Improving the Productivity and Physiological Characteristics of Lettuce Plants Using Spraying Calcium as a Nanofertilizer
Abstract
1. Introduction
2. Materials and Methods
2.1. Materials
2.2. Preparation of Calcium Carbonate Nanoparticles (Ca-NPs)
2.3. Characterization of Ca-NPs
2.4. Experiment Site
2.5. Experimental Treatments
2.6. Experimental Design
2.7. Crop Parameter Measurements
2.8. Biochemical Constituents Analysis
2.8.1. Phytochemicals Content
Total Phenols
Total Flavonoids
Total Antioxidant Activity
Total Indoles
Vitamin (C) Content
2.8.2. Measurement of Antioxidant Enzyme Activities
Superoxide Dismutase (SOD)
Catalase (CAT) Activity
2.8.3. Minerals Content Analysis
2.9. Toxicity Test
2.10. DNA Extraction and SCoT-PCR Amplification
2.11. Statistical Analysis
3. Results
3.1. Characteristics of Ca-NPs
3.2. Plant Growth Characteristics and Yield
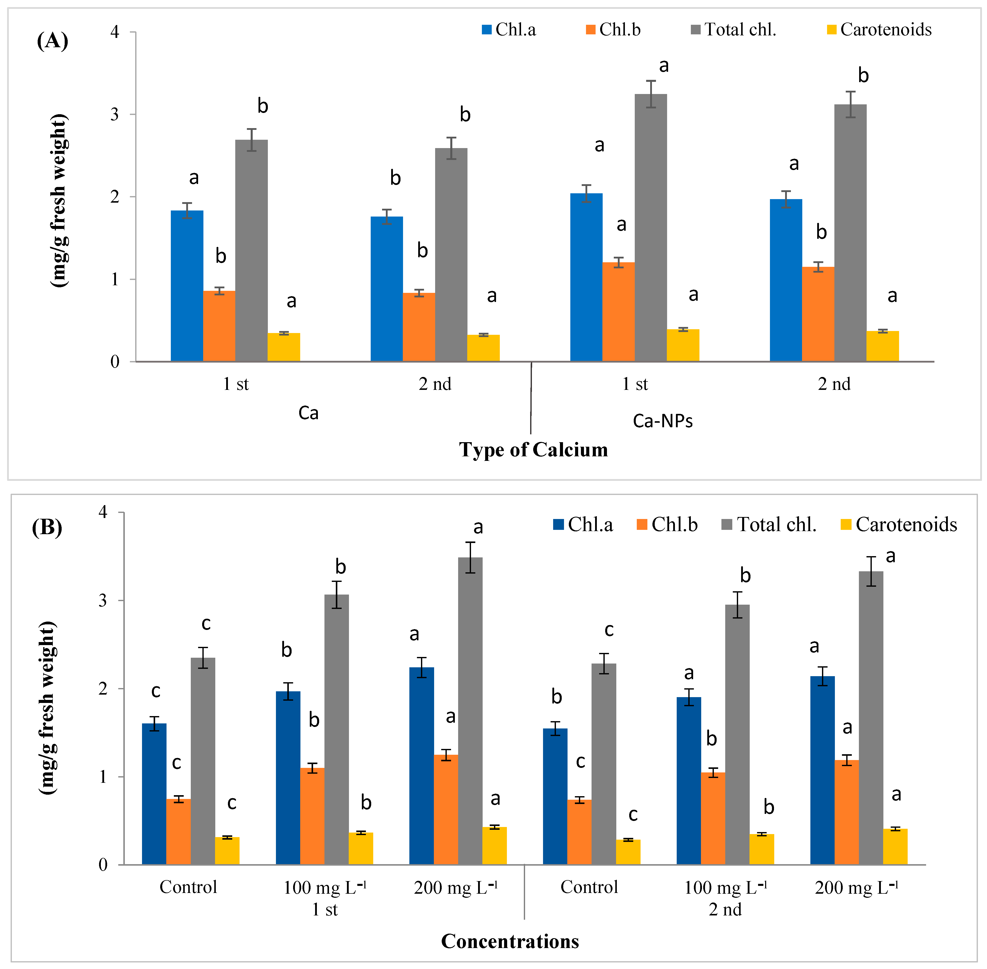
3.3. Photosynthetic Pigments
3.4. Biochemical Constituents
3.4.1. Phytochemicals Content
3.4.2. Antioxidant Enzyme Activities
3.5. Mineral Content
3.6. Toxicity Test
3.7. Genomic DNA Using SCoT-PCR Marker
4. Discussion
5. Conclusions
Author Contributions
Funding
Data Availability Statement
Acknowledgments
Conflicts of Interest
References
- Medina-Lozano, I.; Bertolín, J.R.; Díaz, A. Nutritional value of commercial and traditional lettuce (Lactuca sativa L.) and wild relatives: Vitamin C and anthocyanin content. Food Chem. 2021, 359, 129864. [Google Scholar] [CrossRef] [PubMed]
- Naseem, S.; Ismail, H. In vitro and in vivo evaluations of antioxidative, anti-Alzheimer, antidiabetic and anticancer potentials of hydroponically and soil grown Lactuca sativa. BMC Complement. Med. Ther. 2022, 22, 30. [Google Scholar] [CrossRef]
- Helaly, A.A.; Ashmawi, A.E.; Mohammed, A.A.; El-Abd, M.T.; Nofal, A.S. Effect of soil application of nano NPK fertilizers on growth, productivity and quality of Lettuce (Lactuca sativa). Al-Azhar J. Agric. Res. 2021, 46, 91–100. [Google Scholar] [CrossRef]
- Erdogan, M.K.; Gundogdu, R.; Toy, Y.; Halil Gecibesler, I.; Yapar, Y.; Behcet, L.; Zengin, G. Comparison of Anticancer, Antioxidant, Enzyme Inhibitory Effects and Phytochemical Contents Between Edible Lettuce (Lactuca sativa) and a New Wild Species (Lactuca anatolica). Chem. Biodivers. 2024, 21, e202400552. [Google Scholar] [CrossRef] [PubMed]
- Liu, J.; Li, C.; Jin, Y.; Zhang, S.; Wang, M.; Ge, Y. Repression of cell wall metabolism by calcium lactate enhances the postharvest quality maintenance of Jinfeng pear fruit. Sci. Hortic. 2023, 322, 112460. [Google Scholar] [CrossRef]
- Azeez, L.; Lateef, A.; Adetoro, R.O.; Adeleke, A.E. Responses of Moringa oleifera to alteration in soil properties induced by calcium nanoparticles (CaNPs) on mineral absorption, physiological indices and photosynthetic indicators. Beni-Suef Univ. J. Basic Appl. Sci. 2021, 10, 39. [Google Scholar] [CrossRef]
- Meier, S.; Moore, F.; Morales, A.; González, M.-E.; Seguel, A.; Meriño-Gergichevich, C.; Rubilar, O.; Cumming, J.; Aponte, H.; Alarcón, D.; et al. Synthesis of calcium borate nanoparticles and its use as a potential foliar fertilizer in lettuce (Lactuca sativa) and zucchini (Cucurbita pepo). Plant Physiol. Biochem. 2020, 151, 673–680. [Google Scholar] [CrossRef]
- Correia, S.; Queirós, F.; Ferreira, H.; Morais, M.C.; Afonso, S.; Silva, A.P.; Gonçalves, B. Foliar Application of Calcium and Growth Regulators Modulate Sweet Cherry (Prunus avium L.) Tree Performance. Plants 2020, 9, 410. [Google Scholar] [CrossRef] [PubMed]
- Roosta, H.R.; Samadi, A.; Bikdeloo, M. Different cultivation systems and foliar application of calcium nanoparticles affect the growth and physiological characteristics of pennyroyal (Mentha pulegium L.). Sci. Rep. 2023, 13, 20334. [Google Scholar] [CrossRef]
- Almeida, P.H.; Mógor, Á.; Ribeiro, A.Z.; Heinrichs, J.; Amano, E. Increase in lettuce (Lactuca sativa L.) production by foliar calcium application. Aust. J. Basic Appl. Sci. 2016, 10, 161–167. [Google Scholar]
- Naeem, M.; Naeem, M.S.; Ahmad, R.; Ihsan, M.Z.; Ashraf, M.Y.; Hussain, Y.; Fahad, S. Foliar calcium spray confers drought stress tolerance in maize via modulation of plant growth, water relations, proline content and hydrogen peroxide activity. Arch. Agron. Soil Sci. 2018, 64, 116–131. [Google Scholar] [CrossRef]
