Nutrient Composition of Arugula Leafy Greens Following Application of Ascorbic Acid Foliar Sprays
Abstract
1. Introduction
2. Materials and Methods
2.1. Experiment Set-Up
2.2. Leafy Greens Harvest
2.3. Plant Measurements
2.4. Plant Analysis
2.5. Experimental Design and Statistical Analysis
3. Results
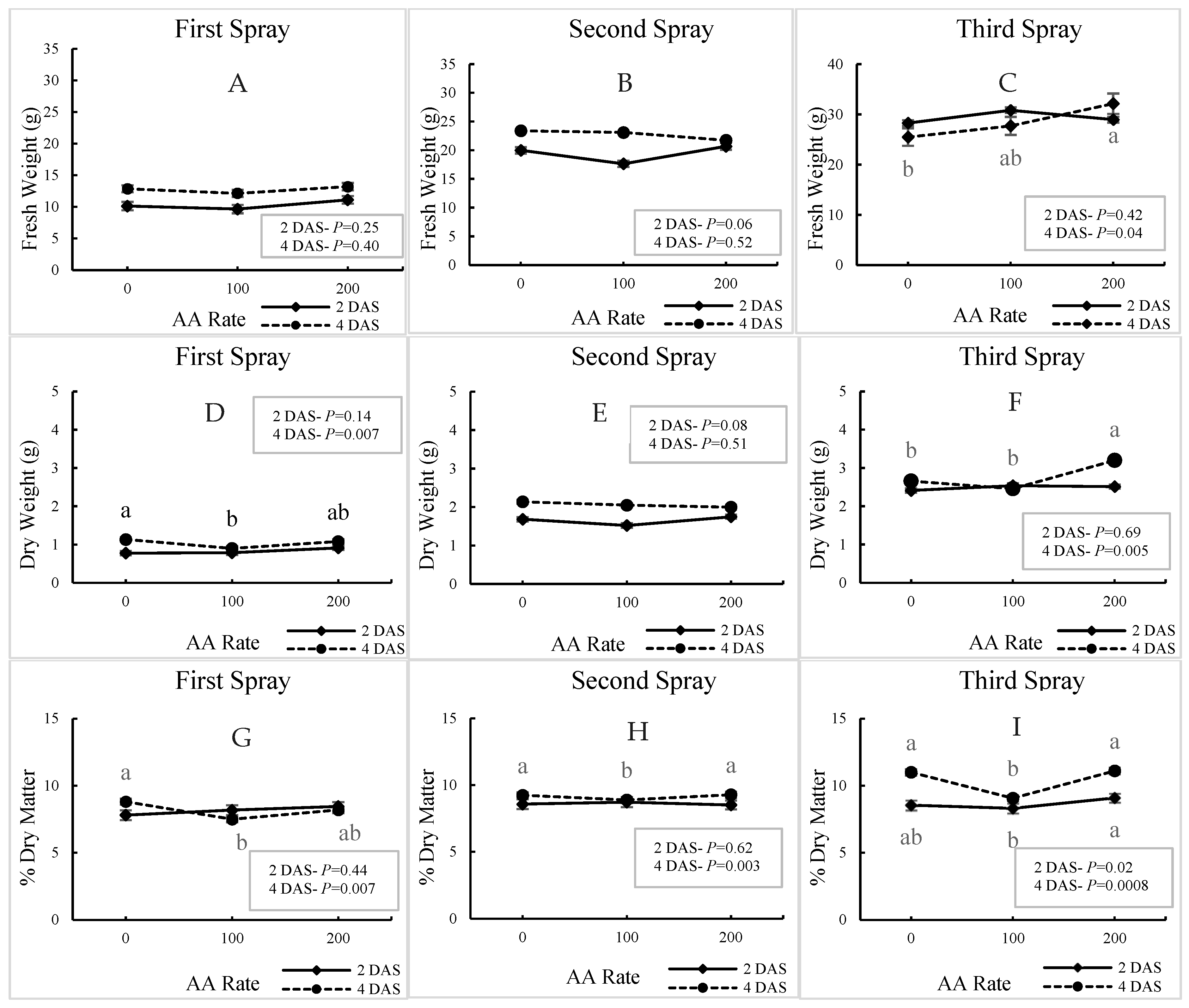
3.1. Arugula Leafy Greens Biomass
3.2. Chlorophyll and Carotenoid Content
3.3. Mineral Composition
3.4. Ascorbic Acid and Total Vitamin C Content
4. Discussion
5. Conclusions
Author Contributions
Funding
Data Availability Statement
Conflicts of Interest
References
- Frei, B.; Birlouez-Aragon, I.; Lykkesfeldt, J. Authors’ Perspective: What Is the Optimum Intake of Vitamin C in Humans? Crit. Rev. Food Sci. Nutr. 2012, 52, 815–829. [Google Scholar] [CrossRef] [PubMed]
- Byard, R.W.; Maxwell-Stewart, H. Scurvy–Characteristic Features and Forensic Issues. Am. J. Forensic Med. Pathol. 2019, 40, 43–46. [Google Scholar] [CrossRef] [PubMed]
- Padayatty, S.J.; Levine, M. Vitamin C: The Known and the Unknown and Goldilocks. Oral Dis. 2016, 22, 463–493. [Google Scholar] [CrossRef] [PubMed]
- Rowe, S.; Carr, A.C. Global Vitamin C Status and Prevalence of Deficiency: A Cause for Concern? Nutrients 2020, 12, 2008. [Google Scholar] [CrossRef] [PubMed]
- Brickley, M.; Ives, R. Vitamin C Deficiency Scurvy. In The Bioarchaeology of Metabolic Bone Disease; StatPearls Publishing: Treasure Island, FL, USA, 2008; pp. 41–74. [Google Scholar]
- Tulchinsky, T.H. Micronutrient Deficiency Conditions: Global Health Issues. Public Health Rev. 2010, 32, 243–255. [Google Scholar] [CrossRef]
- Kathi, S.; Laza, H.; Singh, S.; Thompson, L.; Li, W.; Simpson, C. A Decade of Improving Nutritional Quality of Horticultural Crops Agronomically (2012−2022): A Systematic Literature Review. Sci. Total Environ. 2024, 911, 168665. [Google Scholar] [CrossRef]
- Garg, M.; Sharma, N.; Sharma, S.; Kapoor, P.; Kumar, A.; Chunduri, V.; Arora, P. Biofortified Crops Generated by Breeding, Agronomy, and Transgenic Approaches Are Improving Lives of Millions of People around the World. Front. Nutr. 2018, 5, 12. [Google Scholar] [CrossRef]
- Paciolla, C.; Fortunato, S.; Dipierro, N.; Paradiso, A.; De Leonardis, S.; Mastropasqua, L.; de Pinto, M.C. Vitamin C in Plants: From Functions to Biofortification. Antioxidants 2019, 8, 519. [Google Scholar] [CrossRef]
