Comprehensive Assessment of the Correlation Between Ancient Tea Garden Soil Chemical Properties and Tea Quality
Abstract
1. Introduction
2. Materials and Methods
2.1. Research Information and Experimental Design
2.2. Integrated Fertility Index (IFI)
2.3. Potential Ecological Risk Assessment
2.4. Determination of Tea Compositions
2.5. Determination of Soil Chemical Properties
2.6. Statistical Analysis
3. Results
3.1. Analysis of Components of Tea
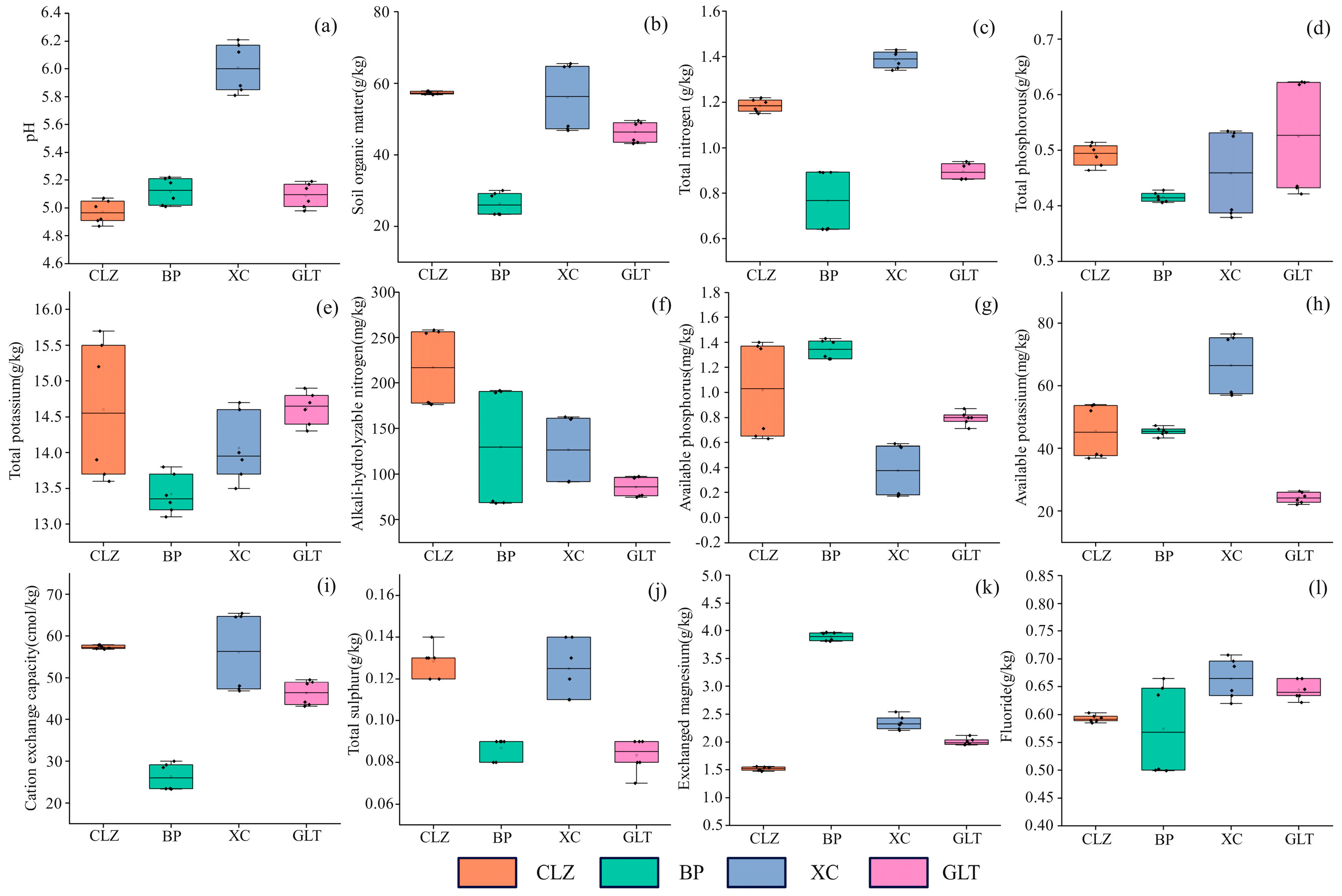
3.2. Analysis of Soil Chemical Properties
3.3. Assessment of Soil Fertility
3.4. Analysis of Heavy Metal Elements at Four Regions
3.5. Correlation Coefficient Analysis Between Tea and Soil
4. Discussion
5. Conclusions
Author Contributions
Funding
Data Availability Statement
Conflicts of Interest
References
- Pan, S.Y.; Nie, Q.; Tai, H.C.; Song, X.L.; Tong, Y.F.; Zhang, L.J.F.; Liang, C. Tea and tea drinking: China’s outstanding contributions to the mankind. Chin. Med. 2022, 17, 27. [Google Scholar] [CrossRef] [PubMed]
- Qi, D.H.; Guo, H.J.; Sheng, C.Y. Assessment of plant species diversity of ancient tea garden communities in Yunnan, Southwest of China. Agrofor. Syst. 2013, 87, 465–474. [Google Scholar] [CrossRef]
- Zhang, Z.; Song, C.; Zhao, J.; Xia, E.; Wen, W.; Zeng, L.; Benedito, V.A. Secondary metabolites and metabolism in tea plants. Front. Plant Sci. 2023, 14, 1143022. [Google Scholar]
- Ruan, J.; Wu, X.; Härdter, R. Effects of potassium and magnesium nutrition on the quality components of different types of tea. J. Sci. Food Agric. 1999, 79, 47–52. [Google Scholar] [CrossRef]
- Brady, N.C.; Weil, R.R. Elements of the Nature and Properties of Soils; Pearson: London, UK, 2004; p. 278. [Google Scholar]
- Surma, S.; Sahebkar, A.; Banach, M. Coffee or tea: Anti-inflammatory properties in the context of atherosclerotic cardiovascular disease prevention. Pharmacol. Res. 2023, 187, 106596. [Google Scholar] [CrossRef]
- Qiao, C.; Xu, B.; Han, Y.; Wang, J.; Wang, X.; Liu, L.; Zhao, X. Synthetic nitrogen fertilizers alter the soil chemistry, production and quality of tea. A meta-analysis. Agron. Sustain. Dev. 2018, 38, 10. [Google Scholar] [CrossRef]
- Hajiboland, R. Environmental and nutritional requirements for tea cultivation. Folia Hortic. 2017, 29, 199–220. [Google Scholar] [CrossRef]
- Sun, L.; Zhang, Z.; Li, Y.; Ruan, J.; Karak, T.; Yang, T. Mineral nutrients on tea yield and quality formation. Front. Plant Sci. 2023, 14, 1192432. [Google Scholar] [CrossRef]
