Dynamic Changes in Polyphenols in Fruit Development of Red Flesh Apple ‘Hongxun 2’
Abstract
1. Introduction
2. Materials and Methods
2.1. Experimental Material
2.2. Methods
2.3. Quantitative and Qualitative Measurements of Polyphenol Components
2.4. Statistical Analysis
3. Results
3.1. Dynamic Changes in Total Polyphenol During Fruit Development
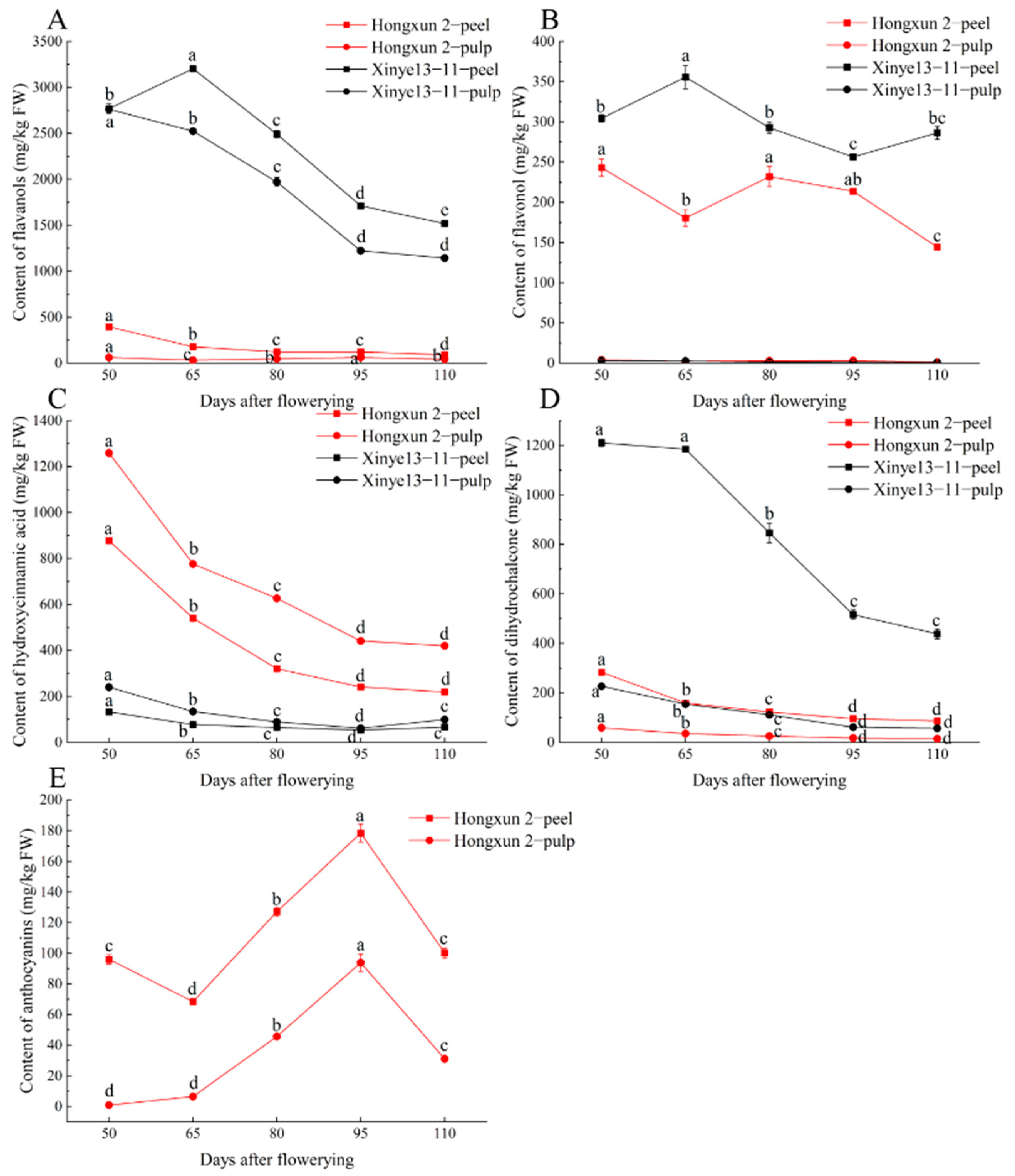
3.2. Dynamic Changes in Five Types of Polyphenols During Fruit Development
3.3. The Difference in Polyphenol Components and Contents During Fruit Development
3.4. Dynamic Changes in Main Polyphenol Components During Fruit Development
4. Discussion
4.1. Dynamic Changes in Total Phenols and Five Types of Polyphenols in Different Developmental Stages of Fruit
4.2. Dynamic Changes and Differences in Polyphenol Components in Fruits
4.3. Dynamic Variation in Flavonol Components in Fruits
4.4. Relationship Between Malus neidzwetzkyana (Dieck) Langenf and Malus sieversii (Led.) Roem
5. Conclusions
Author Contributions
Funding
Data Availability Statement
Conflicts of Interest
References
- Heron, M.G.L.; Holman, P.C.H.; Katan, M.B.; Kromhout, D. Intake of potentially anticarcenogenic flavonoids and their determinants in adults in the Netherlands. Nutr. Cancer 1993, 20, 21–29. [Google Scholar]
- Lin, Q.L.; Shi, Z.P. Relationship between the structure of natural antioxidants such as flavonoids and phenolic acids and their antioxidant power. Food Sci. 2001, 22, 85–91. [Google Scholar]
- Porto, P.A.L.D.S.; Laranjinha, J.A.N.; Freitas, V.A.P.D. Antioxidant protection of low density lipoprotein by procyanidins: Structure/activity relationships. Biochem. Pharmacol. 2003, 66, 947–954. [Google Scholar] [CrossRef] [PubMed]
- Sawa, T.; Nakao, M.; Akaike, T.; Ono, K.; Maeda, H. Alkylperoxyl radical scavenging activity of various flavonoids and other phenolic compounds: Implications for the anti-tumor promoter effect of vegetables. J. Agric. Food Chem. 1999, 47, 397–402. [Google Scholar] [CrossRef]
- Kasai, H.; Fukada, S.; Yamaizumi, Z.; Sugie, S.; Mori, H. Action of chlorogenic acid in vegetables and fruits as an inhibitor of 8-hydrox-ydeoxyguanosine formation in vitro and in a rat carcinogenesis model. Food Chem. Toxical. 2000, 38, 467–471. [Google Scholar] [CrossRef]
- Hubbard, G.; Wolffram, S.; Lovegrove, J.; Gibbins, J.M. The role of polyphenolic compounds in the diet as inhibitors of platelet function. Proc. Nutr. Soc. 2003, 62, 469–478. [Google Scholar] [CrossRef]
- Xiang, Y.; Zhao, R.; Lai, F.N.; Sun, X.; Sun, X.H.; Dai, H.Y.; Zhang, Y.G. Analysis of flavonoid fractions and antioxidant activity of red flesh apple peel. J. Plant Physiol. 2016, 52, 1353–1360. [Google Scholar]
- Zhang, X.; Sun, X.H.; Bo, S.H.; Bo, H.X.; Hou, H.M.; Sun, X.; Zhang, Y.G. Anthocyanin content and in vitro antioxidant study of four red flesh apple extracts. J. Qingdao Agric. Univ. (Nat. Sci. Ed.) 2018, 35, 179–185+199. [Google Scholar]
- Li, C.X.; Zhao, X.H.; Zuo, W.F.; Zhang, T.L.; Zhang, Z.Y.; Chen, X.S. Phytochemical profiles, antioxidant, and antiproliferative activities of four red-fleshed apple varieties in China. J. Food Sci. 2020, 85, 718–726. [Google Scholar] [CrossRef]
