Investigation of a Broad-Bean Based Low-Cost Medium Formulation for Bacillus subtilis MSCL 897 Spore Production
Abstract
1. Introduction
2. Materials and Methods
2.1. Microorganism and Inoculum Preparation
2.2. Flask Experiments
2.3. Culture Media Composition
- Evaluation of the best-suited flour as a nitrogen source, with analysis of BF, PF, and SF.
- Comparison of sugar beet molasses, glucose, and sucrose as carbon sources.
- Investigation of various additives, including YE (Biolife), P (from beef, VWR International), and CSL (CC MOORE).
- Analysis of combinations of additives provided in minor amounts.
- Addition of (NH4)2HPO4 or urea as additional nitrogen sources.
- Comparison of spore yields with previously reported media formulations for the particular strain.
- Posada-Uribe et al. [9]: glucose 1.04 g/L, yeast extract 5.00 g/L, peptone 3.00 g/L, KH2PO4 6.00 g/L, MgSO4 · 7H2O 0.59 g/L, MnCl2 · 4H2O 0.50 g/L, NaCl 0.01 g/L, trace salts: FeSO4 0.1 M 1.14 mL/L, ZnSO4 0.1 M 0.30 mL/L, CaCl2 1 M 1.00 mL/L, MnCl2 1 M 3.00 mL/L.
- Monteiro et al. [12]: glucose 5.00 g/L, beef extract 3.00 g/L, peptone 5.00 g/L, MgSO4 · 7H2O 0.50 g/L, KCl 1.00 g/L, trace salts: MnCl2 10 mM 1 mL/L, Ca(NO3)2 1 M 1 mL/L, FeSO4 1 mM 1 mL/L.
- Khardziani et al. [10]: glucose 2.00 g/L, yeast extract 3.00 g/L, peptone 3.00 g/L, KH2PO4 1.00 g/L, MgSO4 · 7H2O 1.02 g/L.
2.4. Optical Density Measurements
2.5. Determination of Total Cell and Spore Colony Forming Units
2.6. Statistical Methods
3. Results
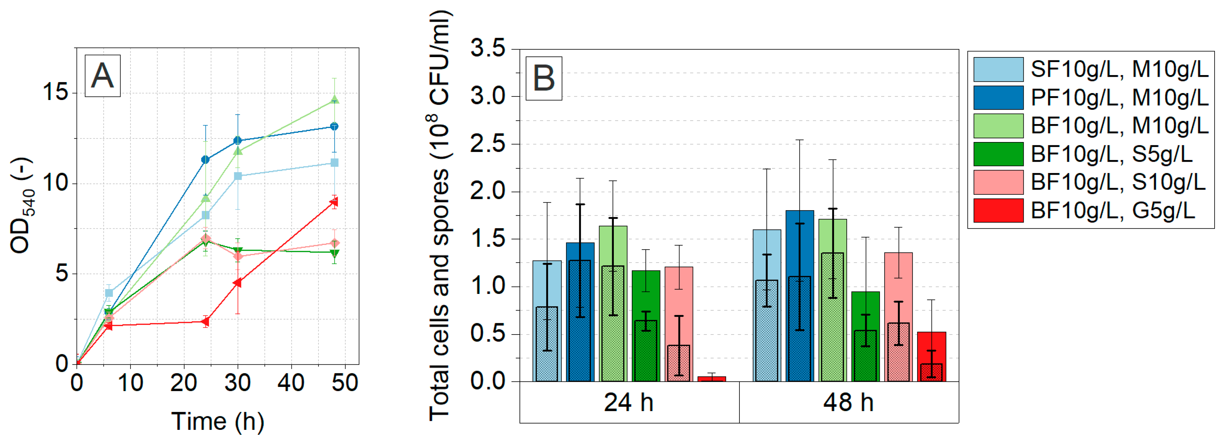
3.1. Legume Flour
3.2. Main Carbon and Energy Source
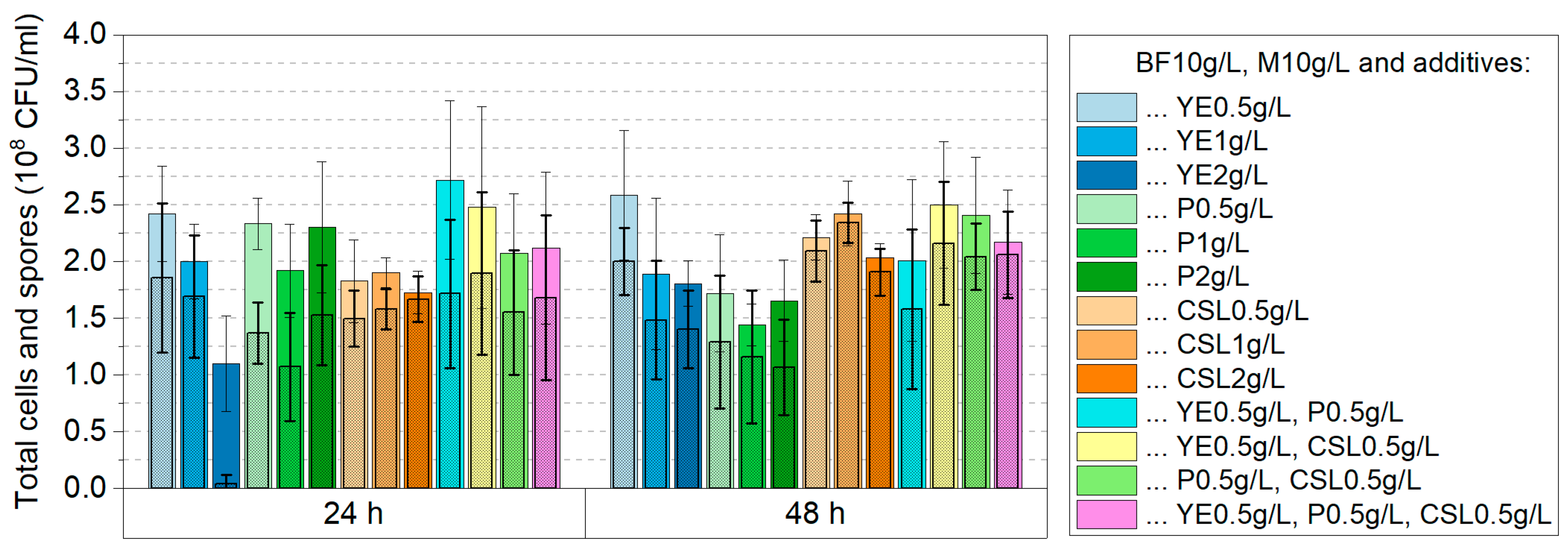
3.3. YE, P, CSL, (NH4)2HPO4 and Urea Additives to BF and Molasses Medium
3.3.1. YE, P, and CSL as Individual Additives
3.3.2. YE, P, and CSL Combined in Minor Amounts
3.3.3. (NH4)2HPO4 and Urea Additives
3.4. Reported Cultivation Mediums
4. Discussion
5. Conclusions
Author Contributions
Funding
Institutional Review Board Statement
Informed Consent Statement
Data Availability Statement
Acknowledgments
Conflicts of Interest