- Yadav, N.; Garg, V.K.; Chhillar, A.K.; Rana, J.S. Recent advances in nanotechnology for the improvement of conventional agricultural systems: A review. Plant Nano Biol. 2023, 4, 100032. [Google Scholar] [CrossRef]
- Chandrashekar, H.K.; Singh, G.; Kaniyassery, A.; Thorat, S.A.; Nayak, R.; Murali, T.S.; Muthusamy, A. Nanoparticle-mediated amelioration of drought stress in plants: A systematic review. 3 Biotech 2023, 13, 336. [Google Scholar] [CrossRef] [PubMed]
- Mahmoud, S.; Salama, D.M.; Abd El-Aziz, M. Effect of chitosan and chitosan nanoparticles on growth, productivity and chemical quality of green snap bean. Biosci. Res. 2018, 15, 4307–4321. [Google Scholar]
- Verma, K.K.; Song, X.-P.; Joshi, A.; Tian, D.-D.; Rajput, V.D.; Singh, M.; Arora, J.; Minkina, T.; Li, Y.-R. Recent Trends in Nano-Fertilizers for Sustainable Agriculture under Climate Change for Global Food Security. Nanomaterials 2022, 12, 173. [Google Scholar] [CrossRef]
- Hu, J.; Xianyu, Y. When nano meets plants: A review on the interplay between nanoparticles and plants. Nano Today 2021, 38, 101143. [Google Scholar] [CrossRef]
- Salama, D.M.; Khater, M.A.; Abd El-Aziz, M.E. The influence of potassium nanoparticles as a foliar fertilizer on onion growth, production, chemical content, and DNA fingerprint. Heliyon 2024, 10, e31635. [Google Scholar] [CrossRef]
- Abd El-Aziz, M.E.; Morsi, S.M.M.; Salama, D.M.; Elwahed, M.S.A.; Shaaban, E.A.; Abou-Zeid, R.E. Modification of TEMPO-oxidized cellulose nanofibers as a source of potassium and its impact on onion plant. Carbohydr. Polym. Technol. Appl. 2023, 6, 100388. [Google Scholar] [CrossRef]
- Rana, M.S.; Bhushan, S.; Sudhakar, D.R.; Prajapati, S.K. Effect of iron oxide nanoparticles on growth and biofuel potential of Chlorella spp. Algal Res. 2020, 49, 101942. [Google Scholar] [CrossRef]
- Fazelian, N.; Yousefzadi, M. Comparison of the effect of copper oxide and iron oxide nanoparticles on oxidative stress in Nannochloropsis oculata. Aquat. Physiol. Biotechnol. 2023, 10, 79–94. [Google Scholar]
- Kumar, S.; Nehra, M.; Dilbaghi, N.; Marrazza, G.; Tuteja, S.K.; Kim, K.-H. Nanovehicles for Plant Modifications towards Pest- and Disease-Resistance Traits. Trends Plant Sci. 2020, 25, 198–212. [Google Scholar] [CrossRef] [PubMed]
- Olatunbosun, A.; Nigar, H.; Rovshan, K.; Nurlan, A.; Boyukhanim, J.; Narmina, A.; Ibrahim, A. Comparative impact of nanoparticles on salt resistance of wheat plants. MethodsX 2023, 11, 102371. [Google Scholar] [CrossRef] [PubMed]
- Nawaz, A.; ur Rehman, H.; Usman, M.; Wakeel, A.; Shahid, M.S.; Alam, S.; Sanaullah, M.; Atiq, M.; Farooq, M. Nanobiotechnology in crop stress management: An overview of novel applications. Discov. Nano 2023, 18, 74. [Google Scholar] [CrossRef] [PubMed]
- Yadav, A.; Yadav, K.; Ahmad, R.; Abd-Elsalam, K.A. Emerging Frontiers in Nanotechnology for Precision Agriculture: Advancements, Hurdles and Prospects. Agrochemicals 2023, 2, 220–256. [Google Scholar] [CrossRef]
- Shang, Y.; Hasan, M.K.; Ahammed, G.J.; Li, M.; Yin, H.; Zhou, J. Applications of Nanotechnology in Plant Growth and Crop Protection: A Review. Molecules 2019, 24, 2558. [Google Scholar] [CrossRef] [PubMed]
- Fadia, P.; Tyagi, S.; Bhagat, S.; Nair, A.; Panchal, P.; Dave, H.; Dang, S.; Singh, S. Calcium carbonate nano- and microparticles: Synthesis methods and biological applications. 3 Biotech 2021, 11, 457. [Google Scholar] [CrossRef]
- Cottenie, A.; Verloo, M.; Kiekens, L. Chemical Analysis of Plants and Soils; Laboratory of Analytical Agrochemistry, State University: Gent, Belgium, 1982; 63p. [Google Scholar]
- Moran, R. Formulae for Determination of Chlorophyllous Pigments Extracted with N,N-Dimethylformamide. Plant Physiol. 1982, 69, 1376–1381. [Google Scholar] [CrossRef]
- Stratil, P.; Klejdus, B.; Kubáň, V. Determination of Total Content of Phenolic Compounds and Their Antioxidant Activity in VegetablesEvaluation of Spectrophotometric Methods. J. Agric. Food Chem. 2006, 54, 607–616. [Google Scholar] [CrossRef]
- Chang, C.-C.; Yang, M.-H.; Wen, H.-M.; Chern, J.-C. Estimation of total flavonoid content in propolis by two complementary colorimetric methods. J. Food Drug Anal. 2002, 10, 178–182. [Google Scholar] [CrossRef]
