Multilayer Silk Sericin-Based Coating for Controlled Release of Water and Nutrients in Soil: Development, Characterization, and Performance Evaluation in Agricultural Production Model
Abstract
1. Introduction
2. Materials and Methods
2.1. Materials
2.2. Extraction and Concentration of SS Solution
2.3. Preparation of SS/PVA Blend
2.4. Preparation of SS/CMC/PVA Mixtures
2.5. Coating of NPK Fertilizer Granules
2.6. Morphological Characterization of the Coated Fertilizer
2.7. Nutrient Release in an Aqueous Medium
2.8. Nutrient Release in Soil
2.9. Performance in an Agricultural Model
2.9.1. Description of the Agricultural Production Model
2.9.2. Growth Monitoring of Jalapeño Bell Pepper Plants
3. Results and Discussion
3.1. Characterization of Coated Fertilizer Granules
3.2. Nutrient-Release Test in an Aqueous Medium
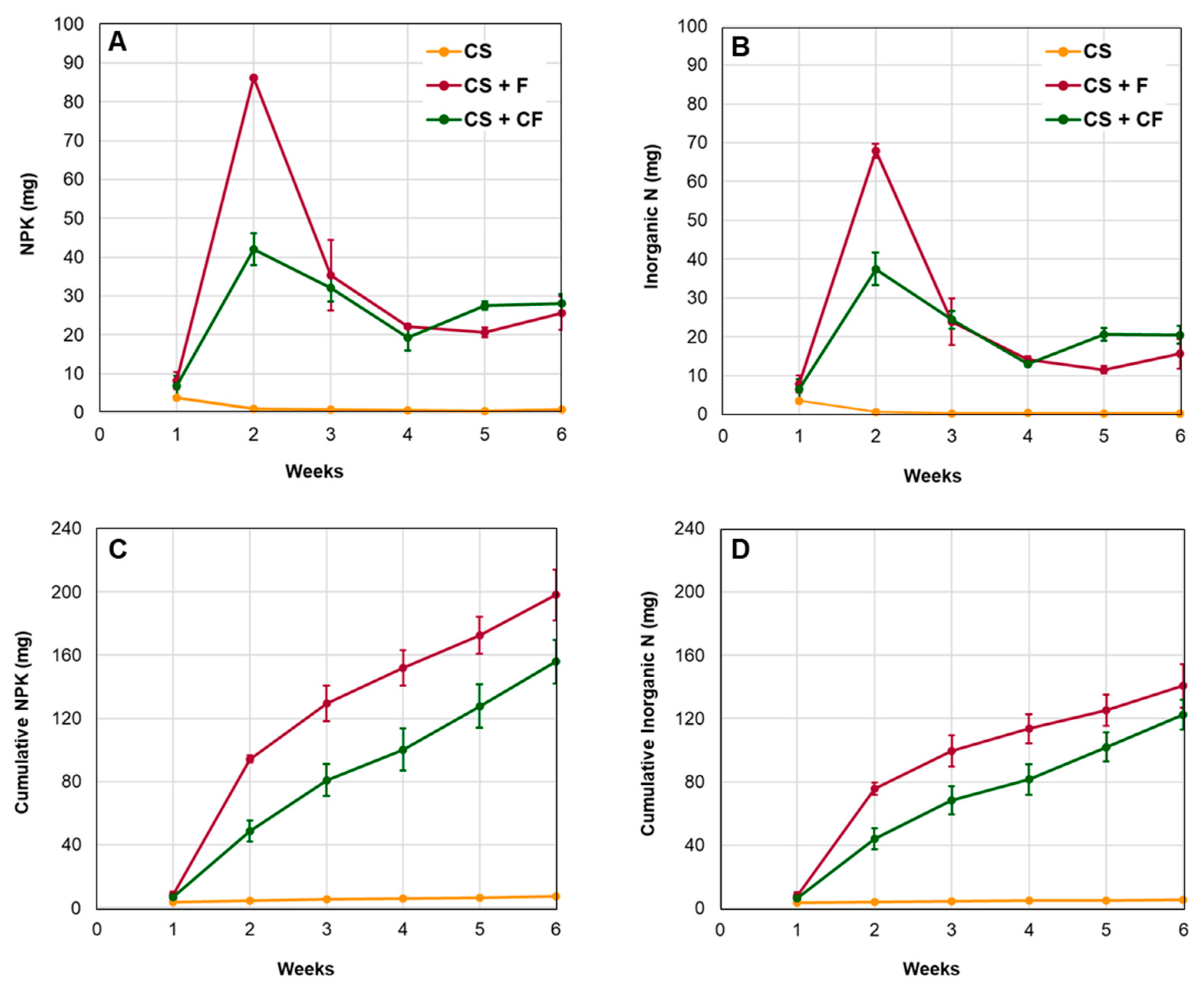
3.3. Nutrient Release in Soil
3.4. Performance in an Agricultural Production Model
4. Conclusions
Author Contributions
Funding
Data Availability Statement
Conflicts of Interest
References
- United Nations, Department of Economic and Social Affairs. World Population Prospects 2019—Highlights (ST/ESA/SER.A/423); United Nations: New York, NY, USA, 2019. [Google Scholar]
- Mansouri, H.; Ait Said, H.; Noukrati, H.; Oukarroum, A.; Ben Youcef, H.; Perreault, F. Advances in Controlled Release Fertilizers: Cost-Effective Coating Techniques and Smart Stimuli-Responsive Hydrogels. Adv. Sustain. Syst. 2023, 7, 2300149. [Google Scholar] [CrossRef]
- Govindasamy, P.; Muthusamy, S.K.; Bagavathiannan, M.; Mowrer, J.; Jagannadham, P.T.K.; Maity, A.; Halli, H.M.; Sujayananad, G.K.; Vadivel, R.; Das, T.K.; et al. Nitrogen Use Efficiency—A Key to Enhance Crop Productivity under a Changing Climate. Front. Plant Sci. 2023, 14, 1–19. [Google Scholar] [CrossRef] [PubMed]
- Umar, W.; Ayub, M.A.; Rehman, M.Z.; Ahmad, H.R.; Farooqi, Z.U.R.; Shahzad, A.; Rehman, U.; Mustafa, A.; Nadeem, M. Nitrogen and Phosphorus Use Efficiency in Agroecosystems. In Resources Use Efficiency in Agriculture; Springer: Singapore, 2020; pp. 213–257. [Google Scholar]
- Calabria, L.; Vieceli, N.; Bianchi, O.; de Oliveira, B.R.V.; Filho, I.D.N.; Schmidt, V. Soy Protein Isolate/Poly(Lactic Acid) Injection-Molded Biodegradable Blends for Slow Release of Fertilizers. Ind. Crops Prod. 2012, 36, 41–46. [Google Scholar] [CrossRef]
- Pang, L.; Gao, Z.; Feng, H.; Wang, S.; Wang, Q. Cellulose Based Materials for Controlled Release Formulations of Agrochemicals: A Review of Modifications and Applications. J. Control. Release 2019, 316, 105–115. [Google Scholar] [CrossRef]