References
- Blake, C.; Christensen, M.N.; Kovács, Á.T. Molecular Aspects of Plant Growth Promotion and Protection by Bacillus subtilis. Mol. Plant-Microbe Interact. 2021, 34, 15–25. [Google Scholar] [CrossRef] [PubMed]
- Yoshida, K.-i.; van Dijl, J.M. Engineering Bacillus subtilis Cells as Factories: Enzyme Secretion and Value-Added Chemical Production. Biotechnol. Bioprocess Eng. 2020, 25, 872–885. [Google Scholar] [CrossRef]
- Su, Y.; Liu, C.; Fang, H.; Zhang, D. Bacillus subtilis: A Universal Cell Factory for Industry, Agriculture, Biomaterials and Medicine. Microb. Cell Fact. 2020, 19, 173. [Google Scholar] [CrossRef] [PubMed]
- Stojanović, S.S.; Karabegović, I.; Beškoski, V.; Nikolić, N.; Lazić, M. Bacillus Based Microbial Formulations: Optimization of the Production Process. Hem. Ind. 2019, 73, 169–182. [Google Scholar] [CrossRef]
- Stein, T. Bacillus subtilis Antibiotics: Structures, Syntheses and Specific Functions. Mol. Microbiol. 2005, 56, 845–857. [Google Scholar] [CrossRef] [PubMed]
- Abuhena, M.; Al-Rashid, J.; Azim, M.F.; Khan, M.N.M.; Kabir, M.G.; Barman, N.C.; Rasul, N.M.; Akter, S.; Huq, M.A. Optimization of Industrial (3000 L) Production of Bacillus subtilis CW-S and Its Novel Application for Minituber and Industrial-Grade Potato Cultivation. Sci. Rep. 2022, 12, 11153. [Google Scholar] [CrossRef] [PubMed]
- Chen, Z.M.; Li, Q.; Liu, H.M.; Yu, N.; Xie, T.J.; Yang, M.Y.; Shen, P.; Chen, X.D. Greater Enhancement of Bacillus subtilis Spore Yields in Submerged Cultures by Optimization of Medium Composition through Statistical Experimental Designs. Appl. Microbiol. Biotechnol. 2010, 85, 1353–1360. [Google Scholar] [CrossRef] [PubMed]
- Tavares, M.B.; Souza, R.D.; Luiz, W.B.; Cavalcante, R.C.M.; Casaroli, C.; Martins, E.G.; Ferreira, R.C.C.; Ferreira, L.C.S. Bacillus subtilis Endospores at High Purity and Recovery Yields: Optimization of Growth Conditions and Purification Method. Curr. Microbiol. 2013, 66, 279–285. [Google Scholar] [CrossRef] [PubMed]
