A Natural Technology for Vacuum-Packaged Cooked Sausage Preservation with Potentially Postbiotic-Containing Preservative
Abstract
:1. Introduction
2. Materials and Methods
2.1. Microbial Collection and Inoculum Preparation
2.2. PPCP Production
2.3. In Vitro Efficacy of PPCP
2.4. In Situ Efficacy of PPCP
2.5. Sample Characterization
2.5.1. Physicochemical Analyses
2.5.2. Water Activity Measurement
2.5.3. pH Values
2.6. Durability Study
2.7. Statistical Analyses
3. Results
4. Discussion
5. Conclusions
Supplementary Materials
sample #1\;
sample #2\;
sample #3). Drop-plate technique was used to count total bacteria. Baranyi’s mathematical model was applied to model the microbial growth at each temperature. The initial population was ca. 2.8 log cfu/g. The growth (log) phase started suddenly after incubation at 24 and 36 °C, and extended up to 8.2 log cfu/g. Stationary phase started after the population had reached ca. 9.3 log cfu/g. The period between the log and the stationary phases was considered the deceleration phase; Figure S4. Sample incubation design. Microbial count at time zero must be below 8.2 log cfu/g to validate the test. Besides the time zero, there is no pre-defined time for microbial counting once the computational predictive modeling can process any time; however, microbial growth (log) phase must be included at least in one of the counts. Laboratories can determine the incubation temperatures; however, lower and higher temperatures between 4 and 20 °C, 25 and 36 °C, respectively, must be used; Figure S5. Illustration of the biological growth curve by predictive modeling. A—adaptation and acceleration growth phase; L—microbial growth (log) phase; D—deceleration phase; S—stationary phase. Correlations between specific growth rate in L and D phases were performed based on the correlation factor FT(n) value, according to the chosen temperature profile of the test; Table S1. Instrumental color measurement (on the unopened packaged sausages and after withdrawing the sausages from the packages and cleaning up their surfaces) and slime formation detection [43,44].Author Contributions
Funding
Institutional Review Board Statement
Informed Consent Statement
Data Availability Statement
Acknowledgments
Conflicts of Interest
References
- Mozzi, F. Lactic Acid Bacteria. In Encyclopedia of Food and Health; Caballero, B., Finglas, P.M., Toldrá, F.B.T.-E., Eds.; Academic Press: Oxford, UK, 2016; pp. 501–508. ISBN 978-0-12-384953-3. [Google Scholar]
- Ruiz Rodríguez, L.G.; Mohamed, F.; Bleckwedel, J.; Medina, R.; De Vuyst, L.; Hebert, E.M.; Mozzi, F. Diversity and functional properties of lactic acid bacteria isolated from wild fruits and flowers present in northern Argentina. Front. Microbiol. 2019, 10, 1091. [Google Scholar] [CrossRef] [PubMed]
- Tarrah, A.; da Silva Duarte, V.; de Castilhos, J.; Pakroo, S.; Lemos Junior, W.J.F.; Luchese, R.H.; Fioravante Guerra, A.; Rossi, R.C.; Righetto Ziegler, D.; Corich, V.; et al. Probiotic potential and biofilm inhibitory activity of Lactobacillus casei group strains isolated from infant feces. J. Funct. Foods 2019, 54, 489–497. [Google Scholar] [CrossRef]
- Laureano-Melo, R.; Caldeira, R.F.; Guerra, A.F.; Conceição, R.R.D.; Souza, J.S.D.; Giannocco, G.; Marinho, B.G.; Luchese, R.H.; Côrtes, W.S. Maternal supplementation with Lactobacillus paracasei DTA 83 alters emotional behavior in Swiss mice offspring. PharmaNutrition 2019, 8, 100148. [Google Scholar] [CrossRef]
- Silva, L.C.; Lago, H.S.; Rocha, M.O.T.; Oliveira, V.S.; Laureano-Melo, R.; Stutz, E.T.G.; Paula, B.P.; Martins, J.F.P.; Luchese, R.H.; Guerra, A.F.; et al. Craft beers fermented by potential probiotic yeast or lacticaseibacilli strains promote antidepressant-like behavior in Swiss Webster mice. Probiotics Antimicrob. Proteins 2021, 13, 698–708. [Google Scholar] [CrossRef]