- Chen, X.S.; Mao, Z.Q.; Wang, N.; Zhang, Z.Y.; Wang, Z.G.; Xu, Y.H.; Jiang, S.H.; Dong, M.X.; Li, J.M. Evaluation, mining and innovative utilization of ‘Fuji’ and Xinjiang red-fleshed apple (Malus sieversii f. niedzwetzkyana). China Fruit 2020, 4, 1–4. [Google Scholar]
- Sun, X.H.; Bo, S.H.; Hou, H.M.; Sun, X.; Zhu, J.; Dai, H.Y.; Zhang, Y.G. A new red-fleshed apple cultivar ‘Daihong’. Acta Hortic. Sin. 2019, 46, 2729–2730. [Google Scholar]
- Zhang, L.Y.; Jiang, C.Y. Breeding of new red flesh apple variety ‘Hongyun’. China Fruit 2023, 11, 108–109. [Google Scholar]
- Würdig, J.; Flachowsky, H.; Hofer, M.; Peil, A.; Ali, M.A.M.S.E.; Hanke, M.V. Phenotypic and genetic analysis of the german Malus germplasm collection in terms of type 1 and type 2 red-fleshed apples. Gene 2014, 544, 198–207. [Google Scholar] [CrossRef]
- Wang, N.; Jiang, S.H.; Zhang, Z.Y.; Fang, H.C.; Xu, H.F.; Wang, Y.C.; Chen, X.S. Malus sieversii: The origin, flavonoid synthesis mechanism, and breeding of red-skinned and red-fleshed apples. Hortic. Res. 2018, 5, 70. [Google Scholar] [CrossRef]
- Wang, X.Q. Phenolic Metabolism of Red-Fleshed Apples and its Response to Stress. Ph.D. Thesis, Northwest Agriculture and Forestry Univsersity, Yangling, China, 2015. [Google Scholar]
- Umemura, H.; Otagaki, S.; Wada, M.; Kondo, S.; Matsumoto, S. Expression and functional analysis of a novel MYB gene, MdMYB110a_JP, responsible for red flesh, not skin color in apple fruit. Planta 2013, 238, 65–76. [Google Scholar] [CrossRef]
- Liu, R.; Wang, Y.X.; Wang, Z.; Shi, J.R.; Fan, Z.Z.; Zhang, Y.G.; Sun, X.H. Physicochemical analysis of the aging process of ‘Hongxun 1’ apple cider. J. Qingdao Agric. Univ. (Nat. Sci.) 2023, 40, 237–242. [Google Scholar]
- Nie, J.Y.; Lv, D.G.; Li, J.; Liu, F.Z.; Li, H.F.; Wang, K. A preliminary study on the flavonoids in fruits of 22 apple germplasm resources. Sci. Agric. Sin. 2010, 43, 4455–4462. [Google Scholar]
- Wang, D.J.; Wang, K.; Li, J.; Gao, Y.; Zhao, J.R.; Liu, L.J.; Gong, X.; Dong, X.G. Variation and correlation analysis of polyphenolic compounds in Malus germplasm. J. Hortic. Sci. Biotechnol. 2018, 93, 26–36. [Google Scholar] [CrossRef]
- Kondo, S.; Tsuda, K.; Muto, N.; Ueda, J.E. Antioxidative activity of apple skin or flesh extracts associated with fruit development on selected apple cultivars. Sci. Hortic. 2002, 96, 177–185. [Google Scholar] [CrossRef]
- Pang, W. The Separation Purification and Antioxidation Research of Apple Polyphenols. Ph.D. Thesis, Northwest University, Xi’an, China, 2007. [Google Scholar]
- Wang, S.X.; Liu, J.C.; Jiao, Z.G.; Jiao, Z.G.; Zhang, S.N.; Yang, L. Changes of polyphenols during fruit development in apples. J. Fruit Sci. 2003, 20, 427–431. [Google Scholar]
- Jiang, H.; Ji, B.P.; Liang, J.F.; Zhou, F.; Yang, Z.W.; Zhang, G.Z. Changes of contents and antioxidant activities of polyphenols during fruit development of four apple cultivars. Eur. Food Res. Technol. 2006, 223, 743–748. [Google Scholar] [CrossRef]