- Posada-Uribe, L.F.; Romero-Tabarez, M.; Villegas-Escobar, V. Effect of Medium Components and Culture Conditions in Bacillus subtilis EA-CB0575 Spore Production. Bioprocess Biosyst. Eng. 2015, 38, 1879–1888. [Google Scholar] [CrossRef] [PubMed]
- Khardziani, T.; Kachlishvili, E.; Sokhadze, K.; Elisashvili, V.; Weeks, R.; Chikindas, M.L.; Chistyakov, V. Elucidation of Bacillus subtilis KATMIRA 1933 Potential for Spore Production in Submerged Fermentation of Plant Raw Materials. Probiotics Antimicrob. Proteins 2017, 9, 435–443. [Google Scholar] [CrossRef] [PubMed]
- Umar, A.; Zafar, A.; Wali, H.; Siddique, M.P.; Qazi, M.A.; Naeem, A.H.; Malik, Z.A.; Ahmed, S. Low-Cost Production and Application of Lipopeptide for Bioremediation and Plant Growth by Bacillus subtilis SNW3. AMB Express 2021, 11, 165. [Google Scholar] [CrossRef] [PubMed]
- Monteiro, S.M.; Clemente, J.J.; Henriques, A.O.; Gomes, R.J.; Carrondo, M.J.; Cunha, A.E. A Procedure for High-Yield Spore Production by Bacillus subtilis. Biotechnol. Prog. 2005, 21, 1026–1031. [Google Scholar] [CrossRef] [PubMed]
- de Carvalho, A.L.U.; de Oliveira, F.H.P.C.; Mariano, R.d.L.R.; Gouveia, E.R.; Souto-Maior, A.M. Growth, Sporulation and Production of Bioactive Compounds by Bacillus subtilis R14. Brazilian Arch. Biol. Technol. 2010, 53, 643–652. [Google Scholar] [CrossRef]
- Harwood, C.R.; Cutting, S.M. Modern Microbial Methods for Bacillus; John Wiley & Sons, Inc.: New York, NY, USA, 1990. [Google Scholar]
- Gounina-Allouane, R.; Acheuk, F.; Sahir-Halouane, F. Efficient and Cost-Effective Production of Bacillus Thuringiensis Subsp. Aizawai Spores and Delta-Endotoxins Using Agricultural Raw Materials and Agro-Industrial Wastes under Submerged Fermentation. Bioresour. Technol. Rep. 2022, 18, 101001. [Google Scholar] [CrossRef]
- Food and Agriculture Organization of the United Nations (FAO). FAOSTAT: Corporal Statistical Database. Crops; Regions/Eurpe & World; Elements/Area Harvested & Yield; Items/Broad Beans and Horse Beans, Dry; Years/2020. Retrieved: November 2022. 2020. Available online: https://www.fao.org/faostat/ (accessed on 22 March 2023).