- Food Safety Authority of Ireland. Guidance Note, No. 18 Validation of Products Shelf-Life, 4th ed.; Food Safety Authority of Ireland: Dublin, Ireland, 2019; ISBN 904465-33. [Google Scholar]
- Smet, C.; Baka, M.; Steen, L.; Fraeye, I.; Walsh, J.L.; Valdramidis, V.P.; Van Impe, J.F. Combined effect of cold atmospheric plasma, intrinsic and extrinsic factors on the microbial behavior in/on (food) model systems during storage. Innov. Food Sci. Emerg. Technol. 2019, 53, 3–17. [Google Scholar] [CrossRef]
- Horita, C.N.; Baptista, R.C.; Caturla, M.Y.R.; Lorenzo, J.M.; Barba, F.J.; Sant’Ana, A.S. Combining reformulation, active packaging and non-thermal post-packaging decontamination technologies to increase the microbiological quality and safety of cooked ready-to-eat meat products. Trends Food Sci. Technol. 2018, 72, 45–61. [Google Scholar] [CrossRef]
- Jaramillo, L.; Santos, D.; Borges, E.; Dias, D.; Pereira, N. Low-cost effective culture medium optimization for d-lactic acid production by Lactobacillus coryniformis subsp. torquens under oxygen-deprived condition. Ann. Microbiol. 2018, 68, 547–555. [Google Scholar] [CrossRef]
- Göransson, M.; Nilsson, F.; Jevinger, Å. Temperature performance and food shelf-life accuracy in cold food supply chains—Insights from multiple field studies. Food Control 2018, 86, 332–341. [Google Scholar] [CrossRef]
- Opara, U.L.; Caleb, O.J.; Belay, Z.A. 7—Modified atmosphere packaging for food preservation. In Food Quality and Shelf Life; Galanakis, C.M., Ed.; Academic Press: Oxford, UK, 2019; pp. 235–259. ISBN 978-0-12-817190-5. [Google Scholar]
- Kolbeck, S.; Ludwig, C.; Meng, C.; Hilgarth, M.; Vogel, R.F. Comparative Proteomics of Meat Spoilage Bacteria Predicts Drivers for Their Coexistence on Modified Atmosphere Packaged Meat. Front. Microbiol. 2020, 11, 209. [Google Scholar] [CrossRef]
- Brewer, M.S.; Mckeith, F.; Martin, S.E.; Dallmier, A.W.; Meyer, J. Sodium lactate effects on shelf-life, sensory, and physical characteristics of fresh pork sausage. J. Food Sci. 1991, 56, 1176–1178. [Google Scholar] [CrossRef]
- Feng, Q.; Yang, Z.; May, M.; Tsoi, K.K.; Ingle, S.; Lee, E.K.; Wong, S.Y.; Kim, J.H. The role of body mass index in the association between dietary sodium intake and blood pressure: A mediation analysis with Nhanes. Nutr. Metab. Cardiovasc. Dis. 2021, 31, 3335–3344. [Google Scholar] [CrossRef] [PubMed]
- Castellano, P.; Pérez Ibarreche, M.; Blanco Massani, M.; Fontana, C.; Vignolo, G.M. Strategies for pathogen biocontrol using lactic acid bacteria and their metabolites: A focus on meat ecosystems and industrial environments. Microorganisms 2017, 5, 38. [Google Scholar] [CrossRef] [PubMed] [Green Version]
- Martín, I.; Rodríguez, A.; Delgado, J.; Córdoba, J.J. Strategies for biocontrol of Listeria monocytogenes using lactic acid bacteria and their metabolites in ready-to-eat meat- and dairy-ripened products. Foods 2022, 11, 542. [Google Scholar] [CrossRef] [PubMed]
- Hernández-Aquino, S.; Miranda-Romero, L.A.; Fujikawa, H.; Maldonado-Simán, E.M.A.D.E.J.; Alarcón-Zuñiga, B. Antibacterial activity of lactic acid bacteria to improve shelf life of raw meat. Biocontrol Sci. 2019, 24, 185–192. [Google Scholar] [CrossRef] [Green Version]
- Oliveira, W.A.; Rodrigues, A.R.P.; Oliveira, F.A.; Oliveira, V.S.; Laureano-Melo, R.; Stutz, E.T.G.; Lemos Junior, W.J.F.; Paula, B.P.; Esmerino, E.A.; Corich, V.; et al. Potentially probiotic or postbiotic pre-converted nitrite from celery produced by an axenic culture system with probiotic lacticaseibacilli strain. Meat Sci. 2021, 174, 108408. [Google Scholar] [CrossRef]