- Brand-Williams, W.; Cuvelier, M.E.; Berset, C. Use of a free radical method to evaluate antioxidant activity. LWT Food Sci. Technol. 1995, 28, 25–30. [Google Scholar] [CrossRef]
- Gordon, S.A.; Weber, R.P. Colorimetric estimation of indoleacetic acid. Plant Physiol. 1951, 26, 192–195. [Google Scholar] [CrossRef] [PubMed]
- Lwin, K.M.; Myint, M.M.; Tar, T.; Aung, W.Z.M. Isolation of plant hormone (indole-3-acetic acid-IAA) producing rhizobacteria and study on their effects on maize seedling. Eng. J. 2012, 16, 137–144. [Google Scholar] [CrossRef]
- Horwitz, W.; Association of Official Analytical Chemists. Official Methods of Analysis of AOAC International, 17th ed.; Association of Official Analytical Chemists: Gaithersburg, MD, USA, 2000. [Google Scholar]
- Narwal, S.S.; Bogatek, R.; Zagdanska, B.M.; Sampietro, D.A.; Vattuone, M.A. Plant Biochemistry; Studium Press Texas: Houston, TX, USA, 2009. [Google Scholar]
- AOAC. Official methods of analysis. Assoc. Anal. Chem. 1990, 62, 2742–2744. [Google Scholar]
- Johnson, B.T. Microtox® acute toxicity test. In Small-Scale Freshwater Toxicity Investigations; Springer: Dordrecht, The Netherlands, 2005; pp. 69–105. [Google Scholar]
- Ozakca, D.U.; Silah, H. Genotoxicity effects of Flusilazole on the somatic cells of Allium cepa. Pestic. Biochem. Physiol. 2013, 107, 38–43. [Google Scholar] [CrossRef] [PubMed]
- Snedecor, G.W.; Cochran, W.G. Statistical Methods, 8th ed.; Iowa State University Digital Press: Ames, IA, USA, 1989. [Google Scholar]
- Render, D.; Samuel, T.; King, H.; Vig, M.; Jeelani, S.; Babu, R.J.; Rangari, V. Biomaterial-Derived Calcium Carbonate Nanoparticles for Enteric Drug Delivery. J. Nanomater. 2016, 2016, 3170248. [Google Scholar] [CrossRef]
- Hassan, S.S.M.; El-Aziz, M.E.A.; Fayez, A.E.-S.; Kamel, A.H.; Youssef, A.M. Synthesis and characterization of bio-nanocomposite based on chitosan and CaCO3 nanoparticles for heavy metals removal. Int. J. Biol. Macromol. 2024, 255, 128007. [Google Scholar] [CrossRef]
- Salama, D.M.; Abd El-Aziz, M.E.; Shaaban, E.A.; Osman, S.A.; Abd El-Wahed, M.S. The impact of nanofertilizer on agro-morphological criteria, yield, and genomic stability of common bean (Phaseolus vulgaris L.). Sci. Rep. 2022, 12, 18552. [Google Scholar] [CrossRef]
- Salama, D.M.; Osman, S.A.; Shaaban, E.A.; Abd Elwahed, M.S.; Abd El-Aziz, M.E. Effect of foliar application of phosphorus nanoparticles on the performance and sustainable agriculture of sweet corn. Plant Physiol. Biochem. 2023, 203, 108058. [Google Scholar] [CrossRef] [PubMed]
- Ayyaz, A.; Fang, R.; Ma, J.; Hannan, F.; Huang, Q.; Athar, H.-u.-R.; Sun, Y.; Javed, M.; Ali, S.; Zhou, W.; et al. Calcium nanoparticles (Ca-NPs) improve drought stress tolerance in Brassica napus by modulating the photosystem II, nutrient acquisition and antioxidant performance. NanoImpact 2022, 28, 100423. [Google Scholar] [CrossRef] [PubMed]
- Kazemi, M. Influence of foliar application of iron, calcium and zinc sulfate on vegetative growth and reproductive characteristics of strawberry cv. ‘Pajaro’. Trakia J. Sci. 2014, 12, 21–26. [Google Scholar]
- Mondal, M.M.; Malek, M.A.; Puteh, A.B.; Ismail, M.R.; Ashrafuzzaman, M.; Naher, L. Effect of foliar application of chitosan on growth and yield in okra. Aust. J. Crop Sci. 2012, 6, 918–921. [Google Scholar]
- Youssef, S.; Abd Elhady, S.A.E.; Abu El-Azm, N.A.I.; El-Shinawy, M.Z. Foliar Application of Salicylic Acid and Calcium Chloride Enhances Growth and Productivity of Lettuce (Lactuca sativa). Egypt. J. Hortic. 2017, 44, 1–16. [Google Scholar] [CrossRef][Green Version]
- Rane, M.; Bawskar, M.; Rathod, D.; Nagaonkar, D.; Rai, M. Influence of calcium phosphate nanoparticles, Piriformospora indica and Glomus mosseae on growth of Zea mays. Adv. Nat. Sci. Nanosci. Nanotechnol. 2015, 6, 045014. [Google Scholar] [CrossRef]
- Grover, M.; Singh, S.R.; Venkateswarlu, B. Nanotechnology: Scope and limitations in agriculture. Int. J. Nanotechnol. Appl. 2012, 2, 10–38. [Google Scholar]
- Kah, M.; Tufenkji, N.; White, J.C. Nano-enabled strategies to enhance crop nutrition and protection. Nat. Nanotechnol. 2019, 14, 532–540. [Google Scholar] [CrossRef] [PubMed]
