Factors Influencing Cucurbitacin-E-Glycoside Content in Bitter Hawkesbury Watermelon as Potential Synergist in Cucurbit Pest Management
Abstract
1. Introduction
2. Materials and Methods
2.1. Influence of Parent on the Cucurbitacin Content of Offspring Fruit
2.2. Influence of Fruit Maturity and Parent on Cucurbitacin Content of Offspring Fruit
2.3. Cucurbitacin-E-Glycoside Extraction Procedure
2.4. HPLC Method and Analysis
2.5. Field Trial Using Cidetrak L Insecticidal Synergist
2.6. Data Analysis
3. Results
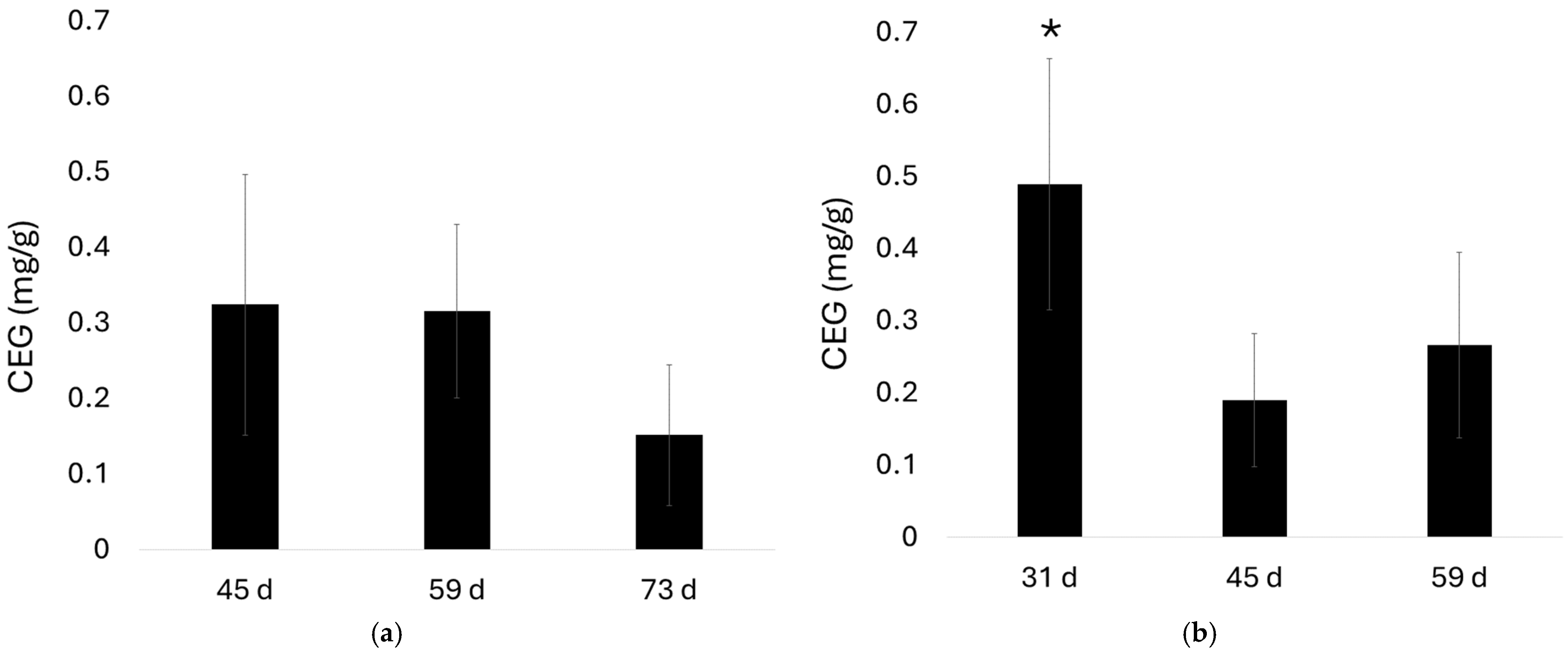
3.1. Influence of Parent on the Cucurbitacin Content of Offspring Fruit
3.2. Influence of Fruit Maturity and Parent on Cucurbitacin Content of Offspring Fruit
3.3. Field Trial Using Cidetrak L Insecticidal Synergist
4. Discussion
5. Conclusions
Author Contributions
Funding
Data Availability Statement
Acknowledgments
Conflicts of Interest
References
- Metcalf, R.L.; Rhodes, A.M.; Ferguson, J.E.; Metcalf, E.R. Bitter Cucurbita spp. as attractants for diabroticite beetles. Cucurbit Genet. Coop. Rep. 1979, 2, 38–39. [Google Scholar]
- Metcalf, R.L.; Metcalf, R.A.; Rhodes, A.M. Cucurbitacins as kairomones for diabroticite beetles. Proc. Natl. Acad. Sci. USA 1980, 77, 3769–3772. [Google Scholar] [CrossRef] [PubMed]
- Metcalf, R.L.; Rhodes, A.M.; Metcalf, R.A.; Ferguson, J.; Metcalf, E.R.; Lu, P.Y. Cucurbitacin contents and diabroticite (Coleoptera: Chrysomelidae) feeding upon Cucurbita spp. Environ. Entomol. 1982, 11, 931–937. [Google Scholar] [CrossRef]
- Chambliss, O.L.; Jones, C.M. Chemical and genetic basis for insect resistance in cucurbits. Am. Soc. Hortic. Sci. 1989, 20, 1268–1270. [Google Scholar]
- Tallamy, D.W.; Stull, J.; Ehresman, N.P.; Gorski, R.M.; Mason, C.E. Cucurbitacins as feeding and oviposition deterrents to insects. Environ. Entomol. 1997, 26, 678–683. [Google Scholar] [CrossRef]
- DeMilo, A.B.; Lee, C.J.; Schroder, R.F.W.; Schmidt, W.F.; Harrison, D.J. Spectral characterization of cucurbitacins in a bitter mutant of Hawkesbury watermelon (Citrullus vulgaris Schrad) that elicit a feeding response to diabroticite Beetles (Coleoptera: Chrysomelidae). J. Entomol. Sci. 1998, 33, 343–354. [Google Scholar] [CrossRef]
- Ayyad, S.-E.N.; Abdel-Lateff, A.; Alarif, W.M.; Patacchioli, F.R.; Badria, F.A.; Ezmirly, S.T. In vitro and in vivo study of cucurbitacins-type triterpene glucoside from Citrullus colocynthis growing in Saudi Arabia against hepatocellular carcinoma. Environ. Toxicol. Pharmacol. 2012, 33, 245–251. [Google Scholar] [CrossRef]
- Levi, A.; Thomas, C.E.; Keinath, A.P.; Wehner, T.C. Genetic diversity among watermelon (Citrullus lanatus and Citrullus colocynthis) accessions. Genet. Resour. Crop Evol. 2001, 48, 559–566. [Google Scholar] [CrossRef]