- Strobbe, S.; De Lepeleire, J.; Van Der Straeten, D. From in Planta Function to Vitamin-Rich Food Crops: The ACE of Biofortification. Front. Plant Sci. 2018, 871, 1862. [Google Scholar] [CrossRef]
- Cruz-Rus, E.; Amaya, I.; Valpuesta, V. The Challenge of Increasing Vitamin C Content in Plant Foods. Biotechnol. J. 2012, 7, 1110–1121. [Google Scholar] [CrossRef]
- Prasad, R.; Shivay, Y.S. Agronomic Biofortification of Plant Foods with Minerals, Vitamins and Metabolites with Chemical Fertilizers and Liming. J. Plant Nutr. 2020, 43, 1534–1554. [Google Scholar] [CrossRef]
- De Souza, J.Z.; De Mello Prado, R.; Silva, S.L.D.O.; Farias, T.P.; Neto, J.G.; Souza Junior, J.P.D. Silicon Leaf Fertilization Promotes Biofortification and Increases Dry Matter, Ascorbate Content, and Decreases Post-Harvest Leaf Water Loss of Chard and Kale. Commun. Soil Sci. Plant Anal. 2019, 50, 164–172. [Google Scholar] [CrossRef]
- Dos Santos, M.M.M.; da Silva, G.P.; Prado, R.D.M.; Pinsetta Junior, J.S.; Mattiuz, B.H.; Braun, H. Biofortification of Tomato with Stabilized Alkaline Silicate and Silicic Acid, Nanosilica, and Potassium Silicate via Leaf Increased Ascorbic Acid Content and Fruit Firmness. J. Plant Nutr. 2022, 45, 896–903. [Google Scholar] [CrossRef]
- Sabatino, L.; La Bella, S.; Ntatsi, G.; Iapichino, G.; D’Anna, F.; De Pasquale, C.; Consentino, B.B.; Rouphael, Y. Selenium Biofortification and Grafting Modulate Plant Performance and Functional Features of Cherry Tomato Grown in a Soilless System. Sci. Hortic. 2021, 285, 110095. [Google Scholar] [CrossRef]
- Skrypnik, L.; Styran, T.; Savina, T.; Golubkina, N. Effect of Selenium Application and Growth Stage at Harvest on Hydrophilic and Lipophilic Antioxidants in Lamb’s Lettuce (Valerianella locusta L. Laterr.). Plants 2021, 10, 2733. [Google Scholar] [CrossRef]
- Constán-Aguilar, C.; Leyva, R.; Blasco, B.; Sánchez-Rodríguez, E.; Soriano, T.; Ruiz, J.M. Biofortification with Potassium: Antioxidant Responses during Postharvest of Cherry Tomato Fruits in Cold Storage. Acta Physiol. Plant. 2014, 36, 283–293. [Google Scholar] [CrossRef]
- Mozafar, A.; Oertli, J.J. Vitamin C (Ascorbic Acid): Uptake and Metabolism by Soybean. J. Plant Physiol. 1993, 141, 316–321. [Google Scholar] [CrossRef]
- Freebairn, H.T. The Prevention of Air Pollution Damage to Plants by the Use of Vitamin c Sprays. J. Air Pollut. Control Assoc. 1960, 10, 314–317. [Google Scholar] [CrossRef]