- He, L.; Yu, L.; Li, B.; Du, N.; Guo, S. The effect of exogenous calcium on cucumber fruit quality, photosynthesis, chlorophyll fluorescence, and fast chlorophyll fluorescence during the fruiting period under hypoxic stress. BMC Plant Biol. 2018, 18, 180. [Google Scholar] [CrossRef]
- Abdel-Kader, H.A.A. Short-and long-terms stimulatory impacts of calcium oxide nanoparticles (CaONPs) on the growth, photosynthesis and antioxidant enzymes of Chlorella sp. Assiut Univ. J. Multidiscip. Sci. Res. 2022, 1, 242–262. [Google Scholar] [CrossRef]
- Guo, H.; Dong, Q.; Li, S.; Cha, X.; Sun, L.; Duan, H.; Li, S.; Jin, Y.; Zhang, M. Effects of exogenous calcium on growth, chlorophyll fluorescence characteristics and antioxidant system of Fraxinus malacophylla seedlings. Plant Physiol. Biochem. 2023, 201, 107860. [Google Scholar] [CrossRef] [PubMed]
- White, P.J.; Broadley, M.R. Calcium in Plants. Ann. Bot. 2003, 92, 487–511. [Google Scholar] [CrossRef]
- El-Mergawi, R.A.; Abdel-Wahed, M.S.A. Diversity in salicylic acid effects on growth criteria and different indole acetic acid forms among faba bean and maize. Egypt. J. Agron. 2004, 26, 49–61. [Google Scholar]
- Sadak, M.S.; Talaat, I.M. Attenuation of negative effects of saline stress in wheat plant by chitosan and calcium carbonate. Bull. Natl. Res. Cent. 2021, 45, 136. [Google Scholar] [CrossRef]
- Ma, Y.; Wang, P.; Zhou, T.; Chen, Z.; Gu, Z.; Yang, R. Role of Ca2+ in phenolic compound metabolism of barley (Hordeum vulgare L.) sprouts under NaCl stress. J. Sci. Food Agric. 2019, 99, 5176–5186. [Google Scholar] [CrossRef] [PubMed]
- Ibrahim, M.H.; Jaafar, H.Z.E.; Karimi, E.; Ghasemzadeh, A. Primary, Secondary Metabolites, Photosynthetic Capacity and Antioxidant Activity of the Malaysian Herb Kacip Fatimah (Labisia Pumila Benth) Exposed to Potassium Fertilization Under Greenhouse Conditions. Int. J. Mol. Sci. 2012, 13, 15321. [Google Scholar] [CrossRef] [PubMed]
- El-Mogy, M.M.; Salama, A.M.; Mohamed, H.F.Y.; Abdelgawad, K.F.; Abdeldaym, E.A. Responding of long green pepper plants to different sources of foliar potassium fertiliser. Agric. (Pol’nohospodárstvo) 2019, 65, 59–76. [Google Scholar] [CrossRef]
- Abdel-Hakim, W.; Moustafa, Y.; Gheeth, R. Foliar application of some chemical treatments and planting date affecting snap bean (Phaseolus vulgaris L.) plants grown in Egypt. J. Hortic. Sci. Ornam. Plants 2012, 4, 307–317. [Google Scholar] [CrossRef]
- Hu, W.; Sarengaowa; Guan, Y.; Feng, K. Biosynthesis of phenolic compounds and antioxidant activity in fresh-cut fruits and vegetables. Front. Microbiol. 2022, 13, 906069. [Google Scholar] [CrossRef]
- Sadak, M.S.; Hanafy, R.S.; Elkady, F.M.A.M.; Mogazy, A.M.; Abdelhamid, M.T. Exogenous Calcium Reinforces Photosynthetic Pigment Content and Osmolyte, Enzymatic, and Non-Enzymatic Antioxidants Abundance and Alleviates Salt Stress in Bread Wheat. Plants 2023, 12, 1532. [Google Scholar] [CrossRef]
- Upadhyaya, H.; Begum, L.; Dey, B.; Nath, P.K.; Panda, S.K. Impact of calcium phosphate nanoparticles on rice plant. J. Plant Sci. Phytopathol. 2017, 1, 001–010. [Google Scholar]
- Fu, X.; Chang, J.; An, L.; Zhang, M.; Xu, S.; Chen, T.; Liu, Y.; Xin, H.; Wang, J. Association of the cold-hardiness of Chorispora bungeana with the distribution and accumulation of calcium in the cells and tissues. Environ. Exp. Bot. 2006, 55, 282–293. [Google Scholar] [CrossRef]
- Abdel Latef, A.A.H.; Abu Alhmad, M.F.; Abdelfattah, K.E. The Possible Roles of Priming with ZnO Nanoparticles in Mitigation of Salinity Stress in Lupine (Lupinus termis) Plants. J. Plant Growth Regul. 2017, 36, 60–70. [Google Scholar] [CrossRef]
- Khan, M.N. Nano-titanium dioxide (nano-TiO2) mitigates NaCl stress by enhancing antioxidative enzymes and accumulation of compatible solutes in tomato (Lycopersicon esculentum Mill.). J. Plant Sci. 2016, 11, 1–11. [Google Scholar] [CrossRef]
- Gaussoin, R.; Schmid, C.; Frank, K.; Butler, T.; Liu, H.; Jarvis, W., III; Baldwin, C. Foliar uptake of nutrients applied in solution to Creeping Bentgrass (Agrostis palustris Huds.), Annual Bluegrass (Poa annua var. reptans (Hausskn.) Timm) and Ultra-Dwarf Bermudagrass (Cynodon dactylon x C. transvaalensis Burtt-Davy). In Proceedings of the 16th International Plant Nutrition Colloquium, Sacramento, CA, USA, 26–30 August 2009; University of California: Davis, CA, USA, 2009; pp. 1–10. [Google Scholar]