- Clarke, M.A. SYRUPS. In Encyclopedia of Food Sciences and Nutrition; Elsevier: Amsterdam, The Netherlands, 2003; pp. 5711–5717. ISBN 9781439876732. [Google Scholar]
- Luna, C.L.; Mariano, R.L.R.; Souto-Maior, A.M. Production of a Biocontrol Agent for Crucifers Black Rot Disease. Braz. J. Chem. Eng. 2002, 19, 133–140. [Google Scholar] [CrossRef]
- Dehghan Shasaltaneh, M.; Moosavi-Nejad, Z.; Gharavi, S.; Fooladi, J. Cane Molasses as a Source of Precursors in the Bioproduction of Tryptophan by Bacillus subtilis. Iran. J. Microbiol. 2013, 5, 285–292. [Google Scholar]
- Warriner, K.; Waites, W.M. Enhanced Sporulation in Bacillus subtilis Grown on Medium Containing Glucose: Ribose. Lett. Appl. Microbiol. 2005, 168, 97–102. [Google Scholar]
- Stanbury, P.F.; Whitaker, A.; Hall, S.J. Principles of Fermentation Technology; Elsevier: Amsterdam, The Netherlands, 2017; ISBN 9780080999531. [Google Scholar]
- Monteiro, S.M.S.; Clemente, J.J.; Carrondo, M.J.T.; Cunha, A.E. Enhanced Spore Production of Bacillus subtilis Grown in a Chemically Defined Medium. Adv. Microbiol. 2014, 04, 444–454. [Google Scholar] [CrossRef]
- Mirnawati; Ciptaan, G.; Ferawati. Ferawati the Effect of Bacillus subtilis Inoculum Doses and Fermentation Time on Enzyme Activity of Fermented Palm Kernel Cake. J. World’s Poult. Res. 2019, 9, 211–216. [Google Scholar] [CrossRef]
- Gomaa, E.Z. Production of Polyhydroxyalkanoates (PHAs) By Bacillus subtilis and Escherichia Coli Grown on Cane Molasses Fortified with Ethanol. Braz. Arch. Biol. Technol. 2014, 57157, 145–154. [Google Scholar] [CrossRef]



| Molasses (M), Sucrose (S) or Glucose (G), g/L | Broad Bean Flour (BF), Grey Pea Flour (PF) or Soy Bean Flour (SF) g/L | Yeast Extract (YE), g/L | Peptone (P), g/L | Corn-Steep Liquor (CSL), g/L | (NH4)2HPO4 or Urea, g/L | Endospore Yield (48 h), 108 CFU/mL | SD, 108 CFU/mL | Sporulation Efficiency (nSporul, %), % |
|---|---|---|---|---|---|---|---|---|
| (1) Legume based flour with molasses | ||||||||
| 10.0 M | 10.0 BF | ― | ― | ― | ― | 1.35 | 0.47 | 79 |
| 10.0 M | 10.0 PF | ― | ― | ― | ― | 1.10 | 0.56 | 61 |
| 10.0 M | 10.0 SF | ― | ― | ― | ― | 1.06 | 0.27 | 66 |
| (2) BF with glucose or sucrose | ||||||||
| 5.0 S | 10.0 BF | ― | ― | ― | ― | 0.54 | 0.17 | 57 |
| 10.0 S | 10.0 BF | ― | ― | ― | ― | 0.61 | 0.23 | 45 |
| 5.0 G | 10.0 BF | ― | ― | ― | ― | 0.18 | 0.13 | 36 |
| (3) BF with molasses and YE, P or CSL additive; and SF with YE additive | ||||||||
| 10.0 M | 10.0 BF | 0.5 | ― | ― | ― | 2.00 | 0.28 | 77 |
| 10.0 M | 10.0 BF | 1.0 | ― | ― | ― | 1.48 | 0.52 | 78 |
| 10.0 M | 10.0 BF | 2.0 | ― | ― | ― | 1.40 | 0.34 | 78 |
| 10.0 M | 10.0 BF | ― | 0.5 | ― | ― | 1.29 | 0.58 | 75 |
| 10.0 M | 10.0 BF | ― | 1.0 | ― | ― | 1.16 | 0.58 | 80 |