- Noreen, S.; Sultan, M.; Akhter, M.S.; Shah, K.H.; Ummara, U.; Manzoor, H.; Ulfat, M.; Alyemeni, M.N.; Ahmad, P. Foliar Fertigation of Ascorbic Acid and Zinc Improves Growth, Antioxidant Enzyme Activity and Harvest Index in Barley (Hordeum Vulgare L.) Grown under Salt Stress. Plant Physiol. Biochem. 2020, 158, 244–254. [Google Scholar] [CrossRef]
- Kathi, S.; Laza, H.; Singh, S.; Thompson, L.; Li, W.; Simpson, C. Increasing Vitamin C through Agronomic Biofortification of Arugula Microgreens. Sci. Rep. 2022, 12, 13093. [Google Scholar] [CrossRef]
- Kathi, S.; Laza, H.; Singh, S.; Thompson, L.; Li, W.; Simpson, C. Vitamin C Biofortification of Broccoli Microgreens and Resulting Effects on Nutrient Composition. Front. Plant Sci. 2023, 14, 1145992. [Google Scholar] [CrossRef] [PubMed]
- Chaturvedi, S.; Khan, S.; Bhunia, R.K.; Kaur, K.; Tiwari, S. Metabolic Engineering in Food Crops to Enhance Ascorbic Acid Production: Crop Biofortification Perspectives for Human Health. Physiol. Mol. Biol. Plants 2022, 28, 871–884. [Google Scholar] [CrossRef] [PubMed]
- Fenech, M.; Amaya, I.; Valpuesta, V.; Botella, M.A. Vitamin C Content in Fruits: Biosynthesis and Regulation. Front. Plant Sci. 2019, 9, 2006. [Google Scholar] [CrossRef] [PubMed]
- Kathi, S.; Laza, H.; Singh, S.; Thompson, L.; Li, W.; Simpson, C. Simultaneous Biofortification of Vitamin C and Mineral Nutrients in Arugula Microgreens. Food Chem. 2024, 440, 138180. [Google Scholar] [CrossRef] [PubMed]
- Soares, C.S.; Brito Neto, D.J.F.; Sousa, E.G.A.D.; Silva, M.D.C.C.; Silva, A.L.D.P.; Lima Júnior, J.A.D. Arugula Crop Cultivation in Hydroponic System in the Agreste Region of Paraiba State—Brazil, Using Different Plant Densities and Nutrient Solution Concentrations. Amaz. J. Plant Res. 2018, 2, 233–238. [Google Scholar] [CrossRef]
- Lichtenthaler, H.K. Chlorophylls and Carotenoids: Pigments of Photosynthetic Biomembranes. Methods Enzymol. 1987, 148, 350–382. [Google Scholar] [CrossRef]
- Sérino, S.; Costagliola, G.; Gomez, L. Lyophilized Tomato Plant Material: Validation of a Reliable Extraction Method for the Analysis of Vitamin C. J. Food Compos. Anal. 2019, 81, 37–45. [Google Scholar] [CrossRef]