- Silva, L.C.; Schmidt, G.B.; Alves, L.G.O.; Oliveira, V.S.; Laureano-Melo, R.; Stutz, E.; Martins, J.F.P.; Paula, B.P.; Luchese, R.H.; Guerra, A.F.; et al. Use of probiotic strains to produce beers by axenic or semi-separated co-culture system. Food Bioprod. Process. 2020, 124, 408–418. [Google Scholar] [CrossRef]
- Lemos Junior, W.J.F.; Guerra, A.F.; Tarrah, A.; Duarte, V.S.; Giacomini, A.; Luchese, R.H.; Corich, V. Safety and stability of two potentially probiotic Lactobacillus strains after in vitro gastrointestinal transit. Probiotics Antimicrob. Proteins 2019, 12, 657–666. [Google Scholar] [CrossRef]
- Guerra, A.F.; Lemos Junior, W.J.F.; Santos, G.O.; Andrighetto, C.; Giacomini, A.; Corich, V.; Luchese, R.H. Lactobacillus paracasei probiotic properties and survivability under stress-induced by processing and storage of ice cream bar or ice-lolly. Ciência Rural 2018, 48, 9. [Google Scholar] [CrossRef]
- Lemos Junior, W.J.F.; Guerra, A.F.; Duarte, V.S.; Treu, L.; Tarrah, A.; Campanaro, S.; Luchese, R.H.; Giacomini, A.; Corich, V. Draft genome sequence data of Lactobacillus paracasei strain DTA83 isolated from infant stools. Data Br. 2019, 22, 1064–1067. [Google Scholar] [CrossRef]
- Horwitz, W.; Latimer, G.W. Official Methods of Analysis of AOAC International; AOAC International: Gaithersburg, MD, USA, 2005. [Google Scholar]
- ISO 18787:2017; Foodstuffs—Determination of Water Activity. ISO: Geneva, Switzerland, 2017.
- ISO 2917:1999(E); Meat and Meat Products—Measurement of pH—Reference Method. ISO: Geneva, Switzerland, 1999.
- ISO 4833-1:2013; Microbiology of the Food Chain—Horizontal Method for the Enumeration of Microorganisms—Part 1: Colony Count at 30 Degrees C by the Pour Plate Technique—Reference Method. ISO: Geneva, Switzerland, 2013.
- Peel, M.C.; Finlayson, B.L.; McMahon, T.A. Updated world map of the Köppen-Geiger climate classification. Hydrol. Earth Syst. Sci. 2007, 11, 1633–1644. [Google Scholar] [CrossRef] [Green Version]
- Tsilingiri, K.; Barbosa, T.; Penna, G.; Caprioli, F.; Sonzogni, A.; Viale, G.; Rescigno, M. Probiotic and postbiotic activity in health and disease: Comparison on a novel polarised ex-vivo organ culture model. Gut 2012, 61, 1007–1015. [Google Scholar] [CrossRef] [PubMed] [Green Version]
- Taverniti, V.; Guglielmetti, S. The immunomodulatory properties of probiotic microorganisms beyond their viability (ghost probiotics: Proposal of paraprobiotic concept). Genes Nutr. 2011, 6, 261–274. [Google Scholar] [CrossRef] [PubMed] [Green Version]
- Shenderov, B.A. Metabiotics: Novel idea or natural development of probiotic conception. Microb. Ecol. Heal. Dis. 2013, 24, 20399. [Google Scholar] [CrossRef] [PubMed]
- Food and Agriculture Organization. FAO/WHO Guidelines for the Evaluation of Probiotics in Food; FAO: Rome, Italy, 2002; p. 11. [Google Scholar]
- Hill, C.; Guarner, F.; Reid, G.; Gibson, G.R.; Merenstein, D.J.; Pot, B.; Morelli, L.; Canani, R.B.; Flint, H.J.; Salminen, S.; et al. Expert consensus document: The international scientific association for probiotics and prebiotics consensus statement on the scope and appropriate use of the term probiotic. Nat. Rev. Gastroenterol. Hepatol. 2014, 11, 506–514. [Google Scholar] [CrossRef] [PubMed] [Green Version]
- Cebrián, G.; Condón, S.; Mañas, P. Physiology of the inactivation of vegetative bacteria by thermal treatments: Mode of action, influence of environmental factors and inactivation kinetics. Foods 2017, 6, 107. [Google Scholar] [CrossRef] [PubMed] [Green Version]
- EFSA Regulation (EC) No 1333/2008 of the European Parliament and of the Council of 16 December 2008 on food additives. Off. J. Eur. Union 2008, 336, 16–33.