- Solomon, W.; Janda, T.; Molnár, Z. Unveiling the Significance of Rhizosphere: Implications for Plant Growth, Stress Response, and Sustainable Agriculture. Plant Physiol. Biochem. 2024, 206, 108290. [Google Scholar] [CrossRef]
- Kisvarga, S.; Hamar-Farkas, D.; Ördögh, M.; Horotán, K.; Neményi, A.; Kovács, D.; Orlóci, L. The Role of the Plant–Soil Relationship in Agricultural Production—With Particular Regard to PGPB Application and Phytoremediation. Microorganisms 2023, 11, 1616. [Google Scholar] [CrossRef]
- Chieb, M.; Gachomo, E.W. The Role of Plant Growth Promoting Rhizobacteria in Plant Drought Stress Responses. BMC Plant Biol. 2023, 23, 407. [Google Scholar] [CrossRef] [PubMed]
- Xiong, J.; Peng, S.; Liu, Y.; Yin, H.; Zhou, L.; Zhou, Z.; Tan, G.; Gu, Y.; Zhang, H.; Huang, J.; et al. Soil Properties, Rhizosphere Bacterial Community, and Plant Performance Respond Differently to Fumigation and Bioagent Treatment in Continuous Cropping Fields. Front. Microbiol. 2022, 13, 923405. [Google Scholar] [CrossRef]
- Helaly, F.M.; Nashar, D.E.E. Slow Release Rubber Formulations Containing ZnSO4. Polym. Test. 2002, 21, 867–875. [Google Scholar] [CrossRef]
- Ganetri, I.; Essamlali, Y.; Amadine, O.; Danoun, K.; Aboulhrouz, S.; Zahouily, M. Controlling Factors of Slow or Controlled-Release Fertilizers. In Controlled Release Fertilizers for Sustainable Agriculture; Elsevier: New York, NY, USA, 2021; pp. 111–129. [Google Scholar]
- Shaviv, A.; Raban, S.; Zaidel, E. Modeling Controlled Nutrient Release from a Population of Polymer Coated Fertilizers: Statistically Based Model for Diffusion Release. Environ. Sci. Technol. 2003, 37, 2257–2261. [Google Scholar] [CrossRef]
- Jahns, T.; Kaltwasser, H. Mechanism of Microbial Degradation of Slow-Release Fertilizers. J. Polym. Environ. 2000, 8, 11–16. [Google Scholar] [CrossRef]
- Ramli, R. Slow Release Fertilizer Hydrogels: A Review. Polym. Chem. 2019, 10, 6073–6090. [Google Scholar] [CrossRef]
- Iqbal, A.M. Nano-Fertilizers for Sustainable Crop Production under Changing Climate: A Global Perspective. In Sustainable Crop Production; IntechOpen: London, UK, 2020. [Google Scholar]
- Yan, X.; Jin, J.; He, P.; Liang, M. Recent Advances on the Technologies to Increase Fertilizer Use Efficiency. Agric. Sci. China 2008, 7, 469–479. [Google Scholar] [CrossRef]
- Rindt, D.W.; Blouin, G.M.; Getsinger, J.G. Sulfur Coating on Nitrogen Fertilizer to Reduce Dissolution Rate. J. Agric. Food Chem. 1968, 16, 773–778. [Google Scholar] [CrossRef]
- Azeem, B.; KuShaari, K.; Man, Z.B.; Basit, A.; Thanh, T.H. Review on Materials & Methods to Produce Controlled Release Coated Urea Fertilizer. J. Control. Release 2014, 181, 11–21. [Google Scholar] [CrossRef]