- Stevens, R.; Buret, M.; Garchery, C.; Carretero, Y.; Causse, M. Technique for Rapid, Small-Scale Analysis of Vitamin C Levels in Fruit and Application to a Tomato Mutant Collection. J. Agric. Food Chem. 2006, 54, 6159–6165. [Google Scholar] [CrossRef]
- Prawira-Atmaja, M.I.; Shabri; Khomaini, H.S.; Maulana, H.; Harianto, S.; Rohdiana, D. Changes in Chlorophyll and Polyphenols Content in Camellia Sinensis Var. Sinensis at Different Stage of Leaf Maturity. IOP Conf. Ser. Earth Environ. Sci. 2018, 131, 012010. [Google Scholar] [CrossRef]
- Walsh, R.P.; Bartlett, H.; Eperjesi, F. Variation in Carotenoid Content of Kale and Other Vegetables: A Review of Pre- and Post-Harvest Effects. J. Agric. Food Chem. 2015, 63, 9677–9682. [Google Scholar] [CrossRef]
- El-Sayed, O.M.; El-Gammal, O.H.M.; Salama, A.S.M. Effect of Ascorbic Acid, Proline and Jasmonic Acid Foliar Spraying on Fruit Set and Yield of Manzanillo Olive Trees under Salt Stress. Sci. Hortic. 2014, 176, 32–37. [Google Scholar] [CrossRef]
- Fageria, V.D. Nutrient Interactions in Crop Plants. J. Plant Nutr. 2001, 24, 1269–1290. [Google Scholar] [CrossRef]
- Khan, S.A.; Mulvaney, R.L.; Ellsworth, T.R. The Potassium Paradox: Implications for Soil Fertility, Crop Production and Human Health. Renew. Agric. Food Syst. 2014, 29, 3–27. [Google Scholar] [CrossRef]
- Thakur, A.; Singh, A.; Tandon, A.; Sharma, V. Insights into the Molecular Mechanisms of Uptake, Phytohormone Interactions and Stress Alleviation by Silicon: A Beneficial but Non-Essential Nutrient for Plants. Plant Growth Regul. 2023, 101, 1–13. [Google Scholar] [CrossRef]
- Hafez, E.; Gharib, H. Effect of Exogenous Application of Ascorbic Acid on Physiological and Biochemical Characteristics of Wheat under Water Stress. Int. J. Plant Prod. 2016, 10, 579–596. [Google Scholar]
- Halliwell, B.; Gutteridge, J.M. Oxygen Toxicity, Oxygen Radicals, Transition Metals and Disease. Biochem. J. 1984, 219, 1–14. [Google Scholar] [CrossRef]
- Gupta, M.; Cuypers, A.; Vangronsveld, J.; Clijsters, H. Copper Affects the Enzymes of the Ascorbate-Glutathione Cycle and Its Related Metabolites in the Roots of Phaseolus Vulgaris. Physiol. Plant. 1999, 106, 262–267. [Google Scholar] [CrossRef]
- Drążkiewicz, M.; Skórzyńska-Polit, E.; Krupa, Z. Response of the Ascorbate–Glutathione Cycle to Excess Copper in Arabidopsis thaliana (L.). Plant Sci. 2003, 164, 195–202. [Google Scholar] [CrossRef]