- Bouju-Albert, A.; Pilet, M.-F.; Guillou, S. Influence of lactate and acetate removal on the microbiota of French fresh pork sausages. Food Microbiol. 2018, 76, 328–336. [Google Scholar] [CrossRef]
- Peleg, M. The Hurdle Technology Metaphor Revisited. Food Eng. Rev. 2020, 12, 309–320. [Google Scholar] [CrossRef]
- Frank, D.; Zhang, Y.; Li, Y.; Luo, X.; Chen, X.; Kaur, M.; Mellor, G.; Stark, J.; Hughes, J. Shelf life extension of vacuum packaged chilled beef in the Chinese supply chain. A feasibility study. Meat Sci. 2019, 153, 135–143. [Google Scholar] [CrossRef]
- Habib, I.; Coles, J.; Fallows, M.; Goodchild, S. Human campylobacteriosis related to cross-contamination during handling of raw chicken meat: Application of quantitative risk assessment to guide intervention scenarios analysis in the Australian context. Int. J. Food Microbiol. 2020, 332, 108775. [Google Scholar] [CrossRef]
- Grispoldi, L.; Karama, M.; Hadjicharalambous, C.; Stefani, F.; Ventura, G.; Ceccarelli, M.; Revoltella, M.; Sechi, P.; Crotti, C.; D’Innocenzo, A.; et al. Bovine lymph nodes as a source of Escherichia coli contamination of the meat. Int. J. Food Microbiol. 2020, 331, 108715. [Google Scholar] [CrossRef] [PubMed]
- Huang, L.; Zeng, X.; Sun, Z.; Wu, A.; He, J.; Dang, Y.; Pan, D. Production of a safe cured meat with low residual nitrite using nitrite substitutes. Meat Sci. 2020, 162, 108027. [Google Scholar] [CrossRef] [PubMed]
- Hashem, A.; Tabassum, B.; Fathi Abd_Allah, E. Bacillus subtilis: A plant-growth promoting rhizobacterium that also impacts biotic stress. Saudi J. Biol. Sci. 2019, 26, 1291–1297. [Google Scholar] [CrossRef] [PubMed]
- Kim, D.H.; Cho, W.I.; Lee, S.J. Fault tree analysis as a quantitative hazard analysis with a novel method for estimating the fault probability of microbial contamination: A model food case study. Food Control 2020, 110, 107019. [Google Scholar] [CrossRef]
- ISO 7218; Microbiology of Food and Animal Feeding Stuffs—General Requirements and Guidance for Microbiological Examinations. ISO: Geneva, Switzerland, 2007.
- Hunt, M.; King, A. Meat Color Measurement Guidelines; American Meat Science Association: Savoy, IL, USA, 2012. [Google Scholar]



| Treatments | |||||||||||
|---|---|---|---|---|---|---|---|---|---|---|---|
| Sausage Surface | Sausage Mass | ||||||||||