- Chugh, G.; Siddique, K.H.M.; Solaiman, Z.M. Nanobiotechnology for Agriculture: Smart Technology for Combating Nutrient Deficiencies with Nanotoxicity Challenges. Sustainability 2021, 13, 1781. [Google Scholar] [CrossRef]
- Yuan, W.; Yuan, S.; Liu, Z.; Chen, L.; Qiu, Z. Effect of Foliar Application of CaCl2 on Lettuce Growth and Calcium Concentrations with Organic and Conventional Fertilization. HortScience 2018, 53, 891–894. [Google Scholar] [CrossRef]
- Li, X.; Liu, W.; Sun, L.; Aifantis, K.E.; Yu, B.; Fan, Y.; Feng, Q.; Cui, F.; Watari, F. Effects of physicochemical properties of nanomaterials on their toxicity. J. Biomed. Mater. Res. Part A 2015, 103, 2499–2507. [Google Scholar] [CrossRef]
- Poddar, K.; Vijayan, J.; Ray, S.; Adak, T. Chapter 10—Nanotechnology for Sustainable Agriculture. In Biotechnology for Sustainable Agriculture: Emerging Approaches and Strategies; Elsevier: Amsterdam, The Netherlands, 2018; pp. 281–303. [Google Scholar]
- López-Moreno, M.L.; Avilés, L.L.; Pérez, N.G.; Irizarry, B.Á.; Perales, O.; Cedeno-Mattei, Y.; Román, F. Effect of cobalt ferrite (CoFe2O4) nanoparticles on the growth and development of Lycopersicon lycopersicum (tomato plants). Sci. Total Environ. 2016, 550, 45–52. [Google Scholar] [CrossRef]
- Rastogi, A.; Zivcak, M.; Tripathi, D.K.; Yadav, S.; Kalaji, H.M. Phytotoxic effect of silver nanoparticles in Triticum aestivum: Improper regulation of photosystem I activity as the reason for oxidative damage in the chloroplast. Photosynthetica 2019, 57, 209–216. [Google Scholar] [CrossRef]
- Zhu, J.; Zou, Z.; Shen, Y.; Li, J.; Shi, S.; Han, S.; Zhan, X. Increased ZnO nanoparticle toxicity to wheat upon co-exposure to phenanthrene. Environ. Pollut. 2019, 247, 108–117. [Google Scholar] [CrossRef] [PubMed]
- Das, S.; Beegum, S. 13—Nanofertilizers for sustainable agriculture. In Agricultural Nanobiotechnology; Ghosh, S., Thongmee, S., Kumar, A., Eds.; Woodhead Publishing: Sawston, UK, 2022; pp. 355–370. [Google Scholar]
- Shaban, E.E.; Elbakry, H.F.H.; Ibrahim, K.S.; El Sayed, E.M.; Salama, D.M.; Farrag, A.-R.H. The effect of white kidney bean fertilized with nano-zinc on nutritional and biochemical aspects in rats. Biotechnol. Rep. 2019, 23, e00357. [Google Scholar] [CrossRef]
- Shaban, E.E.; Salama, D.M.; Abd El-Aziz, M.E.; Ibrahim, K.S.; Nasr, S.M.; Desouky, H.M.; Elbakry, H.F.H. The effect of exposure to MoO3-NP and common bean fertilized by MoO3-NPs on biochemical, hematological, and histopathological parameters in rats. Sci. Rep. 2022, 12, 12074. [Google Scholar] [CrossRef]
- Harrigan, G.G.; Martino-Catt, S.; Glenn, K.C. Metabolomics, metabolic diversity and genetic variation in crops. Metabolomics 2007, 3, 259–272. [Google Scholar] [CrossRef]
- Sharma, P. Chapter 6—Genotoxicity of the nanoparticles. In The Impact of Nanoparticles on Agriculture and Soil; Chauhan, N.S., Gill, S.S., Eds.; Academic Press: Cambridge, MA, USA, 2023; pp. 115–128. [Google Scholar]
- Alabdallah, N.M.; Kotb, E. Chapter ten—Nanoparticles: Unveiling the impact on biochemical reactions in plants. In Molecular Impacts of Nanoparticles on Plants and Algae; Tombuloglu, H., Tombuloglu, G., Al-Suhaimi, E., Baykal, A., Hakeem, K.R., Eds.; Academic Press: Cambridge, MA, USA, 2024; pp. 195–209. [Google Scholar]
- Francis, D.V.; Abdalla, A.K.; Mahakham, W.; Sarmah, A.K.; Ahmed, Z.F.R. Interaction of plants and metal nanoparticles: Exploring its molecular mechanisms for sustainable agriculture and crop improvement. Environ. Int. 2024, 190, 108859. [Google Scholar] [CrossRef] [PubMed]
- Munir, N.; Gulzar, W.; Abideen, Z.; Hasanuzzaman, M.; El-Keblawy, A.; Zhao, F. Plant–Nanoparticle Interactions: Transcriptomic and Proteomic Insights. Agronomy 2023, 13, 2112. [Google Scholar] [CrossRef]
- Haider, F.U.; Zulfiqar, U.; ul Ain, N.; Hussain, S.; Maqsood, M.F.; Ejaz, M.; Yong, J.W.H.; Li, Y. Harnessing plant extracts for eco-friendly synthesis of iron nanoparticle (Fe-NPs): Characterization and their potential applications for ameliorating environmental pollutants. Ecotoxicol. Environ. Saf. 2024, 281, 116620. [Google Scholar] [CrossRef]
- Atienzar, F.A.; Jha, A.N. The random amplified polymorphic DNA (RAPD) assay and related techniques applied to genotoxicity and carcinogenesis studies: A critical review. Mutat. Res./Rev. Mutat. Res. 2006, 613, 76–102. [Google Scholar] [CrossRef]