- Beig, B.; Niazi, M.B.K.; Jahan, Z.; Kakar, S.J.; Shah, G.A.; Shahid, M.; Zia, M.; Haq, M.U.; Rashid, M.I. Biodegradable Polymer Coated Granular Urea Slows Down N Release Kinetics and Improves Spinach Productivity. Polymers 2020, 12, 2623. [Google Scholar] [CrossRef]
- Fertahi, S.; Ilsouk, M.; Zeroual, Y.; Oukarroum, A.; Barakat, A. Recent Trends in Organic Coating Based on Biopolymers and Biomass for Controlled and Slow Release Fertilizers. J. Control. Release 2021, 330, 341–361. [Google Scholar] [CrossRef]
- Trenkel, M.E. Slow-and Controlled-Release and Stabilized Fertilizers: An Option for Enhancing Nutrient Use Efficiency in Agriculture; International Fertilizer Industry Association (IFA): Paris, France, 2010. [Google Scholar]
- Akhter, M.; Shah, G.A.; Niazi, M.B.K.; Mir, S.; Jahan, Z.; Rashid, M.I. Novel Water-soluble Polymer Coatings Control NPK Release Rate, Improve Soil Quality and Maize Productivity. J. Appl. Polym. Sci. 2021, 138, 51239. [Google Scholar] [CrossRef]
- Guilherme, M.; Aouada, F.A.; Fajardo, A.R.; Martins, A.F.; Paulino, A.T.; Davi, M.F.T.; Rubira, A.F.; Muniz, E.C. Superabsorbent Hydrogels Based on Polysaccharides for Application in Agriculture as Soil Conditioner and Nutrient Carrier: A Review. Eur. Polym. J. 2015, 72, 365–385. [Google Scholar] [CrossRef]
- Ghobashy, M. The Application of Natural Polymer-Based Hydrogels for Agriculture. In Hydrogels Based on Natural Polymers; Chen, Y., Ed.; Elsevier Inc.: Amsterdam, The Netherlands, 2020; pp. 329–356. ISBN 9780128164211. [Google Scholar]
- Qiao, D.; Liu, H.; Yu, L.; Bao, X.; Simon, G.P.; Petinakis, E.; Chen, L. Preparation and Characterization of Slow-Release Fertilizer Encapsulated by Starch-Based Superabsorbent Polymer. Carbohydr. Polym. 2016, 147, 146–154. [Google Scholar] [CrossRef]
- Noppakundilograt, S.; Pheatcharat, N.; Kiatkamjornwong, S. Multilayer-Coated NPK Compound Fertilizer Hydrogel with Controlled Nutrient Release and Water Absorbency. J. Appl. Polym. Sci. 2015, 132, 1–11. [Google Scholar] [CrossRef]
- Luo, M.T.; Li, H.L.; Huang, C.; Zhang, H.R.; Xiong, L.; Chen, X.F.; Chen, X. De Cellulose-Based Absorbent Production from Bacterial Cellulose and Acrylic Acid: Synthesis and Performance. Polymers 2018, 10, 702. [Google Scholar] [CrossRef]
- Feng, D.; Bai, B.; Wang, H.; Suo, Y. Novel Fabrication of Biodegradable Superabsorbent Microspheres with Diffusion Barrier through Thermo-Chemical Modification and Their Potential Agriculture Applications for Water Holding and Sustained Release of Fertilizer. J. Agric. Food Chem. 2017, 65, 5896–5907. [Google Scholar] [CrossRef]