- Liu, W.; Cui, S.; Ma, J.; Wu, D.; Ye, Z.; Liu, D. Effects of Shellfish and Organic Fertilizer Amendments on Soil Nutrients and Tea Yield and Quality. Toxics 2023, 11, 262. [Google Scholar] [CrossRef]
- Jurowski, K.; Kondratowicz-Pietruszka, E.; Krośniak, M. The toxicological safety assessment of heavy metal impurities (As, Pb, and Cd) in mint tea infusions (Mentha piperita L.) available in Polish markets. Biol. Trace Elem. Res. 2023, 201, 2627–2635. [Google Scholar] [CrossRef]
- Chen, Y.; Li, M. Evaluation of influencing factors on tea production based on random forest regression and mean impact value. Agric. Econ./Zemědělská Ekon. 2019, 65, 340–347. [Google Scholar] [CrossRef]
- Gebrewold, A.Z. Review on integrated nutrient management of tea (Camellia sinensis L.). Cogent Food Agric. 2018, 4, 1543536. [Google Scholar] [CrossRef]
- Gao, T.; Wang, X.; Liu, Y.; Wang, H.; Zuo, M.; He, Y.; Yang, Y. Characteristics and diversity of microbial communities in lead–zinc tailings under heavy metal stress in north-west China. Lett. Appl. Microbiol. 2022, 74, 277–287. [Google Scholar] [CrossRef] [PubMed]
- Klatt, C.G.; Liu, Z.; Ludwig, M.; Kühl, M.; Jensen, S.I.; Bryant, D.A.; Ward, D.M. Temporal metatranscriptomic patterning in phototrophic Chloroflexi inhabiting a microbial mat in a geothermal spring. ISME J. 2013, 7, 1775–1789. [Google Scholar] [CrossRef] [PubMed]
- Rashed, M.N. Monitoring of contaminated toxic and heavy metals, from mine tailings through age accumulation, in soil and some wild plants at Southeast Egypt. J. Hazard. Mater. 2010, 178, 739–746. [Google Scholar] [CrossRef]
- Ying, T.E.N.G.; Yong-Ming, L.U.O.; Huang, C.Y.; Jian, L.O.N.G.; Zhen-Gao, L.I.; Christie, P. Tolerance of grasses to heavy metals and microbial functional diversity in soils contaminated with copper mine tailings. Pedosphere 2008, 18, 363–370. [Google Scholar]
- Ling, Z.H.U.; Yi, Z.H.A.O.; Xue-bing, Y.A.N.; Sheng-nan, S.U.N. Reasearch Progress on Effects of Tea Plantation Managements on Soil Microbial Community. Chin. J. Soil Sci. 2023, 54, 245–252. [Google Scholar]
- Kumar, S.; Rana, S.S.; Angiras, N.N. Weed managemet in tea with herbicides mixture. Indian J. Weed Sci. 2014, 46, 353–357. [Google Scholar]
- Hu, C.; Zhang, X.; Zhan, N.; Liu, Y. Current Status and Health Risk Assessment of Heavy Metals Contamination in Tea across China. Toxics 2023, 11, 662. [Google Scholar] [CrossRef]
- Huang, X.; Wang, X.; Wu, Q.; Zhang, Z.; Yang, H.; Wen, X. Effects of Multiple-Metal-Compound Contamination on the Soil Microbial Community in Typical Karst Tea Plantations. Forests 2023, 14, 1840. [Google Scholar] [CrossRef]