- Aboulila, A.A.; Galal, O.A. Evaluation of silica nanoparticles (SiO2NP) and somaclonal variation effects on genome template stability in rice using RAPD and SSR markers. Egypt. J. Genet. Cytol. 2019, 48, 1–16. [Google Scholar]
- Ghormade, V.; Deshpande, M.V.; Paknikar, K.M. Perspectives for nano-biotechnology enabled protection and nutrition of plants. Biotechnol. Adv. 2011, 29, 792–803. [Google Scholar] [CrossRef] [PubMed]
- Singh, M.D. Nano-fertilizers is a new way to increase nutrients use efficiency in crop production. Int. J. Agric. Sci. 2017, 9, 3831–3833. [Google Scholar]
- Guru, T.; Veronica, N.; Thatikunta, R.; Reddy, S. Crop nutrition management with nano fertilizers. Int. J. Environ. Sci. Technol. 2015, 1, 4–6. [Google Scholar]
- Siddiqui, M.H.; Al-Whaibi, M.H.; Firoz, M.; Al-Khaishany, M.Y. Role of Nanoparticles in Plants. In Nanotechnology and Plant Sciences: Nanoparticles and Their Impact on Plants; Siddiqui, M.H., Al-Whaibi, M.H., Mohammad, F., Eds.; Springer International Publishing: Cham, Switzerland, 2015; pp. 19–35. [Google Scholar]
- Salama, D.M.; Abd El-Aziz, M.E.; Rizk, F.A.; Abd Elwahed, M.S.A. Applications of nanotechnology on vegetable crops. Chemosphere 2021, 266, 129026. [Google Scholar] [CrossRef]






| Particle Size Distribution | |||||||||
|---|---|---|---|---|---|---|---|---|---|
| Texture | Sand (%) | Silt (%) | Clay (%) | ||||||
| Sandy | 92.1 | 0.83 | 7.07 | ||||||
| Soil chemical properties | |||||||||
| CaCO3 (%) | EC (dS m−1) | pH | OM (%) | Ca (mmol L−1) | Mg (mmol L−1) | Na (mmol L−1) | K (mmol L−1) | CL (mmol L−1) | HCO3 (mmol L−1) |
| 5.2 | 1.8 | 8.2 | 0.44 | 3.54 | 0.26 | 0.99 | 0.32 | 0.52 | 1.31 |
| Ser. No. | SCoT Primers | Primer Sequence (5′-3′) |
|---|---|---|
| 1 | SCoT-2 | CAACAATGGCTACCACCC |
| 2 | SCoT-7 | CAACAATGGCTACCACGG |
| 3 | SCoT-12 | ACGACATGGCGACCAACG |
| 4 | SCoT-14 | ACGACATGGCGACCACGC |
| 5 | SCoT-16 | ACCATGGCTACCACCGAC |
| 6 | SCoT-17 | ACCATGGCTACCACCGAG |
| 7 | SCoT-24 | CACCATGGCTACCACCAT |
| 8 | SCoT-27 | ACCATGGCTACCACCGTG |
| 9 | SCoT-30 | CCATGGCTACCACCGGCG |
| 10 | SCoT-31 | CCATGGCTACCACCGCCT |
| 11 | SCoT-32 | CCATGGCTACCACCGCAC |
| 12 | SCoT-33 | CCATGGCTACCACCGCAG |
| Treatments | Head Length (cm) | Diameter (cm) | No. of Leaves | Head Fresh Weight (g/Plant) | Yield (t ha−1) | ||||||||
|---|---|---|---|---|---|---|---|---|---|---|---|---|---|
| Head | Stem | ||||||||||||
| 2021 | 2022 | 2021 | 2022 | 2021 | 2022 | 2021 | 2022 | 2021 | 2022 | 2021 | 2022 | ||
| Ca type | |||||||||||||
| Ca | 24.3 b | 23.0 b | 13.89 b | 13.69 b | 3.13 b | 3.04 b | 27.7 b | 26.1 b | 405.1 b | 392.3 b | 26.9 b | 26.0 b | |
| Ca-NPs | 25.3 a | 24.2 a | 14.66 a | 14.20 a | 3.38 a | 3.22 a | 28.8 a | 27.1 a | 486.7 a | 468.6 a | 32.3 a | 31.1 a | |
| F-test | * | * | * | * | * | * | * | * | * | * | * | * | |
| L.S.D at 0.05 | 0.15 | 0.44 | 0.23 | 0.23 | 0.08 | 0.09 | 0.58 | 0.28 | 9.41 | 14.33 | 0.62 | 0.95 | |
| Concentrations | |||||||||||||
| 0 | 23.5 c | 21.9 c | 13.03 c | 12.60 c | 3.10 b | 3.02 c | 27.0 c | 25.7 c | 389.0 c | 373.2 c | 25.8 c | 24.8 c | |
| 100 mg L−1 | 24.7 b | 23.8 b | 14.65 b | 14.27 b | 3.28 a | 3.10 b | 28.3 b | 26.4 b | 431.3 b | 421.9 b | 28.6 b | 28.0 b | |
| 200 mg L−1 | 26.3 a | 25.1 a | 15.13 a | 14.98 a | 3.38 a | 3.27 a | 29.3 a | 27.9 a | 517.3 a | 496.3 a | 34.3 a | 32.9 a | |
| F-test | * | * | * | * | * | * | * | * | * | * | * | * | |
| L.S.D at 0.05 | 0.72 | 0.75 | 0.36 | 0.23 | 0.15 | 0.12 | 0.69 | 0.86 | 34.44 | 19.54 | 2.29 | 1.30 | |
| Ca type × Concentrations | |||||||||||||
| Ca | 0 | 23.5 c | 21.9 c | 13.03 c | 12.60 d | 3.10 c | 3.02 d | 27.0 c | 25.7 c | 389.0 c | 373.2 d | 25.8 c | 24.8 c |
| 100 mg L−1 | 24.0 b | 23.0 b | 14.17 b | 14.02 c | 3.13 c | 3.05 c | 27.7 c | 26.1 b | 392.3 b | 381.7 c | 26.0 c | 25.3 c | |
| 200 mg L−1 | 25.3 b | 24.1 b | 14.47 b | 14.45 b | 3.17 b | 3.06 c | 28.3 b | 26.7 b | 434.0 b | 422.0 c | 28.8 b | 28.0 b | |
| Ca-NPs | 0 | 23.5 c | 21.9 c | 13.03 c | 12.60 d | 3.10 c | 3.02 d | 27.0 c | 25.7 c | 389.0 c | 373.2 d | 25.8 c | 24.8 d |
| 100 mg L−1 | 25.3 b | 24.6 b | 15.13 b | 14.51 b | 3.43 a | 3.15 b | 29.0 b | 26.7 b | 470.3 b | 462.1 b | 31.2 b | 30. 7 b | |