| Ingredients (%) | Blank | Control (Water) 2.0% | Sodium Lactate 2.0% | PPCP 3 1.0% | PPCP 2.0% | PPCP 3.0% | Control (Water) 2.0% | Sodium Lactate 2.0% | PPCP 1.0% | PPCP 2.0% | PPCP 3.0% |
| Lean pork meat | 67.33 | 67.33 | 67.33 | 67.33 | 67.33 | 67.33 | 67.33 | 67.33 | 67.33 | 67.33 | 67.33 |
| Pork fat | 20.00 | 20.00 | 20.00 | 20.00 | 20.00 | 20.00 | 20.00 | 20.00 | 20.00 | 20.00 | 20.00 |
| Drinking water | 10.00 | 10.00 | 10.00 | 10.00 | 10.00 | 10.00 | 8.00 | 8.00 | 9.00 | 8.00 | 7.00 |
| Salt (sodium chloride) | 1.80 | 1.80 | 1.80 | 1.80 | 1.80 | 1.80 | 1.80 | 1.80 | 1.80 | 1.80 | 1.80 |
| Seasoning 1 | 0.30 | 0.30 | 0.30 | 0.30 | 0.30 | 0.30 | 0.30 | 0.30 | 0.30 | 0.30 | 0.30 |
| Sodium trypoliphosphate | 0.32 | 0.32 | 0.32 | 0.32 | 0.32 | 0.32 | 0.32 | 0.32 | 0.32 | 0.32 | 0.32 |
| Sodium erythorbate | 0.10 | 0.10 | 0.10 | 0.10 | 0.10 | 0.10 | 0.10 | 0.10 | 0.10 | 0.10 | 0.10 |
| Curing salt 2 | 0.15 | 0.15 | 0.15 | 0.15 | 0.15 | 0.15 | 0.15 | 0.15 | 0.15 | 0.15 | 0.15 |
| Sterile deionized water | 2.00 | 2.00 | |||||||||
| Sodium lactate FCC85 | 2.00 | 2.00 | |||||||||
| PPCP | 1.00 | 2.00 | 3.00 | 1.00 | 2.00 | 3.00 | |||||
| (%) of Potentially Postbiotic-Containing Preservative (PPCP) | ||||||||||
|---|---|---|---|---|---|---|---|---|---|---|
| Coefficients | 0.0 | 0.1 | 0.3 | 0.5 | 1.0 | 1.5 | 2.0 | 2.5 | 3.0 | 3.5 |
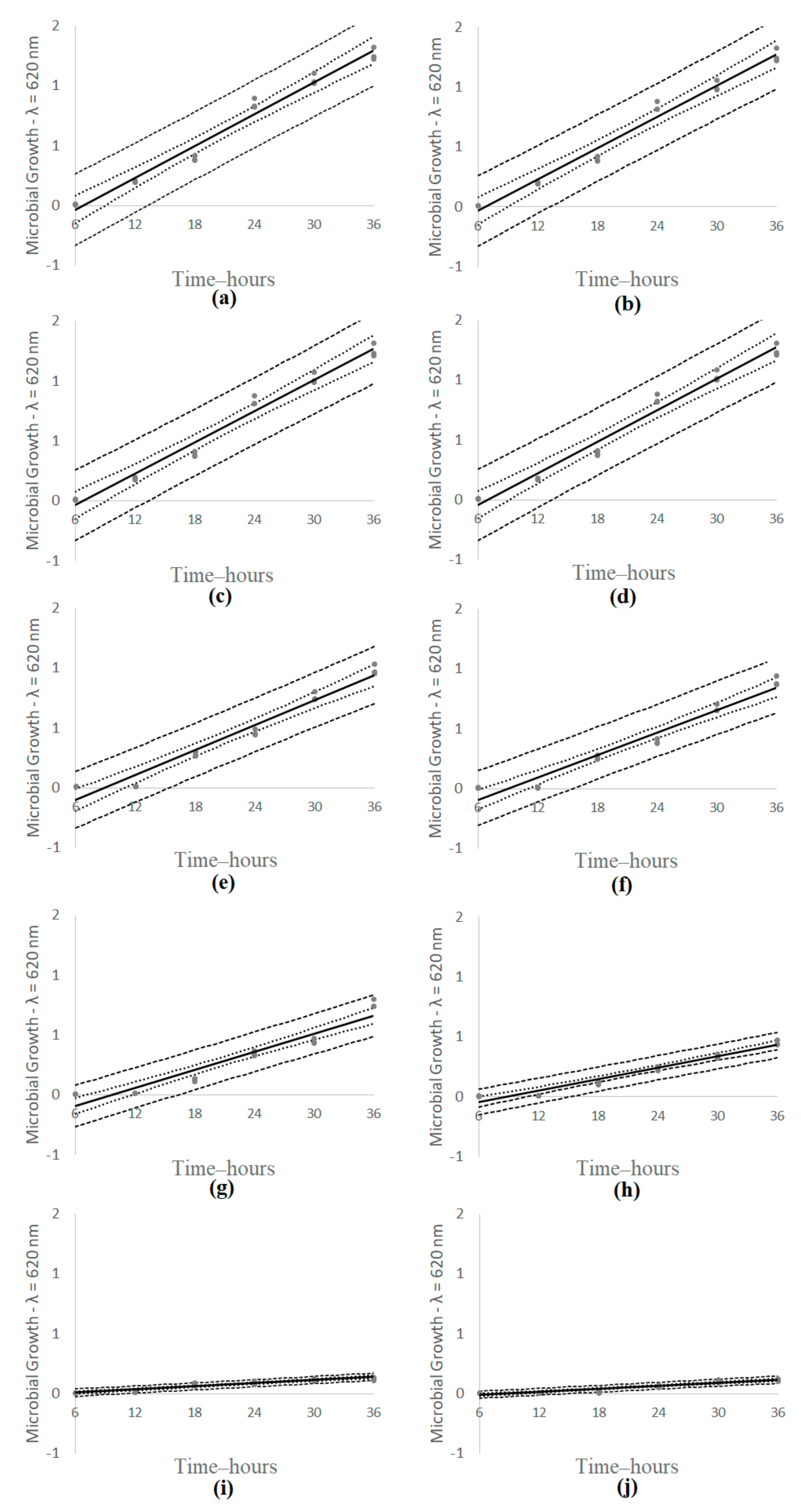
| xi | 0.044 a | 0.044 a | 0.044 a | 0.044 a | 0.035 a | 0.031 a | 0.025 b | 0.016 c | 0.004 d | 0.004 d |
| yi | −0.299 | −0.294 | −0.298 | −0.305 | −0.309 | −0.281 | −0.242 | −0.137 | −0.018 | −0.034 |
| R2 | 0.978 | 0.981 | 0.979 | 0.977 | 0.959 | 0.955 | 0.921 | 0.961 | 0.881 | 0.088 |
| SE | 0.111 | 0.109 | 0.110 | 0.111 | 0.088 | 0.079 | 0.065 | 0.040 | 0.012 | 0.011 |
| SQ | 1890 | 1890 | 1890 | 1890 | 1890 | 1890 | 1890 | 1890 | 1890 | 1890 |
| n | 18 | 18 | 18 | 18 | 18 | 18 | 18 | 18 | 18 | 18 |
| DF (n − 2) | 16 | 16 | 16 | 16 | 16 | 16 | 16 | 16 | 16 | 16 |
| tα/2 | 2.4729 | 2.4729 | 2.4729 | 2.4729 | 2.4729 | 2.4729 | 2.4729 | 2.4729 | 2.4729 | 2.4729 |
| Confidence Interval | 0.95 | 0.95 | 0.95 | 0.95 | 0.95 | 0.95 | 0.95 | 0.95 | 0.95 | 0.95 |
| Parameter | Mean ± Standard Error | |
|---|---|---|
| Moisture (%) | 56.663 | ± 0.160 |
| Protein (%) | 14.434 | ± 0.288 |
| Fat (%) | 23.550 | ± 0.122 |
| Ash (%) | 3.550 | ± 0.387 |