- Zamuz, S.; Munekata, P.E.S.; Gullón, B.; Rocchetti, G.; Montesano, D.; Lorenzo, J.M. Citrullus lanatus as source of bioactive components: An up-to-date review. Trends Food Sci. Tech. 2021, 111, 208–222. [Google Scholar] [CrossRef]
- Chamblis, O.L.; Jones, C.M. Cucurbitacins: Specific insect attractants in Cucurbitaceae. Science 1966, 153, 1392–1393. [Google Scholar] [CrossRef]
- Matsuo, K.; DeMilo, A.B.; Schroder, R.F.W.; Martin, P.A.W. Rapid high performance liquid chromatography method to quantitate elaterinide in juice and reconstituted residues from a bitter mutant of Hawkesbury watermelon. J. Agric. Food. Chem. 1999, 47, 2755–2759. [Google Scholar] [CrossRef]
- Peterson, J.K.; Schalk, J.M. Semiquantitative bioassay for levels of cucurbitacins using the banded cucumber beetle (Coleoptera: Chrysomelidae). J. Econ. Entomol. 1985, 78, 738–741. [Google Scholar] [CrossRef]
- Schroder, R.F.W.; DeMilo, A.B.; Lee, C.-J.; Martin, P.A.W. Evaluation of a water-soluble bait for corn rootworm (Coleoptera: Chrysomelidae) control. J. Entomol. Sci. 1998, 33, 355–364. [Google Scholar] [CrossRef]
- Martin, P.A.W.; Schroder, R.F.W. The effect of cucurbitacin E glycoside, a feeding stimulant for corn rootworm, on biocontrol fungi: Beauveria bassiana and Metarhizium anisopliae. Biocontrol Sci. Technol. 2000, 13, 315–320. [Google Scholar] [CrossRef]
- Martin, P.A.W.; Blackburn, M. Inhibition of seed germination by extracts of bitter Hawkesbury watermelon containing cucurbitacin, a feeding stimulant for corn rootworm (Coleoptera: Chrysomelidae). J. Econ. Entomol. 2003, 96, 441–445. [Google Scholar] [CrossRef] [PubMed][Green Version]
- Cabrera Walsh, G.; Weber, D.C.; Mattioli, F.; Heck, G. Qualitative and quantitative responses of Diabroticina (Coleoptera: Chrysomelidae) to cucurbit extracts linked to species, sex, weather, and deployment method. J. Appl. Entomol. 2007, 132, 205–215. [Google Scholar] [CrossRef]
- Jackson, D.M.; Shepard, B.M.; Shapiro, M.; Salamouny, S. Effects of cucurbitacin on the activity of nucleopolyhedroviruses against pickleworm larvae. J. Agric. Urban Entomol. 2009, 26, 95–106. [Google Scholar] [CrossRef]
- Weber, D.W. Field attraction of striped cucumber beetles to a synthetic vittatalactone mixture. J. Econ. Entomol. 2018, 111, 2988–2991. [Google Scholar] [CrossRef]
- Chen, J.C.; Chiu, M.H.; Nie, R.L.; Cordell, G.A.; Qiu, S.X. Cucurbitacins and cucurbitane glycosides: Structures and biological activities. Nat. Prod. Rep. 2005, 22, 386–399. [Google Scholar] [CrossRef]