- Kevers, C.; Pincemail, J.; Tabart, J.; Defraigne, J.O.; Dommes, J. Influence of cultivar, harvest time, storage conditions, and peeling on the antioxidant capacity and phenolic and ascorbic acid contents of apples and pears. J. Agric. Food Chem. 2011, 59, 6165–6171. [Google Scholar] [CrossRef] [PubMed]
- Renard, C.M.G.C.; Dupont, N.; Guillermin, P. Concentrations and characteristics of procyanidins and other phenolics in apples during fruit growth. Phytochemistry 2007, 68, 1128–1138. [Google Scholar] [CrossRef]
- Henry-Kirk, R.A.; Mcghie, T.K.; Ander, C.M.; Allan, A.C. Transcriptional analysis of apple fruit proanthocyanidin biosynthesis. J. Exp. Bot. 2012, 63, 5437–5450. [Google Scholar] [CrossRef]
- Zhao, J.R.; Liu, G.J.; Chang, R.F.; Cao, K.; Shen, F.; Wu, T.; Wang, Y.; Han, Z.H.; Zhang, X.Z. Diversity of flesh polyphenols and their progressive dilution during fruit expansion in Malus germplasm. Sci. Hortic. 2015, 197, 461–469. [Google Scholar] [CrossRef]
- Li, X.D.; Wang, F.; Tong, P.P.; Zhang, Y.R.; Liu, Y.J.; Jiang, Z.W.; Wang, H.B. Accumulation of anthocyanosides in the pulp of Xinjiang red-fleshed apple and the expression of their related gens. Mol. Plant Breed. 2024, 22, 4233–4239. [Google Scholar]
- Wang, Y.L.; Zhang, Y.M.; Feng, S.Q.; Song, Y.; Xu, Y.T.; Zhang, Y.P.; Chen, X.S. The mechanism of red coloring different between skin and cortex in Malus sieversii f. neidzwetzkyana (Dieck). Langenf. Sci. Agric. Sin. 2012, 45, 2771–2778. [Google Scholar]
- Wang, L.; Wang, F.; Tang, L.; Tong, P.P.; Zhang, Y.R.; Wang, J.B. Changes of anthocyanin content and expression of synthesis-related genes in peel of Xinjing red flesh apples in different periods. Acta Agric. Jiangxi 2021, 33, 6–10. [Google Scholar]
- Wu, Q. Studies on the Phenolic Compounds by Widely Targeted Metabolomics and Flavonoid Extraction and Purification of ‘hongmantang’ Apple Fruit. Ph.D. Thesis, Shanxi Agricultural Univsersity, Taigu, China, 2023. [Google Scholar]
- Wang, X.Q.; Li, C.Y.; Liang, D.; Zou, Y.J.; Li, P.M.; Ma, F.W. Phenolic compounds and antioxidant activity in red-fleshed apples. J. Funct. Foods 2015, 18, 1086–1094. [Google Scholar] [CrossRef]
- Muthuswamy, S.; Vasantha, H.P. Fruit phenolics as natural antimicrobial agents: Selective antimicrobial activity of catechin, chlorogenic acid and phloridzin. J. Food Agric. Environ. 2007, 5, 81–85. [Google Scholar]
- Kumar, S.; Deng, C.H.; Molloy, C.; Kirk, C.; Plunkett, B.; Wang, K.L.; Allan, A.; Espley, R. Extreme-phenotype GWAS unravels a complex nexus between apple (Malus domestica) red-flesh clour and internal flesh browning. Fruit Res. 2022, 2, 12. [Google Scholar] [CrossRef]
- Zhou, L. Study on the Concentration Changes and Related Genes of Flavonoids in Apple. Ph.D. Thesis, Chinese Academy of Agricultural Sciences, Beijing, China, 2013. [Google Scholar]
- Song, J.; Amyotte, B.; Yu, C.H.J.; Campbell-Palmer, L.; Vinqvist-Tymchuk, M.; Rupasinghe, H.P.V. Untargeted metabolomics analysis reveals the biochemical variations of polyphenols in a diverse apple population. Fruit Res. 2023, 3, 29. [Google Scholar] [CrossRef]