| Carbohydrates 1 (%) | 1.803 | ± 0.627 |
| Total energy (kcal/100 g sample) | 281.749 | ± 1.714 |
| Potential of hydrogen (pH) | 6.878 | ± 0.004 |
| Water activity (Aw) | 0.964 | ± 0.002 |
| Treatments | |||||||||||||
|---|---|---|---|---|---|---|---|---|---|---|---|---|---|
| Sample Incubation | Sausage Surface | Sausage Mass | |||||||||||
| Temperature (°C) | Time (days) | Blank | Control (water) 2.0% | Sodium lactate 2.0% | PPCP 4 1.0% | PPCP 2.0% | PPCP 3.0% | Control (water) 2.0% | Sodium lactate 2.0% | PPCP 1.0% | PPCP 2.0% | PPCP 3.0% | |
| Laboratorial data (log cfu/g) | 0 | 5.77 | 5.80 | 5.71 | 5.88 | 5.79 | 5.80 | 5.66 | 5.76 | 5.81 | 5.83 | 5.87 | |
| 7 | 3 | 6.01 | 5.99 | 5.89 | 5.99 | 5.90 | 5.81 | 5.95 | 6.01 | 6.02 | 5.92 | 6.01 | |
| 6 | 6.49 | 6.48 | 6.37 | 6.45 | 6.23 | 5.98 | 6.42 | 6.14 | 6.09 | 6.00 | 6.32 | ||
| 36 | 2 | 6.69 | 6.72 | 6.70 | 6.80 | 6.64 | 6.14 | 6.59 | 6.66 | 6.61 | 6.33 | 6.26 | |
| 4 | 8.50 | 8.48 | 8.49 | 8.61 | 8.45 | 6.87 | 8.42 | 7.12 | 7.10 | 6.97 | 6.94 | ||
| Specific maximum growth rate (log cfu/g/day) | 7 | L phase | 0.1000 | 0.0883 | 0.0850 | 0.0658 | 0.0550 | 0.0167 | 0.1117 | 0.0733 | 0.0583 | 0.0292 | 0.0608 |
| D phase | 0.0287 | 0.0253 | 0.0244 | 0.0189 | 0.0158 | 0.0048 | 0.0320 | 0.0210 | 0.0167 | 0.0084 | 0.0174 | ||
| 36 | L phase | 0.5713 | 0.5650 | 0.5950 | 0.5713 | 0.5450 | 0.2188 | 0.5775 | 0.3950 | 0.3613 | 0.2675 | 0.2313 | |
| D phase | 0.1637 | 0.1619 | 0.1705 | 0.1637 | 0.1562 | 0.0627 | 0.1655 | 0.1132 | 0.1035 | 0.0767 | 0.0663 | ||
| Season | |||||||||||||
| Ngrowth (log cfu/g/day) 1 | Summer | 0.4649 | 0.4575 | 0.4800 | 0.4572 | 0.4345 | 0.1732 | 0.4724 | 0.3224 | 0.2929 | 0.2137 | 0.1928 | |
| Autumn | 0.2970 | 0.2876 | 0.2982 | 0.2771 | 0.2599 | 0.1012 | 0.3064 | 0.2078 | 0.1850 | 0.1288 | 0.1321 | ||
| Winter | 0.2158 | 0.2054 | 0.2103 | 0.1900 | 0.1754 | 0.0663 | 0.2261 | 0.1524 | 0.1328 | 0.0877 | 0.0608 | ||
| Spring | 0.3383 | 0.3294 | 0.3429 | 0.3214 | 0.3028 | 0.1189 | 0.3473 | 0.2360 | 0.2115 | 0.1497 | 0.1470 | ||
| Ndeceleration (log cfu/g/day) 2 | Summer | 0.1332 | 0.1311 | 0.1375 | 0.1310 | 0.1245 | 0.0496 | 0.1354 | 0.0924 | 0.0839 | 0.0613 | 0.0553 | |
| Autumn | 0.1151 | 0.1115 | 0.1156 | 0.1074 | 0.1007 | 0.0392 | 0.1188 | 0.0805 | 0.0717 | 0.0499 | 0.0512 | ||
| Winter | 0.1008 | 0.0960 | 0.0983 | 0.0888 | 0.0820 | 0.0310 | 0.1057 | 0.0712 | 0.0620 | 0.0410 | 0.0284 | ||