- Maja, D.; Mavengahama, S.; Mashilo, J. Cucurbitacin biosynthesis in cucurbit crops, their pharmaceutical value and agricultural application for management of biotic and abiotic stress: A review. S. Afr. J. Bot. 2022, 145, 3–12. [Google Scholar] [CrossRef]
- Mizuno, S.; Pratt, H.K. Relations of respiration and ethylene production to maturity in the watermelon. J. Am. Soc. Hortic. Science. 1973, 98, 614–617. [Google Scholar] [CrossRef]
- Guo, S.; Liu, J.; Zheng, Y.; Huang, M.; Zhang, H.; Gong, G.; He, H.; Ren, Y.; Zhong, S.; Fei, Z.; et al. Characterization of transcriptome dynamics during watermelon fruit development: Sequencing, assembly, annotation and gene expression profiles. BMC Genom. 2011, 12, 454. [Google Scholar] [CrossRef] [PubMed]
- Yoo, K.S.; Bang, H.; Lee, E.J.; Crosby, K.; Patil, B.S. Variation of carotenoid, sugar, and ascorbic acid concentrations in watermelon genotypes and genetic analysis. Hort. Environ. Biotechnol. 2012, 53, 552–560. [Google Scholar] [CrossRef]
- Lv, P.; Li, N.; Liu, H.; Gu, H.; Zhao, W. Changes in carotenoid profiles and in the expression pattern of the genes in carotenoid metabolisms during fruit development and ripening in four watermelon cultivars. Food Chem. 2015, 174, 52–59. [Google Scholar] [CrossRef]
- Haber, A.I.; Wallingford, A.K.; Grettenberger, I.M.; Ramirez Bonilla, J.P.; Vinchesi-Vahl, A.C.; Weber, D.C. Striped cucumber beetle and western striped cucumber beetle (Coleoptera: Chrysomelidae). J. Integr. Pest Manag. 2021, 12, 1. [Google Scholar] [CrossRef]
- Haber, A.I.; Bekelja, K.; Huseth, A.S.; Buntin, G.D.; Musser, F.; Ramirez Bonilla, J.P.; Taylor, S.V.; Wilczek, D.; Grettenberger, I.M.; Weber, D.C. Spotted cucumber beetle/southern corn rootworm: Profile of a polyphagous native pest. J. Integr. Pest Manag. 2023, 14, 18. [Google Scholar] [CrossRef]
- Doughty, H.B.; Wilson, J.M.; Schultz, P.B.; Kuhar, T.P. Squash bug (Hemiptera: Coreidae): Biology and management in cucurbitaceous crops. J. Integr. Pest Manag. 2016, 7, 1. [Google Scholar] [CrossRef]
- Middleton, E. Biology and management of squash vine borer (Lepidoptera: Sesiidae). J. Integr. Pest Manag. 2018, 9, 22. [Google Scholar] [CrossRef]
- Jasinksi, J.; Dar, M.; Ozkan, E.; Precheur, R. Applying imidacloprid via a precision banding system to control striped cucumber beetle (Coleoptera: Chrysomelidae) in cucurbits. J. Econ. Entomol. 2009, 102, 2255–2264. [Google Scholar]
- Ternest, J.J.; Ingwell, L.L.; Kaplan, I. Comparing prophylactic versus threshold-based insecticide programs for striped cucumber beetle (Coleoptera: Chrysomelidae) management in watermelon. J. Econ. Entolomol. 2020, 113, 872–881. [Google Scholar] [CrossRef]