- He, H.; Shi, L.; Yang, G.; You, M.; Vasseur, L. Ecological risk assessment of soil heavy metals and pesticide residues in tea plantations. Agriculture 2020, 10, 47. [Google Scholar] [CrossRef]
- Gao, P.; Zhang, T.; Cui, X.; Lu, Y.; Huang, J.; Gao, J.; Zhang, H. Evolution of red soil fertility and response of rice yield under long-term fertilization. J. Soil Sci. Plant Nutr. 2024, 24, 2924–2933. [Google Scholar] [CrossRef]
- Mu, H.; Fu, S.; Liu, B.; Yu, B.; Wang, A. Influence of soil and water conservation measures on soil fertility in the Beijing mountain area. Environ. Monit. Assess. 2018, 190, 504. [Google Scholar] [CrossRef]
- Shang, Q.; Ling, N.; Feng, X.; Yang, X.; Wu, P.; Zou, J.; Guo, S. Soil fertility and its significance to crop productivity and sustainability in typical agroecosystem: A summary of long-term fertilizer experiments in China. Plant Soil 2014, 381, 13–23. [Google Scholar] [CrossRef]
- Hussain, I. Tillage Effects on Soil Properties and Crop Production in Southern Illinois; University of Illinois at Urbana-Champaign: Champaign, IL, USA, 1997. [Google Scholar]
- Zhang, Z.; Jin, M.; Huang, X.; Yang, L.; Su, H.; Yang, X. Soil Nutrient Status and Comprehensive Evaluation of Soil Fertility Quality of Tea Garden in Anxi. Chin. J. Soil Sci. 2023, 54, 812–821. [Google Scholar] [CrossRef]
- Liu, J.; Zhang, N.; Deng, H. Soil nutrient status and fertility evaluation of tea gardens in Menghai County. J. Agric. Resour. Environ. 2021, 38, 79–86. [Google Scholar] [CrossRef]
- Su, H.; Zhu, C. Application of entropy weight coefficient method in evaluation of soil fertility. Recent Adv. Comput. Sci. Inf. Eng. 2012, 3, 697–703. [Google Scholar]
- Hakanson, L. An ecological risk index for aquatic pollution control. A sedimentological approach. Water Res. 1980, 14, 975–1001. [Google Scholar] [CrossRef]
- Zhang, R.; Zhou, L.; Zhang, F.; Ding, Y.; Gao, J.; Chen, J.; Shao, W. Heavy metal pollution and assessment in the tidal flat sediments of Haizhou Bay, China. Mar. Pollut. Bull. 2013, 74, 403–412. [Google Scholar] [CrossRef]
- Chen, Z.J.; Chen, C.X.; Liu, Y.; Wu, Y.; Yang, S.K.; Lu, C.Y. Study on soil environmental background values in Fujian Province. Chin. J. Environ. Sci. 1992, 13, 70–75. [Google Scholar]
- Kong, M.; Peng, F.; Zhang, Y.; Yin, H.; Liu, Z.; Chao, J. Occurrence characteristic and potential risk assessment of heavy metals in surface sediments of Circum-Chaohu Basin. China Environ. Sci. 2015, 35, 1863–1871. [Google Scholar]
- GB/T 8314-2013; Tea—Determination of Free Amino Acids Content. Standardization Administration of the People’s Republic of China: Beijing, China, 2013.