| 10.0 M | 10.0 BF | ― | 2.0 | ― | ― | 1.06 | 0.42 | 64 |
| 10.0 M | 10.0 BF | ― | ― | 0.5 | ― | 2.09 | 0.29 | 95 |
| 10.0 M | 10.0 BF | ― | ― | 1.0 | ― | 2.34 | 0.18 | 97 |
| 10.0 M | 10.0 BF | ― | ― | 2.0 | ― | 1.91 | 0.21 | 94 |
| 10.0 M | 10.0 BF | 10.0 | ― | ― | ― | 1.41 * | 0.08 * | ― |
| 20.0 M | 10.0 BF | 0.5 | ― | ― | ― | 1.15 * | 0.19 * | ― |
| 10.0 M | 10.0 SF | 0.5 | ― | ― | ― | 1.07 * | 0.15 * | ― |
| (4) BF with 10 g/L of molasses and minor additive of YE/CSL, P/CSL or YE/P/CSL | ||||||||
| 10.0 M | 10.0 BF | 0.5 | 0.5 | ― | ― | 1.58 | 0.70 | 79 |
| 10.0 M | 10.0 BF | 0.5 | ― | 0.5 | ― | 2.19 | 0.51 | 86 |
| 10.0 M | 10.0 BF | ― | 0.5 | 0.5 | ― | 1.94 | 0.32 | 85 |
| 10.0 M | 10.0 BF | 0.5 | 0.5 | 0.5 | ― | 1.97 | 0.34 | 95 |
| (5) BF with 10 g/L of molasses, minor additive of YE and (NH4)2HPO4 or urea | ||||||||
| 10.0 M | 10.0 BF | 0.5 | ― | ― | 1.0 (NH4)2HPO4 | 1.00 | 0.08 | 88 |
| 10.0 M | 10.0 BF | 0.5 | ― | ― | 2.0 urea | 0.85 | 0.25 | 95 |
| (6) Trials of mediums from literature | ||||||||
| Posada-Uribe et al. [9] | 0.87 | 0.34 | 72 | |||||
| Monteiro et al. [12] | 1.10 | 0.82 | 77 | |||||
| Khardziani et al. [10] | 0.15 * | 0.04 * | 79 | |||||
Disclaimer/Publisher’s Note: The statements, opinions and data contained in all publications are solely those of the individual author(s) and contributor(s) and not of MDPI and/or the editor(s). MDPI and/or the editor(s) disclaim responsibility for any injury to people or property resulting from any ideas, methods, instructions or products referred to in the content. |
© 2023 by the authors. Licensee MDPI, Basel, Switzerland. This article is an open access article distributed under the terms and conditions of the Creative Commons Attribution (CC BY) license (https://creativecommons.org/licenses/by/4.0/).
Share and Cite
Grigs, O.; Didrihsone, E.; Bolmanis, E. Investigation of a Broad-Bean Based Low-Cost Medium Formulation for Bacillus subtilis MSCL 897 Spore Production. Fermentation 2023, 9, 390. https://doi.org/10.3390/fermentation9040390
Grigs O, Didrihsone E, Bolmanis E. Investigation of a Broad-Bean Based Low-Cost Medium Formulation for Bacillus subtilis MSCL 897 Spore Production. Fermentation. 2023; 9(4):390. https://doi.org/10.3390/fermentation9040390
Chicago/Turabian StyleGrigs, Oskars, Elina Didrihsone, and Emils Bolmanis. 2023. "Investigation of a Broad-Bean Based Low-Cost Medium Formulation for Bacillus subtilis MSCL 897 Spore Production" Fermentation 9, no. 4: 390. https://doi.org/10.3390/fermentation9040390
APA StyleGrigs, O., Didrihsone, E., & Bolmanis, E. (2023). Investigation of a Broad-Bean Based Low-Cost Medium Formulation for Bacillus subtilis MSCL 897 Spore Production. Fermentation, 9(4), 390. https://doi.org/10.3390/fermentation9040390