- Chandler, L.D. Corn rootworm areawide management program: United States Department of Agriculture–Agricultural Research Service. Pest Manag. Sci. 2003, 59, 605–608. [Google Scholar] [CrossRef] [PubMed]
- Meinke, L.J.; Souza, D.; Siegfried, B.D. The use of insecticides to manage the Western corn rootworm, Diabrotica virgifera virgifera, LeConte: History, field-evolved resistance, and associated mechanisms. Insects 2021, 12, 112. [Google Scholar] [CrossRef] [PubMed]
- Brust, G.E.; Foster, R.E. Semiochemical-based toxic baits for control of striped cucumber beetle (Coleoptera: Chrysomelidae) in canteloupe. J. Econ. Entomol. 1995, 88, 112–116. [Google Scholar] [CrossRef]
- Lilley, J.M.; Sanchez, E.S. The potential of strip tillage and rowcovers for organic cucurbit production. HortTechnology 2016, 26, 628–636. [Google Scholar] [CrossRef]
- Coco, A.M.; Lewis, M.T.; Fleischer, S.J.; Tooker, J.F. Parasitoids, nematodes, and protists in populations of striped cucumber beetle (Coleoptera: Chrysomelidae). Environ. Entomol. 2020, 49, 1316–1326. [Google Scholar] [CrossRef]
- Pedersen, A.B.; Godfrey, L.D. Field and vegetable crops as hosts of larval western spotted cucumber beetle (Coleoptera: Chrysomelidae). Environ. Entomol. 2011, 40, 633–638. [Google Scholar] [CrossRef] [PubMed]
- Seaman, A.J.; Lange, H.; Shelton, A.M. Striped cucumber beetle control with insecticides allowed for organic production, 2012. Arthropod Manag. Tests 2014, 39, E63. [Google Scholar] [CrossRef]
- Maatooq, G.; El-Sharkawy, S.; Afifi, M.S. Microbial transformation of cucurbitacin 1-O-β-D-glucopyranoside. J. Nat. Prod. 1995, 58, 165–171. [Google Scholar] [CrossRef]
- Martin, P.A.W.; Blackburn, M.; Schroder, R.F.W.; Matsuo, K.; Li, B.W. Stabilization of cucurbitacin E-glycoside, a feeding stimulant for diabroticite beetles, extracted from bitter Hawkesbury watermelon. J. Insect Sci. 2002, 2, 19. [Google Scholar]
- Schabort, J.C.; Potgieter, D.J.J.; De Villiers, V. Cucurbitain B Δ23-Reductase from Cucurbita maxima. Biochim. Biophys. Acta (BBA) Enzymol. 1968, 151, 47–53. [Google Scholar] [CrossRef]
- Yajima, I.; Sakakibara, H.; Ide, J.; Yanai, T.; Hayashi, K. Volatile flavor components of watermelon (Citrullus vulgaris). Agris. Biol. Chem. 1985, 49, 3145–3150. [Google Scholar]
- Sorokina, M.; McCaffrey, K.S.; Deaton, E.E.; Gouying, M.; Ordovás, J.M.; Perkins-Veazie, P.M.; Steinbeck, C.; Levi, A.; Parnell, L.D. A catalog of natural products occurring in watermelon–Citrullus lanatus. Front. Nutr. 2021, 8, 729822. [Google Scholar] [CrossRef] [PubMed]
- Ramirez, J.L.; Du, X.; Wallace, R.W. Investigating sensory properties of seven watermelon varieties and factors impacting refreshing perception using quantitative descriptive analysis. Food Res. Int. 2020, 138, 109681. [Google Scholar] [CrossRef] [PubMed]