- Skrzypczak, D.; Witek-Krowiak, A.; Dawiec-Liśniewska, A.; Podstawczyk, D.; Mikula, K.; Chojnacka, K. Immobilization of Biosorbent in Hydrogel as a New Environmentally Friendly Fertilizer for Micronutrients Delivery. J. Clean. Prod. 2019, 241, 118387. [Google Scholar] [CrossRef]
- Kong, W.; Li, Q.; Li, X.; Su, Y.; Yue, Q.; Gao, B. A Biodegradable Biomass-Based Polymeric Composite for Slow Release and Water Retention. J. Environ. Manag. 2019, 230, 190–198. [Google Scholar] [CrossRef]
- Pushpamalar, J.; Langford, S.J.; Ahmad, M.B.; Lim, Y.Y.; Hashim, K. Eco-Friendly Smart Hydrogels for Soil Conditioning and Sustain Release Fertilizer. Int. J. Environ. Sci. Technol. 2017, 15, 2059–2074. [Google Scholar] [CrossRef]
- Zhang, Y.-Q. Applications of Natural Silk Protein Sericin in Biomaterials. Biotechnol. Adv. 2002, 20, 91–100. [Google Scholar] [CrossRef] [PubMed]
- Gupta, D.; Agrawal, A.; Chaudhary, H.; Gulrajani, M.; Gupta, C. Cleaner Process for Extraction of Sericin Using Infrared. J. Clean. Prod. 2013, 52, 488–494. [Google Scholar] [CrossRef]
- Dash, B.C.; Mandal, B.B.; Kundu, S.C. Silk Gland Sericin Protein Membranes: Fabrication and Characterization for Potential Biotechnological Applications. J. Biotechnol. 2009, 144, 321–329. [Google Scholar] [CrossRef] [PubMed]
- da Silva, T.L.; da Silva, A.C.; Vieira, M.G.A.; Gimenes, M.L.; da Silva, M.G.C. Biosorption Study of Copper and Zinc by Particles Produced from Silk Sericin—Alginate Blend: Evaluation of Blend Proportion and Thermal Cross-Linking Process in Particles Production. J. Clean. Prod. 2016, 137, 1470–1478. [Google Scholar] [CrossRef]
- Sonjan, S.; Ross, G.M.; Mahasaranon, S.; Sinkangam, B.; Intanon, S.; Ross, S. Biodegradable Hydrophilic Film of Crosslinked PVA/Silk Sericin for Seed Coating: The Effect of Crosslinker Loading and Polymer Concentration. J. Polym. Environ. 2021, 29, 323–334. [Google Scholar] [CrossRef]
- Scaffaro, R.; Citarrella, M.C.; Gulino, E.F. Opuntia Ficus Indica Based Green Composites for NPK Fertilizer Controlled Release Produced by Compression Molding and Fused Deposition Modeling. Compos. Part. A Appl. Sci. Manuf. 2022, 159, 107030. [Google Scholar] [CrossRef]
- Olad, A.; Zebhi, H.; Salari, D.; Mirmohseni, A.; Reyhani Tabar, A. Slow-Release NPK Fertilizer Encapsulated by Carboxymethyl Cellulose-Based Nanocomposite with the Function of Water Retention in Soil. Mater. Sci. Eng. C 2018, 90, 333–340. [Google Scholar] [CrossRef]
- Duan, Q.; Jiang, S.; Chen, F.; Li, Z.; Ma, L.; Song, Y.; Yu, X.; Chen, Y.; Liu, H.; Yu, L. Fabrication, Evaluation Methodologies and Models of Slow-Release Fertilizers: A Review. Ind. Crops Prod. 2023, 192, 116075. [Google Scholar] [CrossRef]