- Mei, L.; Daud, M.K.; Ullah, N.; Ali, S.; Khan, M.; Malik, Z.; Zhu, S.J. Pretreatment with Salicylic Acid and Ascorbic Acid Significantly Mitigate Oxidative Stress Induced by Copper in Cotton Genotypes. Environ. Sci. Pollut. Res. 2015, 22, 9922–9931. [Google Scholar] [CrossRef]




| Trial | Spray | Harvest 1 (2 DAS *) | Harvest 2 (4 DAS) |
|---|---|---|---|
| 1 | First spray (4/22/22) | 4/24/22 | 4/26/22 |
| Second spray (4/27/22) | 4/29/22 | 5/1/22 | |
| Third spray (5/2/22) | 5/4/22 | 5/6/22 | |
| 2 | First spray (6/18/22) | 6/20/22 | 6/22/22 |
| Second spray (6/23/22) | 6/25/22 | 6/27/22 | |
| Third spray (6/28/22) | 6/30/22 | 7/2/22 |
| AA Rate | Chlorophyll a (µg/mL) | Chlorophyll b (µg/mL) | Carotenoids (µg/mL) | Total Chlorophylls (µg/mL) |
|---|---|---|---|---|
| 0 | 25.818154 | 22.30 a | 7.4080934 | 48.113557 |
| 100 | 25.005665 | 20.50 b | 8.1440095 | 45.508819 |
| 200 | 25.725553 | 20.42 b | 8.2260166 | 46.149551 |
| p value | 0.57 | 0.032 | 0.20 | 0.17 |
| Spray Frequency | Chlorophyll a (µg/mL) | Chlorophyll b (µg/mL) | Carotenoids (µg/mL) | Total chlorophylls (µg/mL) |
| First | 23.84 b | 17.32 b | 9.34 a | 41.16 b |
| Second | 25.90 a | 22.55 a | 7.49 b | 48.45 a |
| Third | 26.81 a | 23.35 a | 6.95 b | 50.16 a |
| p value | 0.002 | <0.0001 | <0.0001 | <0.0001 |
| Parameter | |||||||||
|---|---|---|---|---|---|---|---|---|---|
| Treatment | Fresh Weight | Dry Weight | %Dry Matter | Chl a | Chl b | Carotenoids | Total Chls | T-AsA | AA |
| AA rRate | NS | *** | *** | NS | * | NS | NS | *** | *** |
| Spray frequency | *** | *** | *** | *** | *** | *** | *** | *** | *** |
| Day of harvest | *** | NS | *** | NS | NS | NS | NS | *** | *** |
| AA rate * spray frequency | NS | *** | *** | NS | NS | NS | NS | *** | *** |
| AA rate * day of harvest | NS | NS | *** | NS | NS | NS | NS | NS | NS |
| Spray frequency * day of harvest | *** | NS | *** | NS | ** | NS | NS | NS | *** |
| AA Rate | N (%) | P (%) | K (%) | Ca (%) | Mg (%) | S (%) | B (ppm) | Zn (ppm) | Mn (ppm) | Fe (ppm) | Cu (ppm) |
|---|---|---|---|---|---|---|---|---|---|---|---|
| 0 | 6.59 b | 0.68 | 6.43 | 2.75 | 0.20 | 1.35 | 65.85 | 49.73 | 299.94 | 136.91 | 11.0 a |
| 100 | 6.95 a | 0.64 | 5.82 | 2.54 | 0.19 | 1.21 | 59.94 | 45.69 | 301.84 | 124.53 | 9.72 ab |
| 200 | 6.67 ab | 0.65 | 5.69 | 2.47 | 0.18 | 1.19 | 58.59 | 45.97 | 283.25 | 118.63 | 9.31 b |