- Wu, W.; Zhu, Q.G.; Wang, W.Q.; Grierson, D.; Yin, X.R. Molecular basis of the formation and removal of fruit astringency. Food Chem. 2022, 372, 131234. [Google Scholar] [CrossRef] [PubMed]
- Xing, H.Y.; Wu, J.L.; Wang, L.R. Advances in the metabolism and regulation of astringent substances in fruits. J. Fruit Sci. 2023, 40, 1728–1740. [Google Scholar]
- Wang, L.J.; Li, J.H.; Gao, J.J.; Feng, X.X.; Shi, Z.X.; Gao, F.Y.; Yang, L.Y. Inhibitory effect of chlorogenic acid on fruit russeting in ‘Golden Delicious’ apple. Scientia Horticulturae 2014, 178, 14–22. [Google Scholar] [CrossRef]
- Podsedek, A.; Wilska-Jeszka, J.; Anders, B.; Markowski, J. Compositional characterisation of some apple varieties. Eur. Food Res. Technol. 2000, 210, 268–272. [Google Scholar] [CrossRef]
- Li, S.J.; Chen, J.J.; Sarengaowa, C.C.; Hu, W.Z. Application of procyanidins from Aronia melanocarpa (Michx.) elliott in fresh-cut apple preservation. Horticulturae 2024, 10, 556. [Google Scholar] [CrossRef]
- Feng, S.H.; Yi, J.Y.; Li, X.; Wu, X.Y.; Zhao, Y.Y.; Ma, Y.C.; Bi, J.F. Systematic review of phenolic compounds in apple fruits: Compositions, distribution, absorption, metabolism, and processing stability. J. Agric. Food Chem. 2021, 69, 7–27. [Google Scholar] [CrossRef]
- Awad, M.A.; Jager, A.D.; Plas, L.H.W.V.D.; Krol, A.R.V.D. Flavonoid and chlorogenic acid changes in skin of ‘Elstar’ and ‘Jonagold’ apples during development and ripening. Sci. Hortic. 2001, 90, 69–83. [Google Scholar] [CrossRef]
- Awad, M.A.; Jager, A.D.; Westing, L.M.V. Flavonoid and chlorogenic acid levels in apple fruit: Characterisation of variation. Sci. Hortic. 2000, 83, 249–263. [Google Scholar] [CrossRef]
- Ju, Z.G.; Yuan, Y.B.; Liu, C.Q.; Wang, Y.Z.; Tian, X.P. Dihydroflavonol reductase activity and anthocyanin accumulation in ‘Delicious’, ‘Golden Delicious’ and ‘Indo’ apples. Sci. Hortic. 1997, 70, 31–43. [Google Scholar] [CrossRef]
- Feng, F.J.; Li, M.J.; Ma, F.W.; Cheng, L.L. The effects of bagging and debagging on external fruit quality, metabolites, and the expression of anthocyanin biosynthetic genes in ‘Jonagold’ apple (Malus domestica Borkh.). Sci. Hortic. 2014, 165, 123–131. [Google Scholar] [CrossRef]
- Yu, L.J.; Sun, Y.Y.; Zhang, X.; Chen, M.C.; Wu, T.; Zhang, J.; Xing, Y.F.; Tian, Y.; Yao, Y.C. ROS1 promotes low temperature-induced anthocyanin accumulation in apple by demethylating the promoter of anthocyanin-associated genes. Hortic. Res. 2022, 9, uhac007. [Google Scholar] [CrossRef] [PubMed]
- Karl, A.D.; Peck, G.M. Great sunlight exposure during early fruit development increases polyphenol concentration, soluble solid concentration, and fruit mass of cider apples. Horticulturae 2022, 8, 99. [Google Scholar] [CrossRef]
- Su, H.R. Malology; China Agriculture Press: Beijing, China, 1999. [Google Scholar]
- Li, Y.N. Researches of Germplasm Resources of Malus Mill; China Agriculture Press: Beijing, China, 2001. [Google Scholar]
- Lu, Q.N.; Jia, D.X. China Fruit Tree-Apple; China Forestry Publishing House: Beijing, China, 1999. [Google Scholar]