- Sun, M.F.; Jiang, C.L.; Kong, Y.S.; Luo, J.L.; Yin, P.; Guo, G.Y. Recent advances in analytical methods for determination of polyphenols in tea: A comprehensive review. Foods 2022, 11, 1425. [Google Scholar] [CrossRef] [PubMed]
- Moore, S.; Stein, W.H. Photometric nin-hydrin method for use in the ehromatography of amino acids. J. Biol. Chem. 1948, 176, 367–388. [Google Scholar] [CrossRef]
- Balentine, D.A.; Wiseman, S.A.; Bouwens, L.C. The chemistry of tea flavonoids. Crit. Rev. Food Sci. Nutr. 1997, 37, 693–704. [Google Scholar] [CrossRef] [PubMed]
- Jing, J.; Shi, Y.; Zhang, Q.; Wang, J.; Ruan, J. Prediction of Chinese green tea ranking by metabolite profiling using ultra-performance liquid chromatography–quadrupole time-of-flight mass spectrometry (UPLC–Q-TOF/MS). Food Chem. 2017, 221, 311–316. [Google Scholar] [CrossRef] [PubMed]
- Carter, M.R.; Gregorich, E.G. Soil Sampling and Methods of Analysis; CRC Press: Boca Raton, FL, USA, 2007. [Google Scholar]
- Bao, S.D. Analysis of Soil Agro-Chemistry, 3rd.; China Agriculture Press: Beijing, China, 2000. [Google Scholar]
- Alguacil, M.M.; Torrecillas, E.; García-Orenes, F.; Roldán, A. Changes in the composition and diversity of AMF communities mediated by management practices in a Mediterranean soil are related with increases in soil biological activity. Soil Biol. Biochem. 2014, 76, 34–44. [Google Scholar] [CrossRef]
- Jing, Z.; Cheng, J.; Su, J.; Bai, Y.U.; Jin, J. Changes in plant community composition and soil properties under 3-decade grazing exclusion in semiarid grassland. Ecol. Eng. 2014, 64, 171–178. [Google Scholar] [CrossRef]
- Wen, B.; Li, L.; Duan, Y.; Zhang, Y.; Shen, J.; Xia, M.; Zhu, X. Zn, Ni, Mn, Cr, Pb and Cu in soil-tea ecosystem: The concentrations, spatial relationship and potential control. Chemosphere 2018, 204, 92–100. [Google Scholar] [CrossRef]
- Cai, H.; Zhong, Z.; Li, Z.; Zhang, X.; Fu, H.; Yang, B.; Zhang, L. Metabolomics in quality formation and characterisation of tea products: A review. Int. J. Food Sci. Technol. 2022, 57, 4001–4014. [Google Scholar] [CrossRef]
- Tang, S.; Pan, W.; Tang, R.; Ma, Q.; Zhou, J.; Zheng, N.; Wu, L. Effects of balanced and unbalanced fertilisation on tea quality, yield, and soil bacterial community. Appl. Soil Ecol. 2022, 175, 104442. [Google Scholar] [CrossRef]
- Ma, L.; Yang, X.; Shi, Y.; Yi, X.; Ji, L.; Cheng, Y.; Ruan, J. Response of tea yield, quality and soil bacterial characteristics to long-term nitrogen fertilization in an eleven-year field experiment. Appl. Soil Ecol. 2021, 166, 103976. [Google Scholar] [CrossRef]
- Piyasena, K.N.P.; Hettiarachchi, L.S.K. Comparison of tea quality parameters of conventionally and organically grown tea, and effects of fertilizer on tea quality: A mini-review. Food Chem. Adv. 2023, 3, 100399. [Google Scholar] [CrossRef]
- Lin, Z.H.; Qi, Y.P.; Chen, R.B.; Zhang, F.Z.; Chen, L.S. Effects of phosphorus supply on the quality of green tea. Food Chem. 2012, 130, 908–914. [Google Scholar] [CrossRef]
- Tang, S.; Zhou, J.; Pan, W.; Tang, R.; Ma, Q.; Xu, M.; Wu, L. Impact of N application rate on tea (Camellia sinensis) growth and soil bacterial and fungi communities. Plant Soil 2022, 475, 343–359. [Google Scholar] [CrossRef]