| 200 mg L−1 | 27.2 a | 26.1 a | 15.80 a | 15.50 a | 3.60 a | 3.48 a | 30.3 a | 29.0 a | 600.7 a | 570.6 a | 39.9 a | 37.9 a | |
| F-test | * | * | * | * | * | * | * | * | * | * | * | * | |
| L.S.D at 0.05 | 1.02 | 1.07 | 0.51 | 0.32 | 0.21 | 0.16 | 0.97 | 1.22 | 48.70 | 27.63 | 3.23 | 1.84 | |
| Treatments | Total Phenols (mg GAE/g DW) | Total Flavonoids (mg QCE/g DW) | Total Antioxidant Activity (μmolTrolox/g DW) | Total Indoles (mg IAA/g DW) | Vitamin C (mg/100 FW) | ||||||
|---|---|---|---|---|---|---|---|---|---|---|---|
| 2021 | 2022 | 2021 | 2022 | 2021 | 2022 | 2021 | 2022 | 2021 | 2022 | ||
| Ca type | |||||||||||
| Ca | 11.56 b | 11.05 b | 2.93 b | 2.72 b | 9.54 b | 9.19 b | 11.12 b | 10.45 b | 10.50 b | 10.08 b | |
| Ca-NPs | 13.32 a | 12.81 a | 3.60 a | 3.34 a | 10.39 a | 9.95 a | 12.56 a | 11.98 a | 11.17 a | 11.13 a | |
| F-test | * | * | * | * | * | * | * | * | * | * | |
| L.S.D at 0.05 | 0.35 | 0.11 | 0.33 | 0.36 | 0.15 | 0.43 | 0.13 | 0.10 | 0.44 | 0.69 | |
| Concentrations | |||||||||||
| 0 | 9.70 c | 9.27 c | 2.48 c | 2.29 c | 7.63 c | 7.46 b | 10.33 c | 9.86 c | 9.00 c | 8.92 c | |
| 100 mg L−1 | 13.23 b | 12.67 b | 3.07 b | 2.85 b | 10.91 b | 10.43 a | 11.85 b | 11.38 b | 11.22 b | 11.09 b | |
| 200 mg L−1 | 14.38 a | 13.86 a | 4.24 a | 3.94 a | 11.36 a | 10.82 a | 13.34 a | 12.41 a | 12.28 a | 11.81 a | |
| F-test | * | * | * | * | * | * | * | * | * | * | |
| L.S.D at 0.05 | 1.12 | 0.69 | 0.56 | 0.34 | 0.37 | 0.43 | 0.18 | 0.37 | 0.40 | 0.62 | |
| Ca type × Concentrations | |||||||||||
| Ca | 0 | 9.70 d | 9.27 d | 2.48 c | 2.29 d | 7.63 c | 7.46 c | 10.33 e | 9.86 e | 9.00 e | 8.92 e |
| 100 mg L−1 | 12.03 c | 11.52 c | 2.85 c | 2.61 c | 10.31 b | 9.93 b | 10.73 d | 10.13 d | 10.5 c | 10.14 d | |
| 200 mg L−1 | 12.93 c | 12.36 c | 3.45 b | 3.25 b | 10.68 b | 10.17 b | 12.29 c | 11.36 c | 12.0 b | 11.17 c | |
| Ca-NPs | 0 | 9.70 d | 9.27 d | 2.48 c | 2.29 d | 7.63 c | 7.46 c | 10.33 e | 9.86 e | 9.00 e | 8.92 e |
| 100 mg L−1 | 14.43 b | 13.82 b | 3.29 b | 3.09 b | 11.51 b | 10.93 a | 12.97 b | 12.62 b | 11.93 b | 12.03 b | |
| 200 mg L−1 | 15.83 a | 15.36 a | 5.03 a | 4.64 a | 12.04 a | 11.47 a | 14.40 a | 13.45 a | 12.57 a | 12.45 a | |
| F-test | * | * | * | * | * | * | * | * | * | * | |
| L.S.D at 0.05 | 1.58 | 0.97 | 0.79 | 0.49 | 0.52 | 0.60 | 0.25 | 0.52 | 0.56 | 0.88 | |
| Treatments | N (%) | P (%) | K (%) | Ca (%) | |||||
|---|---|---|---|---|---|---|---|---|---|
| 2021 | 2022 | 2021 | 2022 | 2021 | 2022 | 2021 | 2022 | ||
| Ca type | |||||||||
| Ca | 2.20 b | 2.13 b | 0.27 b | 0.25 b | 3.49 b | 3.35 b | 0.91 b | 0.85 b | |
| Ca-NPs | 2.35 a | 2.26 a | 0.31 a | 0.28 a | 3.71 a | 3.55 a | 1.08 a | 1.00 a | |
| F-test | * | * | * | * | * | * | * | * | |
| L.S.D at 0.05 | 0.12 | 0.04 | 0.01 | 0.03 | 0.05 | 0.03 | 0.15 | 0.04 | |
| Concentrations | |||||||||
| 0 | 1.70 c | 1.66 c | 0.20 b | 0.19 c | 3.08 c | 2.95 c | 0.70 c | 0.62 c | |
| 100 mg L−1 | 2.27 b | 2.21 b | 0.27 a | 0.25 b | 3.71 b | 3.58 b | 1.00 b | 0.99 b | |
| 200 mg L−1 | 2.86 a | 2.73 a | 0.40 a | 0.36 a | 4.01 a | 3.83 a | 1.28 a | 1.16 a | |
| F-test | * | * | * | * | * | * | * | * | |
| L.S.D at 0.05 | 0.13 | 0.08 | 0.02 | 0.02 | 0.05 | 0.12 | 0.12 | 0.07 | |
| Ca type × Concentrations | |||||||||
| Ca | 0 | 1.70 d | 1.66 e | 0.20 d | 0.19 d | 3.08 d | 2.95 d | 0.70 d | 0.68 d |
| 100 mg L−1 | 2.10 c | 2.06 d | 0.26 c | 0.24 c | 3.48 c | 3.38 c | 0.90 c | 0.88 c | |
| 200 mg L−1 | 2.81 b | 2.68 b | 0.35 b | 0.31 b | 3.91 b | 3.72 b | 1.12 b | 1.03 b | |
| Ca-NPs | 0 | 1.70 d | 1.66 e | 0.20 d | 0.19 d | 3.08 d | 2.95 d | 0.70 d | 0.62 d |
| 100 mg L−1 | 2.44 c | 2.35 c | 0.28 c | 0.26 c | 3.95 b | 3.78 b | 1.10 b | 1.10 b | |
| 200 mg L−1 | 2.90 a | 2.78 a | 0.44 a | 0.40 a | 4.10 a | 3.93 a | 1.43 a | 1.29 a | |
| F-test | * | * | * | * | * | * | * | * | |
| L.S.D at 0.05 | 0.18 | 0.12 | 0.03 | 0.04 | 0.07 | 0.17 | 0.17 | 0.10 | |
| Ser. No. | SCoT Primers | Total Number of Bands | Allele Size Range (bp) | Monomorphic Bands | Polymorphic Bands | (+ve) Unique Bands | (−ve) Unique Bands | Polymorphism (%) | Molecular Size (bp) | Rf | Control | Bulk | Nano | ||
|---|---|---|---|---|---|---|---|---|---|---|---|---|---|---|---|
| 100 | 200 | 100 | 200 | ||||||||||||