| Spring | 0.1207 | 0.1175 | 0.1223 | 0.1146 | 0.1080 | 0.0424 | 0.1239 | 0.0842 | 0.0754 | 0.0534 | 0.0524 | ||
| Use-by date (days) 3 | Summer | 12 | 12 | 12 | 12 | 14 | 34 | 12 | 19 | 20 | 27 | 30 | |
| Autumn | 17 | 18 | 17 | 18 | 20 | 50 | 17 | 24 | 27 | 38 | 37 | ||
| Winter | 22 | 22 | 22 | 24 | 26 | 70 | 21 | 31 | 35 | 52 | 45 | ||
| Spring | 15 | 16 | 15 | 16 | 17 | 43 | 15 | 23 | 25 | 35 | 35 | ||
| Sample Incubation | Sausage Surface | Sausage Mass | |||||||||||
|---|---|---|---|---|---|---|---|---|---|---|---|---|---|
| Temperature (°C) | Time (days) | Blank | Control (water) 2.0% | Sodium lactate 2.0% | PPCP 4 1.0% | PPCP 2.0% | PPCP 3.0% | Control (water) 2.0% | Sodium lactate 2.0% | PPCP 1.0% | PPCP 2.0% | PPCP 3.0% | |
| Laboratorial data (log cfu/g) | 0 | 5.77 | 5.80 | 5.71 | 5.88 | 5.79 | 5.80 | 5.66 | 5.76 | 5.81 | 5.83 | 5.87 | |
| 7 | 3 | 6.01 | 5.99 | 5.89 | 5.99 | 5.90 | 5.81 | 5.95 | 6.01 | 6.02 | 5.92 | 6.01 | |
| 6 | 6.49 | 6.48 | 6.37 | 6.45 | 6.23 | 5.98 | 6.42 | 6.14 | 6.09 | 6 | 6.32 | ||
| 36 | 2 | 6.69 | 6.72 | 6.70 | 6.80 | 6.64 | 6.14 | 6.59 | 6.66 | 6.61 | 6.33 | 6.26 | |
| 4 | 8.50 | 8.48 | 8.49 | 8.61 | 8.45 | 6.87 | 8.42 | 7.12 | 7.10 | 6.97 | 6.94 | ||
| Specific maximum growth rate (log cfu/g/day) | 7 | L phase | 0.1000 | 0.0883 | 0.0850 | 0.0658 | 0.0550 | 0.0167 | 0.1117 | 0.0733 | 0.0583 | 0.0292 | 0.0608 |
| D phase | 0.0287 | 0.0253 | 0.0244 | 0.0189 | 0.0158 | 0.0048 | 0.0320 | 0.0210 | 0.0167 | 0.0084 | 0.0174 | ||
| 36 | L phase | 0.5713 | 0.5650 | 0.5950 | 0.5713 | 0.5450 | 0.2188 | 0.5775 | 0.3950 | 0.3613 | 0.2675 | 0.2313 | |
| D phase | 0.1637 | 0.1619 | 0.1705 | 0.1637 | 0.1562 | 0.0627 | 0.1655 | 0.1132 | 0.1035 | 0.0767 | 0.0663 | ||
| Ngrowth (log cfu/g/day) 1 | 0.1000 | 0.0883 | 0.0850 | 0.0658 | 0.0550 | 0.0167 | 0.1117 | 0.0733 | 0.0583 | 0.0292 | 0.0250 | ||
| Ndeceleration (log cfu/g/day) 2 | 0.0661 | 0.0584 | 0.0562 | 0.0435 | 0.0363 | 0.0110 | 0.0738 | 0.0485 | 0.0386 | 0.0193 | 0.0165 | ||
| Use-by date (days) 3 | 41 | 46 | 49 | 60 | 73 | 240 | 38 | 56 | 68 | 136 | 158 | ||
| Presumed Initial Microbial Load (log cfu/g) | ||||||
|---|---|---|---|---|---|---|
| Treatments | Summer | Autumn | Winter | Spring | Cold Storage | |
| Blank | −20.00 | −13.05 | −9.03 | −14.90 | 0.87 | |