- Garcés, C.D.M. Recuperación de Suelos Acidificados y Contaminados Por Minería Metálica: Ensayos En Columnas. Ph.D. Thesis, Universidad Politécnica de Cartagena, Cartagena, Spain, 2012. [Google Scholar]
- Climate-Data.org. Clima Medellín (Colombia). Available online: https://es.climate-data.org/america-del-sur/colombia/antioquia/medellin-4088/ (accessed on 1 May 2023).
- ASTM D1426-08; Standard Test Methods for Ammonia Nitrogen in Water. ASTM International: West Conshohocken, PA, USA, 2008.
- Standard Methods Committee of the American Public Health Association; American Water Works Association; Water Environment Federation 4500-NO2 Nitrogen (Nitrite). Standard Methods for the Examination of Water and Wastewater; Standard Methods for the Examination of Water and Wastewater, Baird, R.B., Eaton, A.D., Franson, M.A.H., Eds.; American Public Health Association: Washington, DC, USA, 2017; ISBN 978-0-87553-299-8. [Google Scholar]
- Standard Methods Committee of the American Public Health Association; American Water Works Association; Water Environment Federation 4500-P Phosphorus. Standard Methods for the Examination of Water and Wastewater; Baird, R.B., Eaton, A.D., Franson, M.A.H., Eds.; American Public Health Association: Washington, DC, USA, 2017; ISBN 978-0-87553-299-8. [Google Scholar]
- Ståhlberg, S. A Simple Turbidimetric Method for Determination of Exchangeable Soil Potassium. Commun. Soil. Sci. Plant Anal. 1979, 10, 1345–1353. [Google Scholar] [CrossRef]
- Zhao, H.; Song, J.; Zhao, G.; Xiang, Y.; Liu, Y. Novel Semi-IPN Nanocomposites with Functions of Both Nutrient Slow-Release and Water Retention. 2. Effects on Soil Fertility and Tomato Quality. J. Agric. Food Chem. 2019, 67, 7598–7608. [Google Scholar] [CrossRef] [PubMed]
- Versino, F.; Urriza, M.; García, M.A. Cassava-Based Biocomposites as Fertilizer Controlled-Release Systems for Plant Growth Improvement. Ind. Crops Prod. 2020, 144, 112062. [Google Scholar] [CrossRef]
- Sarmah, D.; Karak, N. Biodegradable Superabsorbent Hydrogel for Water Holding in Soil and Controlled-Release Fertilizer. J. Appl. Polym. Sci. 2020, 137, 48495. [Google Scholar] [CrossRef]
- Li, Y.; Sun, Y.; Jiang, J.; Liu, J. Spectroscopic Determination of Leaf Chlorophyll Content and Color for Genetic Selection on Sassafras Tzumu. Plant Methods 2019, 15, 73. [Google Scholar] [CrossRef] [PubMed]
- Monómeros Colombo Venezolana S.A. Nutrimon 15-15-15. 2009. Available online: https://croper-production.s3.amazonaws.com/product_provider_files/files/000/009/029/original/Fertilizante-Triple-15-Nutrimon.pdf (accessed on 7 May 2022).