- Tallamy, D.W.; Halaweish, F.T. Sensitivity to cucurbitacins in Southern corn rootworm (Coleoptera: Chrysomelidae). Environ. Entomol. 1993, 22, 925–932. [Google Scholar] [CrossRef]
- Brzozowski, L.J.; Leckie, B.M.; Gardner, J.; Hoffmann, M.P.; Mazourek, M. Curcurbita pepo subspecies delineates striped cucumber beetle (Acalymma vittatum) preference. Hortic. Res. 2016, 3, 16028. [Google Scholar] [CrossRef]
- Gregg, P.C.; Del Socorro, A.P.; Landolt, P.J. Advances in attract-and-kill for agricultural pests: Beyond pheromones. Ann. Rev. Entomol. 2018, 63, 453–470. [Google Scholar] [CrossRef]
- Cook, S.M.; Khan, Z.R.; Pickett, J.A. The use of push-pull strategies in integrated pest management. Ann. Rev. Entomol. 2007, 52, 375–400. [Google Scholar] [CrossRef]




Disclaimer/Publisher’s Note: The statements, opinions and data contained in all publications are solely those of the individual author(s) and contributor(s) and not of MDPI and/or the editor(s). MDPI and/or the editor(s) disclaim responsibility for any injury to people or property resulting from any ideas, methods, instructions or products referred to in the content. |
© 2024 by the authors. Licensee MDPI, Basel, Switzerland. This article is an open access article distributed under the terms and conditions of the Creative Commons Attribution (CC BY) license (https://creativecommons.org/licenses/by/4.0/).
Share and Cite
Wallingford, A.; Hernandez, C.; Halaweish, F.; Ostlund, T.; Short, B.; Weber, D.C. Factors Influencing Cucurbitacin-E-Glycoside Content in Bitter Hawkesbury Watermelon as Potential Synergist in Cucurbit Pest Management. Horticulturae 2024, 10, 1182. https://doi.org/10.3390/horticulturae10111182
Wallingford A, Hernandez C, Halaweish F, Ostlund T, Short B, Weber DC. Factors Influencing Cucurbitacin-E-Glycoside Content in Bitter Hawkesbury Watermelon as Potential Synergist in Cucurbit Pest Management. Horticulturae. 2024; 10(11):1182. https://doi.org/10.3390/horticulturae10111182
Chicago/Turabian StyleWallingford, Anna, Christopher Hernandez, Fathi Halaweish, Trevor Ostlund, Brent Short, and Donald C. Weber. 2024. "Factors Influencing Cucurbitacin-E-Glycoside Content in Bitter Hawkesbury Watermelon as Potential Synergist in Cucurbit Pest Management" Horticulturae 10, no. 11: 1182. https://doi.org/10.3390/horticulturae10111182
APA StyleWallingford, A., Hernandez, C., Halaweish, F., Ostlund, T., Short, B., & Weber, D. C. (2024). Factors Influencing Cucurbitacin-E-Glycoside Content in Bitter Hawkesbury Watermelon as Potential Synergist in Cucurbit Pest Management. Horticulturae, 10(11), 1182. https://doi.org/10.3390/horticulturae10111182