- Wang, Y.H.; Hong, L.; Wang, Y.C.; Yang, Y.W.; Lin, L.W.; Ye, J.H.; Wang, H.B. Effects of soil nitrogen and pH in tea plantation soil on yield and quality of tea leaves. Allelopath. J. 2022, 55, 51–60. [Google Scholar] [CrossRef]
- Lei, J.; Yin, J.; Chen, S.; Fenton, O.; Liu, R.; Chen, Q.; Zhang, S. Understanding phosphorus mobilization mechanisms in acidic soil amended with calcium-silicon-magnesium-potassium fertilizer. Sci. Total Environ. 2024, 916, 170294. [Google Scholar] [CrossRef]
- Ghodszad, L.; Reyhanitabar, A.; Oustan, S.; Alidokht, L. Phosphorus sorption and desorption characteristics of soils as affected by biochar. Soil Tillage Res. 2022, 216, 105251. [Google Scholar] [CrossRef]
- Ruan, L.; Wei, K.; Wang, L.; Cheng, H.; Wu, L.; Li, H. Characteristics of free amino acids (the quality chemical components of tea) under spatial heterogeneity of different nitrogen forms in tea (Camellia sinensis) plants. Molecules 2019, 24, 415. [Google Scholar] [CrossRef] [PubMed]
- Wang, Y.; Gao, L.; Shan, Y.; Liu, Y.; Tian, Y.; Xia, T. Influence of shade on flavonoid biosynthesis in tea (Camellia sinensis (L.) O. Kuntze). Sci. Hortic. 2012, 141, 7–16. [Google Scholar] [CrossRef]
- Li, Y.; Jeyaraj, A.; Yu, H.; Wang, Y.; Ma, Q.; Chen, X.; Li, X. Metabolic regulation profiling of carbon and nitrogen in tea plants [Camellia sinensis (L.) O. Kuntze] in response to shading. J. Agric. Food Chem. 2020, 68, 961–974. [Google Scholar] [CrossRef]
- Yang, G.; Zhou, D.; Wan, R.; Wang, C.; Xie, J.; Ma, C.; Li, Y. HPLC and high-throughput sequencing revealed higher tea-leaves quality, soil fertility and microbial community diversity in ancient tea plantations: Compared with modern tea plantations. BMC Plant Biol. 2022, 22, 239. [Google Scholar] [CrossRef] [PubMed]
- Bais, H.P.; Weir, T.L.; Perry, L.G.; Gilroy, S.; Vivanco, J.M. The role of root exudates in rhizosphere interactions with plants and other organisms. Annu. Rev. Plant Biol. 2006, 57, 233–266. [Google Scholar] [CrossRef] [PubMed]
- Murray, H.; Pinchin, T.A.; Macfie, S.M. Compost application affects metal uptake in plants grown in urban garden soils and potential human health risk. J. Soils Sediments 2011, 11, 815–829. [Google Scholar] [CrossRef]
- Fischer, K.; Bipp, H.P.; Riemschneider, P.; Leidmann, P.; Bieniek, D.; Kettrup, A. Utilization of biomass residues for the remediation of metal-polluted soils. Environ. Sci. Technol. 1998, 32, 2154–2161. [Google Scholar] [CrossRef]
- Hernandez-Soriano, M.C.; Jimenez-Lopez, J.C. Effects of soil water content and organic matter addition on the speciation and bioavailability of heavy metals. Sci. Total Environ. 2012, 423, 55–61. [Google Scholar] [CrossRef]
- Sano, T.; Horie, H.; Matsunaga, A.; Hirono, Y. Effect of shading intensity on morphological and color traits and on chemical components of new tea (Camellia sinensis L.) shoots under direct covering cultivation. J. Sci. Food Agric. 2018, 98, 5666–5676. [Google Scholar] [CrossRef]
- Sun, J.; Yu, R.; Hu, G.; Jiang, S.; Zhang, Y.; Wang, X. Bioavailability of heavy metals in soil of the Tieguanyin tea garden, southeastern China. Acta Geochim. 2017, 36, 519–524. [Google Scholar] [CrossRef]
