32 ± 0.02 a | 1.85 ± 0.00 a | 2.31 ± 0.02 a | 2.65 ± 0.03 a |
| Tap water | 0.00 ± 0.00 a | 0.00 ± 0.00 b | 0.29 ± 0.01 b | 0.58 ± 0.02 b | 0.82 ± 0.02 b | 1.23 ± 0.03 b | 1.50 ± 0.03 b |
| 1 °C water | 0.00 ± 0.00 a | 0.00 ± 0.00 b | 0.00 ± 0.00 c | 0.25 ± 0.00 c | 0.40 ± 0.03 c | 0.73 ± 0.03 c | 0.75 ± 0.03 c |
| HClO z | 0.00 ± 0.00 a | 0.00 ± 0.00 b | 0.00 ± 0.00 c | 0.00 ± 0.00 d | 0.00 ± 0.00 d | 0.00 ± 0.00 d | 0.30 ± 0.04 d |
| 1 °C water + HClO z | 0.00 ± 0.00 a | 0.00 ± 0.00 b | 0.00 ± 0.00 c | 0.00 ± 0.00 d | 0.00 ± 0.00 d | 0.00 ± 0.00 d | 0.00 ± 0.00 e |
| Temp (°C) | Respiration Rate (mL CO2 Kg−1 H−1) | Ethylene Production (μL C2H4 Kg−1 H−1) |
|---|---|---|
| 1 | 0.65 ± 0.08 h | 0.00 ± 0.00 d |
| 5 | 1.13 ± 0.20 h | 0.00 ± 0.00 d |
| 10 | 1.51 ± 0.14 h | 0.00 ± 0.00 d |
| 15 | 4.56 ± 0.25 g | 0.00 ± 0.00 d |
| 20 | 11.42 ± 0.47 f | 0.82 ± 0.08 b,c |
| 25 | 16.25 ± 0.94 e | 0.52 ± 0.16 c,d |
| 30 | 18.49 ± 1.22 d | 1.24 ± 0.32 b |
| 35 | 24.04 ± 0.84 c | 1.39 ± 0.27 b |
| 40 | 42.48 ± 0.74 a | 2.34 ± 0.21 a |
| Delay Time (h) | Storage Time (Days) | |||
|---|---|---|---|---|
| 7 | 14 | 21 | 21 + 1 | |
| 0 | 0.42 ± 0.02 a | 0.81 ± 0.02 a | 1.23 ± 0.02 a | 1.43 ± 0.02 b |
| 8 | 0.50 ± 0.11 a | 0.93 ± 0.11 a | 1.38 ± 0.11 a | 1.60 ± 0.11 a,b |
| 12 | 0.49 ± 0.01 a | 1.08 ± 0.14 a | 1.53 ± 0.20 a | 1.82 ± 0.17 a |
| Delay Time (h) | Storage Time (Days) | ||||
|---|---|---|---|---|---|
| 0 | 7 | 14 | 21 | 21 + 1 | |
| 0 | 20.24 ± 0.19 a | 19.89 ± 0.14 a | 19.89 ± 0.09 a | 19.26 ± 0.16 a | 19.21 ± 0.15 a |
| 8 | 20.13 ± 0.12 a | 19.88 ± 0.09 a | 19.53 ± 0.12 b | 19.25 ± 0.16 a | 19.22 ± 0.13 a |
| 12 | 19.89 ± 0.19 a | 19.83 ± 0.14 a | 19.63 ± 0.10 a,b | 19.03 ± 0.18 a | 19.08 ± 0.13 a |
Disclaimer/Publisher’s Note: The statements, opinions and data contained in all publications are solely those of the individual author(s) and contributor(s) and not of MDPI and/or the editor(s). MDPI and/or the editor(s) disclaim responsibility for any injury to people or property resulting from any ideas, methods, instructions or products referred to in the content. |
© 2025 by the authors. Licensee MDPI, Basel, Switzerland. This article is an open access article distributed under the terms and conditions of the Creative Commons Attribution (CC BY) license (https://creativecommons.org/licenses/by/4.0/).
Share and Cite
Liu, I.-F.; Lin, H.-L.; Chen, C.-L. Control of Unexpected Mucor lusitanicus in Litchi Fruit by Hydrocooling with Hypochlorous Acid and Cold Storage. Horticulturae 2025, 11, 83. https://doi.org/10.3390/horticulturae11010083
Liu I-F, Lin H-L, Chen C-L. Control of Unexpected Mucor lusitanicus in Litchi Fruit by Hydrocooling with Hypochlorous Acid and Cold Storage. Horticulturae. 2025; 11(1):83. https://doi.org/10.3390/horticulturae11010083
Chicago/Turabian StyleLiu, I-Fang, Huey-Ling Lin, and Chang-Lin Chen. 2025. "Control of Unexpected Mucor lusitanicus in Litchi Fruit by Hydrocooling with Hypochlorous Acid and Cold Storage" Horticulturae 11, no. 1: 83. https://doi.org/10.3390/horticulturae11010083
APA StyleLiu, I.-F., Lin, H.-L., & Chen, C.-L. (2025). Control of Unexpected Mucor lusitanicus in Litchi Fruit by Hydrocooling with Hypochlorous Acid and Cold Storage. Horticulturae, 11(1), 83. https://doi.org/10.3390/horticulturae11010083