- Yan, G.R.; Yu, W.W.; Yang, M.L.; Xu, Z. The Malus sieversii in China; China Forestry Publishing House: Beijing, China, 2020. [Google Scholar]
- Williams, A.H. Chemical evidence from the flavonoids relevant to the classification of Malus species. Bot. J. linn. Soc. 1982, 84, 31–39. [Google Scholar] [CrossRef]



| Polyphenol Components | Contents of Polyphenol Components (mg·kg−1 FW) | ||||
|---|---|---|---|---|---|
| 50 d | 65 d | 80 d | 95 d | 110 d | |
| PROB1 | 17.93 ± 0.39 a | 7 ± 0.51 b | 4.66 ± 0.07 c | 4.97 ± 0.14 c | 3.18 ± 0.3 d |
| CATE | 15.97 ± 0.51 a | 3.63 ± 0.08 b | 2.01 ± 0.1 c | 2.02 ± 0.03 c | 1.35 ± 0.07 c |
| PROB2 | 121.98 ± 4.34 a | 65.47 ± 3.58 b | 49.81 ± 3.31 c | 52.72 ± 0.6 c | 41.25 ± 0.83 c |
| EPI | 153.08 ± 2.6 a | 60.11 ± 1.93 b | 35.03 ± 1.91 c | 33.42 ± 0.44 c | 23.42 ± 0.79 d |
| PROC1 | 85.03 ± 8.16 a | 42.21 ± 6.17 b | 30.8 ± 1.28 bc | 28.67 ± 0.58 bc | 20.86 ± 0.46 c |
| RUTIN | 0.35 ± 0.01 bc | 0.2 ± 0.02 c | 0.43 ± 0.03 b | 0.46 ± 0.04 a | 0.32 ± 0.01 bc |
| QUEGA | 79.46 ± 5.29 ab | 64.7 ± 3.75 c | 100.33 ± 7.19 a | 98.97 ± 3.04 a | 67.92 ± 2.82 b |
| QUEGL | 7.05 ± 0.23 c | 5.6 ± 0.2 d | 9.47 ± 0.4 b | 12.31 ± 0.17 a | 8.71 ± 0.13 b |
| QUEXY | 34.41 ± 1.26 a | 24.43 ± 0.42 c | 29.12 ± 1.58 b | 25.2 ± 0.07 c | 15.98 ± 0.18 d |
| QUEPY | 3.27 ± 0.13 ab | 2.56 ± 0.13 c | 3.6 ± 0.19 a | 3.78 ± 0.05 a | 2.94 ± 0.1 bc |
| QUEFU | 84.06 ± 3.17 a | 59.64 ± 6.39 b | 59.77 ± 2.41 b | 49.21 ± 0.62 b | 30.03 ± 0.37 c |
| QUERH | 33.25 ± 0.56 a | 22.55 ± 0.16 c | 28.32 ± 1.11 b | 23.24 ± 0.44 c | 18.08 ± 0.24 d |
| KAEGA | 0.26 ± 0.02 a | 0.19 ± 0.03 a | 0.29 ± 0.03 a | 0.28 ± 0.02 a | 0.2 ± 0.03 a |
| KAEGL | nd | nd | nd | nd | nd |
| KAEFU | 0.9 ± 0.01 a | 0.43 ± 0.01 c | 0.5 ± 0.02 b | 0.29 ± 0.01 d | 0.19 ± 0.02 e |
| KAERH | 0.23 ± 0.01 a | 0.13 ± 0.01 b | 0.17 ± 0.03 ab | 0.13 ± 0.02 b | nd |
| CHLAC | 850.86 ± 11.61 a | 525.93 ± 8.02 b | 312.65 ± 12.34 c | 235.76 ± 1.96 d | 215.14 ± 4.88 d |
| 4COUAC | 19.87 ± 0.49 a | 6.81 ± 0.4 b | 3.06 ± 0.17 c | 2.24 ± 0.28 c | nd |
| 5COUAC | 6.63 ± 0.21 a | 7.09 ± 0.11 a | 4.52 ± 0.28 b | 2.82 ± 0.16 b | 4.02 ± 0.17 c |
| HYDXY | 5.61 ± 0.3 a | 4.55 ± 0.08 b | 5.3 ± 0.25 ab | 3.48 ± 0.07 c | 3.49 ± 0.37 c |
| PHLHE | 1.07 ± 0.06 a | 0.77 ± 0.01 b | 0.59 ± 0.06 bc | 0.44 ± 0.06 c | 0.5 ± 0.03 c |
| HYDGL | 12.45 ± 0.32 a | 6.19 ± 0.38 b | 5.21 ± 0.47 bc | 4.12 ± 0.18 cd | 3.01 ± 0.21 d |
| PHLXY | 110.21 ± 2.09 a | 74.68 ± 3.27 b | 65.48 ± 0.33 c | 52.29 ± 1.61 d | 52.87 ± 2.41 d |
| PHLPE | 2.33 ± 0.19 a | 1.77 ± 0.17 b | 1.47 ± 0.14 b | 1.2 ± 0.07 b | 1.3 ± 0.07 b |
| PHLPE1 | 5.81 ± 0.41 a | 4.21 ± 0.31 b | 3.4 ± 0.51 b | 2.99 ± 0.26 b | 2.88 ± 0.18 b |
| PHLZI | 145.66 ± 6.44 a | 66.64 ± 1.57 b | 40.63 ± 4.22 c | 31.18 ± 1.71 cd | 22.12 ± 2.37 d |
| CYAGA | 72.45 ± 2.24 d | 53.89 ± 1.65 e | 106.6 ± 2.36 b | 155.08 ± 4.83 a | 87.23 ± 2.72 c |
| CYAGL | 0.38 ± 0.02 c | 0.28 ± 0.02 c | 0.75 ± 0.05 b | 1.11 ± 0.1 a | 0.61 ± 0.01 b |
| CYA3AR | 1.41 ± 0.05 c | 0.93 ± 0.03 d | 1.99 ± 0.01 b | 3.2 ± 0.12 a | 1.88 ± 0.11 b |