| p Value | 0.027 | 0.74 | 0.44 | 0.48 | 0.41 | 0.20 | 0.43 | 0.51 | 0.62 | 0.17 | 0.049 |
| Parameter | |||||||||||
|---|---|---|---|---|---|---|---|---|---|---|---|
| Treatment | N | P | K | Mg | Ca | S | B | Zn | Mn | Fe | Cu |
| AA rate | * | NS | NS | NS | NS | NS | NS | NS | NS | NS | * |
| Spray frequency | *** | NS | NS | NS | NS | NS | NS | NS | NS | NS | NS |
| Day of harvest | NS | NS | NS | NS | NS | NS | NS | NS | NS | NS | NS |
| AA rate * spray frequency | NS | NS | NS | NS | NS | NS | NS | NS | NS | NS | NS |
| AA rate * day of harvest | NS | NS | NS | NS | NS | NS | NS | NS | NS | NS | NS |
| Spray frequency * day of harvest | * | NS | NS | NS | NS | NS | NS | NS | NS | NS | NS |
Disclaimer/Publisher’s Note: The statements, opinions and data contained in all publications are solely those of the individual author(s) and contributor(s) and not of MDPI and/or the editor(s). MDPI and/or the editor(s) disclaim responsibility for any injury to people or property resulting from any ideas, methods, instructions or products referred to in the content. |
© 2024 by the authors. Licensee MDPI, Basel, Switzerland. This article is an open access article distributed under the terms and conditions of the Creative Commons Attribution (CC BY) license (https://creativecommons.org/licenses/by/4.0/).
Share and Cite
Kathi, S.; Liu, H.; Laza, H.; Thompson, L.; Singh, S.; Li, W.; Simpson, C.R. Nutrient Composition of Arugula Leafy Greens Following Application of Ascorbic Acid Foliar Sprays. Horticulturae 2024, 10, 1126. https://doi.org/10.3390/horticulturae10111126
Kathi S, Liu H, Laza H, Thompson L, Singh S, Li W, Simpson CR. Nutrient Composition of Arugula Leafy Greens Following Application of Ascorbic Acid Foliar Sprays. Horticulturae. 2024; 10(11):1126. https://doi.org/10.3390/horticulturae10111126
Chicago/Turabian StyleKathi, Shivani, He Liu, Haydee Laza, Leslie Thompson, Sukhbir Singh, Wei Li, and Catherine R. Simpson. 2024. "Nutrient Composition of Arugula Leafy Greens Following Application of Ascorbic Acid Foliar Sprays" Horticulturae 10, no. 11: 1126. https://doi.org/10.3390/horticulturae10111126
APA StyleKathi, S., Liu, H., Laza, H., Thompson, L., Singh, S., Li, W., & Simpson, C. R. (2024). Nutrient Composition of Arugula Leafy Greens Following Application of Ascorbic Acid Foliar Sprays. Horticulturae, 10(11), 1126. https://doi.org/10.3390/horticulturae10111126