| 1 | SCoT-2 | 8 | 1070-220 | 5 | 3 | 3 | 0 | 37.5 | 1070 | 0.593 | + | − | − | − | − |
| 285 | 0.827 | + | − | − | − | − | |||||||||
| 220 | 0.858 | + | − | − | − | − | |||||||||
| 2 | SCoT-7 | 6 | 1285-290 | 3 | 3 | 0 | 0 | 50 | 885 | 0.630 | − | − | − | + | + |
| 805 | 0.650 | − | − | − | + | + | |||||||||
| 290 | 0.825 | − | − | − | + | + | |||||||||
| 3 | SCoT-12 | 6 | 835-295 | 4 | 2 | 0 | 1 | 33.33 | 835 | 0.642 | + | − | + | + | + |
| 355 | 0.794 | − | − | + | + | + | |||||||||
| 4 | SCoT-14 | 7 | 1180-225 | 4 | 3 | 0 | 0 | 42.86 | 1180 | 0.587 | + | − | − | + | + |
| 985 | 0.625 | + | − | − | + | + | |||||||||
| 370 | 0.809 | + | − | − | + | + | |||||||||
| 5 | SCoT-16 | 9 | 1760-465 | 4 | 5 | 0 | 5 | 55.55 | 1760 | 0.502 | + | − | + | + | + |
| 1540 | 0.528 | + | − | + | + | + | |||||||||
| 1075 | 0.602 | + | − | + | + | + | |||||||||
| 855 | 0.646 | + | − | + | + | + | |||||||||
| 685 | 0.691 | + | − | + | + | + | |||||||||
| 6 | SCoT-17 | 4 | 1330-275 | 4 | 0 | 0 | 0 | 0 | - | - | − | − | − | − | − |
| 7 | SCoT-24 | 9 | 1395-360 | 7 | 2 | 0 | 1 | 22.22 | 1195 | 0.575 | − | − | − | + | + |
| 525 | 0.731 | + | − | + | + | + | |||||||||
| 8 | SCoT-27 | 13 | 2325-255 | 8 | 5 | 1 | 3 | 38.46 | 1035 | 0.605 | + | − | − | − | − |
| 890 | 0.634 | + | + | + | + | − | |||||||||
| 775 | 0.660 | + | − | + | + | + | |||||||||
| 555 | 0.722 | + | + | + | + | − | |||||||||
| 255 | 0.836 | + | + | − | − | − | |||||||||
| 9 | SCoT-30 | 10 | 2565-425 | 3 | 7 | 3 | 4 | 70 | 2565 | 0.426 | + | − | − | − | − |
| 1980 | 0.478 | + | − | − | − | − | |||||||||
| 1550 | 0.524 | + | − | + | + | + | |||||||||
| 1310 | 0.557 | + | − | + | + | + | |||||||||
| 1130 | 0.586 | + | − | − | − | − | |||||||||
| 970 | 0.618 | + | − | + | + | + | |||||||||
| 690 | 0.684 | + | − | + | + | + | |||||||||
| 10 | SCoT-31 | 10 | 1235-200 | 6 | 4 | 0 | 4 | 40 | 1235 | 0.559 | + | − | + | + | + |
| 1025 | 0.598 | + | − | + | + | + | |||||||||
| 325 | 0.805 | + | − | + | + | + | |||||||||
| 200 | 0.865 | + | − | + | + | + | |||||||||
| 11 | SCoT-32 | 8 | 1715-485 | 4 | 4 | 1 | 0 | 50% | 1715 | 0.496 | + | − | − | − | − |
| 1515 | 0.519 | + | − | − | + | + | |||||||||
| 645 | 0.693 | + | − | − | + | + | |||||||||
| 540 | 0.725 | + | − | − | + | + | |||||||||
| 12 | SCoT-33 | 8 | 1600-295 | 8 | 0 | 0 | 0 | 0 | - | - | − | − | − | − | − |
| Total | 98 | - | 60 | 38 | 8 | 18 | 38.77 | GTS (%) | 100 | 69.39 | 86.73 | 85.71 | 83.67 | ||
| Average | 8.166 | - | 5 | 3.166 | - | - | - | ||||||||
Disclaimer/Publisher’s Note: The statements, opinions and data contained in all publications are solely those of the individual author(s) and contributor(s) and not of MDPI and/or the editor(s). MDPI and/or the editor(s) disclaim responsibility for any injury to people or property resulting from any ideas, methods, instructions or products referred to in the content. |
© 2024 by the authors. Licensee MDPI, Basel, Switzerland. This article is an open access article distributed under the terms and conditions of the Creative Commons Attribution (CC BY) license (https://creativecommons.org/licenses/by/4.0/).
Share and Cite
Salama, D.M.; Osman, S.A.; Mahmoud, S.H.; El-Tanahy, A.M.M.; Abd El-Aziz, M.E. Improving the Productivity and Physiological Characteristics of Lettuce Plants Using Spraying Calcium as a Nanofertilizer. Horticulturae 2024, 10, 1157. https://doi.org/10.3390/horticulturae10111157
Salama DM, Osman SA, Mahmoud SH, El-Tanahy AMM, Abd El-Aziz ME. Improving the Productivity and Physiological Characteristics of Lettuce Plants Using Spraying Calcium as a Nanofertilizer. Horticulturae. 2024; 10(11):1157. https://doi.org/10.3390/horticulturae10111157
Chicago/Turabian StyleSalama, Dina M., Samira A. Osman, Sami H. Mahmoud, Ahmed M. M. El-Tanahy, and Mahmoud E. Abd El-Aziz. 2024. "Improving the Productivity and Physiological Characteristics of Lettuce Plants Using Spraying Calcium as a Nanofertilizer" Horticulturae 10, no. 11: 1157. https://doi.org/10.3390/horticulturae10111157
APA StyleSalama, D. M., Osman, S. A., Mahmoud, S. H., El-Tanahy, A. M. M., & Abd El-Aziz, M. E. (2024). Improving the Productivity and Physiological Characteristics of Lettuce Plants Using Spraying Calcium as a Nanofertilizer. Horticulturae, 10(11), 1157. https://doi.org/10.3390/horticulturae10111157