| Sausage surface | 2.0% of water (control) | −19.17 | −12.22 | −8.20 | −14.07 | 1.90 |
| 2.0% of sodium lactate | −19.46 | −12.51 | −8.49 | −14.36 | 2.21 | |
| 1.0% of PPCP 1 | −17.59 | −10.64 | −6.62 | −12.49 | 3.88 | |
| 2.0% of PPCP | −16.38 | −9.43 | −5.41 | −11.28 | 4.84 | |
| 3.0% of PPCP | −6.57 | 0.38 | 4.40 | −1.47 | 8.30 | |
| Sausage mass | 2.0% of water (control) | −20.91 | −13.96 | −9.94 | −15.81 | −0.24 |
| 2.0% of sodium lactate | −14.21 | −7.26 | −3.24 | −9.11 | 3.26 | |
| 1.0% of PPCP | −12.46 | −5.51 | −1.49 | −7.36 | 4.56 | |
| 2.0% of PPCP | −7.62 | −0.67 | 3.35 | −2.52 | 7.18 | |
| 3.0% of PPCP | −6.27 | 0.68 | 4.70 | −1.17 | 7.57 | |
Publisher’s Note: MDPI stays neutral with regard to jurisdictional claims in published maps and institutional affiliations. |
© 2022 by the authors. Licensee MDPI, Basel, Switzerland. This article is an open access article distributed under the terms and conditions of the Creative Commons Attribution (CC BY) license (https://creativecommons.org/licenses/by/4.0/).
Share and Cite
de Lima, A.L.; Guerra, C.A.; Costa, L.M.; de Oliveira, V.S.; Lemos Junior, W.J.F.; Luchese, R.H.; Guerra, A.F. A Natural Technology for Vacuum-Packaged Cooked Sausage Preservation with Potentially Postbiotic-Containing Preservative. Fermentation 2022, 8, 106. https://doi.org/10.3390/fermentation8030106
de Lima AL, Guerra CA, Costa LM, de Oliveira VS, Lemos Junior WJF, Luchese RH, Guerra AF. A Natural Technology for Vacuum-Packaged Cooked Sausage Preservation with Potentially Postbiotic-Containing Preservative. Fermentation. 2022; 8(3):106. https://doi.org/10.3390/fermentation8030106
Chicago/Turabian Stylede Lima, Aloizio Lemos, Carlos Alberto Guerra, Lucas Marques Costa, Vanessa Sales de Oliveira, Wilson José Fernandes Lemos Junior, Rosa Helena Luchese, and André Fioravante Guerra. 2022. "A Natural Technology for Vacuum-Packaged Cooked Sausage Preservation with Potentially Postbiotic-Containing Preservative" Fermentation 8, no. 3: 106. https://doi.org/10.3390/fermentation8030106
APA Stylede Lima, A. L., Guerra, C. A., Costa, L. M., de Oliveira, V. S., Lemos Junior, W. J. F., Luchese, R. H., & Guerra, A. F. (2022). A Natural Technology for Vacuum-Packaged Cooked Sausage Preservation with Potentially Postbiotic-Containing Preservative. Fermentation, 8(3), 106. https://doi.org/10.3390/fermentation8030106