- Demitri, C.; Scalera, F.; Madaghiele, M.; Sannino, A.; Maffezzoli, A. Potential of Cellulose-Based Superabsorbent Hydrogels as Water Reservoir in Agriculture. Int. J. Polym. Sci. 2013, 2013, 435073. [Google Scholar] [CrossRef]
- Azeredo, H.; Waldron, K. Crosslinking in Polysaccharide and Protein Films and Coatings for Food Contact—A Review. Trends Food Sci. Technol. 2016, 52, 109–122. [Google Scholar] [CrossRef]
- Murase, A.; Yonebayashi, K. Nitrogen Mineralization of Silk Waste Applied to Soil under Aerobic Conditions. Soil. Sci. Plant Nutr. 2001, 47, 233–240. [Google Scholar] [CrossRef]
- Brouwer, R. Functional Equilibrium: Sense or Nonsense? Neth. J. Agric. Sci. 1983, 31, 335–348. [Google Scholar] [CrossRef]
- Brouwer, R. Nutritive Influences on the Distribution of Dry Matter in the Plant. Neth. J. Agric. Sci. 1962, 10, 399–408. [Google Scholar] [CrossRef]













| Treatment | CIELAB Color Attributes | Average Color RGB | ||
|---|---|---|---|---|
| L* | a* | b* | ||
| CS | 46.12 ± 2.93 a | −11.39 ± 1.10 a | 28.49 ± 4.28 a | ![]() |
| CS + F | 34.99 ± 2.19 c | −7.47 ± 0.92 b | 13.13 ± 2.89 b,c | ![]() |
| CS + CF | 34.72 ± 1.69 c | −7.33 ± 1.45 b | 12.43 ± 2.91 c | ![]() |
Disclaimer/Publisher’s Note: The statements, opinions and data contained in all publications are solely those of the individual author(s) and contributor(s) and not of MDPI and/or the editor(s). MDPI and/or the editor(s) disclaim responsibility for any injury to people or property resulting from any ideas, methods, instructions or products referred to in the content. |
© 2024 by the authors. Licensee MDPI, Basel, Switzerland. This article is an open access article distributed under the terms and conditions of the Creative Commons Attribution (CC BY) license (https://creativecommons.org/licenses/by/4.0/).
Share and Cite
Jaramillo-Quiceno, N.; Carmona, D.M.; Torres-Taborda, M.; Hincapié-Llanos, G.A.; Álvarez-López, C. Multilayer Silk Sericin-Based Coating for Controlled Release of Water and Nutrients in Soil: Development, Characterization, and Performance Evaluation in Agricultural Production Model. Horticulturae 2024, 10, 273. https://doi.org/10.3390/horticulturae10030273
Jaramillo-Quiceno N, Carmona DM, Torres-Taborda M, Hincapié-Llanos GA, Álvarez-López C. Multilayer Silk Sericin-Based Coating for Controlled Release of Water and Nutrients in Soil: Development, Characterization, and Performance Evaluation in Agricultural Production Model. Horticulturae. 2024; 10(3):273. https://doi.org/10.3390/horticulturae10030273
Chicago/Turabian StyleJaramillo-Quiceno, Natalia, Dora M. Carmona, Mabel Torres-Taborda, Gustavo Adolfo Hincapié-Llanos, and Catalina Álvarez-López. 2024. "Multilayer Silk Sericin-Based Coating for Controlled Release of Water and Nutrients in Soil: Development, Characterization, and Performance Evaluation in Agricultural Production Model" Horticulturae 10, no. 3: 273. https://doi.org/10.3390/horticulturae10030273
APA StyleJaramillo-Quiceno, N., Carmona, D. M., Torres-Taborda, M., Hincapié-Llanos, G. A., & Álvarez-López, C. (2024). Multilayer Silk Sericin-Based Coating for Controlled Release of Water and Nutrients in Soil: Development, Characterization, and Performance Evaluation in Agricultural Production Model. Horticulturae, 10(3), 273. https://doi.org/10.3390/horticulturae10030273