| PEOGA | nd | nd | 0.17 ± 0.01 c | 0.37 ± 0.02 a | 0.29 ± 0.03 b |
| CYA7AR | 10.51 ± 0.32 a | 5.9 ± 0.16 b | 6.72 ± 0.18 b | 6.02 ± 0.21 b | 3.73 ± 0.19 c |
| CYAXY | 11.34 ± 0.4 b | 7.46 ± 0.2 c | 10.97 ± 0.24 b | 12.73 ± 0.52 a | 6.57 ± 0.18 c |
| Polyphenol Components | Contents of Polyphenol Components (mg·kg−1 FW) | ||||
|---|---|---|---|---|---|
| 50 d | 65 d | 80 d | 95 d | 110 d | |
| PROB1 | 5.71 ± 0.15 a | 3.05 ± 0.14 b | 2.39 ± 0.2 b | 2.86 ± 0.15 b | 2.63 ± 0.16 b |
| CATE | 1.66 ± 0.04 a | 1.13 ± 0.06 b | 1.17 ± 0.01 b | 1.26 ± 0.08 b | 1.14 ± 0.04 b |
| PROB2 | 25.13 ± 1.24 a | 10.73 ± 0.36 c | 15.95 ± 1.27 b | 25.42 ± 0.33 a | 19.65 ± 1.28 b |
| EPI | 14.16 ± 0.48 b | 7.96 ± 0.24 c | 9.58 ± 0.23 c | 16.45 ± 0.66 a | 9.25 ± 0.42 c |
| PROC1 | 16.14 ± 1.29 a | 7.57 ± 0.09 b | 16.62 ± 1.16 a | 15.31 ± 0.45 a | 10.41 ± 0.66 b |
| RUTIN | nd | nd | nd | nd | nd |
| QUEGA | 1.44 ± 0.1 a | 0.67 ± 0.12 c | 1.01 ± 0.08 b | 1.37 ± 0 a | nd |
| QUEGL | nd | nd | nd | nd | nd |
| QUEXY | nd | nd | nd | nd | nd |
| QUEPY | nd | nd | nd | nd | nd |
| QUEFU | nd | nd | nd | nd | nd |
| QUERH | 2.44 ± 0.36 a | 1.68 ± 0.17 ab | 1.89 ± 0.32 ab | 1.76 ± 0.16 ab | 1.1 ± 0.12 b |
| KAEGA | nd | nd | nd | nd | nd |
| KAEGL | nd | nd | nd | nd | nd |
| KAEFU | nd | nd | nd | nd | nd |
| KAERH | nd | nd | nd | nd | nd |
| CHLAC | 1222.6 ± 11.37 a | 758.14 ± 6.47 b | 609.74 ± 4.96 c | 431.51 ± 7.41 d | 412.55 ± 0.61 d |
| 4COUAC | 22 ± 0.37 a | 8.41 ± 0.46 b | 5.88 ± 0.05 c | 3.89 ± 0.12 d | 2.12 ± 0.14 e |
| 5COUAC | 14.19 ± 0.45 a | 9.91 ± 0.43 c | 11.19 ± 0.32 b | 5.6 ± 0.07 d | 5.78 ± 0.15 d |
| HYDXY | 2.44 ± 0.2 a | 2.03 ± 0.17 a | 1.38 ± 0.08 b | 1.2 ± 0.06 b | 1.21 ± 0.06 b |
| PHLHE | 1.24 ± 0.09 a | 1.15 ± 0.11 a | 1.26 ± 0.05 a | 1.14 ± 0.06 a | 1.2 ± 0.08 a |
| HYDGL | 2.44 ± 0.1 b | 3.62 ± 0.13 a | 2.03 ± 0.2 b | 1.1 ± 0.09 c | 0.95 ± 0.02 c |
| PHLXY | 19.35 ± 0.59 a | 10.97 ± 0.32 b | 7.82 ± 0.21 c | 5.67 ± 0.22 d | 5.43 ± 0.44 d |
| PHLPE | 2.51 ± 0.03 a | 1.69 ± 0.13 b | 1.66 ± 0.06 b | nd | nd |
| PHLPE1 | 3.69 ± 0.51 a | 2.21 ± 0.03 b | 2.17 ± 0.21 b | 1.86 ± 0.2 b | nd |
| PHLZI | 27.07 ± 0.93 a | 13.79 ± 0.77 b | 8.48 ± 1.05 c | 6.56 ± 0.27 c | 5.88 ± 0.38 c |
| CYAGA | 0.59 ± 0.05 d | 4.76 ± 0.32 d | 38.07 ± 1.38 b | 81.12 ± 4.87 a | 26.65 ± 1.06 c |
| CYAGL | nd | nd | 0.31 ± 0.03 b | 0.62 ± 0.03 a | 0.21 ± 0.01 c |
| CYA3AR | nd | nd | 0.62 ± 0.02 b | 1.48 ± 0.11 a | 0.34 ± 0.02 c |
| PEOGA | nd | nd | nd | nd | nd |
| CYA7AR | 0.16 ± 0.02 d | 0.66 ± 0.06 cd | 2.13 ± 0.13 b | 2.83 ± 0.23 a | 1.07 ± 0.11 c |
| CYAXY | 0.18 ± 0.02 d | 1.07 ± 0.14 d | 4.62 ± 0.13 b | 7.87 ± 0.45 a | 2.79 ± 0.16 c |
| Polyphenol Components | Contents of Polyphenol Components (mg·kg−1 FW) | ||||
|---|---|---|---|---|---|
| 50 d | 65 d | 80 d | 95 d | 110 d | |
| PROB1 | 116.3 ± 6.62 c | 214.64 ± 1 a | 187.94 ± 7.03 b | 131.94 ± 6.25 c | 118.99 ± 4.12 c |
| CATE | 386.16 ± 7.5 a | 321.57 ± 1.4 b | 187.47 ± 3.59 c | 81.97 ± 2.05 d | 61.03 ± 1.52 e |
| PROB2 | 556.65 ± 18.8 c | 811.89 ± 3.62 a | 729.51 ± 9.97 b | 600.97 ± 21.9 c | 544.93 ± 6.87 c |