- Wen, B.; Zhang, X.; Ren, S.; Duan, Y.; Zhang, Y.; Zhu, X.; Fang, W. Characteristics of soil nutrients, heavy metals and tea quality in different intercropping patterns. Agrofor. Syst. 2020, 94, 963–974. [Google Scholar] [CrossRef]
- Liu, Z.; Yang, D.; Zhang, G.; Zheng, L.; Chen, C.; Sun, X.; Yu, F. Effects of Soil Physical and Chemical Properties on the Quality of Nanjing ‘Yuhua’Tea, a Type of Famous Green Tea. Horticulturae 2023, 9, 189. [Google Scholar] [CrossRef]
- Zhang, J.; Yang, R.; Li, Y.C.; Peng, Y.; Wen, X.; Ni, X. Distribution, accumulation, and potential risks of heavy metals in soil and tea leaves from geologically different plantations. Ecotoxicol. Environ. Saf. 2020, 195, 110475. [Google Scholar] [CrossRef]






| Sites | Varieties | Tree Age | Latitude and Longitude Range | Altitude/m | Area/ha | Tree Girth/m |
|---|---|---|---|---|---|---|
| CLZ | C.sinensis var. assamica (J. W. Mast.) Kitam. | ≥100 years | 24°44′10″~24°44′16″ N | 2100–2200 | 3.43 | 0.8–1.8 |
| 100°43′31″~100°43′35″ E | ||||||
| BP | C.sinensis var. assamica (J. W. Mast.) Kitam. | ≥100 years | 24°45′01″~24°45′10″ N | 2000–2300 | 2.56 | 0.6–1.6 |
| 100°50′49″~100°50′54″ E | ||||||
| XC | C.sinensis var. assamica (J. W. Mast.) Kitam. | ≥100 years | 24°45′30″~24°45′40″ N | 2100–2300 | 2.84 | 0.8–1.6 |
| 100°51′20″~100°51′23″ E | ||||||
| GLT | C.sinensis var. assamica (J. W. Mast.) Kitam. | ≥100 years | 24°46′27″~24°46′35″ N | 2000–2200 | 3.04 | 0.8–2.1 |
| 100°49′75″~100°49′80″ E |
| Soil Parameters | ||||||||||
|---|---|---|---|---|---|---|---|---|---|---|
| pH | OM g/kg | TP g/kg | AP mg/kg | TK g/kg | AK mg/kg | TN g/kg | AN mg/kg | TS g/kg | CEC cmol/kg | |
| X1 | 4.5 | 20 | 0.3 | 0.2 | 13 | 20 | 0.5 | 60 | 0.08 | 11 |
| X2 | 5.0 | 60 | 0.5 | 1.2 | 14 | 60 | 1.2 | 190 | 0.11 | 17 |
| X3 | 5.5 | |||||||||
| X4 | 6.5 | |||||||||
| Grade | Pollution Grade | Grade | Comprehensive Ecological Risk Grade |
|---|---|---|---|
| < 40 | Slight (Low) | Slight (Low) | |
| 40 ≤ < 80 | Mid (Medium) | 135 ≤ < 265 | Mid (Medium) |
| 80 ≤ < 160 | Strong (Heavy) | 265 ≤ < 525 | Strong (Heavy) |
| 160 ≤ < 320 | Stronger (Heavier) | 525 ≤ | Stronger (Heavier) |
| 320 ≤ | Strongest (Serious) |
| Tea Properties | CLZ | BP | XC | GLT | CV (%) |
|---|---|---|---|---|---|
| Water extraction (%) | 51.57 ± 0.32 b | 53.53 ± 0.47 a | 54.15 ± 0.51 a | 52.82 ± 0.23 a | 2.09% |
| Tea polyphenol (%) | 26.46 ± 0.31 a | 19.46 ± 0.27 c | 22.68 ± 0.34 b | 26.01 ± 0.34 a | 13.08% |
| Free amino acid (%) | 1.95 ± 0.02 c | 1.61 ± 0.06 d | 2.66 ± 0.05 a | 2.08 ± 0.05 b | 21.08% |
| Soluble sugars (%) | 7.45 ± 0.08 b | 6.19 ± 0.04 d | 9.29 ± 0.13 a | 6.98 ± 0.07 c | 17.59% |
| Caffeine (%) | 4.62 ± 0.05 d | 6.00 ± 0.06 a | 4.82 ± 0.04 c | 5.11 ± 0.04 b | 11.86% |
| Flavonoid glycosides (mg/g) | 2.34 ± 0.07 d | 2.76 ± 0.04 c | 9.49 ± 0.10 a | 4.52 ± 0.08 b | 68.67% |
| Polyphenols/amino acids ratio | 13.59 ± 0.03 a | 12.07 ± 0.40 b | 8.52 ± 0.20 c | 12.51 ± 0.22 b | 18.82% |
| Soil Parameters | ||||||||||
|---|---|---|---|---|---|---|---|---|---|---|
| pH | OM | CEC | TN | TK | TP | TS | AK | AN | AP | |
| Weight | 0.014 | 0.001 | 0.005 | 0.064 | 0.005 | 0.145 | 0.638 | 0.002 | 0.001 | 0.078 |