| EPI | 928.6 ± 7.37 a | 879.27 ± 7.84 b | 692.33 ± 15.22 c | 452.82 ± 14.47 d | 382.88 ± 7.05 e |
| PROC1 | 782.53 ± 27.12 b | 976.09 ± 34.77 a | 695.34 ± 6.67 c | 444.54 ± 6.93 d | 410.21 ± 13.94 d |
| RUTIN | 5.25 ± 0.31 a | 4.37 ± 0.56 a | 4.08 ± 0.15 a | 4.4 ± 0.3 a | 4.97 ± 0.48 a |
| QUEGA | 73.62 ± 1.28 c | 90.49 ± 2.85 b | 82.49 ± 3.3 bc | 84.92 ± 0.6 b | 113.7 ± 2.31 a |
| QUEGL | 37.88 ± 1.01 c | 49.5 ± 1.91 b | 44.5 ± 1.69 b | 48.3 ± 0.07 b | 56.07 ± 1.11 a |
| QUEXY | 26.08 ± 0.99 a | 28.91 ± 1.73 a | 21.97 ± 0.07 b | 16.97 ± 0.17 c | 16.28 ± 0.65 c |
| QUEPY | 2.22 ± 0.06 ab | 2.64 ± 0.22 ab | 2.32 ± 0.06 ab | 1.97 ± 0.07 c | 2.88 ± 0.27 a |
| QUEFU | 91.91 ± 1.84 a | 100.66 ± 3.18 a | 75.63 ± 2.44 b | 54.14 ± 0.2 c | 52.2 ± 2.94 c |
| QUERH | 64.49 ± 1.56 b | 76.78 ± 4.07 a | 59.84 ± 0.22 b | 44.33 ± 1.04 c | 38.78 ± 1.22 c |
| KAEGA | 0.25 ± 0.03 ab | 0.24 ± 0.01 ab | 0.22 ± 0.01 ab | 0.19 ± 0.01 b | 0.28 ± 0.02 a |
| KAEGL | 0.82 ± 0.02 a | 0.64 ± 0.03 b | 0.55 ± 0.01 c | 0.5 ± 0.02 c | 0.53 ± 0.03 c |
| KAEFU | 1.17 ± 0.02 a | 0.95 ± 0.03 b | 0.66 ± 0.01 c | 0.4 ± 0.02 d | 0.33 ± 0.02 d |
| KAERH | 0.49 ± 0.02 a | 0.49 ± 0.02 a | 0.34 ± 0.01 b | 0.24 ± 0.02 c | 0.21 ± 0.02 c |
| CHLAC | 121.16 ± 0.88 a | 73.93 ± 0.66 b | 62.03 ± 0.44 d | 51.92 ± 1.44 e | 65.92 ± 1.21 c |
| 4COUAC | 11.38 ± 0.48 a | 3.76 ± 0.09 b | 2.21 ± 0.21 c | 1.52 ± 0.2 c | nd |
| 5COUAC | nd | nd | nd | nd | nd |
| HYDXY | 9.58 ± 0.57 a | 9.02 ± 0.57 a | 9.72 ± 1.08 a | 7.89 ± 0.08 a | 4.94 ± 0.39 b |
| PHLHE | 2.85 ± 0.12 a | 2.93 ± 0.14 a | 2.51 ± 0.12 a | 1.78 ± 0.1 b | 1.63 ± 0.09 b |
| HYDGL | 43.54 ± 1.34 a | 45.7 ± 0.78 a | 36.69 ± 2.06 b | 28.61 ± 1.03 c | 18.47 ± 0.75 d |
| PHLXY | 252.11 ± 4.1 b | 304.63 ± 10.25 a | 228.52 ± 7.76 b | 162.25 ± 4.33 c | 146.17 ± 6.67 c |
| PHLPE | 6.54 ± 0.95 a | 6.97 ± 0.12 a | 4.56 ± 0.4 b | 3.25 ± 0.2 b | 3.29 ± 0.36 b |
| PHLPE1 | 11.36 ± 0.95 ab | 12.52 ± 0.58 a | 9.97 ± 0.6 b | 5.64 ± 0.31 c | 5.53 ± 0.26 c |
| PHLZI | 884.45 ± 11.54 a | 803.03 ± 9.03 b | 554.24 ± 28.07 c | 306.62 ± 15.66 d | 258.35 ± 12.73 d |
| CYAGA | nd | nd | nd | nd | nd |
| CYAGL | nd | nd | nd | nd | nd |
| CYA3AR | nd | nd | nd | nd | nd |
| PEOGA | nd | nd | nd | nd | nd |
| CYA7AR | nd | nd | nd | nd | nd |
| CYAXY | nd | nd | nd | nd | nd |
| Polyphenol Components | Contents of Polyphenol Components (mg·kg−1 FW) | ||||
|---|---|---|---|---|---|
| 50 d | 65 d | 80 d | 95 d | 110 d | |
| PROB1 | 99.72 ± 2.14 c | 142.66 ± 6.05 a | 122.93 ± 5.74 b | 76.69 ± 2.16 d | 74.72 ± 0.22 d |
| CATE | 241.76 ± 12.1 a | 181.07 ± 4.63 b | 103.81 ± 4.66 c | 45.79 ± 1.02 d | 38.18 ± 0.21 d |
| PROB2 | 792.75 ± 9.71 a | 736.77 ± 10.11 b | 659.1 ± 23.05 c | 452.5 ± 9.8 d | 447.7 ± 2.28 d |
| EPI | 870.56 ± 6.71 a | 778.33 ± 7.6 b | 580.98 ± 11.43 c | 357.51 ± 1.46 d | 316.03 ± 1.36 e |
| PROC1 | 758.21 ± 2.05 a | 686.98 ± 4.77 b | 505.35 ± 11.95 c | 289.76 ± 0.44 d | 267.28 ± 1.12 d |
| RUTIN | nd | nd | nd | nd | nd |
| QUEGA | nd | nd | nd | nd | nd |
| QUEGL | nd | nd | nd | nd | nd |
| QUEXY | nd | nd | nd | nd | nd |