| Fertility Index | pH | OM | CEC | TN | TK | TP | TS | AK | AN | AP | IFI |
|---|---|---|---|---|---|---|---|---|---|---|---|
| CLZ | 0.910 | 0.940 | 0.393 | 0.974 | 0.880 | 0.944 | 1.000 | 0.671 | 0.957 | 0.759 | 0.919 |
| BP | 1.000 | 0.242 | 0.248 | 0.444 | 0.475 | 0.619 | 0.364 | 0.670 | 0.580 | 1.000 | 0.447 |
| XC | 0.544 | 0.857 | 0.681 | 1.000 | 0.865 | 0.744 | 1.000 | 0.972 | 0.562 | 0.268 | 0.850 |
| GLT | 1.000 | 0.692 | 0.291 | 0.609 | 1.000 | 0.841 | 0.250 | 0.194 | 0.280 | 0.636 | 0.392 |
| Sampling Site | PERI | |||||||||
|---|---|---|---|---|---|---|---|---|---|---|
| Cd | Pb | Cr | Ni | Zn | Cu | As | Hg | |||
| CLZ | 0–20 cm | 36.08 | 4.51 | 3.86 | 5.39 | 0.49 | 6.23 | 14.47 | 54.32 | 125.34 |
| 20–40 cm | 22.68 | 3.79 | 3.49 | 4.87 | 0.44 | 5.60 | 14.50 | 57.61 | 112.97 | |
| BP | 0–20 cm | 26.80 | 3.76 | 2.64 | 6.60 | 0.74 | 5.81 | 6.57 | 113.58 | 166.51 |
| 20–40 cm | 26.49 | 3.32 | 1.92 | 4.60 | 0.57 | 4.49 | 6.59 | 116.87 | 164.86 | |
| XC | 0–20 cm | 44.33 | 4.92 | 2.71 | 4.23 | 0.66 | 5.80 | 12.76 | 79.01 | 154.42 |
| 20–40 cm | 41.55 | 4.54 | 2.78 | 4.65 | 0.72 | 5.72 | 12.79 | 80.66 | 153.40 | |
| GLT | 0–20 cm | 27.73 | 2.33 | 2.23 | 3.48 | 0.37 | 4.68 | 9.85 | 60.91 | 111.58 |
| 20–40 cm | 27.53 | 1.86 | 2.10 | 3.42 | 0.35 | 4.83 | 6.57 | 65.84 | 112.50 | |
| Tea Components | Soil Properties | |||||||||||||||||||
|---|---|---|---|---|---|---|---|---|---|---|---|---|---|---|---|---|---|---|---|---|
| pH | OM | CEC | TN | TK | TP | TS | AK | AN | AP | Mg | FL | Cd | Pb | Cr | Ni | Zn | Cu | As | Hg | |
| WE | 0.712 ** | −0.295 | −0.103 | 0.068 | 0.270 | −0.483 | −0.190 | 0.620 * | −0.609 * | −0.343 | 0.557 | 0.414 | 0.558 | 0.183 | −0.593 * | −0.060 | 0.664 * | −0.177 | −0.355 | 0.537 |
| TPL | −0.286 | 0.743 ** | 0.492 | 0.316 | −0.843 ** | 0.918 ** | 0.301 | −0.227 | 0.269 | −0.313 | −0.949 ** | 0.293 | −0.052 | −0.257 | 0.474 | −0.564 | −0.822 ** | 0.112 | 0.545 | −0.961 ** |
| AA | 0.854 ** | 0.717 ** | 0.766 ** | 0.839 ** | −0.710 ** | 0.254 | 0.532 | 0.864 ** | −0.179 | −0.979 ** | −0.449 | 0.893 ** | 0.894 ** | 0.411 | 0.101 | −0.506 | 0.206 | 0.351 | 0.528 | −0.382 |
| SS | 0.863 ** | 0.763 ** | 0.861 ** | 0.946 ** | −0.664 * | 0.113 | 0.714 ** | 0.909 ** | 0.065 | −0.913 ** | −0.447 | 0.735 ** | 0.923 ** | 0.639 * | 0.316 | −0.278 | 0.338 | 0.589 * | 0.690 * | −0.341 |
| CA | −0.233 | −0.990 ** | −0.902 ** | −0.811 ** | 0.941 ** | −0.649 * | −0.750 ** | −0.336 | −0.424 | 0.658 * | 0.940 ** | −0.515 | −0.454 | −0.313 | −0.685 * | 0.386 | 0.344 | −0.564 | −0.886 ** | 0.868 ** |
| FLA | 0.967 ** | 0.423 | 0.541 | 0.678 * | −0.424 | −0.026 | 0.332 | 0.935 ** | −0.397 | −0.904 ** | −0.101 | 0.850 ** | 0.895 ** | 0.404 | −0.175 | −0.405 | 0.453 | 0.207 | 0.260 | −0.036 |
| PAR | −0.977 ** | −0.187 | −0.384 | −0.561 | 0.135 | 0.321 | −0.269 | −0.941 ** | 0.383 | 0.726 ** | −0.184 | −0.674 * | −0.861 ** | −0.504 | 0.246 | 0.156 | −0.689 * | −0.213 | −0.116 | −0.244 |
| C | 0.865 ** | 0.059 | 0.166 | 0.325 | −0.141 | −0.127 | −0.060 | 0.776 ** | −0.700 * | −0.716 ** | 0.207 | 0.782 ** | 0.711 ** | 0.133 | −0.547 | −0.429 | 0.463 | −0.160 | −0.152 | 0.237 |
| CG | −0.685 * | 0.334 | 0.048 | −0.143 | −0.457 | 0.806 ** | −0.058 | −0.647 * | 0.265 | 0.169 | −0.670 * | −0.128 | −0.450 | −0.511 | 0.331 | −0.360 | −0.906 ** | −0.159 | 0.196 | −0.692 * |
| EC | 0.857 ** | 0.639 * | 0.669 * | 0.751 ** | −0.680 * | 0.278 | 0.397 | 0.841 ** | −0.330 | −0.989 ** | −0.393 | 0.938 ** | 0.852 ** | 0.293 | −0.047 | −0.596 * | 0.176 | 0.208 | 0.403 | −0.327 |
| ECG | 0.690 * | −0.346 | −0.217 | −0.035 | 0.251 | −0.380 | −0.353 | 0.566 | −0.810 ** | −0.387 | 0.565 | 0.494 | 0.452 | −0.010 | −0.776 ** | −0.242 | 0.555 | −0.372 | −0.497 | 0.560 |
| EGC | 0.581 * | 0.686 * | 0.582 * | 0.589 * | −0.831 ** | 0.623 * | 0.230 | 0.550 | −0.399 | −0.934 ** | −0.600 * | 0.954 ** | 0.613 * | −0.054 | −0.088 | −0.849 ** | −0.229 | −0.015 | 0.339 | -0.572 |
| EGCG | −0.436 | −0.982 ** | −0.979 ** | −0.938 ** | 0.867 ** | −0.434 | −0.870 ** | −0.545 | −0.460 | 0.725 ** | 0.824 ** | −0.521 | −0.634 * | −0.542 | −0.712 ** | 0.248 | 0.080 | −0.724 ** | −0.946 ** | 0.730 ** |
| GC | 0.937 ** | 0.522 | 0.610 * | 0.731 ** | −0.527 | 0.087 | 0.384 | 0.917 ** | −0.347 | −0.945 ** | −0.218 | 0.878 ** | 0.904 ** | 0.391 | −0.101 | −0.466 | 0.366 | 0.235 | 0.335 | −0.142 |
| GCG | 0.200 | 0.743 ** | 0.838 ** | 0.794 ** | −0.484 | 0.051 | 0.961 ** | 0.360 | 0.848 ** | −0.279 | −0.575 | 0.011 | 0.424 | 0.772 ** | 0.945 ** | 0.314 | 0.132 | 0.939 ** | 0.951 ** | −0.475 |
Disclaimer/Publisher’s Note: The statements, opinions and data contained in all publications are solely those of the individual author(s) and contributor(s) and not of MDPI and/or the editor(s). MDPI and/or the editor(s) disclaim responsibility for any injury to people or property resulting from any ideas, methods, instructions or products referred to in the content. |
© 2024 by the authors. Licensee MDPI, Basel, Switzerland. This article is an open access article distributed under the terms and conditions of the Creative Commons Attribution (CC BY) license (https://creativecommons.org/licenses/by/4.0/).
Share and Cite
Wang, H.; Yuan, W.; Wang, Q.; Xia, Y.; Chun, W.; Li, H.; Peng, G.; Huang, W.; Wang, B. Comprehensive Assessment of the Correlation Between Ancient Tea Garden Soil Chemical Properties and Tea Quality. Horticulturae 2024, 10, 1207. https://doi.org/10.3390/horticulturae10111207
Wang H, Yuan W, Wang Q, Xia Y, Chun W, Li H, Peng G, Huang W, Wang B. Comprehensive Assessment of the Correlation Between Ancient Tea Garden Soil Chemical Properties and Tea Quality. Horticulturae. 2024; 10(11):1207. https://doi.org/10.3390/horticulturae10111207
Chicago/Turabian StyleWang, Houqiao, Wenxia Yuan, Qiaomei Wang, Yuxin Xia, Wang Chun, Haoran Li, Guochen Peng, Wei Huang, and Baijuan Wang. 2024. "Comprehensive Assessment of the Correlation Between Ancient Tea Garden Soil Chemical Properties and Tea Quality" Horticulturae 10, no. 11: 1207. https://doi.org/10.3390/horticulturae10111207
APA StyleWang, H., Yuan, W., Wang, Q., Xia, Y., Chun, W., Li, H., Peng, G., Huang, W., & Wang, B. (2024). Comprehensive Assessment of the Correlation Between Ancient Tea Garden Soil Chemical Properties and Tea Quality. Horticulturae, 10(11), 1207. https://doi.org/10.3390/horticulturae10111207