| QUEPY | nd | nd | nd | nd | nd |
| QUEFU | 1.37 ± 0.12 a | 0.98 ± 0.13 b | nd | nd | nd |
| QUERH | 1.64 ± 0.2 a | 1.66 ± 0.28 a | 1.41 ± 0.17 ab | 0.81 ± 0.1 b | 0.79 ± 0.06 b |
| KAEGA | nd | nd | nd | nd | nd |
| KAEGL | nd | nd | nd | nd | nd |
| KAEFU | nd | nd | nd | nd | nd |
| KAERH | nd | nd | nd | nd | nd |
| CHLAC | 223.7 ± 0.51 a | 129.53 ± 1.77 b | 87.16 ± 2.24 d | 59.32 ± 0.66 e | 98.11 ± 1.63 c |
| 4COUAC | 16.26 ± 0.1 a | 3.99 ± 0.1 b | 2.16 ± 0.12 c | 1.96 ± 0.06 c | 0.8 ± 0.19 d |
| 5COUAC | nd | nd | nd | nd | nd |
| HYDXY | nd | nd | 6.15 ± 0.21 a | 5.81 ± 0.27 a | 4.29 ± 0.14 b |
| PHLHE | 8.88 ± 0.28 a | 7.5 ± 0.21 b | 4.81 ± 0.25 c | 3.1 ± 0.06 d | 2.9 ± 0.09 d |
| HYDGL | 4.86 ± 0.11 b | 6.73 ± 0.08 a | 4.67 ± 0.12 b | 2.38 ± 0.08 c | 1.94 ± 0.24 c |
| PHLXY | 49.86 ± 0.41 a | 42.96 ± 0.33 b | 31.86 ± 0.91 c | 18.64 ± 0.29 d | 16.71 ± 0.53 d |
| PHLPE | 2.36 ± 0.52 a | 2.51 ± 0.04 a | 2.32 ± 0.33 a | nd | nd |
| PHLPE1 | 16.15 ± 0.94 a | 12.79 ± 0.43 b | 9.13 ± 0.65 c | 4.65 ± 0.39 d | 4.42 ± 0.26 d |
| PHLZI | 144.03 ± 3.38 a | 81.95 ± 1.35 b | 52.34 ± 1.44 c | 26.6 ± 0.73 d | 26.16 ± 0.2 d |
| CYAGA | nd | nd | nd | nd | nd |
| CYAGL | nd | nd | nd | nd | nd |
| CYA3AR | nd | nd | nd | nd | nd |
| PEOGA | nd | nd | nd | nd | nd |
| CYA7AR | nd | nd | nd | nd | nd |
| CYAXY | nd | nd | nd | nd | nd |
Disclaimer/Publisher’s Note: The statements, opinions and data contained in all publications are solely those of the individual author(s) and contributor(s) and not of MDPI and/or the editor(s). MDPI and/or the editor(s) disclaim responsibility for any injury to people or property resulting from any ideas, methods, instructions or products referred to in the content. |
© 2024 by the authors. Licensee MDPI, Basel, Switzerland. This article is an open access article distributed under the terms and conditions of the Creative Commons Attribution (CC BY) license (https://creativecommons.org/licenses/by/4.0/).
Share and Cite
Wang, D.; Wang, G.; Lu, X.; Liu, Z.; Sun, S.; Guo, H.; Tian, W.; Li, Z.; Wang, L.; Li, L.; et al. Dynamic Changes in Polyphenols in Fruit Development of Red Flesh Apple ‘Hongxun 2’. Horticulturae 2024, 10, 1125. https://doi.org/10.3390/horticulturae10111125
Wang D, Wang G, Lu X, Liu Z, Sun S, Guo H, Tian W, Li Z, Wang L, Li L, et al. Dynamic Changes in Polyphenols in Fruit Development of Red Flesh Apple ‘Hongxun 2’. Horticulturae. 2024; 10(11):1125. https://doi.org/10.3390/horticulturae10111125
Chicago/Turabian StyleWang, Dajiang, Guangyi Wang, Xiang Lu, Zhao Liu, Simiao Sun, Hanxin Guo, Wen Tian, Zichen Li, Lin Wang, Lianwen Li, and et al. 2024. "Dynamic Changes in Polyphenols in Fruit Development of Red Flesh Apple ‘Hongxun 2’" Horticulturae 10, no. 11: 1125. https://doi.org/10.3390/horticulturae10111125
APA StyleWang, D., Wang, G., Lu, X., Liu, Z., Sun, S., Guo, H., Tian, W., Li, Z., Wang, L., Li, L., Gao, Y., & Wang, K. (2024). Dynamic Changes in Polyphenols in Fruit Development of Red Flesh Apple ‘Hongxun 2’. Horticulturae, 10(11), 1125. https://doi.org/10.3390/horticulturae10111125

